Close Binaries and the Abundance Discrepancy Problem in Planetary Nebulae
Abstract
1. Introduction
2. Results
3. Discussion
3.1. Relationship between adfs and Central Star Properties
3.1.1. The Binary Period
3.1.2. Stellar Abundances
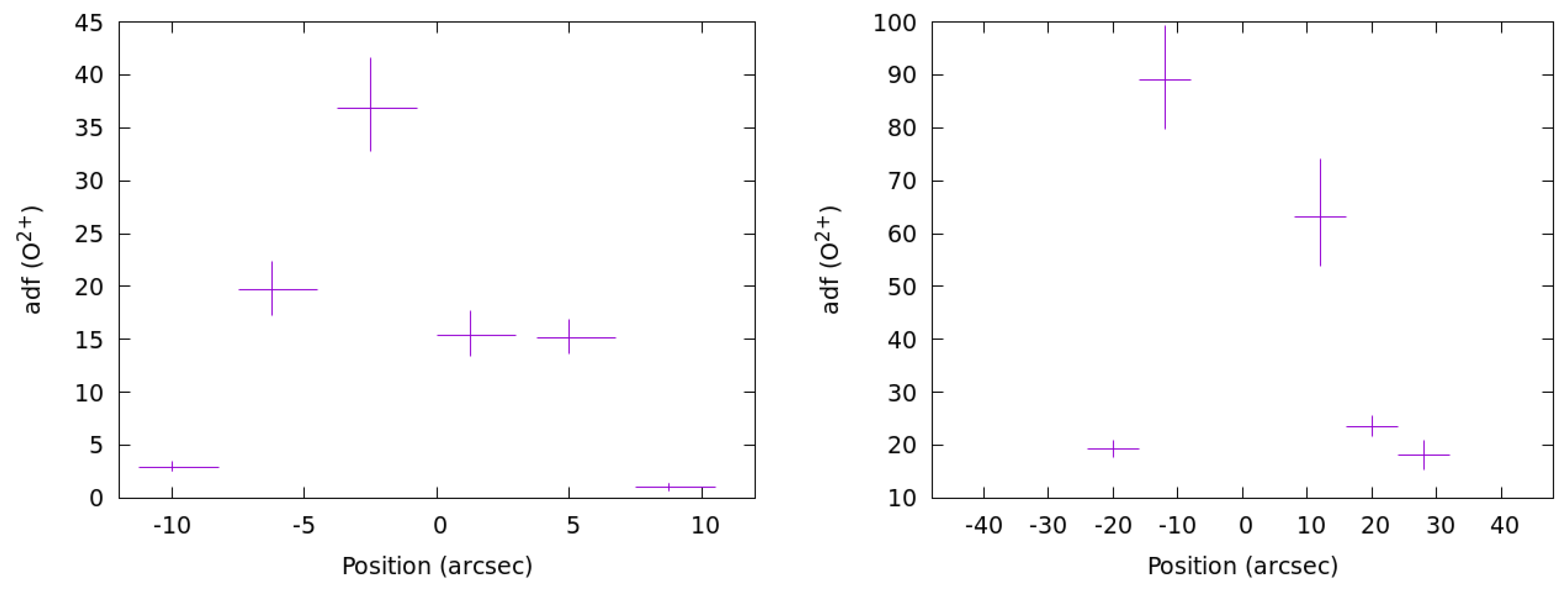
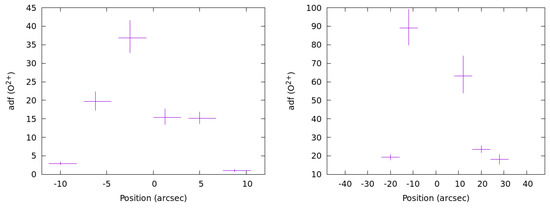
3.2. Relationship of adfs with Nebular Properties
Electron Density
4. Conclusions
Author Contributions
Funding
Acknowledgments
Conflicts of Interest
References
- Wyse, A.B. The Spectra of Ten Gaseous Nebulae. Astrophys. J. 1942, 95, 356. [Google Scholar] [CrossRef]
- Liu, X.W.; Storey, P.J.; Barlow, M.J.; Danziger, I.J.; Cohen, M.; Bryce, M. NGC 6153: A super-metal-rich planetary nebula? Mon. Not. R. Astron. Soc. 2000, 312, 585–628. [Google Scholar] [CrossRef]
- Peimbert, M.; Peimbert, A.; Delgado-Inglada, G. Nebular Spectroscopy: A Guide on Hii Regions and Planetary Nebulae. Publ. Astron. Soc. Pac. 2017, 129, 082001. [Google Scholar] [CrossRef]
- Peimbert, M. Temperature Determinations of H II Regions. Astrophys. J. 1967, 150, 825. [Google Scholar] [CrossRef]
- Torres-Peimbert, S.; Peimbert, M.; Pena, M. Planetary nebulae with a high degree of ionization—NGC 2242 and NGC 4361. Astron. Astrophys. 1990, 233, 540–552. [Google Scholar]
- Viegas, S.M.; Clegg, R.E.S. Density Condensations in Planetary Nebulae and the Electron Temperature. Mon. Not. R. Astron. Soc. 1994, 271, 993. [Google Scholar] [CrossRef]
- Ercolano, B. Can X-rays provide a solution to the abundance discrepancy problem in photoionized nebulae? Mon. Not. R. Astron. Soc. 2009, 397, L69–L73. [Google Scholar] [CrossRef]
- Nicholls, D.C.; Dopita, M.A.; Sutherland, R.S. Resolving the Electron Temperature Discrepancies in H II Regions and Planetary Nebulae: κ-distributed Electrons. Astrophys. J. 2012, 752, 148. [Google Scholar] [CrossRef]
- García-Rojas, J.; Esteban, C. On the Abundance Discrepancy Problem in H II Regions. Astrophys. J. 2007, 670, 457–470. [Google Scholar] [CrossRef]
- Corradi, R.L.M.; García-Rojas, J.; Jones, D.; Rodríguez-Gil, P. Binarity and the Abundance Discrepancy Problem in Planetary Nebulae. Astrophys. J. 2015, 803, 99. [Google Scholar] [CrossRef]
- Paczynski, B. Common Envelope Binaries. In Structure and Evolution of Close Binary Systems; Eggleton, P., Mitton, S., Whelan, J., Eds.; Cambridge University Press: Cambridge, UK, 1976; Volume 73, p. 75. [Google Scholar]
- Ivanova, N.; Justham, S.; Chen, X.; De Marco, O.; Fryer, C.L.; Gaburov, E.; Ge, H.; Glebbeek, E.; Han, Z.; Li, X.D.; et al. Common envelope evolution: Where we stand and how we can move forward. Astronomy Astrophys. Rev. 2013, 21, 59. [Google Scholar] [CrossRef]
- Jones, D.; Boffin, H.M.J. Binary stars as the key to understanding planetary nebulae. Nat. Astronomy 2017, 1, 0117. [Google Scholar] [CrossRef]
- Jones, D.; Wesson, R.; García-Rojas, J.; Corradi, R.L.M.; Boffin, H.M.J. NGC 6778: Strengthening the link between extreme abundance discrepancy factors and central star binarity in planetary nebulae. Mon. Not. R. Astron. Soc. 2016, 455, 3263–3272. [Google Scholar] [CrossRef]
- Miszalski, B.; Jones, D.; Rodríguez-Gil, P.; Boffin, H.M.J.; Corradi, R.L.M.; Santander-García, M. Discovery of close binary central stars in the planetary nebulae NGC 6326 and NGC 6778. Astron. Astrophys. 2011, 531, A158. [Google Scholar] [CrossRef]
- Czyzak, S.J.; Aller, L.H. Spectrophotometric studies of nebulae. XXI. The remarkable planetary NGC 6778. Astrophys. J. 1973, 181, 817–823. [Google Scholar] [CrossRef]
- Wesson, R. ALFA: An automated line fitting algorithm. Mon. Not. R. Astron. Soc. 2016, 456, 3774–3781. [Google Scholar] [CrossRef]
- Wesson, R.; Stock, D.J.; Scicluna, P. Understanding and reducing statistical uncertainties in nebular abundance determinations. Mon. Not. R. Astron. Soc. 2012, 422, 3516–3526. [Google Scholar] [CrossRef]
- Delgado-Inglada, G.; Morisset, C.; Stasińska, G. Ionization correction factors for planetary nebulae—I. Using optical spectra. Mon. Not. R. Astron. Soc. 2014, 440, 536–554. [Google Scholar] [CrossRef]
- García-Díaz, M.T.; Clark, D.M.; López, J.A.; Steffen, W.; Richer, M.G. The Outflows and Three-Dimensional Structure of NGC 6337: A Planetary Nebula with a Close Binary Nucleus. Astrophys. J. 2009, 699, 1633–1638. [Google Scholar] [CrossRef]
- Jones, D.; Boffin, H.M.J.; Rodríguez-Gil, P.; Wesson, R.; Corradi, R.L.M.; Miszalski, B.; Mohamed, S. The post-common envelope central stars of the planetary nebulae Henize 2-155 and Henize 2-161. Astron. Astrophys. 2015, 580, A19. [Google Scholar] [CrossRef]
- Liu, M.C.; Leggett, S.K.; Golimowski, D.A.; Chiu, K.; Fan, X.; Geballe, T.R.; Schneider, D.P.; Brinkmann, J. SDSS J1534+1615AB: A Novel T Dwarf Binary Found with Keck Laser Guide Star Adaptive Optics and the Potential Role of Binarity in the L/T Transition. Astrophys. J. 2006, 647, 1393–1404. [Google Scholar] [CrossRef]
- Sowicka, P.; Jones, D.; Corradi, R.L.M.; Wesson, R.; García-Rojas, J.; Santander-García, M.; Boffin, H.M.J.; Rodríguez-Gil, P. The planetary nebula IC 4776 and its post-common-envelope binary central star. Mon. Not. R. Astron. Soc. 2017, 471, 3529–3546. [Google Scholar] [CrossRef]
- García-Rojas, J.; Peña, M.; Morisset, C.; Delgado-Inglada, G.; Mesa-Delgado, A.; Ruiz, M.T. Analysis of chemical abundances in planetary nebulae with [WC] central stars. II. Chemical abundances and the abundance discrepancy factor. Astron. Astrophys. 2013, 558, A122. [Google Scholar] [CrossRef]
- Corradi, R.L.M.; Sabin, L.; Miszalski, B.; Rodríguez-Gil, P.; Santander-García, M.; Jones, D.; Drew, J.E.; Mampaso, A.; Barlow, M.J.; Rubio-Díez, M.M.; et al. The Necklace planetary nebula: Equatorial and polar outflows from a post-common-envelope system. In Proceedings of the Asymmetric Planetary Nebulae 5 Conference, Bowness-on-Windermere, UK, 20–25 June 2010. [Google Scholar]
- Miszalski, B.; Manick, R.; Mikołajewska, J.; Van Winckel, H.; Iłkiewicz, K. SALT HRS Discovery of the Binary Nucleus of the Etched Hourglass Nebula MyCn 18. arXiv 2018, arXiv:1805.0760235, arXiv:1805–07602. [Google Scholar] [CrossRef]
- Tsamis, Y.G.; Barlow, M.J.; Liu, X.W.; Storey, P.J.; Danziger, I.J. A deep survey of heavy element lines in planetary nebulae—II. Recombination-line abundances and evidence for cold plasma. Mon. Not. R. Astron. Soc. 2004, 353, 953–979. [Google Scholar] [CrossRef]
- Ercolano, B.; Wesson, R.; Zhang, Y.; Barlow, M.J.; De Marco, O.; Rauch, T.; Liu, X.W. Observations and three-dimensional photoionization modelling of the Wolf-Rayet planetary nebula NGC 1501. Mon. Not. R. Astron. Soc. 2004, 354, 558–574. [Google Scholar] [CrossRef]
- Iben, I., Jr.; Renzini, A. Asymptotic giant branch evolution and beyond. Ann. Rev. Astronomy Astrophys. 1983, 21, 271–342. [Google Scholar] [CrossRef]
- Lau, H.H.B.; De Marco, O.; Liu, X.W. V605 Aquilae: A born-again star, a nova or both? Mon. Not. R. Astron. Soc. 2011, 410, 1870–1876. [Google Scholar] [CrossRef]
- Basurah, H.M.; Ali, A.; Dopita, M.A.; Alsulami, R.; Amer, M.A.; Alruhaili, A. Problems for the WELS classification of planetary nebula central stars: Self-consistent nebular modelling of four candidates. Mon. Not. R. Astron. Soc. 2016, 458, 2694–2709. [Google Scholar] [CrossRef]
- Frew, D.J.; Parker, Q.A.; Bojičić, I.S. The Hα surface brightness-radius relation: A robust statistical distance indicator for planetary nebulae. Mon. Not. R. Astron. Soc. 2016, 455, 1459–1488. [Google Scholar] [CrossRef]
- Wesson, R.; Jones, D.; García-Rojas, J.; Boffin, H.M.J.; Corradi, R.L.M. Confirmation of the link between central star binarity and extreme abundance discrepancy factors in planetary nebulae. Mon. Not. R. Astron. Soc. 2018, 480, 4589–4613. [Google Scholar] [CrossRef]







| Object | adf | Period (days) | N/H | O/H | Electron Density (cm) | Reference |
|---|---|---|---|---|---|---|
| A 46 | 120 | 0.47 | 6.77 | 7.93 | 1590 | [10] |
| A 63 | 8 | 0.46 | 7.46 | 8.59 | 1560 | [10] |
| Fg 1 | 46 | 1.2 | 7.84 | 8.26 | 500 | this work |
| Hen 2-283 | 5.1 ± 0.5 | 1.15 | 8.56 | 8.75 | 3200 | this work |
| Hen 2-155 | 6.3 | 0.148 | 7.85 | 8.21 | 1300 | [21] |
| Hen 2-161 | 11 | 1.01? | 8.06 | 8.34 | 1600 | [21] |
| Hf 2-2 | 83 ± 15 | 0.4 | 7.60 | 7.92 | 700 | [22]; this work |
| IC 4776 | 1.75 | 9 | 7.80 | 8.57 | ∼20,000 | [23] |
| MPA 1759 | 62 ± 8 | 0.5 | 7.52 | 8.25 | 740 | this work |
| NGC 5189 | 1.6 | 4.04 | 8.60 | 8.77 | 1000 | [24] |
| NGC 6326 | 23 ± 3 | 0.37 | 7.10 | 7.43 | 820 | this work |
| NGC 6337 | 18 ± 2 | 0.173 | 8.31 | 8.40 | 500 | this work |
| NGC 6778 | 18 | 0.153 | 8.61 | 8.45 | 600 | [14] |
| Pe 1-9 | 60 ± 10 | 0.140 | 7.85 | 7.98 | 740 | this work |
| Ou 5 | 56 | 0.36 | 7.58 | 8.40 | 560 | [10] |
© 2018 by the authors. Licensee MDPI, Basel, Switzerland. This article is an open access article distributed under the terms and conditions of the Creative Commons Attribution (CC BY) license (http://creativecommons.org/licenses/by/4.0/).
Share and Cite
Wesson, R.; Jones, D.; García-Rojas, J.; Boffin, H.M.J.; Corradi, R.L.M. Close Binaries and the Abundance Discrepancy Problem in Planetary Nebulae. Galaxies 2018, 6, 110. https://doi.org/10.3390/galaxies6040110
Wesson R, Jones D, García-Rojas J, Boffin HMJ, Corradi RLM. Close Binaries and the Abundance Discrepancy Problem in Planetary Nebulae. Galaxies. 2018; 6(4):110. https://doi.org/10.3390/galaxies6040110
Chicago/Turabian StyleWesson, R., D. Jones, J. García-Rojas, H. M. J. Boffin, and R. L. M. Corradi. 2018. "Close Binaries and the Abundance Discrepancy Problem in Planetary Nebulae" Galaxies 6, no. 4: 110. https://doi.org/10.3390/galaxies6040110
APA StyleWesson, R., Jones, D., García-Rojas, J., Boffin, H. M. J., & Corradi, R. L. M. (2018). Close Binaries and the Abundance Discrepancy Problem in Planetary Nebulae. Galaxies, 6(4), 110. https://doi.org/10.3390/galaxies6040110

