Binary Neutron Star and Short Gamma-Ray Burst Simulations in Light of GW170817
Abstract
1. Introduction
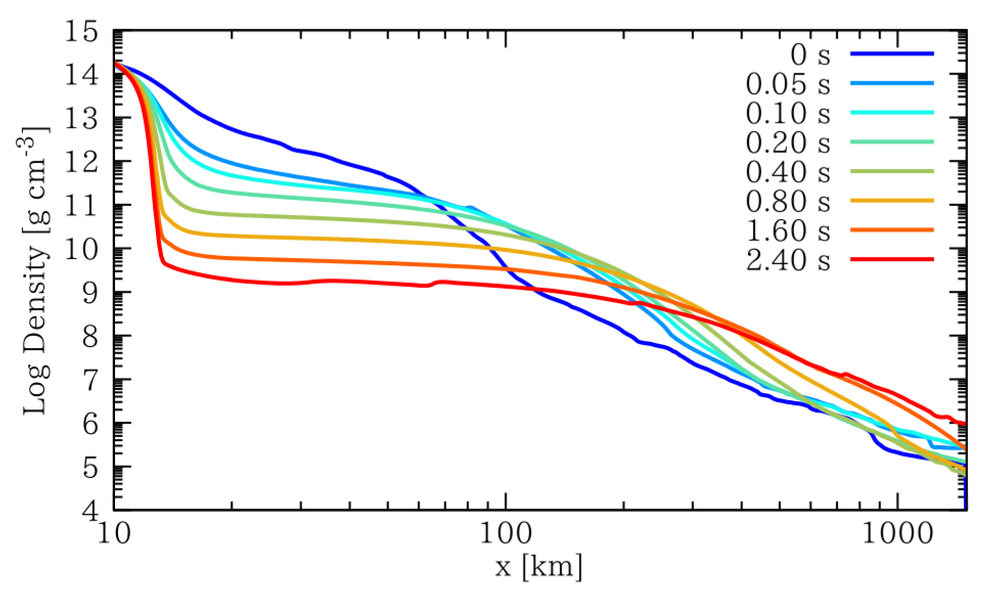
2. BNS Numerical Simulations
- If the merger product does not collapse in the first millisecond, then the magnetic energy is amplified to values higher than erg [125].
- The saturation level of magnetic field amplification is not yet known [125].
- The amplified magnetic field is turbulent and requires time (more than a second) to rearrange in a coherent large-scale structure [126].
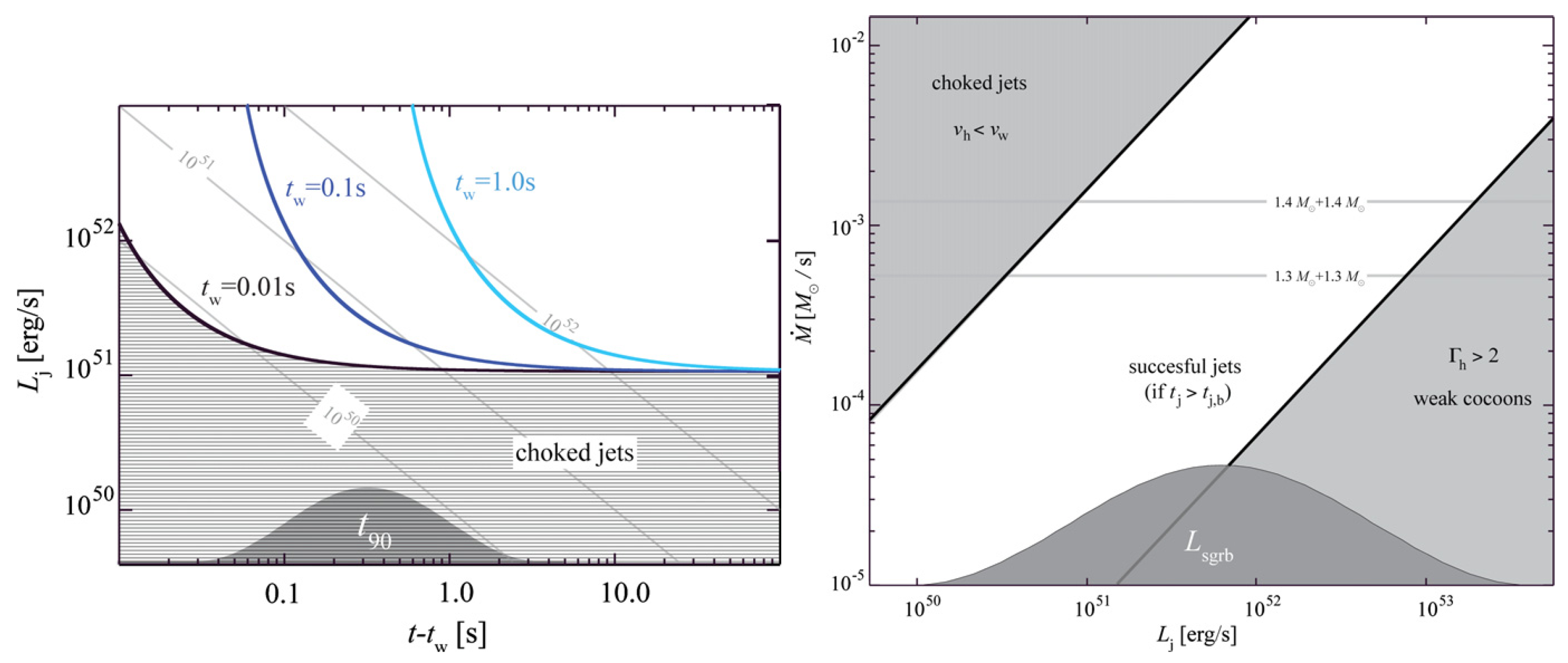
- An ordered poloidal magnetic field above is needed for a BZ luminosity of ∼ erg/s [131].
- The magnetic jet funnel reported in BNS simulations has an opening angle of ≳20–30, and a maximum Lorentz factor reported as [133].
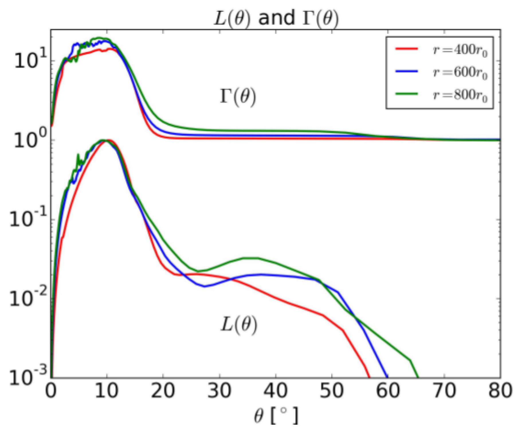
3. Short GRB Jet Simulations
- The BNS ejecta are not spherical, rather they have a unique structure for every different EOS used [106].
4. Conclusions
Funding
Acknowledgments
Conflicts of Interest
References
- The LIGO Scientific Collaboration; The Virgo Collaboration. GW170817: Observation of Gravitational Waves from a Binary Neutron Star Inspiral. Phys. Rev. Lett. 2017, 119, 161101. [Google Scholar] [CrossRef] [PubMed]
- The LIGO Scientific Collaboration; The Virgo Collaboration; Abbott, B.P.; Abbott, R.; Abbott, T.D.; Acernese, F.; Ackley, K.; Adams, C.; Adams, T.; Addesso, P.; et al. Multi-messenger Observations of a Binary Neutron Star Merger. Astrophys. J. Lett. 2017, 848, L12. [Google Scholar] [CrossRef]
- Goldstein, A.; Veres, P.; Burns, E.; Briggs, M.S.; Hamburg, R.; Kocevski, D.; Wilson-Hodge, C.A.; Preece, R.D.; Poolakkil, S.; Roberts, O.J.; et al. An Ordinary Short Gamma-Ray Burst with Extraordinary Implications: Fermi-GBM Detection of GRB 170817A. Astrophys. J. Lett. 2017, 848, L14. [Google Scholar] [CrossRef]
- Savchenko, V.; Ferrigno, C.; Kuulkers, E.; Bazzano, A.; Bozzo, E.; Brandt, S.; Chenevez, J.; Courvoisier, T.J.L.; Diehl, R.; Domingo, A.; et al. INTEGRAL Detection of the First Prompt Gamma-Ray Signal Coincident with the Gravitational-wave Event GW170817. Astrophys. J. Lett. 2017, 848, L15. [Google Scholar] [CrossRef]
- Coulter, D.A.; Foley, R.J.; Kilpatrick, C.D.; Drout, M.R.; Piro, A.L.; Shappee, B.J.; Siebert, M.R.; Simon, J.D.; Ulloa, N.; Kasen, D.; et al. Swope Supernova Survey 2017a (SSS17a), the optical counterpart to a gravitational wave source. Science 2017, 358, 1556–1558. [Google Scholar] [CrossRef] [PubMed]
- Soares-Santos, M.; Holz, D.E.; Annis, J.; Chornock, R.; Herner, K.; Berger, E.; Brout, D.; Chen, H.Y.; Kessler, R.; Sako, M.; et al. The Electromagnetic Counterpart of the Binary Neutron Star Merger LIGO/Virgo GW170817. I. Discovery of the Optical Counterpart Using the Dark Energy Camera. Astrophys. J. Lett. 2017, 848, L16. [Google Scholar] [CrossRef]
- Arcavi, I.; Hosseinzadeh, G.; Howell, D.A.; McCully, C.; Poznanski, D.; Kasen, D.; Barnes, J.; Zaltzman, M.; Vasylyev, S.; Maoz, D.; et al. Optical emission from a kilonova following a gravitational-wave-detected neutron-star merger. Nature 2017, 551, 64–66. [Google Scholar] [CrossRef]
- Nicholl, M.; Berger, E.; Kasen, D.; Metzger, B.D.; Elias, J.; Briceño, C.; Alexander, K.D.; Blanchard, P.K.; Chornock, R.; Cowperthwaite, P.S.; et al. The Electromagnetic Counterpart of the Binary Neutron Star Merger LIGO/Virgo GW170817. III. Optical and UV Spectra of a Blue Kilonova from Fast Polar Ejecta. Astrophys. J. Lett. 2017, 848, L18. [Google Scholar] [CrossRef]
- Pian, E.; D’Avanzo, P.; Benetti, S.; Branchesi, M.; Brocato, E.; Campana, S.; Cappellaro, E.; Covino, S.; D’Elia, V.; Fynbo, J.P.U.; et al. Spectroscopic identification of r-process nucleosynthesis in a double neutron-star merger. Nature 2017, 551, 67–70. [Google Scholar] [CrossRef] [PubMed]
- Smartt, S.; Chen, T.-W.; Jerkstrand, A.; Coughlin, M.; Kankare, E.; Sim, S.A.; Fraser, M.; Inserra, C.; Maguire, K.; Chambers, K.C.; et al. A kilonova as the electromagnetic counterpart to a gravitational-wave source. Nature 2017, 551, 75–79. [Google Scholar] [CrossRef] [PubMed]
- Tanvir, N.R.; Levan, A.J.; González-Fernández, C.; Korobkin, O.; Mandel, I.; Rosswog, S.; Hjorth, J.; D’Avanzo, P.; Fruchter, A.S.; Fryer, C.L.; et al. The Emergence of a Lanthanide-rich Kilonova Following the Merger of Two Neutron Stars. Astrophys. J. Lett. 2017, 848, L27. [Google Scholar] [CrossRef]
- Utsumi, Y.; Tanaka, M.; Tominaga, N.; Yoshida, M.; Barway, S.; Nagayama, T.; Zenko, T.; Aoki, K.; Fujiyoshi, T.; Furusawa, H.; et al. J-GEM observations of an electromagnetic counterpart to the neutron star merger GW170817. Publ. Astr. Soc. Jpn. 2017, 69, 101. [Google Scholar] [CrossRef]
- Kilpatrick, C.D.; Foley, R.J.; Kasen, D.; Murguia-Berthier, A.; Ramirez-Ruiz, E.; Coulter, D.A.; Drout, M.R.; Piro, A.L.; Shappee, B.J.; Boutsia, K.; et al. Electromagnetic evidence that SSS17a is the result of a binary neutron star merger. Science 2017, 358, 1583–1587. [Google Scholar] [CrossRef] [PubMed]
- Kasliwal, M.M.; Nakar, E.; Singer, L.P.; Kaplan, D.L.; Cook, D.O.; Van Sistine, A.; Lau, R.M.; Fremling, C.; Gottlieb, O.; Jencson, J.E.; et al. Illuminating gravitational waves: A concordant picture of photons from a neutron star merger. Science 2017, 358, 1559–1565. [Google Scholar] [CrossRef] [PubMed]
- Covino, S.; Wiersema, K.; Fan, Y.Z.; Toma, K.; Higgins, A.B.; Melandri, A.; D’Avanzo, P.; Mundell, C.G.; Wijers, R.A.M.J. The unpolarized macronova associated with the gravitational wave event GW 170817. Nat. Astron. 2017, 1, 791–794. [Google Scholar] [CrossRef]
- Cowperthwaite, P.S.; Berger, E.; Villar, V.A.; Metzger, B.D.; Nicholl, M.; Chornock, R.; Blanchard, P.K.; Fong, W.; Margutti, R.; Soares-Santos, M.; et al. The Electromagnetic Counterpart of the Binary Neutron Star Merger LIGO/Virgo GW170817. II. UV, Optical, and Near-infrared Light Curves and Comparison to Kilonova Models. Astrophys. J. Lett. 2017, 848, L17. [Google Scholar] [CrossRef]
- Buckley, D.A.H.; Andreoni, I.; Barway, S.; Cooke, J.; Crawford, S.M.; Gorbovskoy, E.; Gromadzki, M.; Lipunov, V.; Mao, J.; Potter, S.B.; et al. A comparison between SALT/SAAO observations and kilonova models for AT 2017gfo: The first electromagnetic counterpart of a gravitational wave transient—GW170817. Mon. Not. R. Astron. Soc. 2018, 474, L71–L75. [Google Scholar] [CrossRef]
- Drout, M.R.; Piro, A.L.; Shappee, B.J.; Kilpatrick, C.D.; Simon, J.D.; Contreras, C.; Coulter, D.A.; Foley, R.J.; Siebert, M.R.; Morrell, N.; et al. Light Curves of the Neutron Star Merger GW170817/SSS17a: Implications for R-Process Nucleosynthesis. Science 2017, 358, 1570–1574. [Google Scholar] [CrossRef] [PubMed]
- Evans, P.A.; Cenko, S.B.; Kennea, J.A.; Emery, S.W.K.; Kuin, N.P.M.; Korobkin, O.; Wollaeger, R.T.; Tagliaferri, G.; Tanvir, N.R.; Tohuvavohu, A. Swift and NuSTAR observations of GW170817: Detection of a blue kilonova. Science 2017, 358, 1565–1570. [Google Scholar] [CrossRef] [PubMed]
- Arcavi, I. The First Hours of the GW170817 Kilonova and the Importance of Early Optical and Ultraviolet Observations for Constraining Emission Models. Astrophys. J. Lett. 2018, 855, L23. [Google Scholar] [CrossRef]
- Valenti, S.; David, J.S.; Yang, S.; Cappellaro, E.; Tartaglia, L.; Corsi, A.; Jha, S.W.; Reichart, D.E.; Haislip, J.; Kouprianov, V. The Discovery of the Electromagnetic Counterpart of GW170817: Kilonova AT 2017gfo/DLT17ck. Astrophys. J. Lett. 2017, 848, L24. [Google Scholar] [CrossRef]
- Eichler, D.; Livio, M.; Piran, T.; Schramm, D.N. Nucleosynthesis, neutrino bursts and gamma-rays from coalescing neutron stars. Nature 1989, 340, 126–128. [Google Scholar] [CrossRef]
- Narayan, R.; Paczynski, B.; Piran, T. Gamma-ray bursts as the death throes of massive binary stars. Astrophys. J. Lett. 1992, 395, L83–L86. [Google Scholar] [CrossRef]
- Mochkovitch, R.; Hernanz, M.; Isern, J.; Martin, X. Gamma-ray bursts as collimated jets from neutron star/black hole mergers. Nature 1993, 361, 236. [Google Scholar] [CrossRef]
- Annala, E.; Gorda, T.; Kurkela, A.; Vuorinen, A. Gravitational-Wave Constraints on the Neutron-Star-Matter Equation of State. Phys. Rev. Lett. 2018, 120, 172703. [Google Scholar] [CrossRef] [PubMed]
- Bauswein, A.; Just, O.; Janka, H.T.; Stergioulas, N. Neutron-star Radius Constraints from GW170817 and Future Detections. Astrophys. J. Lett. 2017, 850, L34. [Google Scholar] [CrossRef]
- Margalit, B.; Metzger, B.D. Constraining the Maximum Mass of Neutron Stars from Multi-messenger Observations of GW170817. Astrophys. J. Lett. 2017, 850, L19. [Google Scholar] [CrossRef]
- Radice, D.; Perego, A.; Zappa, F.; Bernuzzi, S. GW170817: Joint Constraint on the Neutron Star Equation of State from Multimessenger Observations. Astrophys. J. Lett. 2018, 852, L29. [Google Scholar] [CrossRef]
- Rezzolla, L.; Most, E.R.; Weih, L.R. Using Gravitational-wave Observations and Quasi-universal Relations to Constrain the Maximum Mass of Neutron Stars. Astrophys. J. Lett. 2018, 852, L25. [Google Scholar] [CrossRef]
- Ruiz, M.; Shapiro, S.L.; Tsokaros, A. GW170817, general relativistic magnetohydrodynamic simulations, and the neutron star maximum mass. Phys. Rev. D 2018, 97, 021501. [Google Scholar] [CrossRef] [PubMed]
- Shibata, M.; Fujibayashi, S.; Hotokezaka, K.; Kiuchi, K.; Kyutoku, K.; Sekiguchi, Y.; Tanaka, M. Modeling GW170817 based on numerical relativity and its implications. Phys. Rev. D 2017, 96, 123012. [Google Scholar] [CrossRef]
- De, S.; Finstad, D.; Lattimer, J.M.; Brown, D.A.; Berger, E.; Biwer, C.M. Constraining the nuclear equation of state with GW170817. arXiv, 2018; arXiv:1804.08583. [Google Scholar]
- Tews, I.; Carlson, J.; Gandolfi, S.; Reddy, S. Constraining the speed of sound inside neutron stars with chiral effective field theory interactions and observations. Astrophys. J. 2018, 860, 149. [Google Scholar] [CrossRef]
- Tews, I.; Margueron, J.; Reddy, S. How well does GW170817 constrain the equation of state of dense matter? arXiv, 2018; arXiv:1804.02783. [Google Scholar]
- Alsing, J.; Silva, H.O.; Berti, E. Evidence for a maximum mass cut-off in the neutron star mass distribution and constraints on the equation of state. Mon. Not. R. Astron. Soc. 2018, 478, 1377–1391. [Google Scholar] [CrossRef]
- Burgio, G.F.; Drago, A.; Pagliara, G.; Schulze, H.J.; Wei, J.B. Has deconfined quark matter been detected during GW170817/AT2017gfo? arXiv, 2018; arXiv:1803.09696. [Google Scholar]
- Raithel, C.; Özel, F.; Psaltis, D. Tidal deformability from GW170817 as a direct probe of the neutron star radius. arXiv, 2018; arXiv:1803.07687. [Google Scholar]
- Paschalidis, V.; Yagi, K.; Alvarez-Castillo, D.; Blaschke, D.B.; Sedrakian, A. Implications from GW170817 and I-Love-Q relations for relativistic hybrid stars. Phys. Rev. D 2018, 97, 084038. [Google Scholar] [CrossRef]
- Lim, Y.; Holt, J.W. Neutron Star Tidal Deformabilities Constrained by Nuclear Theory and Experiment. Phys. Rev. Lett. 2018, 121, 062701. [Google Scholar] [CrossRef] [PubMed]
- Lattimer, J.M.; Schramm, D.N. Black-hole-neutron-star collisions. Astrophys. J. Lett. 1974, 192, L145–L147. [Google Scholar] [CrossRef]
- Li, L.X.; Paczynski, B. Transient events from neutron star mergers. Astrophys. J. 1998, 507, L59. [Google Scholar] [CrossRef]
- Kasen, D.; Metzger, B.; Barnes, J.; Quataert, E.; Ramirez-Ruiz, E. Origin of the heavy elements in binary neutron-star mergers from a gravitational-wave event. Nature 2017, 551, 80–84. [Google Scholar] [CrossRef] [PubMed]
- Tanaka, M.; Utsumi, Y.; Mazzali, P.A.; Tominaga, N.; Yoshida, M.; Sekiguchi, Y.; Morokuma, T.; Motohara, K.; Ohta, K.; Kawabata, K.S.; et al. Kilonova from post-merger ejecta as an optical and near-Infrared counterpart of GW170817. Publ. Astron. Soc. Jpn. 2017, 69, 102. [Google Scholar] [CrossRef]
- Murguia-Berthier, A.; Ramirez-Ruiz, E.; Kilpatrick, C.D.; Foley, R.J.; Kasen, D.; Lee, W.H.; Piro, A.L.; Coulter, D.A.; Drout, M.R.; Madore, B.F.; et al. A Neutron Star Binary Merger Model for GW170817/GRB 170817A/SSS17a. Astrophys. J. Lett. 2017, 848, L34. [Google Scholar] [CrossRef]
- Waxman, E.; Ofek, E.; Kushnir, D.; Gal-Yam, A. Constraints on the ejecta of the GW170817 neutron-star merger from its electromagnetic emission. arXiv, 2017; arXiv:1711.09638. [Google Scholar]
- Villar, V.A.; Guillochon, J.; Berger, E.; Metzger, B.D.; Cowperthwaite, P.S.; Nicholl, M.; Alexander, K.D.; Blanchard, P.K.; Chornock, R.; Eftekhari, T.; et al. The Combined Ultraviolet, Optical, and Near-infrared Light Curves of the Kilonova Associated with the Binary Neutron Star Merger GW170817: Unified Data Set, Analytic Models, and Physical Implications. Astrophys. J. Lett. 2017, 851, L21. [Google Scholar] [CrossRef]
- Perego, A.; Radice, D.; Bernuzzi, S. AT 2017gfo: An Anisotropic and Three-component Kilonova Counterpart of GW170817. Astrophys. J. Lett. 2017, 850, L37. [Google Scholar] [CrossRef]
- Metzger, B.D.; Thompson, T.A.; Quataert, E. A Magnetar Origin for the Kilonova Ejecta in GW170817. Astrophys. J. 2018, 856, 101. [Google Scholar] [CrossRef]
- Troja, E.; Piro, L.; van Eerten, H.; Wollaeger, R.T.; Im, M.; Fox, O.D.; Butler, N.R.; Cenko, S.B.; Sakamoto, T.; Fryer, C.L.; et al. The X-ray counterpart to the gravitational-wave event GW170817. Nature 2017, 551, 71–74. [Google Scholar] [CrossRef]
- Margutti, R.; Berger, E.; Fong, W.; Guidorzi, C.; Alexander, K.D.; Metzger, B.D.; Blanchard, P.K.; Cowperthwaite, P.S.; Chornock, R.; Eftekhari, T.; et al. The Electromagnetic Counterpart of the Binary Neutron Star Merger LIGO/Virgo GW170817. V. Rising X-ray Emission from an Off-axis Jet. Astrophys. J. Lett. 2017, 848, L20. [Google Scholar] [CrossRef]
- Hallinan, G.; Corsi, A.; Mooley, K.P.; Hotokezaka, K.; Nakar, E.; Kasliwal, M.M.; Kaplan, D.L.; Frail, D.A.; Myers, S.T.; Murphy, T.; et al. A radio counterpart to a neutron star merger. Science 2017, 358, 1579–1583. [Google Scholar] [CrossRef] [PubMed]
- Alexander, K.D.; Berger, E.; Fong, W.; Williams, P.K.G.; Guidorzi, C.; Margutti, R.; Metzger, B.D.; Annis, J.; Blanchard, P.K.; Brout, D.; et al. The Electromagnetic Counterpart of the Binary Neutron Star Merger LIGO/Virgo GW170817. VI. Radio Constraints on a Relativistic Jet and Predictions for Late-time Emission from the Kilonova Ejecta. Astrophys. J. Lett. 2017, 848, L21. [Google Scholar] [CrossRef]
- Haggard, D.; Nynka, M.; Ruan, J.J.; Kalogera, V.; Cenko, S.B.; Evans, P.; Kennea, J.A. A Deep Chandra X-ray Study of Neutron Star Coalescence GW170817. Astrophys. J. Lett. 2017, 848, L25. [Google Scholar] [CrossRef]
- Granot, J.; Guetta, D.; Gill, R. Lessons from the Short GRB 170817A: The First Gravitational-wave Detection of a Binary Neutron Star Merger. Astrophys. J. Lett. 2017, 850, L24. [Google Scholar] [CrossRef]
- Mooley, K.P.; Nakar, E.; Hotokezaka, K.; Hallinan, G.; Corsi, A.; Frail, D.A.; Horesh, A.; Murphy, T.; Lenc, E.; Kaplan, D.L.; et al. A mildly relativistic wide-angle outflow in the neutron-star merger event GW170817. Nature 2018, 554, 207–210. [Google Scholar] [CrossRef] [PubMed]
- Ruan, J.J.; Nynka, M.; Haggard, D.; Kalogera, V.; Evans, P. Brightening X-ray Emission from GW170817/GRB 170817A: Further Evidence for an Outflow. Astrophys. J. Lett. 2018, 853, L4. [Google Scholar] [CrossRef]
- Pooley, D.; Kumar, P.; Wheeler, J.C.; Grossan, B. GW170817 Most Likely Made a Black Hole. Astrophys. J. Lett. 2018, 859, L23. [Google Scholar] [CrossRef]
- Margutti, R.; Alexander, K.D.; Xie, X.; Sironi, L.; Metzger, B.D.; Kathirgamaraju, A.; Fong, W.; Blanchard, P.K.; Berger, E.; MacFadyen, A.; et al. The Binary Neutron Star Event LIGO/Virgo GW170817 160 Days after Merger: Synchrotron Emission across the Electromagnetic Spectrum. Astrophys. J. Lett. 2018, 856, L18. [Google Scholar] [CrossRef]
- Lyman, J.D.; Lamb, G.P.; Levan, A.J.; Mandel, I.; Tanvir, N.R.; Kobayashi, S.; Gompertz, B.; Hjorth, J.; Fruchter, A.S.; Kangas, T.; et al. The optical afterglow of the short gamma-ray burst associated with GW170817. Nat. Astron. 2018, 2, 751–754. [Google Scholar] [CrossRef]
- Li, B.; Li, L.B.; Huang, Y.F.; Geng, J.J.; Yu, Y.B.; Song, L.M. Continued Brightening of the Afterglow of GW170817/GRB 170817A as Being Due to a Delayed Energy Injection. Astrophys. J. Lett. 2018, 859, L3. [Google Scholar] [CrossRef]
- Geng, J.J.; Dai, Z.G.; Huang, Y.F.; Wu, X.F.; Li, L.B.; Li, B.; Meng, Y.Z. Brightening X-ray/Optical/Radio Emission of GW170817/SGRB 170817A: Evidence for an Electron-Positron Wind from the Central Engine? Astrophys. J. Lett. 2018, 856, L33. [Google Scholar] [CrossRef]
- Dobie, D.; Kaplan, D.L.; Murphy, T.; Lenc, E.; Mooley, K.P.; Lynch, C.; Corsi, A.; Frail, D.; Kasliwal, M.; Hallinan, G. A Turnover in the Radio Light Curve of GW170817. Astrophys. J. Lett. 2018, 858, L15. [Google Scholar] [CrossRef]
- Alexander, K.D.; Margutti, R.; Blanchard, P.K.; Fong, W.; Berger, E.; Hajela, A.; Eftekhari, T.; Chornock, R.; Cowperthwaite, P.S.; Giannios, D.; et al. A Decline in the X-ray through Radio Emission from GW170817 Continues to Support an Off-Axis Structured Jet. arXiv, 2018; arXiv:1805.02870. [Google Scholar]
- Nynka, M.; Ruan, J.J.; Haggard, D.; Evans, P.A. Fading of the X-ray Afterglow of Neutron Star Merger GW170817/GRB170817A at 260 days. arXiv, 2018; arXiv:1805.04093. [Google Scholar]
- Kruckow, M.U.; Tauris, T.M.; Langer, N.; Kramer, M.; Izzard, R.G. Progenitors of gravitational wave mergers: Binary evolution with the stellar grid-based code COMBINE. Mon. Not. R. Astron. Soc. 2018, 481, 1908–1949. [Google Scholar] [CrossRef]
- Faber, J.A.; Rasio, F.A. Binary Neutron Star Mergers. Living Rev. Relativ. 2012, 15. [Google Scholar] [CrossRef] [PubMed]
- Baiotti, L.; Rezzolla, L. Binary neutron-star mergers: A review of Einstein’s richest laboratory. Rep. Prog. Phys. 2017, 80, 096901. [Google Scholar] [CrossRef] [PubMed]
- Shibata, M.; Liu, Y.T.; Shapiro, S.L.; Stephens, B.C. Magnetorotational collapse of massive stellar cores to neutron stars: Simulations in full general relativity. Phys. Rev. D 2006, 74, 104026. [Google Scholar] [CrossRef]
- Paschalidis, V. General relativistic simulations of compact binary mergers as engines for short gamma-ray bursts. Class. Quantum Gravity 2017, 34, 084002. [Google Scholar] [CrossRef]
- Ciolfi, R. Short gamma-ray burst central engines. arXiv, 2018; arXiv:1804.03684. [Google Scholar]
- Berger, E. Short-Duration Gamma-Ray Bursts. Annu. Rev. Astron. Astrophys. 2014, 52, 43–105. [Google Scholar] [CrossRef]
- Fong, W.; Berger, E.; Margutti, R.; Zauderer, B.A. A Decade of Short-duration Gamma-Ray Burst Broadband Afterglows: Energetics, Circumburst Densities, and Jet Opening Angles. Astrophys. J. 2015, 815, 102. [Google Scholar] [CrossRef]
- Rosswog, S. The multi-messenger picture of compact binary mergers. Int. J. Mod. Phys. D 2015, 24, 1530012. [Google Scholar] [CrossRef]
- Fernández, R.; Quataert, E.; Schwab, J.; Kasen, D.; Rosswog, S. The interplay of disc wind and dynamical ejecta in the aftermath of neutron star-black hole mergers. Mon. Not. R. Astron. Soc. 2015, 449, 390–402. [Google Scholar] [CrossRef]
- Thielemann, F.K.; Eichler, M.; Panov, I.V.; Wehmeyer, B. Neutron Star Mergers and Nucleosynthesis of Heavy Elements. Annu. Rev. Nucl. Part. Sci. 2017, 67, 253–274. [Google Scholar] [CrossRef]
- Metzger, B.D. Kilonovae. Living Rev. Relativ. 2017, 20, 3. [Google Scholar] [CrossRef] [PubMed]
- Paschalidis, V.; Stergioulas, N. Rotating stars in relativity. Living Rev. Relativ. 2017, 20, 7. [Google Scholar] [CrossRef] [PubMed]
- Nakar, E. Short-hard gamma-ray bursts. Phys. Rep. 2007, 442, 166–236. [Google Scholar] [CrossRef]
- Lee, W.H.; Ramirez-Ruiz, E. The Progenitors of Short Gamma-Ray Bursts. New J. Phys. 2007, 9, 17. [Google Scholar] [CrossRef]
- Piran, T. The physics of gamma-ray bursts. Rev. Mod. Phys. 2005, 76, 1143–1210. [Google Scholar] [CrossRef]
- Meszaros, P. Gamma-Ray Bursts. Rep. Prog. Phys. 2006, 69, 2259–2322. [Google Scholar] [CrossRef]
- Kumar, P.; Smoot, G.F. Some implications of inverse-Compton scattering of hot cocoon radiation by relativistic jets in gamma-ray bursts. Mon. Not. R. Astron. Soc. 2014, 445, 528–543. [Google Scholar] [CrossRef]
- Tauris, T.M.; Kramer, M.; Freire, P.C.C.; Wex, N.; Janka, H.T.; Langer, N.; Podsiadlowski, P.; Bozzo, E.; Chaty, S.; Kruckow, M.U.; et al. Formation of Double Neutron Star Systems. Astrophys. J. 2017, 846, 170. [Google Scholar] [CrossRef]
- Baumgarte, T.W.; Shapiro, S.L.; Shibata, M. On the Maximum Mass of Differentially Rotating Neutron Stars. Astrophys. J. Lett. 2000, 528, L29–L32. [Google Scholar] [CrossRef]
- Sekiguchi, Y.; Kiuchi, K.; Kyutoku, K.; Shibata, M. Gravitational Waves and Neutrino Emission from the Merger of Binary Neutron Stars. Phys. Rev. Lett. 2011, 107, 051102. [Google Scholar] [CrossRef] [PubMed]
- Paschalidis, V.; Etienne, Z.B.; Shapiro, S.L. Importance of cooling in triggering the collapse of hypermassive neutron stars. Phys. Rev. D 2012, 86, 064032. [Google Scholar] [CrossRef]
- Kaplan, J.D. Where Tori Fear to Tread: Hypermassive Neutron Star Remnants and Absolute Event Horizons or Topics in Computational General Relativity. Ph.D. Thesis, California Institute of Technology, Pasadena, CA, USA, 2014. [Google Scholar]
- Rosswog, S.; Liebendörfer, M.; Thielemann, F.K.; Davies, M.B.; Benz, W.; Piran, T. Mass ejection in neutron star mergers. Astron. Astrophys. 1999, 341, 499–526. [Google Scholar]
- Aloy, M.A.; Janka, H.; Müller, E. Relativistic outflows from remnants of compact object mergers and their viability for short gamma-ray bursts. Astron. Astrophys. 2005, 436, 273–311. [Google Scholar] [CrossRef]
- Dessart, L.; Ott, C.D.; Burrows, A.; Rosswog, S.; Livne, E. Neutrino Signatures and the Neutrino-Driven Wind in Binary Neutron Star Mergers. Astrophys. J. 2009, 690, 1681–1705. [Google Scholar] [CrossRef]
- Rezzolla, L.; Baiotti, L.; Giacomazzo, B.; Link, D.; Font, J.A. Accurate evolutions of unequal-mass neutron-star binaries: Properties of the torus and short GRB engines. Class. Quantum Gravity 2010, 27, 114105. [Google Scholar] [CrossRef]
- Roberts, L.F.; Kasen, D.; Lee, W.H.; Ramirez-Ruiz, E. Electromagnetic Transients Powered by Nuclear Decay in the Tidal Tails of Coalescing Compact Binaries. Astrophys. J. Lett. 2011, 736, L21. [Google Scholar] [CrossRef]
- Kyutoku, K.; Ioka, K.; Shibata, M. Ultrarelativistic electromagnetic counterpart to binary neutron star mergers. Mon. Not. R. Astron. Soc. 2014, 437, L6–L10. [Google Scholar] [CrossRef]
- Rosswog, S. The dynamic ejecta of compact object mergers and eccentric collisions. R. Soc. Lond. Philos. Trans. Ser. A 2013, 371, 20272. [Google Scholar] [CrossRef] [PubMed]
- Bauswein, A.; Goriely, S.; Janka, H.T. Systematics of Dynamical Mass Ejection, Nucleosynthesis, and Radioactively Powered Electromagnetic Signals from Neutron-star Mergers. Astrophys. J. 2013, 773, 78. [Google Scholar] [CrossRef]
- Hotokezaka, K.; Kiuchi, K.; Kyutoku, K.; Okawa, H.; Sekiguchi, Y.I.; Shibata, M.; Taniguchi, K. Mass ejection from the merger of binary neutron stars. Phys. Rev. D 2013, 87, 024001. [Google Scholar] [CrossRef]
- Foucart, F.; Deaton, M.B.; Duez, M.D.; O’Connor, E.; Ott, C.D.; Haas, R.; Kidder, L.E.; Pfeiffer, H.P.; Scheel, M.A.; Szilagyi, B. Neutron star-black hole mergers with a nuclear equation of state and neutrino cooling: Dependence in the binary parameters. Phys. Rev. D 2014, 90, 024026. [Google Scholar] [CrossRef]
- Siegel, D.M.; Ciolfi, R.; Rezzolla, L. Magnetically Driven Winds from Differentially Rotating Neutron Stars and X-ray Afterglows of Short Gamma-Ray Bursts. Astrophys. J. 2014, 785, L6. [Google Scholar] [CrossRef]
- Wanajo, S.; Sekiguchi, Y.; Nishimura, N.; Kiuchi, K.; Kyutoku, K.; Shibata, M. Production of All the r-process Nuclides in the Dynamical Ejecta of Neutron Star Mergers. Astrophys. J. 2014, 789, L39. [Google Scholar] [CrossRef]
- Sekiguchi, Y.; Kiuchi, K.; Kyutoku, K.; Shibata, M. Dynamical mass ejection from binary neutron star mergers: Radiation-hydrodynamics study in general relativity. Phys. Rev. D 2015, 91, 064059. [Google Scholar] [CrossRef]
- Radice, D.; Galeazzi, F.; Lippuner, J.; Roberts, L.F.; Ott, C.D.; Rezzolla, L. Dynamical Mass Ejection from Binary Neutron Star Mergers. Mon. Not. R. Astron. Soc. 2016, 460, 3255–3271. [Google Scholar] [CrossRef]
- Sekiguchi, Y.; Kiuchi, K.; Kyutoku, K.; Shibata, M.; Taniguchi, K. Dynamical mass ejection from the merger of asymmetric binary neutron stars: Radiation-hydrodynamics study in general relativity. Phys. Rev. D 2016, 93, 124046. [Google Scholar] [CrossRef]
- Lehner, L.; Liebling, S.L.; Palenzuela, C.; Caballero, O.L.; O’Connor, E.; Anderson, M.; Neilsen, D. Unequal mass binary neutron star mergers and multimessenger signals. Class. Quantum Gravity 2016, 33, 184002. [Google Scholar] [CrossRef]
- Siegel, D.M.; Metzger, B.D. Three-Dimensional General-Relativistic Magnetohydrodynamic Simulations of Remnant Accretion Disks from Neutron Star Mergers: Outflows and r-Process Nucleosynthesis. Phys. Rev. Lett. 2017, 119, 231102. [Google Scholar] [CrossRef] [PubMed]
- Dietrich, T.; Ujevic, M.; Tichy, W.; Bernuzzi, S.; Brügmann, B. Gravitational waves and mass ejecta from binary neutron star mergers: Effect of the mass ratio. Phys. Rev. D 2017, 95, 024029. [Google Scholar] [CrossRef]
- Bovard, L.; Martin, D.; Guercilena, F.; Arcones, A.; Rezzolla, L.; Korobkin, O. On r-process nucleosynthesis from matter ejected in binary neutron star mergers. Phys. Rev. D 2017, 96, 124005. [Google Scholar] [CrossRef]
- Fujibayashi, S.; Sekiguchi, Y.; Kiuchi, K.; Shibata, M. Properties of Neutrino-driven Ejecta from the Remnant of a Binary Neutron Star Merger: Pure Radiation Hydrodynamics Case. Astrophys. J. 2017, 846, 114. [Google Scholar] [CrossRef]
- Fujibayashi, S.; Kiuchi, K.; Nishimura, N.; Sekiguchi, Y.; Shibata, M. Mass Ejection from the Remnant of a Binary Neutron Star Merger: Viscous-radiation Hydrodynamics Study. Astrophys. J. 2018, 860, 64. [Google Scholar] [CrossRef]
- Kastaun, W.; Galeazzi, F. Properties of hypermassive neutron stars formed in mergers of spinning binaries. Phys. Rev. D 2015, 91, 064027. [Google Scholar] [CrossRef]
- Kastaun, W.; Ciolfi, R.; Endrizzi, A.; Giacomazzo, B. Structure of stable binary neutron star merger remnants: Role of initial spin. Phys. Rev. D 2017, 96, 043019. [Google Scholar] [CrossRef]
- Hanauske, M.; Takami, K.; Bovard, L.; Rezzolla, L.; Font, J.A.; Galeazzi, F.; Stöcker, H. Rotational properties of hypermassive neutron stars from binary mergers. Phys. Rev. D 2017, 96, 043004. [Google Scholar] [CrossRef]
- Rasio, F.; Shapiro, S. TOPICAL REVIEW: Coalescing binary neutron stars. Class. Quantum Gravity 1999, 16, R1–R29. [Google Scholar] [CrossRef]
- Rosswog, S.; Ramirez-Ruiz, E.; Davies, M.B. High-resolution calculations of merging neutron stars—III. Gamma-ray bursts. Mon. Not. R. Astron. Soc. 2003, 345, 1077–1090. [Google Scholar] [CrossRef]
- Price, D.J.; Rosswog, S. Producing Ultrastrong Magnetic Fields in Neutron Star Mergers. Science 2006, 312, 719–722. [Google Scholar] [CrossRef] [PubMed]
- Liu, Y.T.; Shapiro, S.L.; Etienne, Z.B.; Taniguchi, K. General relativistic simulations of magnetized binary neutron star mergers. Phys. Rev. D 2008, 78, 024012. [Google Scholar] [CrossRef]
- Anderson, M.; Hirschmann, E.W.; Lehner, L.; Liebling, S.L.; Motl, P.M.; Neilsen, D.; Palenzuela, C.; Tohline, J.E. Magnetized Neutron-Star Mergers and Gravitational-Wave Signals. Phys. Rev. Lett. 2008, 100, 191101. [Google Scholar] [CrossRef] [PubMed]
- Giacomazzo, B.; Rezzolla, L.; Baiotti, L. Accurate evolutions of inspiralling and magnetized neutron stars: Equal-mass binaries. Phys. Rev. D 2011, 83, 044014. [Google Scholar] [CrossRef]
- Giacomazzo, B.; Zrake, J.; Duffell, P.C.; MacFadyen, A.I.; Perna, R. Producing Magnetar Magnetic Fields in the Merger of Binary Neutron Stars. Astrophys. J. 2015, 809, 39. [Google Scholar] [CrossRef]
- Dionysopoulou, K.; Alic, D.; Rezzolla, L. General-relativistic resistive-magnetohydrodynamic simulations of binary neutron stars. Phys. Rev. D 2015, 92, 084064. [Google Scholar] [CrossRef]
- Palenzuela, C.; Liebling, S.L.; Neilsen, D.; Lehner, L.; Caballero, O.L.; O’Connor, E.; Anderson, M. Effects of the microphysical equation of state in the mergers of magnetized neutron stars with neutrino cooling. Phys. Rev. D 2015, 92, 044045. [Google Scholar] [CrossRef]
- Kiuchi, K.; Kyutoku, K.; Sekiguchi, Y.; Shibata, M.; Wada, T. High resolution numerical relativity simulations for the merger of binary magnetized neutron stars. Phys. Rev. D 2014, 90, 041502. [Google Scholar] [CrossRef]
- Obergaulinger, M.; Aloy, M.A.; Müller, E. Local simulations of the magnetized Kelvin-Helmholtz instability in neutron-star mergers. Astron. Astrophys. 2010, 515, A30. [Google Scholar] [CrossRef]
- Zrake, J.; MacFadyen, A.I. Magnetic Energy Production by Turbulence in Binary Neutron Star Mergers. Astrophys. J. 2013, 769, L29. [Google Scholar] [CrossRef]
- Kiuchi, K.; Cerdá-Durán, P.; Kyutoku, K.; Sekiguchi, Y.; Shibata, M. Efficient magnetic-field amplification due to the Kelvin-Helmholtz instability in binary neutron star mergers. Phys. Rev. D 2015, 92, 124034. [Google Scholar] [CrossRef]
- Kiuchi, K.; Kyutoku, K.; Sekiguchi, Y.; Shibata, M. Global simulations of strongly magnetized remnant massive neutron stars formed in binary neutron star mergers. Phys. Rev. D 2018, 97, 124039. [Google Scholar] [CrossRef]
- Harutyunyan, A.; Nathanail, A.; Rezzolla, L.; Sedrakian, A. Electrical Resistivity and Hall Effect in Binary Neutron-Star Mergers. arXiv, 2018; arXiv:1803.09215. [Google Scholar]
- Moesta, P.; Mundim, B.; Faber, J.; Noble, S.; Bode, T.; Haas, R.; Loeffler, F.; Ott, C.; Reisswig, C.; Schnetter, E. General relativistic magneto-hydrodynamics with the Einstein Toolkit. In Proceedings of the 2013 APS Meeting Abstracts, Baltimore, MD, USA, 18–22 March 2013; p. 10001. [Google Scholar]
- Rembiasz, T.; Guilet, J.; Obergaulinger, M.; Cerdá-Durán, P.; Aloy, M.A.; Müller, E. On the maximum magnetic field amplification by the magnetorotational instability in core-collapse supernovae. Mon. Not. R. Astron. Soc. 2016, 460, 3316–3334. [Google Scholar] [CrossRef]
- Zrake, J.; MacFadyen, A.I. Spectral and Intermittency Properties of Relativistic Turbulence. Astrophys. J. 2013, 763, L12. [Google Scholar] [CrossRef]
- Rezzolla, L.; Giacomazzo, B.; Baiotti, L.; Granot, J.; Kouveliotou, C.; Aloy, M.A. The Missing Link: Merging Neutron Stars Naturally Produce Jet-like Structures and Can Power Short Gamma-ray Bursts. Astrophys. J. Lett. 2011, 732, L6. [Google Scholar] [CrossRef]
- Blandford, R.D.; Znajek, R.L. Electromagnetic extraction of energy from Kerr black holes. Mon. Not. R. Astron. Soc. 1977, 179, 433–456. [Google Scholar] [CrossRef]
- Contopoulos, J. A Simple Type of Magnetically Driven Jets: An Astrophysical Plasma Gun. Astrophys. J. 1995, 450, 616. [Google Scholar] [CrossRef]
- Ruiz, M.; Lang, R.N.; Paschalidis, V.; Shapiro, S.L. Binary Neutron Star Mergers: A Jet Engine for Short Gamma-Ray Bursts. Astrophys. J. Lett. 2016, 824, L6. [Google Scholar] [CrossRef] [PubMed]
- Kawamura, T.; Giacomazzo, B.; Kastaun, W.; Ciolfi, R.; Endrizzi, A.; Baiotti, L.; Perna, R. Binary neutron star mergers and short gamma-ray bursts: Effects of magnetic field orientation, equation of state, and mass ratio. Phys. Rev. D 2016, 94, 064012. [Google Scholar] [CrossRef]
- Endrizzi, A.; Ciolfi, R.; Giacomazzo, B.; Kastaun, W.; Kawamura, T. General relativistic magnetohydrodynamic simulations of binary neutron star mergers with the APR4 equation of state. Class. Quantum Gravity 2016, 33, 164001. [Google Scholar] [CrossRef]
- Ruffert, M.; Janka, H.T. Gamma-ray bursts from accreting black holes in neutron star mergers. Astron. Astrophys. 1999, 344, 573–606. [Google Scholar]
- Just, O.; Obergaulinger, M.; Janka, H.T.; Bauswein, A.; Schwarz, N. Neutron-star Merger Ejecta as Obstacles to Neutrino-powered Jets of Gamma-Ray Bursts. Astrophys. J. Lett. 2016, 816, L30. [Google Scholar] [CrossRef]
- Komissarov, S.S. Direct numerical simulations of the Blandford-Znajek effect. Mon. Not. R. Astron. Soc. 2001, 326, L41–L44. [Google Scholar] [CrossRef]
- Komissarov, S.S.; Barkov, M.; Lyutikov, M. Tearing instability in relativistic magnetically dominated plasmas. Mon. Not. R. Astron. Soc. 2007, 374, 415–426. [Google Scholar] [CrossRef]
- Nathanail, A.; Contopoulos, I. Black Hole Magnetospheres. Astrophys. J. 2014, 788, 186. [Google Scholar] [CrossRef]
- Gralla, S.E.; Lupsasca, A.; Rodriguez, M.J. Electromagnetic jets from stars and black holes. Phys. Rev. D 2016, 93, 044038. [Google Scholar] [CrossRef]
- Shapiro, S.L. Black holes, disks, and jets following binary mergers and stellar collapse: The narrow range of electromagnetic luminosities and accretion rates. Phys. Rev. D 2017, 95, 101303. [Google Scholar] [CrossRef] [PubMed]
- Shibata, M.; Taniguchi, K.; Uryū, K. Merger of binary neutron stars of unequal mass in full general relativity. Phys. Rev. D 2003, 68, 084020. [Google Scholar] [CrossRef]
- Shibata, M.; Taniguchi, K. Merger of binary neutron stars to a black hole: Disk mass, short gamma-ray bursts, and quasinormal mode ringing. Phys. Rev. D 2006, 73, 064027. [Google Scholar] [CrossRef]
- Baiotti, L.; Giacomazzo, B.; Rezzolla, L. Accurate evolutions of inspiralling neutron-star binaries: Prompt and delayed collapse to a black hole. Phys. Rev. D 2008, 78, 084033. [Google Scholar] [CrossRef]
- Rezzolla, L.; Macedo, R.P.; Jaramillo, J.L. Understanding the ’anti-kick’ in the merger of binary black holes. Phys. Rev. Lett. 2010, 104, 221101. [Google Scholar] [CrossRef] [PubMed]
- Margalit, B.; Metzger, B.D.; Beloborodov, A.M. Does the Collapse of a Supramassive Neutron Star Leave a Debris Disk? Phys. Rev. Lett. 2015, 115, 171101. [Google Scholar] [CrossRef] [PubMed]
- Camelio, G.; Dietrich, T.; Rosswog, S. Disk formation in the collapse of supramassive neutron stars. arXiv, 2018; arXiv:1806.07775. [Google Scholar]
- Shakura, N.I.; Sunyaev, R.A. Black holes in binary systems. Observational appearance. Astron. Astrophys. 1973, 24, 337–355. [Google Scholar]
- Falcke, H.; Rezzolla, L. Fast radio bursts: The last sign of supramassive neutron stars. Astron. Astrophys. 2014, 562, A137. [Google Scholar] [CrossRef]
- Shibata, M.; Uryū, K. Gravitational Waves from Merger of Binary Neutron Stars in Fully General Relativistic Simulation. Prog. Theor. Phys. 2002, 107, 265–303. [Google Scholar] [CrossRef]
- Hotokezaka, K.; Kyutoku, K.; Okawa, H.; Shibata, M.; Kiuchi, K. Binary neutron star mergers: Dependence on the nuclear equation of state. Phys. Rev. D 2011, 83, 124008. [Google Scholar] [CrossRef]
- Bauswein, A.; Baumgarte, T.W.; Janka, H.T. Prompt Merger Collapse and the Maximum Mass of Neutron Stars. Phys. Rev. Lett. 2013, 111, 131101. [Google Scholar] [CrossRef] [PubMed]
- Shibata, M.; Taniguchi, K.; Uryū, K. Merger of binary neutron stars with realistic equations of state in full general relativity. Phys. Rev. D 2005, 71, 084021. [Google Scholar] [CrossRef]
- Oechslin, R.; Janka, H.T.; Marek, A. Relativistic neutron star merger simulations with non-zero temperature equations of state. I. Variation of binary parameters and equation of state. Astron. Astrophys. 2007, 467, 395–409. [Google Scholar] [CrossRef]
- Studzińska, A.M.; Kucaba, M.; Gondek-Rosińska, D.; Villain, L.; Ansorg, M. Effect of the equation of state on the maximum mass of differentially rotating neutron stars. Mon. Not. R. Astron. Soc. 2016, 463, 2667–2679. [Google Scholar] [CrossRef]
- Zhang, C.M.; Wang, J.; Zhao, Y.H.; Yin, H.X.; Song, L.M.; Menezes, D.P.; Wickramasinghe, D.T.; Ferrario, L.; Chardonnet, P. Study of measured pulsar masses and their possible conclusions. Astron. Astrophys. 2011, 527, A83. [Google Scholar] [CrossRef]
- Ruiz, M.; Shapiro, S.L. General relativistic magnetohydrodynamics simulations of prompt-collapse neutron star mergers: The absence of jets. Phys. Rev. D 2017, 96, 084063. [Google Scholar] [CrossRef] [PubMed]
- Lorimer, D.R.; Bailes, M.; McLaughlin, M.A.; Narkevic, D.J.; Crawford, F. A Bright Millisecond Radio Burst of Extragalactic Origin. Science 2007, 318, 777. [Google Scholar] [CrossRef] [PubMed]
- Rane, A.; Lorimer, D. Fast Radio Bursts. J. Astrophys. Astron. 2017, 38, 55. [Google Scholar] [CrossRef]
- Most, E.R.; Nathanail, A.; Rezzolla, L. Electromagnetic emission from blitzars and its impact on non-repeating fast radio bursts. arXiv, 2018; arXiv:1801.05705. [Google Scholar]
- Paschalidis, V.; Ruiz, M. Are fast radio bursts the most likely electromagnetic counterpart of neutron star mergers resulting in prompt collapse? arXiv, 2018; arXiv:1808.04822. [Google Scholar]
- Rowlinson, A.; O’Brien, P.T.; Metzger, B.D.; Tanvir, N.R.; Levan, A.J. Signatures of magnetar central engines in short GRB light curves. Mon. Not. R. Astron. Soc. 2013, 430, 1061–1087. [Google Scholar] [CrossRef]
- Zhang, B.; Mészáros, P. Gamma-Ray Burst Afterglow with Continuous Energy Injection: Signature of a Highly Magnetized Millisecond Pulsar. Astrophys. J. 2001, 552, L35–L38. [Google Scholar] [CrossRef]
- Gao, W.H.; Fan, Y.Z. Short-living Supermassive Magnetar Model for the Early X-ray Flares Following Short GRBs. Chin. J. Astron. Astrophys. 2006, 6, 513–516. [Google Scholar] [CrossRef]
- Fan, Y.Z.; Xu, D. The X-ray afterglow flat segment in short GRB 051221A: Energy injection from a millisecond magnetar? Mon. Not. R. Astron. Soc. 2006, 372, L19–L22. [Google Scholar] [CrossRef]
- Metzger, B.D.; Piro, A.L.; Quataert, E. Time-dependent models of accretion discs formed from compact object mergers. Mon. Not. R. Astron. Soc. 2008, 390, 781–797. [Google Scholar] [CrossRef]
- Metzger, B.D.; Martínez-Pinedo, G.; Darbha, S.; Quataert, E.; Arcones, A.; Kasen, D.; Thomas, R.; Nugent, P.; Panov, I.V.; Zinner, N.T. Electromagnetic counterparts of compact object mergers powered by the radioactive decay of r-process nuclei. Mon. Not. R. Astron. Soc. 2010, 406, 2650–2662. [Google Scholar] [CrossRef]
- Giacomazzo, B.; Perna, R. Formation of Stable Magnetars from Binary Neutron Star Mergers. Astrophys. J. 2013, 771, L26. [Google Scholar] [CrossRef]
- Dall’Osso, S.; Giacomazzo, B.; Perna, R.; Stella, L. Gravitational Waves from Massive Magnetars Formed in Binary Neutron Star Mergers. Astrophys. J. 2015, 798, 25. [Google Scholar] [CrossRef]
- Rezzolla, L.; Kumar, P. A Novel Paradigm for Short Gamma-Ray Bursts with Extended X-ray Emission. Astrophys. J. 2015, 802, 95. [Google Scholar] [CrossRef]
- Ciolfi, R.; Siegel, D.M. Short Gamma-Ray Bursts in the “Time-reversal” Scenario. Astrophys. J. 2015, 798, L36. [Google Scholar] [CrossRef]
- Spitkovsky, A. Time-dependent Force-free Pulsar Magnetospheres: Axisymmetric and Oblique Rotators. Astrophys. J. Lett. 2006, 648, L51–L54. [Google Scholar] [CrossRef]
- Contopoulos, I.; Spitkovsky, A. Revised Pulsar Spin-down. Astrophys. J. 2006, 643, 1139–1145. [Google Scholar] [CrossRef]
- Thompson, T.A.; Burrows, A.; Pinto, P.A. Shock Breakout in Core-Collapse Supernovae and Its Neutrino Signature. Astrophys. J. 2003, 592, 434–456. [Google Scholar] [CrossRef]
- Komissarov, S.S. Multidimensional numerical scheme for resistive relativistic magnetohydrodynamics. Mon. Not. R. Astron. Soc. 2007, 382, 995–1004. [Google Scholar] [CrossRef]
- Thompson, T.A.; ud-Doula, A. High-entropy ejections from magnetized proto-neutron star winds: Implications for heavy element nucleosynthesis. Mon. Not. R. Astron. Soc. 2018, 476, 5502–5515. [Google Scholar] [CrossRef]
- Uzdensky, D.A. Force-Free Magnetosphere of an Accretion Disk-Black Hole System. II. Kerr Geometry. Astrophys. J. 2005, 620, 889–904. [Google Scholar] [CrossRef]
- Parfrey, K.; Giannios, D.; Beloborodov, A.M. Black hole jets without large-scale net magnetic flux. Mon. Not. R. Astron. Soc. 2015, 446, L61–L65. [Google Scholar] [CrossRef]
- Contopoulos, I.; Nathanail, A.; Katsanikas, M. The Cosmic Battery in Astrophysical Accretion Disks. Astrophys. J. 2015, 805, 105. [Google Scholar] [CrossRef]
- Nathanail, A.; Contopoulos, I. Are ultralong gamma-ray bursts powered by black holes spinning down? Mon. Not. R. Astron. Soc. 2015, 453, L1–L5. [Google Scholar] [CrossRef]
- Nathanail, A.; Strantzalis, A.; Contopoulos, I. The rapid decay phase of the afterglow as the signature of the Blandford-Znajek mechanism. Mon. Not. R. Astron. Soc. 2016, 455, 4479–4486. [Google Scholar] [CrossRef]
- Nathanail, A. An Explosion is Triggered by the Late Collapse of the Compact Remnant from a Neutron Star Merger. Astrophys. J. 2018, 864, 4. [Google Scholar] [CrossRef]
- Nakar, E.; Piran, T. Implications of the radio and X-ray emission that followed GW170817. Mon. Not. R. Astron. Soc. 2018, 478, 407–415. [Google Scholar] [CrossRef]
- Blandford, R.D.; McKee, C.F. Fluid dynamics of relativistic blast waves. Phys. Fluids 1976, 19, 1130–1138. [Google Scholar] [CrossRef]
- Ramirez-Ruiz, E.; Celotti, A.; Rees, M.J. Events in the life of a cocoon surrounding a light, collapsar jet. Mon. Not. R. Astron. Soc. 2002, 337, 1349–1356. [Google Scholar] [CrossRef]
- Morsony, B.J.; Lazzati, D.; Begelman, M.C. Temporal and Angular Properties of Gamma-Ray Burst Jets Emerging from Massive Stars. Astrophys. J. 2007, 665, 569–598. [Google Scholar] [CrossRef]
- Lazzati, D.; Morsony, B.J.; Begelman, M.C. Short-duration Gamma-ray Bursts From Off-axis Collapsars. Astrophys. J. 2010, 717, 239–244. [Google Scholar] [CrossRef]
- Mizuta, A.; Aloy, M.A. Angular Energy Distribution of Collapsar-Jets. arXiv, 2008; arXiv:0812.4813. [Google Scholar]
- López-Cámara, D.; Morsony, B.J.; Begelman, M.C.; Lazzati, D. Three-dimensional Adaptive Mesh Refinement Simulations of Long-duration Gamma-Ray Burst Jets inside Massive Progenitor Stars. Astrophys. J. 2013, 767, 19. [Google Scholar] [CrossRef]
- Mizuta, A.; Ioka, K. Opening Angles of Collapsar Jets. Astrophys. J. 2013, 777, 162. [Google Scholar] [CrossRef]
- Nagakura, H.; Hotokezaka, K.; Sekiguchi, Y.; Shibata, M.; Ioka, K. Jet Collimation in the Ejecta of Double Neutron Star Mergers: A New Canonical Picture of Short Gamma-Ray Bursts. Astrophys. J. 2014, 784, L28. [Google Scholar] [CrossRef]
- Murguia-Berthier, A.; Montes, G.; Ramirez-Ruiz, E.; De Colle, F.; Lee, W.H. Necessary Conditions for Short Gamma-Ray Burst Production in Binary Neutron Star Mergers. Astrophys. J. 2014, 788, L8. [Google Scholar] [CrossRef]
- Murguia-Berthier, A.; Ramirez-Ruiz, E.; Montes, G.; De Colle, F.; Rezzolla, L.; Rosswog, S.; Takami, K.; Perego, A.; Lee, W.H. The Properties of Short Gamma-Ray Burst Jets Triggered by Neutron Star Mergers. Astrophys. J. Lett. 2016, 835, L34. [Google Scholar] [CrossRef]
- Nagakura, H.; Ito, H.; Kiuchi, K.; Yamada, S. Jet Propagations, Breakouts, and Photospheric Emissions in Collapsing Massive Progenitors of Long-duration Gamma-ray Bursts. Astrophys. J. 2011, 731, 80. [Google Scholar] [CrossRef]
- Qian, Y.Z.; Woosley, S.E. Nucleosynthesis in Neutrino-driven Winds. I. The Physical Conditions. Astrophys. J. 1996, 471, 331. [Google Scholar] [CrossRef]
- Rosswog, S.; Ramirez-Ruiz, E. Jets, winds and bursts from coalescing neutron stars. Mon. Not. R. Astron. Soc. 2002, 336, L7–L11. [Google Scholar] [CrossRef]
- Gehrels, N.; Ramirez-Ruiz, E.; Fox, D.B. Gamma-Ray Bursts in the Swift Era. Annu. Rev. Astron. Astrophys. 2009, 47, 567–617. [Google Scholar] [CrossRef]
- Hotokezaka, K.; Kyutoku, K.; Tanaka, M.; Kiuchi, K.; Sekiguchi, Y.; Shibata, M.; Wanajo, S. Progenitor Models of the Electromagnetic Transient Associated with the Short Gamma Ray Burst 130603B. Astrophys. J. 2013, 778, L16. [Google Scholar] [CrossRef]
- Duffell, P.C.; Quataert, E.; MacFadyen, A.I. A Narrow Short-duration GRB Jet from a Wide Central Engine. Astrophys. J. 2015, 813, 64. [Google Scholar] [CrossRef]
- Rosswog, S.; Ramirez-Ruiz, E. On the diversity of short gamma-ray bursts. Mon. Not. R. Astron. Soc. 2003, 343, L36–L40. [Google Scholar] [CrossRef]
- Bucciantini, N.; Metzger, B.D.; Thompson, T.A.; Quataert, E. Short gamma-ray bursts with extended emission from magnetar birth: Jet formation and collimation. Mon. Not. R. Astron. Soc. 2012, 419, 1537–1545. [Google Scholar] [CrossRef]
- Bromberg, O.; Tchekhovskoy, A.; Gottlieb, O.; Nakar, E.; Piran, T. The γ-rays that accompanied GW170817 and the observational signature of a magnetic jet breaking out of NS merger ejecta. Mon. Not. R. Astron. Soc. 2018, 475, 2971–2977. [Google Scholar] [CrossRef]
- Perego, A.; Rosswog, S.; Cabezón, R.M.; Korobkin, O.; Käppeli, R.; Arcones, A.; Liebendörfer, M. Neutrino-driven winds from neutron star merger remnants. Mon. Not. R. Astron. Soc. 2014, 443, 3134–3156. [Google Scholar] [CrossRef]
- Nakar, E.; Piran, T. Detectable radio flares following gravitational waves from mergers of binary neutron stars. Nature 2011, 478, 82–84. [Google Scholar] [CrossRef] [PubMed]
- Lazzati, D.; Deich, A.; Morsony, B.J.; Workman, J.C. Off-axis emission of short γ-ray bursts and the detectability of electromagnetic counterparts of gravitational-wave-detected binary mergers. Mon. Not. R. Astron. Soc. 2017, 471, 1652–1661. [Google Scholar] [CrossRef]
- Nakar, E.; Piran, T. The Observable Signatures of GRB Cocoons. Astrophys. J. 2017, 834, 28. [Google Scholar] [CrossRef]
- Bromberg, O.; Nakar, E.; Piran, T.; Sari, R. The Propagation of Relativistic Jets in External Media. Astrophys. J. 2011, 740, 100. [Google Scholar] [CrossRef]
- Lazzati, D.; López-Cámara, D.; Cantiello, M.; Morsony, B.J.; Perna, R.; Workman, J.C. Off-axis Prompt X-ray Transients from the Cocoon of Short Gamma-Ray Bursts. Astrophys. J. Lett. 2017, 848, L6. [Google Scholar] [CrossRef]
- Gottlieb, O.; Nakar, E.; Piran, T. The cocoon emission—An electromagnetic counterpart to gravitational waves from neutron star mergers. Mon. Not. R. Astron. Soc. 2018, 473, 576–584. [Google Scholar] [CrossRef]
- Kathirgamaraju, A.; Barniol Duran, R.; Giannios, D. Off-axis short GRBs from structured jets as counterparts to GW events. Mon. Not. R. Astron. Soc. 2018, 473, L121–L125. [Google Scholar] [CrossRef]
- Gottlieb, O.; Nakar, E.; Piran, T.; Hotokezaka, K. A cocoon shock breakout as the origin of the γ-ray emission in GW170817. Mon. Not. R. Astron. Soc. 2018, 479, 588–600. [Google Scholar] [CrossRef]
- Piran, T.; Nakar, E.; Rosswog, S. The electromagnetic signals of compact binary mergers. Mon. Not. R. Astron. Soc. 2013, 430, 2121–2136. [Google Scholar] [CrossRef]
- Hotokezaka, K.; Piran, T. Mass ejection from neutron star mergers: Different components and expected radio signals. Mon. Not. R. Astron. Soc. 2015, 450, 1430–1440. [Google Scholar] [CrossRef]
- van Eerten, H.J.; MacFadyen, A.I. Synthetic Off-axis Light Curves for Low-energy Gamma-Ray Bursts. Astrophys. J. Lett. 2011, 733, L37. [Google Scholar] [CrossRef]
- van Eerten, H.; van der Horst, A.; MacFadyen, A. Gamma-Ray Burst Afterglow Broadband Fitting Based Directly on Hydrodynamics Simulations. Astrophys. J. 2012, 749, 44. [Google Scholar] [CrossRef]
- Lazzati, D.; Perna, R.; Morsony, B.J.; López-Cámara, D.; Cantiello, M.; Ciolfi, R.; giacomazzo, B.; Workman, J.C. Late time afterglow observations reveal a collimated relativistic jet in the ejecta of the binary neutron star merger GW170817. arXiv, 2017; arXiv:1712.03237. [Google Scholar]
- Xie, X.; Zrake, J.; MacFadyen, A. Numerical simulations of the jet dynamics and synchrotron radiation of binary neutron star merger event GW170817/GRB170817A. arXiv, 2018; arXiv:1804.09345. [Google Scholar]
- Duffell, P.C.; Quataert, E.; Kasen, D.; Klion, H. Jet Dynamics in Compact Object Mergers: GW170817 Likely had a Successful Jet. arXiv, 2018; arXiv:1806.10616. [Google Scholar]
- Gill, R.; Granot, J. Afterglow Imaging and Polarization of Misaligned Structured GRB Jets and Cocoons: Breaking the Degeneracy in GRB 170817A. Mon. Not. R. Astron. Soc. 2018, 4, 4128–4141. [Google Scholar] [CrossRef]
- Nakar, E.; Gottlieb, O.; Piran, T.; Kasliwal, M.M.; Hallinan, G. From γ to Radio—The Electromagnetic Counterpart of GW 170817. arXiv, 2018; arXiv:1803.07595. [Google Scholar]
- Zrake, J.; Xie, X.; MacFadyen, A. Radio sky maps of the GRB 170817A afterglow from simulations. arXiv, 2018; arXiv:1806.06848. [Google Scholar]
- Granot, J.; De Colle, F.; Ramirez-Ruiz, E. Off-axis afterglow light curves and images from 2D hydrodynamic simulations of double-sided GRB jets in a stratified external medium. arXiv, 2018; arXiv:1803.05856. [Google Scholar]
- Salafia, O.S.; Ghisellini, G.; Ghirlanda, G.; Colpi, M. GRB170817A: A giant flare from a jet-less double neutron-star merger? arXiv, 2017; arXiv:1711.03112. [Google Scholar]
- Salafia, O.S.; Ghisellini, G.; Ghirlanda, G. Jet-driven and jet-less fireballs from compact binary mergers. Mon. Not. R. Astron. Soc. 2018, 474, L7–L11. [Google Scholar] [CrossRef]
- Tong, H.; Yu, C.; Huang, L. A magnetically driven origin for the low luminosity GRB 170817A associated with GW170817. Res. Astron. Astrophys. 2018, 18, 067. [Google Scholar] [CrossRef]
- Lamb, G.P.; Kobayashi, S. GRB 170817A as a jet counterpart to gravitational wave trigger GW 170817. arXiv, 2017; arXiv:1710.05857. [Google Scholar]
- Ziaeepour, H. Prompt gamma-ray emission of GRB 170817A associated with GW 170817: A consistent picture. Mon. Not. R. Astron. Soc. 2018, arXiv:1801.06124478, 3233–3252. [Google Scholar] [CrossRef]
- Veres, P.; Mészáros, P.; Goldstein, A.; Fraija, N.; Connaughton, V.; Burns, E.; Preece, R.D.; Hamburg, R.; Wilson-Hodge, C.A.; Briggs, M.S.; et al. Gamma-ray burst models in light of the GRB 170817A—GW170817 connection. arXiv, 2018; arXiv:1802.07328. [Google Scholar]
- Beniamini, P.; Petropoulou, M.; Barniol Duran, R.; Giannios, D. A lesson from GW170817: Most neutron star mergers result in tightly collimated successful GRB jets. arXiv, 2018; arXiv:1808.04831. [Google Scholar]
- Hotokezaka, K.; Kiuchi, K.; Shibata, M.; Nakar, E.; Piran, T. Synchrotron radiation from the fast tail of dynamical ejecta of neutron star mergers. arXiv, 2018; arXiv:1803.00599. [Google Scholar]
- Yamazaki, R.; Ioka, K.; Nakamura, T. Prompt emission from the counter jet of a short gamma-ray burst. Prog. Theor. Exp. Phys. 2018, 2018, 033E01. [Google Scholar] [CrossRef]
- Fan, X.; Messenger, C.; Heng, I.S. Probing Intrinsic Properties of Short Gamma-Ray Bursts with Gravitational Waves. Phys. Rev. Lett. 2017, 119, 181102. [Google Scholar] [CrossRef] [PubMed]
- Metzger, B.D.; Beniamini, P.; Giannios, D. Effects of Fallback Accretion on Protomagnetar Outflows in Gamma-Ray Bursts and Superluminous Supernovae. Astrophys. J. 2018, 857, 95. [Google Scholar] [CrossRef]
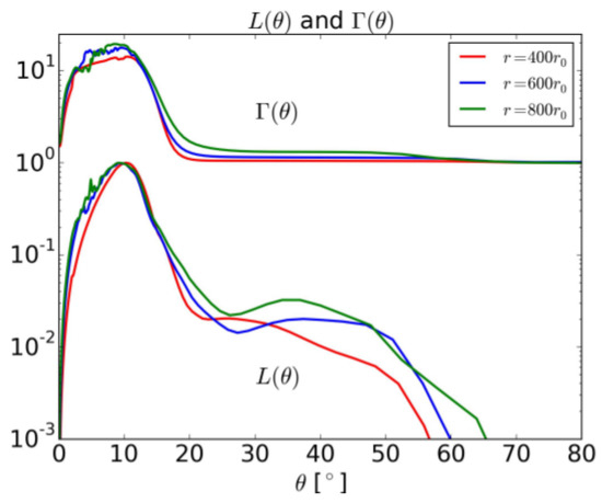
| 1. | A top-hat jet is one with constant Lorentz factor and emissivity within the jet that goes sharply to zero outside of jet opening angle. It is the simplest model to explain GRBs have been widely used to explain GRB properties. |
| 2. | An outflow that has a finite angular extent that ends at the boundary of a cone has an opening angle defined by the axis of the cone and the cone itself. |














| Possibilities for the | Prompt Collapse | Delayed Collapse | “Further” | No Collapse |
|---|---|---|---|---|
| Merger Remnant | Delayed Collapse | |||
| collapse to BH, | 1–2 ms | 7–500 ms | 1–3 s | ∞ |
| B-amplification | not significant | yes | yes | yes |
| Magnetic energy, | – erg | erg | erg | erg |
| ejecta | not significant | yes | yes | yes |
| BH surrounding disk | negligible | 0.05–0.2 | 0.01–0.05 | no BH disk |
| disk lifetime | 2–8 ms | 0.2–1 s | 0.1–0.2 s | 0 |
| EM outcome | magnetic energy | magnetic jet | magnetic explosion | magnetic wind |
| dissipation | (spin down) | |||
| Estimated energy | – erg | erg | erg | erg |
© 2018 by the author. Licensee MDPI, Basel, Switzerland. This article is an open access article distributed under the terms and conditions of the Creative Commons Attribution (CC BY) license (http://creativecommons.org/licenses/by/4.0/).
Share and Cite
Nathanail, A. Binary Neutron Star and Short Gamma-Ray Burst Simulations in Light of GW170817. Galaxies 2018, 6, 119. https://doi.org/10.3390/galaxies6040119
Nathanail A. Binary Neutron Star and Short Gamma-Ray Burst Simulations in Light of GW170817. Galaxies. 2018; 6(4):119. https://doi.org/10.3390/galaxies6040119
Chicago/Turabian StyleNathanail, Antonios. 2018. "Binary Neutron Star and Short Gamma-Ray Burst Simulations in Light of GW170817" Galaxies 6, no. 4: 119. https://doi.org/10.3390/galaxies6040119
APA StyleNathanail, A. (2018). Binary Neutron Star and Short Gamma-Ray Burst Simulations in Light of GW170817. Galaxies, 6(4), 119. https://doi.org/10.3390/galaxies6040119
