Bianchi Type I Cosmological Models in Eddington-inspired Born–Infeld Gravity
Abstract
:1. Introduction
2. Eddington-inspired Born–Infeld Gravity
2.1. Gravitational Action and Field Equations
2.2. The Gravitational Field Equations for a Bianchi Type I Geometry in EiBI Gravity
3. Isotropic Pressure Bianchi Type I Universes in EiBI Gravity
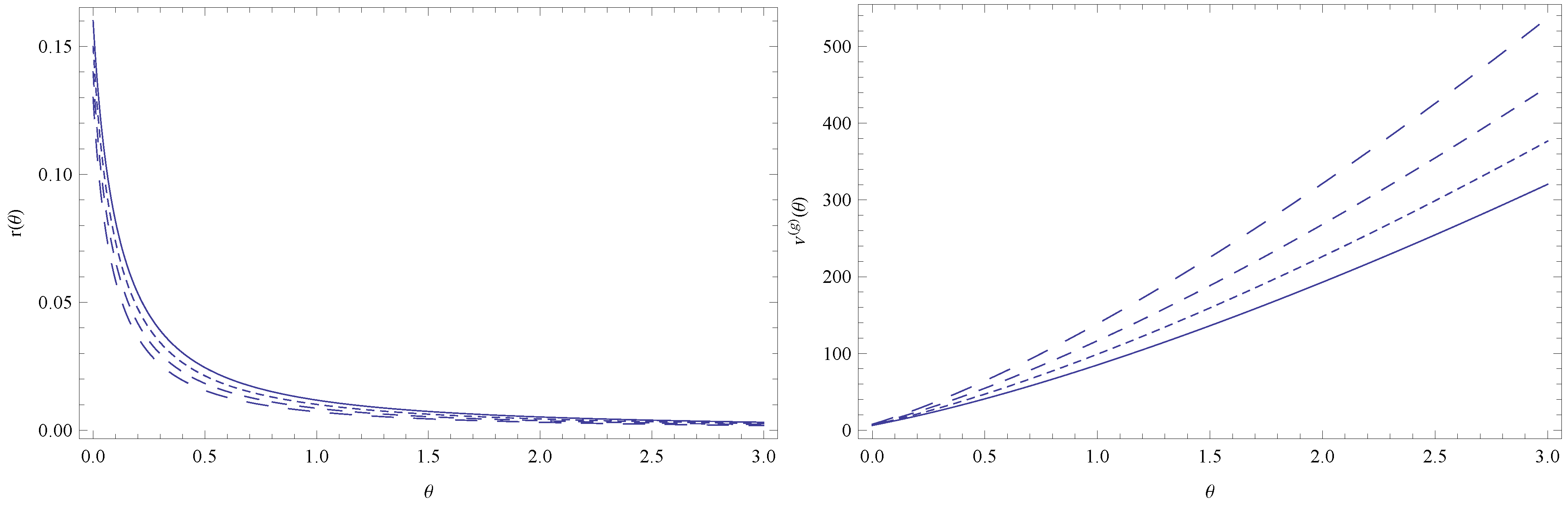
4. High Density Bianchi Type I Models in EiBI Gravity
4.1. Stiff Fluid Filled Bianchi Type I Universe
4.1.1. The First Order Approximation
4.1.2. General Dynamics of the Stiff Fluid Filled Bianchi Type I Universe


4.2. The Radiation Fluid


5. Pressureless Anisotropic Bianchi Type I Universes in EiBI Gravity
5.1. The First Order Approximation
5.2. Evolution of the Dust Bianchi Type I Universe


6. Discussions and Final Remarks
Acknowledgments
Author Contributions
Conflicts of Interest
References
- Ade, P.A.R.; Aghanim, N.; Alves, M.I.R.; Armitage-Caplan, C.; Arnaud, M.; Ashdown, M.; Atrio-Barandela, F.; Aumont, J.; Aussel, H.; Baccigalupi, C.; et al. Planck 2013 results. I. Overview of products and scientific results. 2013; arXiv:1303.5062. [Google Scholar]
- Ade, P.A.R.; Aghanim, N.; Alves, M.I.R.; Armitage-Caplan, C.; Arnaud, M.; Ashdown, M.; Atrio-Barandela, F.; Aumont, J.; Aussel, H.; Baccigalupi, C.; et al. Planck 2013 results. XV. CMB power spectra and likelihood. 2013; arXiv:1303.5075. [Google Scholar]
- Ade, P.A.R.; Aghanim, N.; Alves, M.I.R.; Armitage-Caplan, C.; Arnaud, M.; Ashdown, M.; Atrio-Barandela, F.; Aumont, J.; Aussel, H.; Baccigalupi, C.; et al. Planck 2013 results. XVI. Cosmological parameters. 2013; arXiv:1303.5076. [Google Scholar]
- Komatsu, E.; Smith, K.M.; Dunkley, J.; Bennett, C.L.; Gold, B.; Hinshaw, G.; Jarosik, N.; Larson, D.; Nolta, M.R.; Page, L.; et al. Seven-Year Wilkinson Microwave Anisotropy Probe (WMAP) Observations: Cosmological Interpretation. Astrophys. J. Suppl. 2011, 192. [Google Scholar] [CrossRef]
- Copi, C.J.; Huterer, D.; Schwarz, D.J.; Starkman, G.D. Large-angle anomalies in the CMB. Adv. Astron. 2010, 2010, 847541. [Google Scholar] [CrossRef]
- Campanelli, L.; Cea, P.; Tedesco, L. Ellipsoidal Universe Can Solve The CMB Quadrupole Problem. Phys. Rev. Lett. 2006, 97, 131302. [Google Scholar] [CrossRef] [PubMed]
- Campanelli, L.; Cea, P.; Tedesco, L. Cosmic Microwave Background Quadrupole and Ellipsoidal Universe. Phys. Rev. D 2007, 76, 063007. [Google Scholar] [CrossRef]
- Campbell, H.; D’Andrea, C.B.; Nichol, R.C.; Sako, M.; Smith, M.; Lampeitl, H.; Olmstead, M.; Bassett, B.; Biswas, R.; Brown, P.; et al. Cosmology with Photometrically-Classified Type Ia Supernovae from the SDSS-II Supernova Survey. Astrophys. J. 2013, 763, 88. [Google Scholar] [CrossRef]
- Amendola, L.; Tsujikawa, S. Dark Energy: Theory and Observations; Cambridge University Press: New York, NY, USA, 2010. [Google Scholar]
- Li, M.; Li, X.-D.; Wang, S.; Wang, Y. Dark Energy. Commun. Theor. Phys. 2011, 56, 525. [Google Scholar] [CrossRef]
- Nojiri, S.; Odintsov, S.D. Introduction to modified gravity and gravitational alternative for dark energy. Int. J. Geom. Meth. Mod. Phys. 2007, 4, 115. [Google Scholar] [CrossRef]
- Lobo, F.S.N. The Dark Side of Gravity: Modified Theories of Gravity. 2008; arXiv:0807.1640. [Google Scholar]
- Sotiriou, T.P.; Faraoni, V. f(R) theories of gravity. Rev. Mod. Phys. 2010, 82, 451. [Google Scholar] [CrossRef]
- De Felice, A.; Tsujikawa, S. f(R) Theories. Living Rev. Rel. 2010, 13, 3. [Google Scholar] [CrossRef]
- Nojiri, S.; Odintsov, S.D. Unified cosmic history in modified gravity: from F(R) theory to Lorentz non-invariant models. Phys. Rep. 2011, 505, 59–114. [Google Scholar] [CrossRef]
- Bertolami, O.; Boehmer, C.G.; Harko, T.; Lobo, F.S.N. Extra force in f(R) modified theories of gravity. Phys. Rev. D 2007, 75, 104016. [Google Scholar] [CrossRef]
- Harko, T. Modified gravity with arbitrary coupling between matter and geometry. Phys. Lett. B 2008, 669, 376–379. [Google Scholar] [CrossRef]
- Harko, T.; Lobo, F.S.N. f(R, Lm) gravity. Eur. Phys. J. C 2010, 70, 373–379. [Google Scholar] [CrossRef]
- Harko, T.; Lobo, F.S.N.; Nojiri, S.; Odintsov, S.D. f(R,T) gravity. Phys. Rev. 2011, 84, 024020. [Google Scholar] [CrossRef]
- Haghani, Z.; Harko, T.; Sepangi, H.R.; Shahidi, S. Weyl-Cartan-Weitzenböck gravity as a generalization of teleparallel gravity. JCAP 2012, 10, 061. [Google Scholar] [CrossRef]
- Harko, T.; Koivisto, T.S.; Lobo, F.S.N.; Olmo, G.J. Metric-Palatini gravity unifying local constraints and late-time cosmic acceleration. Phys. Rev. D 2012, 85, 084016. [Google Scholar] [CrossRef]
- Capozziello, S.; Harko, T.; Koivisto, T.S.; Lobo, F.S.N.; Olmo, G.J. Wormholes supported by hybrid metric-Palatini gravity. Phys. Rev. D 2012, 86, 127504. [Google Scholar] [CrossRef]
- Capozziello, S.; Harko, T.; Koivisto, T.S.; Lobo, F.S.N.; Olmo, G.J. The virial theorem and the dark matter problem in hybrid metric-Palatini gravity. JCAP 2013, 04, 011. [Google Scholar] [CrossRef]
- Capozziello, S.; Harko, T.; Koivisto, T.S.; Lobo, F.S.N.; Olmo, G.J. Galactic rotation curves in hybrid metric-Palatini gravity. Astropart. Phys. 2013, 50, 65–75. [Google Scholar] [CrossRef]
- Capozziello, S.; Harko, T.; Lobo, F.S.N.; Olmo, G.J.; Vignolo, S. The Cauchy problem in hybrid metric-Palatini f(X)-gravity. Int. J. Geom. Meth. Mod. Phys. 2014, 11, 1450042. [Google Scholar] [CrossRef]
- Haghani, Z.; Harko, T.; Lobo, F.S.N.; Sepangi, H.R.; Shahidi, S. Further matters in space-time geometry: f(R, T, RμνTμν) gravity. Phys. Rev. D 2013, 88, 044023. [Google Scholar] [CrossRef]
- Harko, T.; Lobo, F.S.N. Generalized Curvature-Matter Couplings in Modified Gravity. Galaxies 2014, 2, 410–465. [Google Scholar] [CrossRef]
- Eddington, A.S. The Mathematical Theory of Relativity; Cambridge University Press: Cambridge, UK, 1924. [Google Scholar]
- Born, M.; Infeld, L. Foundations of the New Field Theory. Proc. R. Soc. Lond. A 1934, 144, 425–451. [Google Scholar] [CrossRef]
- Deser, S.; Gibbons, G.W. Born-Infeld-Einstein actions? Class. Quant. Grav. 1998, 15, L35. [Google Scholar] [CrossRef]
- Bañados, M.; Ferreira, P.G. Eddington’s Theory of Gravity and Its Progeny. Phys. Rev. Lett. 2010, 105, 011101. [Google Scholar] [CrossRef] [PubMed]
- Pani, P.; Cardoso, V.; Delsate, T. Compact Stars in Eddington Inspired Gravity. Phys. Rev. Lett. 2011, 107, 031101. [Google Scholar] [CrossRef] [PubMed]
- Delsate, T.; Steinhoff, J. New Insights on the Matter-Gravity Coupling Paradigm. Phys. Rev. Lett. 2012, 109, 021101. [Google Scholar] [CrossRef] [PubMed]
- Pani, P.; Sotiriou, T.P. Surface Singularities in Eddington-Inspired Born-Infeld Gravity. Phys. Rev. Lett. 2012, 109, 251102. [Google Scholar] [CrossRef] [PubMed]
- Harko, T.; Lobo, F.S.N.; Mak, M.K.; Sushkov, S.V. Dark matter density profile and galactic metric in Eddington-inspired Born-Infeld gravity. Mod. Phys. Lett. 2014, 29, 1450049. [Google Scholar] [CrossRef]
- Pani, P.; Delsate, T.; Cardoso, V. Eddington-inspired Born-Infeld gravity: Phenomenology of nonlinear gravity-matter coupling. Phys. Rev. D 2012, 85, 084020. [Google Scholar] [CrossRef]
- Liu, Y.-X.; Yang, K.; Guo, H.; Zhong, Y. Domain Wall Brane in Eddington Inspired Born-Infeld Gravity. Phys. Rev. D 2012, 85, 124053. [Google Scholar] [CrossRef]
- Sham, Y.-H.; Lin, L.-M.; Leung, P.T. Radial oscillations and stability of compact stars in Eddington-inspired Born-Infeld gravity. Phys. Rev. D 2012, 86, 064015. [Google Scholar] [CrossRef]
- Avelino, P.P. Eddington-inspired Born-Infeld gravity: Astrophysical and cosmological constraints. Phys. Rev. D 2012, 85, 104053. [Google Scholar] [CrossRef]
- Sham, Y.-H.; Leung, P.T.; Lin, L.-M. Compact stars in Eddington-inspired Born-Infeld gravity: Anomalies associated with phase transitions. Phys. Rev. D 2013, 87, 061503. [Google Scholar] [CrossRef]
- Harko, T.; Lobo, F.S.N.; Mak, M.K.; Sushkov, S.V. Structure of neutron, quark and exotic stars in Eddington-inspired Born-Infeld gravity. Phys. Rev. D 2013, 88, 044032. [Google Scholar] [CrossRef]
- Harko, T.; Lobo, F.S.N.; Mak, M.K.; Sushkov, S.V. Wormhole geometries in Eddington-inspired Born-Infeld gravity. 2013; arXiv:1307.1883. [Google Scholar]
- Jana, S.; Kar, S. Three dimensional Eddington-inspired Born-Infeld gravity: Solutions. Phys. Rev. D 2013, 88, 024013. [Google Scholar] [CrossRef]
- Cho, I.; Kim, H.-C. A new synthesis of matter and gravity: A nongravitating scalar field. Phys. Rev. D 2013, 88, 064038. [Google Scholar] [CrossRef]
- Cho, I.; Kim, H.-C.; Moon, T. Precursor of Inflation. Phys. Rev. Lett. 2013, 111, 071301. [Google Scholar] [CrossRef] [PubMed]
- Yang, K.; Du, X.-L.; Liu, Y.-X. Linear perturbations in Eddington-inspired Born-Infeld gravity. Phys. Rev. D 2013, 88, 124037. [Google Scholar] [CrossRef]
- Olmo, G.J.; Rubiera-Garcia, D.; Sanchis-Alepuz, H. Geonic black holes and remnants in Eddington-inspired Born-Infeld gravity. Eur. Phys. J. 2014, 74, 2804. [Google Scholar] [CrossRef] [PubMed]
- Kim, H.-C. Physics at the surface of a star in Eddington-inspired Born-Infeld gravity. Phys. Rev. D 2014, 89, 064001. [Google Scholar] [CrossRef]
- Sham, Y.-H.; Lin, L.-M.; Leung, P.T. Testing Universal Relations of Neutron Stars with a Nonlinear Matter-Gravity Coupling Theory. Astrophys. J. 2014, 781, 66. [Google Scholar] [CrossRef]
- Du, X.-L.; Yang, K.; Meng, X.-H.; Liu, Y.-X. Large Scale Structure Formation in Eddington-inspired Born-Infeld Gravity. Phys. Rev. D 2014, 90, 044054. [Google Scholar] [CrossRef]
- Cho, I.; Kim, H.-C. Inflationary Tensor Perturbation in Eddington-inspired Born-Infeld gravity. Phys. Rev. D 2014, 90, 024063. [Google Scholar] [CrossRef]
- Fernandes, K.; Lahiri, A. Kaluza Ansatz applied to Eddington inspired Born-Infeld Gravity. 2014; arXiv:1405.2172. [Google Scholar]
- Wei, S.-W.; Yang, K.; Liu, Y.-X. Black hole solution and strong gravitational lensing in Eddington-inspired Born-Infeld gravity. 2014; arXiv:1405.2178. [Google Scholar]
- Odintsov, S.D.; Olmo, G.J.; Rubiera-Garcia, D. Born-Infeld gravity and its functional extensions. Phys. Rev. D 2014, 90, 044003. [Google Scholar] [CrossRef]
- Sotani, H. Stellar oscillations in Eddington-inspired Born-Infeld gravity. Phys. Rev. D 2014, 89, 124037. [Google Scholar] [CrossRef]
- Fu, Q.-M.; Zhao, L.; Yang, K.; Gu, B.-M.; Liu, Y.-X. Stability and (quasi-)localization of gravitational fluctuations in Eddington-Inspired Born-Infeld brane system. 2014; arXiv:1407.6107. [Google Scholar]
- Cho, I.; Singh, N.K. Tensor-to-Scalar Ratio in Eddington-inspired Born-Infeld Inflation. 2014; arXiv:1408.2652. [Google Scholar]
- Escamilla-Rivera, C.; Banados, M.; Ferreira, P.G. Tensor instability in the Eddington-inspired Born-Infeld theory of gravity. Phys. Rev. D 2012, 85, 087302. [Google Scholar] [CrossRef]
- Avelino, P.P.; Ferreira, R.Z. Bouncing Eddington-inspired Born-Infeld cosmologies: An alternative to inflation? Phys. Rev. D 2012, 86, 041501. [Google Scholar] [CrossRef]
- Cho, I.; Kim, H.-C.; Moon, T. Universe Driven by Perfect Fluid in Eddington-inspired Born-Infeld Gravity. Phys. Rev. D 2012, 86, 084018. [Google Scholar] [CrossRef]
- Scargill, J.H.C.; Banados, M.; Ferreira, P.G. Cosmology with Eddington-inspired gravity. Phys. Rev. D 2012, 86, 103533. [Google Scholar] [CrossRef]
- Bouhmadi-Lopez, M.; Chen, C.-Y.; Chen, P. Is Eddington-Born-Infeld theory really free of cosmological singularities? Eur. Phys. J. C 2014, 74, 2802. [Google Scholar] [CrossRef]
- Bouhmadi-Lopez, M.; Chen, C.Y.; Chen, P. Eddington-Born-Infeld cosmology: a cosmographic approach, a tale of doomsdays and the fate of bound structures. 2014; arXiv:1406.6157. [Google Scholar]
- Bouhmadi-Lopez, M.; Chen, C.Y.; Chen, P. Cosmological singularities in Born-Infeld determinantal gravity. 2014; arXiv:1407.5114. [Google Scholar]
- Kim, H.-C. Origin of the universe: A hint from Eddington-inspired Born-Infeld gravity. 2013; arXiv:1312.0703. [Google Scholar]
- Rodrigues, D.C. Evolution of Anisotropies in Eddington-Born-Infeld Cosmology. Phys. Rev. D 2008, 78, 063013. [Google Scholar] [CrossRef]
- Jaffe, T.R.; Banday, A.J.; Eriksen, H.K.; Gorski, K.M.; Hansen, F.K. Evidence of Vorticity and Shear at Large Angular Scales in the WMAP Data: A Violation of Cosmological Isotropy? Astrophys. J. 2005, 629, L1. [Google Scholar] [CrossRef]
- Grøn, Ø. Expansion isotropization during the inflationary era. Phys. Rev. D 1985, 32, 1586. [Google Scholar] [CrossRef]
- Caderni, N.; Fabbri, R. Neutrino viscosity and isotropization of anisotropic-curvature cosmological models. Phys. Rev. D 1979, 20, 1251. [Google Scholar] [CrossRef]
- Chen, C.-M.; Harko, T.; Mak, M.K. Exact anisotropic brane cosmologies. Phys. Rev. D 2001, 64, 044013. [Google Scholar] [CrossRef]
- Harko, T.; Mak, M.K. Anisotropy in Bianchi-type brane cosmologies. Class. Quant. Grav. 2004, 21, 1489. [Google Scholar] [CrossRef]
- Shapiro, S.L.; Teukolsky, S.A. Black Holes, White Dwarfs and Neutron Stars; John Wiley & Sons: New York, NY, USA, 1983. [Google Scholar]
© 2014 by the authors; licensee MDPI, Basel, Switzerland. This article is an open access article distributed under the terms and conditions of the Creative Commons Attribution license (http://creativecommons.org/licenses/by/4.0/).
Share and Cite
Harko, T.; Lobo, F.S.N.; Mak, M.K. Bianchi Type I Cosmological Models in Eddington-inspired Born–Infeld Gravity. Galaxies 2014, 2, 496-519. https://doi.org/10.3390/galaxies2040496
Harko T, Lobo FSN, Mak MK. Bianchi Type I Cosmological Models in Eddington-inspired Born–Infeld Gravity. Galaxies. 2014; 2(4):496-519. https://doi.org/10.3390/galaxies2040496
Chicago/Turabian StyleHarko, Tiberiu, Francisco S.N. Lobo, and Man Kwong Mak. 2014. "Bianchi Type I Cosmological Models in Eddington-inspired Born–Infeld Gravity" Galaxies 2, no. 4: 496-519. https://doi.org/10.3390/galaxies2040496
APA StyleHarko, T., Lobo, F. S. N., & Mak, M. K. (2014). Bianchi Type I Cosmological Models in Eddington-inspired Born–Infeld Gravity. Galaxies, 2(4), 496-519. https://doi.org/10.3390/galaxies2040496
