Single Parameter Model for Galaxy Rotation Curves
Abstract
1. Introduction
2. Rotation Curve Fitting Models
2.1. Dark Matter Rotation Curve Formula
2.2. Relative-Frame Rotation Curve Formula
3. Methods
3.1. Luminous Mass Modeling
3.2. Gravitational Potential
3.3. Geometric Simplifications
3.4. Fitting Procedure
3.5. Number of Free Parameters
4. Results
4.1. Goodness of Fits
4.2. Free-Parameter Correlation
- 1.
- 2.
- Galaxies with sky inclinations between and , excluding those with inclinations greater than , where surface brightness profiles are uncertain, and less than , where line-of-sight Doppler shifts are unreliable.
- 3.
- Excluding galaxies with a quality factor , which are not suited for dynamical studies. The SPARC database [29] assigns for high-quality rotation curves, Q = 2 for minor asymmetries or lower-quality curves, and for major asymmetries, strong non-circular motions, or offsets between HI and stellar distributions.
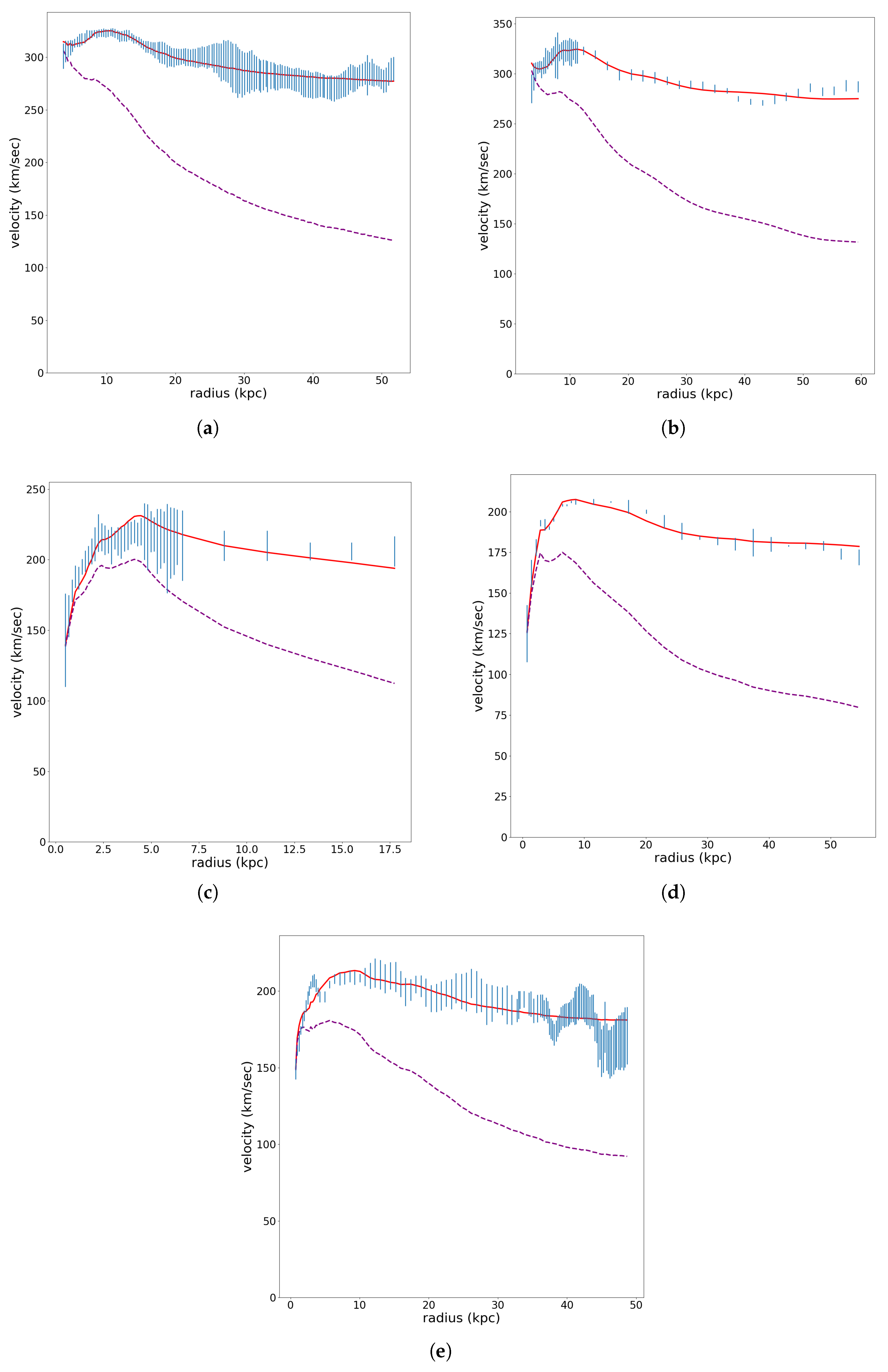
4.3. Comparing Milky Way Models
4.4. Comparisons to Other Alternative Formulations of the Rotation Curve Problem
5. Conclusions
Author Contributions
Funding
Data Availability Statement
Acknowledgments
Conflicts of Interest
Abbreviations
| RC | Rotation Curve |
| MW | Milky Way |
| SPARC | Spitzer Photometry and Accurate Rotation Curves |
| URC | Universal Rotation Curve |
| SED | Spectral Energy Density |
| SDSS | Sloan Digital Sky Survey |
| CDM | Cold Dark Matter |
| RAR | Radial Acceleration Relation |
| NFW | Navarro-Frenk-White |
| NOMs | Newtonian orbital models |
| TeVeS | Tensor-Vector-Scalar |
Appendix A. Figures, Tables and Detailed Information on Data Used
Appendix A.1. SPARC Database
Appendix A.2. Milky Way Luminous Mass Models
| Author | Scale Length | Model for | Range |
|---|---|---|---|
| Bulge/Bar | Extended RC | ||
| Sofue-Xue | 0.5 kpc | NFW dark matter | [0, 60] kpc |
| [58,59] | bulge | [81] | |
| McGaugh | 4.2 kpc | RAR | [0, 150] kpc |
| [61] | bulge-bar | [80] |
Appendix A.3. Fit Results for the 175 SPARC Galaxies
| Name | NFW Dark Matter | Our Model with XSJ MW | |||||
|---|---|---|---|---|---|---|---|
| CamB | 7.92 | 0.35 | … | 0.23 | 0.00 | … | 24,989.21 |
| D512-2 | NaN | NaN | NaN | 0.21 | 1.48 | … | 131.01 |
| D564-8 | 6.7 | 0.45 | … | 0.11 | 1.21 | … | 4130.26 |
| D631-7 | 12.21 | 0.39 | … | 0.30 | 0.26 | … | 2725.54 |
| DDO064 | 1.05 | 0.5 | … | 0.45 | 1.58 | … | 345.48 |
| DDO154 | 16.57 | 0.33 | … | 10.58 | 1.18 | … | 1567.39 |
| DDO161 | 1.99 | 0.47 | … | 0.62 | 0.97 | … | 279.60 |
| DDO168 | 23.93 | 0.56 | … | 4.36 | 0.76 | … | 1290.43 |
| DDO170 | 4.44 | 0.5 | … | 3.19 | 1.84 | … | 122.03 |
| ESO079-G014 | 4.9 | 0.57 | … | 3.86 | 1.09 | … | 8.46 |
| ESO116-G012 | 3.82 | 0.39 | … | 1.03 | 1.04 | … | 58.84 |
| ESO444-G084 | 4.71 | 0.52 | … | 0.40 | 1.86 | … | 465.01 |
| ESO563-G021 | 19.23 | 0.96 | … | 16.41 | 1.00 | … | 1.78 |
| F561-1 | 1.21 | 0.49 | … | 1.05 | 0.96 | … | 0.00 |
| F563-1 | 1.47 | 0.54 | … | 0.95 | 2.06 | … | 60.28 |
| F563-V1 | 2.21 | 0.47 | … | 0.29 | 0.99 | … | 0.00 |
| F563-V2 | 1.98 | 0.55 | … | 0.11 | 2.20 | … | 11.90 |
| F565-V2 | 3.6 | 0.54 | … | 0.31 | 2.22 | … | 218.59 |
| F567-2 | NaN | NaN | NaN | 0.50 | 1.31 | … | 29.40 |
| F568-1 | 1.57 | 0.56 | … | 0.72 | 1.91 | … | 27.98 |
| F568-3 | 4.99 | 0.55 | … | 1.79 | 1.31 | … | 68.81 |
| F568-V1 | 0.31 | 0.53 | … | 0.14 | 2.14 | … | 9.17 |
| F571-8 | 9.6 | 0.2 | … | 2.04 | 0.17 | … | 12,596.96 |
| F571-V1 | 1.39 | 0.5 | … | 0.20 | 1.49 | … | 102.53 |
| F574-1 | 2.21 | 0.54 | … | 1.42 | 1.54 | … | 20.27 |
| F574-2 | NaN | NaN | NaN | 0.14 | 0.67 | … | 147.79 |
| F579-V1 | 0.91 | 0.47 | … | 1.07 | 1.63 | … | 0.00 |
| F583-1 | 2.23 | 0.59 | … | 1.04 | 1.87 | … | 128.01 |
| F583-4 | 0.34 | 0.49 | … | 0.28 | 1.30 | … | 60.22 |
| IC2574 | 36.3 | 0.44 | … | 2.27 | 1.10 | … | 885.47 |
| IC4202 | 20.56 | 0.67 | 0.14 | 12.18 | 0.00 | 0.44 | 150.83 |
| KK98-251 | 3.61 | 0.53 | … | 0.42 | 1.67 | … | 536.07 |
| NGC0024 | 0.66 | 1.18 | … | 0.73 | 1.39 | … | 9.88 |
| NGC0055 | 4.35 | 0.36 | … | 2.86 | 1.01 | … | 106.90 |
| NGC0100 | 1.94 | 0.46 | … | 0.10 | 0.93 | … | 161.92 |
| NGC0247 | 2.03 | 0.66 | … | 2.18 | 1.53 | … | 8.03 |
| NGC0289 | 2.06 | 0.53 | … | 1.78 | 0.74 | … | 3.59 |
| NGC0300 | 0.93 | 0.41 | … | 0.42 | 1.14 | … | 85.28 |
| NGC0801 | 7.15 | 0.72 | … | 7.38 | 0.77 | … | 0.82 |
| NGC0891 | 4.39 | 0.25 | 0.54 | 1.89 | 0.66 | 0.00 | 3.46 |
| NGC1003 | 2.54 | 0.66 | … | 3.42 | 0.77 | … | 80.54 |
| NGC1090 | 2.77 | 0.54 | … | 2.27 | 0.81 | … | 4.88 |
| NGC1705 | 1.33 | 0.82 | … | 0.13 | 1.25 | … | 35.94 |
| NGC2366 | 3.91 | 0.31 | … | 2.34 | 1.06 | … | 446.13 |
| NGC2403 | 9.09 | 0.39 | … | 10.73 | 0.86 | … | 19.32 |
| NGC2683 | 2.66 | 0.66 | 0.67 | 1.01 | 0.88 | 0.44 | 1.78 |
| NGC2841 | 1.47 | 1 | 0.88 | 1.36 | 0.91 | 1.10 | 1.40 |
| NGC2903 | 6.54 | 0.27 | … | 7.45 | 0.62 | … | 2.62 |
| NGC2915 | 1.05 | 0.44 | … | 0.63 | 0.56 | … | 841.91 |
| NGC2955 | 4.27 | 0.32 | 0.82 | 4.45 | 0.40 | 0.88 | 1.80 |
| NGC2976 | 1.45 | 0.6 | … | 0.46 | 0.91 | … | 40.19 |
| NGC2998 | 3.53 | 0.55 | … | 3.74 | 0.87 | … | 2.14 |
| NGC3109 | 15.31 | 0.92 | … | 0.28 | 2.05 | … | 661.98 |
| NGC3198 | 1.46 | 0.46 | … | 1.72 | 0.88 | … | 8.51 |
| NGC3521 | 0.29 | 0.5 | … | 0.77 | 0.71 | … | 1.67 |
| NGC3726 | 3.27 | 0.49 | … | 2.41 | 0.76 | … | 8.32 |
| NGC3741 | 1.74 | 0.55 | … | 0.65 | 0.71 | … | 6628.19 |
| NGC3769 | 1.06 | 0.41 | … | 0.71 | 0.71 | … | 16.99 |
| NGC3877 | 6.44 | 0.32 | … | 9.07 | 0.87 | … | 0.00 |
| NGC3893 | 1.74 | 0.46 | … | 0.57 | 0.73 | … | 4.80 |
| NGC3917 | 4 | 0.76 | … | 2.70 | 1.14 | … | 7.20 |
| NGC3949 | 1.38 | 0.46 | … | 0.76 | 0.73 | … | 6.28 |
| NGC3953 | 2.96 | 0.62 | … | 0.76 | 0.90 | … | 0.41 |
| NGC3972 | 2.94 | 0.55 | … | 2.08 | 1.03 | … | 17.63 |
| NGC3992 | 1.58 | 0.56 | … | 1.68 | 1.04 | … | 1.88 |
| NGC4010 | 4.56 | 0.46 | … | 1.90 | 0.85 | … | 38.02 |
| NGC4013 | 0.95 | 0.54 | 0.82 | 1.53 | 0.54 | 1.43 | 6.04 |
| NGC4051 | 3.53 | 0.47 | … | 1.91 | 0.81 | … | 0.98 |
| NGC4068 | 10.89 | 0.44 | … | 0.27 | 0.80 | … | 1383.44 |
| NGC4085 | 15.12 | 0.39 | … | 2.83 | 0.58 | … | 44.82 |
| NGC4088 | 0.66 | 0.39 | … | 0.87 | 0.63 | … | 4.78 |
| NGC4100 | 1.29 | 0.57 | … | 1.90 | 0.95 | … | 3.50 |
| NGC4138 | 7.83 | 0.62 | 0.7 | 0.75 | 0.98 | 0.00 | 1.98 |
| NGC4157 | 0.57 | 0.48 | 0.67 | 0.61 | 0.69 | 0.56 | 4.08 |
| NGC4183 | 0.33 | 0.46 | … | 0.53 | 1.24 | … | 9.51 |
| NGC4214 | 1.01 | 0.54 | … | 1.19 | 1.01 | … | 42.96 |
| NGC4217 | 3.27 | 0.98 | 0.22 | 1.33 | 1.13 | 0.46 | 6.24 |
| NGC4389 | 26.19 | 0.32 | … | 0.20 | 0.31 | … | 562.73 |
| NGC4559 | 0.3 | 0.43 | … | 0.34 | 0.77 | … | 18.47 |
| NGC5005 | 0.09 | 0.5 | 0.55 | 0.07 | 0.62 | 0.69 | 1.36 |
| NGC5033 | 3.44 | 0.35 | 0.39 | 6.39 | 0.85 | 0.52 | 1.36 |
| NGC5055 | 2.54 | 0.26 | … | 6.29 | 0.62 | … | 2.12 |
| NGC5371 | 5.03 | 0.26 | … | 12.55 | 0.78 | … | 0.49 |
| NGC5585 | 6.94 | 0.21 | … | 6.35 | 0.75 | … | 149.12 |
| NGC5907 | 5.52 | 0.3 | … | 7.88 | 0.94 | … | 2.27 |
| NGC5985 | 2.38 | 0.28 | 0.65 | 3.84 | 0.00 | 1.98 | 13.73 |
| NGC6015 | 8.89 | 0.55 | … | 13.06 | 0.99 | … | 4.41 |
| NGC6195 | 2.06 | 0.36 | 0.84 | 2.95 | 0.41 | 0.81 | 1.73 |
| NGC6503 | 1.58 | 0.41 | … | 1.44 | 0.75 | … | 16.96 |
| NGC6674 | 3.42 | 1.29 | 0.92 | 3.98 | 0.70 | 1.87 | 0.68 |
| NGC6789 | NaN | NaN | NaN | 0.57 | 1.41 | … | 865.65 |
| NGC6946 | 1.7 | 0.5 | 0.53 | 1.75 | 0.64 | 0.58 | 2.52 |
| NGC7331 | 0.81 | 0.42 | 0.61 | 1.05 | 0.53 | 1.17 | 2.46 |
| NGC7793 | 0.94 | 0.55 | … | 0.75 | 0.89 | … | 12.82 |
| NGC7814 | 0.7 | 0.65 | 0.57 | 0.63 | 0.38 | 0.68 | 1.70 |
| PGC51017 | 22.6 | 0.44 | … | 2.31 | 0.80 | … | 0.00 |
| UGC00128 | 3.71 | 0.53 | … | 6.16 | 1.64 | … | 14.71 |
| UGC00191 | 6.09 | 0.58 | … | 2.45 | 1.38 | … | 35.72 |
| UGC00634 | NaN | NaN | NaN | 5.83 | 1.57 | … | 73.92 |
| UGC00731 | 0.54 | 0.55 | … | 0.08 | 3.79 | … | 26.23 |
| UGC00891 | NaN | NaN | NaN | 1.45 | 1.34 | … | 545.08 |
| UGC01230 | 1.7 | 0.52 | … | 0.80 | 1.71 | … | 7.96 |
| UGC01281 | 1.88 | 0.55 | … | 0.34 | 1.42 | … | 587.19 |
| UGC02023 | NaN | NaN | NaN | 0.06 | 0.72 | … | 1265.61 |
| UGC02259 | 2.44 | 0.43 | … | 4.66 | 1.81 | … | 16.62 |
| UGC02455 | 10.42 | 0.34 | … | 0.90 | 0.28 | … | 843.15 |
| UGC02487 | 5.26 | 0.7 | 0.59 | 4.18 | 1.24 | 0.77 | 0.91 |
| UGC02885 | 1 | 0.42 | 1.05 | 2.14 | 0.50 | 0.98 | 1.83 |
| UGC02916 | 11.4 | 0.5 | 0.5 | 11.36 | 1.41 | 0.71 | 0.28 |
| UGC02953 | 5.64 | 0.54 | 0.57 | 5.69 | 0.74 | 0.78 | 0.92 |
| UGC03205 | 3.54 | 0.68 | 1.04 | 2.99 | 0.68 | 1.07 | 1.58 |
| UGC03546 | 1.03 | 0.59 | 0.47 | 1.14 | 0.61 | 0.60 | 1.41 |
| UGC03580 | 2.36 | 0.68 | 0.28 | 2.20 | 0.48 | 0.41 | 71.41 |
| UGC04278 | 3.19 | 0.48 | … | 0.92 | 1.00 | … | 642.15 |
| UGC04305 | 2.22 | 0.53 | … | 1.80 | 0.88 | … | 0.00 |
| UGC04325 | 6.66 | 0.49 | … | 3.72 | 1.87 | … | 0.00 |
| UGC04483 | 1.33 | 0.48 | … | 0.52 | 1.28 | … | 1016.96 |
| UGC04499 | 1.84 | 0.47 | … | 1.54 | 1.14 | … | 94.39 |
| UGC05005 | 1.38 | 0.49 | … | 0.09 | 1.03 | … | 164.00 |
| UGC05253 | 2.5 | 0.28 | 0.75 | 5.65 | 0.53 | 0.72 | 1.37 |
| UGC05414 | 10.59 | 0.47 | … | 0.19 | 1.06 | … | 218.15 |
| UGC05716 | 2.49 | 0.45 | … | 3.81 | 1.52 | … | 148.84 |
| UGC05721 | 1.37 | 0.47 | … | 0.84 | 1.11 | … | 79.50 |
| UGC05750 | 2.08 | 0.52 | … | 0.47 | 1.57 | … | 39.99 |
| UGC05764 | 10.91 | 0.45 | … | 9.45 | 3.70 | … | 49.28 |
| UGC05829 | 0.6 | 0.51 | … | 0.07 | 1.85 | … | 145.88 |
| UGC05918 | 0.31 | 0.51 | … | 0.21 | 2.31 | … | 12.08 |
| UGC05986 | 7.1 | 0.49 | … | 1.69 | 1.15 | … | 39.53 |
| UGC05999 | NaN | NaN | NaN | 3.56 | 1.27 | … | 128.32 |
| UGC06399 | 1.75 | 0.56 | … | 0.22 | 1.43 | … | 53.24 |
| UGC06446 | 0.36 | 0.51 | … | 0.17 | 1.69 | … | 48.05 |
| UGC06614 | 0.28 | 0.47 | 0.71 | 1.20 | 0.72 | 0.59 | 7.81 |
| UGC06628 | 0.9 | 0.51 | … | 0.57 | 0.83 | … | 0.00 |
| UGC06667 | 3.46 | 0.64 | … | 2.41 | 3.77 | … | 0.00 |
| UGC06786 | 0.87 | 0.4 | 0.61 | 0.69 | 0.50 | 0.66 | 6.56 |
| UGC06787 | 18.57 | 1.1 | 0.3 | 24.78 | 0.73 | 0.57 | 2.24 |
| UGC06818 | 9.52 | 0.41 | … | 1.24 | 0.53 | … | 2418.29 |
| UGC06917 | 1.5 | 0.51 | … | 1.09 | 1.12 | … | 39.19 |
| UGC06923 | 4.67 | 0.47 | … | 0.88 | 0.80 | … | 124.98 |
| UGC06930 | 0.54 | 0.5 | … | 0.55 | 1.25 | … | 13.66 |
| UGC06973 | 3.82 | 0.21 | 0.48 | 0.41 | 0.36 | 0.81 | 12.97 |
| UGC06983 | 0.77 | 0.54 | … | 0.77 | 1.26 | … | 28.24 |
| UGC07089 | 1.22 | 0.46 | … | 0.15 | 0.95 | … | 132.60 |
| UGC07125 | 0.76 | 0.49 | … | 1.18 | 1.08 | … | 55.91 |
| UGC07151 | 3.73 | 0.72 | … | 1.30 | 1.15 | … | 32.08 |
| UGC07232 | NaN | NaN | NaN | 0.76 | 0.82 | … | 1563.21 |
| UGC07261 | 0.87 | 0.52 | … | 1.46 | 1.22 | … | 40.71 |
| UGC07323 | 2.63 | 0.49 | … | 0.26 | 0.97 | … | 86.65 |
| UGC07399 | 1.99 | 0.54 | … | 1.00 | 1.54 | … | 70.39 |
| UGC07524 | 0.97 | 0.5 | … | 1.48 | 1.59 | … | 34.22 |
| UGC07559 | 1.97 | 0.43 | … | 0.21 | 0.97 | … | 1061.77 |
| UGC07577 | 3.11 | 0.37 | … | 0.06 | 0.67 | … | 4668.25 |
| UGC07603 | 2.36 | 0.46 | … | 0.52 | 1.07 | … | 288.77 |
| UGC07608 | 1.94 | 0.51 | … | 0.30 | 2.02 | … | 428.16 |
| UGC07690 | 3.5 | 0.67 | … | 0.40 | 1.05 | … | 29.31 |
| UGC07866 | 0.3 | 0.46 | … | 0.07 | 1.26 | … | 330.26 |
| UGC08286 | 3.02 | 0.62 | … | 2.66 | 1.66 | … | 36.50 |
| UGC08490 | 0.29 | 0.48 | … | 0.15 | 1.26 | … | 40.48 |
| UGC08550 | 1.53 | 0.6 | … | 0.70 | 1.35 | … | 171.01 |
| UGC08699 | 0.72 | 0.74 | 0.59 | 0.95 | 0.55 | 0.76 | 1.94 |
| UGC08837 | 10.79 | 0.38 | … | 0.69 | 0.78 | … | 1422.40 |
| UGC09037 | 2.13 | 0.25 | … | 1.55 | 0.58 | … | 26.53 |
| UGC09133 | 7.17 | 0.75 | 0.53 | 7.50 | 0.77 | 0.72 | 0.71 |
| UGC09992 | NaN | NaN | NaN | 0.04 | 1.30 | … | 0.10 |
| UGC10310 | 1.63 | 0.51 | … | 0.12 | 1.54 | … | 19.21 |
| UGC11455 | 5.47 | 0.61 | … | 3.98 | 0.76 | … | 2.41 |
| UGC11557 | 2.06 | 0.47 | … | 0.91 | 0.60 | … | 73.80 |
| UGC11820 | 2.63 | 0.58 | … | 1.44 | 1.24 | … | 145.34 |
| UGC11914 | 0.87 | 0.34 | 0.91 | 1.61 | 0.04 | 0.89 | 2.46 |
| UGC12506 | 0.26 | 0.43 | … | 1.18 | 1.35 | … | 1.20 |
| UGC12632 | 0.45 | 0.48 | … | 0.21 | 1.86 | … | 31.86 |
| UGC12732 | 0.26 | 0.5 | … | 0.18 | 1.51 | … | 82.38 |
| UGCA281 | 1.46 | 0.5 | … | 0.28 | 1.23 | … | 339.55 |
| UGCA442 | 7.38 | 0.61 | … | 0.86 | 2.28 | … | 261.55 |
| UGCA444 | 0.23 | 0.51 | … | 0.10 | 3.78 | … | 425.75 |
| Dark Matter | Our Model | Our Model | |||||
|---|---|---|---|---|---|---|---|
| NFW | MJ | XSJ | Distance | ||||
| Name | (Mpc) | ||||||
| CamB | 7.92 | 0.81 | 2505.76 | 0.23 | 24,989.21 | 3.36 | 0.06 |
| D564-8 | 6.70 | 0.03 | 1177.28 | 0.11 | 4130.26 | 8.79 | 0.05 |
| D631-7 | 12.21 | 1.22 | 501.02 | 0.30 | 2725.54 | 7.72 | 0.16 |
| DDO154 | 16.57 | 6.15 | 500.74 | 10.58 | 1567.39 | 4.04 | 0.08 |
| DDO168 | 23.93 | 4.55 | 330.48 | 4.36 | 1290.43 | 4.25 | 0.15 |
| ESO444-G084 | 4.71 | 1.19 | 156.01 | 0.40 | 465.01 | 4.83 | 0.09 |
| IC2574 | 36.30 | 1.69 | 233.95 | 2.27 | 885.47 | 3.91 | 0.32 |
| NGC0024 | 0.66 | 0.94 | 2.96 | 0.73 | 9.88 | 7.30 | 1.93 |
| NGC0055 | 4.35 | 1.51 | 35.98 | 2.86 | 106.90 | 2.11 | 1.26 |
| NGC0247 | 2.03 | 2.36 | 1.78 | 2.18 | 8.03 | 3.70 | 1.25 |
| NGC0300 | 0.93 | 0.44 | 33.21 | 0.42 | 85.28 | 2.08 | 1.65 |
| NGC2403 | 9.09 | 14.13 | 9.06 | 10.73 | 19.32 | 3.16 | 4.65 |
| NGC2683 | 2.66 | 0.96 | 0.85 | 1.01 | 1.78 | 9.81 | 24.08 |
| NGC2841 | 1.47 | 1.19 | 2.20 | 1.36 | 1.40 | 14.10 | 34.14 |
| NGC2915 | 1.05 | 0.59 | 917.03 | 0.63 | 841.91 | 4.06 | 1.21 |
| NGC2976 | 1.45 | 0.47 | 6.77 | 0.46 | 40.19 | 3.58 | 2.57 |
| NGC3109 | 15.31 | 0.35 | 164.55 | 0.28 | 661.98 | 1.33 | 0.12 |
| NGC3198 | 1.46 | 1.31 | 3.88 | 1.72 | 8.51 | 13.80 | 6.55 |
| NGC3741 | 1.74 | 0.60 | 2271.94 | 0.65 | 6628.19 | 3.21 | 0.09 |
| NGC4214 | 1.01 | 1.60 | 15.38 | 1.19 | 42.96 | 2.87 | 1.63 |
| NGC5055 | 2.54 | 7.70 | 1.28 | 6.29 | 2.12 | 9.90 | 36.58 |
| NGC6503 | 1.58 | 1.72 | 9.31 | 1.44 | 16.96 | 6.26 | 7.93 |
| NGC6789 | NaN | 0.08 | 2993.97 | 0.57 | 865.65 | 3.52 | 0.19 |
| NGC6946 | 1.70 | 2.52 | 1.74 | 1.75 | 2.52 | 5.52 | 15.76 |
| NGC7331 | 0.81 | 1.04 | 1.70 | 1.05 | 2.46 | 14.70 | 62.81 |
| NGC7793 | 0.94 | 0.71 | 4.21 | 0.75 | 12.82 | 3.61 | 3.22 |
| UGC04483 | 1.33 | 0.45 | 214.19 | 0.52 | 1016.96 | 3.34 | 0.05 |
| UGC07232 | NaN | 0.85 | 488.75 | 0.76 | 1563.21 | 2.83 | 0.25 |
| UGC07524 | 0.97 | 1.28 | 14.09 | 1.48 | 34.22 | 4.74 | 0.67 |
| UGC07559 | 1.97 | 0.17 | 203.80 | 0.21 | 1061.77 | 4.97 | 0.11 |
| UGC07577 | 3.11 | 0.06 | 737.74 | 0.06 | 4668.25 | 2.59 | 0.06 |
| UGC07866 | 0.30 | 0.08 | 55.68 | 0.07 | 330.26 | 4.57 | 0.13 |
| UGC08490 | 0.29 | 0.26 | 17.67 | 0.15 | 40.48 | 4.65 | 0.89 |
| UGC08837 | 10.79 | 0.61 | 309.13 | 0.69 | 1422.40 | 7.21 | 0.22 |
| UGCA442 | 7.38 | 0.72 | 74.81 | 0.86 | 261.55 | 4.35 | 0.08 |
| UGCA444 | 0.23 | 0.12 | 98.80 | 0.10 | 425.75 | 0.98 | 0.03 |
Appendix B. Individual Galaxy Comparisons
Appendix B.1. Declining Rotation Curves

Appendix B.2. Truly Flat Rotation Curves
Appendix B.3. Ascending Rotation Curves
References
- Rubin, V.C.; Ford, W.K., Jr. Rotation of the Andromeda Nebula from a Spectroscopic Survey of Emission Regions. Astrophys. J. 1970, 159, 379. [Google Scholar] [CrossRef]
- Rubin, V.C.; Thonnard, N.; Ford, W.K., Jr. Extended rotation curves of high-luminosity spiral galaxies. IV—Systematic dynamical properties, SA through SC. Astrophys. J. 1978, 225, L107–L111. [Google Scholar] [CrossRef]
- Bosma, A. The distribution and kinematics of neutral hydrogen in spiral galaxies of various morphological types. Astron. J. 1981, 86, 1791. [Google Scholar] [CrossRef]
- van Albada, T.S.; Bahcall, J.N.; Begeman, K.; Sancisi, R. Distribution of dark matter in the spiral galaxy NGC 3198. Astrophys. J. 1985, 295, 305–313. [Google Scholar] [CrossRef]
- Cebrián, S. Review on dark matter searches. arXiv 2022, arXiv:2205.06833. [Google Scholar] [CrossRef]
- Misiaszek, M.; Rossi, N. Direct Detection of Dark Matter: A Critical Review. Symmetry 2024, 16, 201. [Google Scholar] [CrossRef]
- Akerib, D.S.; Cushman, P.B.; Dahl, C.E.; Ebadi, R.; Fan, A.; Gaitskell, R.J.; Galbiati, C.; Giovanetti, G.K.; Gelmini, G.B.; Grandi, L.; et al. Snowmass2021 Cosmic Frontier Dark Matter Direct Detection to the Neutrino Fog. arXiv 2022, arXiv:2203.08084. [Google Scholar] [CrossRef]
- Ostriker, J.P.; Peebles, P.J.E. A Numerical Study of the Stability of Flattened Galaxies: Or, can Cold Galaxies Survive? Astrophys. J. 1973, 186, 467–480. [Google Scholar] [CrossRef]
- Rubin, V.; Ford, W.; Thonnard, N. Rotational properties of 21 SC galaxies with a large range of luminosities and radii. Astrophys. J. 1980, 238, 471. [Google Scholar] [CrossRef]
- Persic, M.; Salucci, P. Dark and visible matter in Galaxies. ASP Conf. Ser. 1997, 117, 1. [Google Scholar]
- Sofue, Y.; Rubin, V. Rotation Curves of Spiral Galaxies. Annu. Rev. Astron. Astrophys. 2001, 39, 137. [Google Scholar] [CrossRef]
- McGaugh, S.S.; Schombert, J.M.; Bothun, G.D.; de Blok, W.J.G. The Baryonic Tully-Fisher Relation. Astrophys. J. 2000, 533, L99–L102. [Google Scholar] [CrossRef]
- McGaugh, S. Galaxy Dynamics. Conf. Proc. 1999, 182. [Google Scholar]
- McGaugh, S.S. The Mass Discrepancy-Acceleration Relation: Disk Mass and the Dark Matter Distribution. Astrophys. J. 2004, 609, 652–666. [Google Scholar] [CrossRef]
- Tully, R.B.; Fisher, J.R. A new method of determining distances to galaxies. Astron. Astrophys. 1977, 54, 661–673. [Google Scholar]
- Ziegler, B.L.; Böhm, A.; Fricke, K.J.; Jäger, K.; Nicklas, H.; Bender, R.; Drory, N.; Gabasch, A.; Saglia, R.P.; Seitz, S.; et al. The Evolution of the Tully-Fisher Relation of Spiral Galaxies. Astrophys. J. 2001, 564, L69. [Google Scholar] [CrossRef]
- Persic, M.; Salucci, P.; Stel, F. The universal rotation curve of spiral galaxies—I. The dark matter connection. Mon. Not. R. Astron. Soc. 1996, 281, 27–47. [Google Scholar] [CrossRef]
- Salucci, P.; Burkert, A. Dark Matter Scaling Relations. Astrophys. J. 2000, 537, L9–L12. [Google Scholar] [CrossRef]
- Maschberger, T.; Bonnell, I.A.; Clarke, C.J.; Moraux, E. The relation between accretion rates and the initial mass function in hydrodynamical simulations of star formation. Mon. Not. R. Astron. Soc. 2014, 439, 234–246. [Google Scholar] [CrossRef]
- Iocco, F.; Pato, M.; Bertone, G. Evidence for dark matter in the inner Milky Way. Nat. Phys. 2015, 11, 245–248. [Google Scholar] [CrossRef]
- Li, P.; Lelli, F.; McGaugh, S.; Schombert, J. A Comprehensive Catalog of Dark Matter Halo Models for SPARC Galaxies. Astrophys. J. Suppl. Ser. 2020, 247, 31. [Google Scholar] [CrossRef]
- Spinrad, H.; Taylor, B.J. The Stellar Content of the Nuclei of Nearby Galaxies. I. M31, M32, and M81. Astrophys. J. 1971, 22, 445. [Google Scholar] [CrossRef]
- Conroy, C.; Gunn, J.; White, M. The Propagation of Uncertainties in stellar population synthesis modeling I: The relevance of uncertain aspects of stellar evolution and the IMF to the derived physical properties of galaxies. Astrophys. J. 2009, 699, 486. [Google Scholar] [CrossRef]
- Munshi, F.; Governato, F.; Brooks, A.M.; Christensen, C.; Shen, S.; Loebman, S.; Moster, B.; Quinn, T.; Wadsley, J. Reproducing the Stellar Mass Halo Mass Relation in Simulated Lambda CDM Galaxies: Theory Versus Observational Estimates. Astrophys. J. 2013, 766, 56. [Google Scholar] [CrossRef]
- Conroy, C. Modeling the Panchromatic Spectral Energy Distributions of Galaxies. Annu. Rev. Astron. Astrophys. 2013, 51, 393–455. [Google Scholar] [CrossRef]
- Kurucz, R.L. Special Issue on the 10th International Colloquium on Atomic Spectra and Oscillator Strengths for Astrophysical and Laboratory Plasmas. Can. J. Phys. 2011, 89, 417–428. [Google Scholar] [CrossRef]
- Levesque, E.M.; Leitherer, C.; Ekstrom, S.; Meynet, G.; Schaerer, D. The Effects of Stellar Rotation. I. Impact on the Ionizing Spectra and Integrated Properties of Stellar Populations. Astrophys. J. 2012, 751, 67. [Google Scholar] [CrossRef]
- Yan, R.; Chen, Y.; Lazarz, D.; Bizyaev, D.; Maraston, C.; Stringfellow, G.S.; McCarthy, K.; Meneses-Goytia, S.; Law, D.R.; Thomas, D.; et al. SDSS-IV MaStar: A Large and Comprehensive Empirical Stellar Spectral Library—First Release. Astrophys. J. 2019, 883, 175. [Google Scholar] [CrossRef]
- Lelli, F.; McGaugh, S.S.; Schombert, J.M. SPARC: Mass Models for 175 Disk Galaxies with Spitzer Photometry and Accurate Rotation Curves. Astrophys. J. 2016, 152, 157. [Google Scholar] [CrossRef]
- Ciotti, L. On the Rotation Curve of Disk Galaxies in General Relativity. Astrophys. J. 2022, 936, 180. [Google Scholar] [CrossRef]
- Hofmeister, A.M.; Criss, R.E. The physics of galactic spin. Can. J. Phys. 2017, 95, 156–166. [Google Scholar] [CrossRef]
- Sipols, A.; Pavlovich, A. Dark Matter Dogma: A Study of 214 Galaxies. Galaxies 2020, 8, 36. [Google Scholar] [CrossRef]
- Feng, J.Q. Rotating Disk Galaxies without Dark Matter Based on Scientific Reasoning. Galaxies 2020, 8, 9. [Google Scholar] [CrossRef]
- Milgrom, M. A modification of the Newtonian dynamics—Implications for galaxies. Astrophys. J. 1983, 270, 371–389. [Google Scholar] [CrossRef]
- Wald, R. General Relativity; University of Chicago Press: Chicago, IL, USA, 1984. [Google Scholar]
- Tecchiolli, M. On the Mathematics of Coframe Formalism and Einstein and Cartan Theory. A Brief Review. Universe 2019, 5, 206. [Google Scholar] [CrossRef]
- Jackson, J. Classical Electrodynamics, 3rd ed.; John Wiley & Sons, Inc.: Hoboken, NJ, USA, 1999. [Google Scholar]
- Rindler, W. Essential Relativity: Special, General, and Cosmological; Springer: New York, NY, USA, 2013. [Google Scholar]
- Casertano, S. Rotation curve of the edge-on spiral galaxy NGC 5907: Disc and halo masses. Mon. Not. R. Astron. Soc. 1983, 203, 735–747. [Google Scholar] [CrossRef]
- Pomarède, D.; Tully, R.B.; Graziani, R.; Courtois, H.M.; Hoffman, Y.; Lezmy, J. Cosmicflows-3: The South Pole Wall. Astrophys. J. 2020, 897, 133. [Google Scholar] [CrossRef]
- Schwarzschild, M. Mass distribution and mass-luminosity ratio in galaxies. Astron. J. 1954, 59, 273. [Google Scholar] [CrossRef]
- Freeman, K.C. On the Disks of Spiral and S0 Galaxies. Astrophys. J. 1970, 160, 811. [Google Scholar] [CrossRef]
- Binney, J.; Tremaine, S. Galactic Dynamics, 2nd ed.; Princeton University Press: Princeton, NJ, USA, 2008. [Google Scholar]
- Bratek, Ł.; Jałocha, J.; Kutschera, M. On the axisymmetric thin disc model of flattened galaxies. Mon. Not. R. Astron. Soc. 2008, 391, 1373–1383. [Google Scholar] [CrossRef]
- Bekenstein, J.D. Relativistic gravitation theory for the modified Newtonian dynamics paradigm. Phys. Rev. D 2004, 70, 083509. [Google Scholar] [CrossRef]
- McGaugh, S.S. Milky Way Mass Models and MOND. Astrophys. J. 2008, 683, 137. [Google Scholar] [CrossRef]
- Mistele, T.; McGaugh, S.; Hossenfelder, S. Galactic mass-to-light ratios with superfluid dark matter. Cambridge 2022, 664, A40. [Google Scholar] [CrossRef]
- Loebman, S.R.; Ivezic’, Z.; Quinn, T.R.; Bovy, J.; Christensen, C.R.; Jurić, M.; Roškar, R.; Brooks, A.M.; Governato, F. The Milky Way Tomography with Sloan Digital Sky Survey. V. Mapping the Dark Matter Halo. Astrophys. J. 2014, 794, 151. [Google Scholar] [CrossRef]
- Huré, J.M.; Hersant, F. The Newtonian potential of thin disks. Astron. Astrophys. 2011, 531, A36. [Google Scholar] [CrossRef]
- Chatterjee, T. Potential and force due to thin disk and spherical galaxies. Astrophys. Space Sci. 1987, 139, 243. [Google Scholar] [CrossRef]
- de Vaucouleurs, G. Classification and Morphology of External Galaxies. Handb. Phys. 1959, 53, 275. [Google Scholar] [CrossRef]
- McGaugh, S.S.; De Blok, W. Testing the hypothesis of modified dynamics with low surface brightness galaxies and other evidence. Astrophys. J. 1998, 499, 66. [Google Scholar] [CrossRef]
- McGaugh, S.S.; Lelli, F.; Schombert, J.M. Radial Acceleration Relation in Rotationally Supported Galaxies. Phys. Rev. Lett. 2016, 117, 201101. [Google Scholar] [CrossRef]
- Navarro, J. The Cosmological Significance of Disk Galaxy Rotation Curves. arXiv 1998, arXiv:astro-ph/9807084. [Google Scholar] [CrossRef]
- Bottema, R.; Pestana, J.; Rothberg, B.; Sanders, R. MOND rotation curves for spiral galaxies with Cepheid based distances. Astron. Astrophys. 2002, 393, 453. [Google Scholar] [CrossRef]
- de Blok, W.; Walter, F.; Brinks, E. High-Resolution Rotation Curves and Galaxy Mass Models from THINGS. Astron. J. 2008, 136, 2648. [Google Scholar] [CrossRef]
- Gentile, G.; Farnaey, B.; de Blok, W. THINGS about MOND. Astron. Astrophys. 2011, 527, A76. [Google Scholar] [CrossRef]
- Xue, X.X.; Rix, H.W.; Zhao, G.; Re Fiorentin, P.; Naab, T.; Steinmetz, M.; van den Bosch, F.C.; Beers, T.C.; Lee, Y.S.; Bell, E.F.; et al. The Milky Way’s Circular Velocity Curve to 60 kpc and an Estimate of the Dark Matter Halo Mass from Kinematics of 2400 SDSS Blue Horizontal Branch Stars. Astrophys. J. 2008, 684, 1143–1158. [Google Scholar] [CrossRef]
- Sofue, Y. Mass Distribution and Rotation Curve in the Galaxy. In Planets, Stars and Stellar Systems. Volume 5: Galactic Structure and Stellar Populations; Oswalt, T.D., Gilmore, G., Eds.; Springer: Cham, Switzerland, 2013; p. 985. [Google Scholar]
- Jiao, Y.; Hammer, F.; Wang, H.; Wang, J.; Amram, P.; Chemin, L.; Yang, Y. Detection of the Keplerian decline in the Milky Way rotation curve. Astron. Astrophys. 2023, 678, A208. [Google Scholar] [CrossRef]
- McGaugh, S.S. The Imprint of Spiral Arms on the Galactic Rotation Curve. Astrophys. J. 2019, 885, 87. [Google Scholar] [CrossRef]
- Lelli, F.; McGaugh, S.S.; Schombert, J.M.; Pawlowski, M.S. The Relation Between Stellar and Dynamical Surface Densities in the Central Regions of Disk Galaxies. Astrophys. J. 2016, 827, L19. [Google Scholar] [CrossRef]
- McQuinn, K.B.W.; Boyer, M.; Skillman, E.D.; Dolphin, A.E. Using the Tip of the Red Giant Branch As a Distance Indicator in the Near Infrared. Astrophys. J. 2019, 880, 63. [Google Scholar] [CrossRef]
- Kovács, G. Consistent distances from Baade–Wesselink analyses of Cepheids and RR Lyraes. Mon. Not. R. Astron. Soc. 2003, 342, L58–L62. [Google Scholar] [CrossRef][Green Version]
- Oh, S.H.; De Blok, W.; Walter, F.; Brinks, E.; Kennicutt, R.C. High-resolution dark matter density profiles of things dwarf galaxies: Correcting for noncircular motions. Astron. J. 2008, 136, 2761. [Google Scholar] [CrossRef]
- Ivezić, Ž.; Kahn, S.M.; Tyson, J.A.; Abel, B.; Acosta, E.; Allsman, R.; Alonso, D.; AlSayyad, Y.; Anderson, S.F.; Andrew, J.; et al. LSST: From Science Drivers to Reference Design and Anticipated Data Products. Astrophys. J. 2019, 873, 111. [Google Scholar] [CrossRef]
- McMillan, P.J.; Binney, J.J. Analysing surveys of our Galaxy ‚Äì II. Determining the potential. Mon. Not. R. Astron. Soc. 2013, 433, 1411–1424. [Google Scholar] [CrossRef]
- Fich, M.; Tremaine, S. The mass of the Galaxy. Annu. Rev. Astron. Astrophys. 1991, 29, 409–445. [Google Scholar] [CrossRef]
- Koop, O.; Antoja, T.; Helmi, A.; Callingham, T.M.; Laporte, C.F.P. Assessing the robustness of the Galactic rotation curve inferred from the Jeans equations using Gaia DR3 and cosmological simulations. Astron. Astrophys. 2024, 692, A50. [Google Scholar] [CrossRef]
- Sofue, Y.; Honma, M.; Omodaka, T. Unified Rotation Curve of the Galaxy—Decomposition into de Vaucouleurs Bulge, Disk, Dark Halo, and the 9-kpc Rotation Dip—. Publ. Astron. Soc. Jpn. 2009, 61, 227–236. [Google Scholar] [CrossRef]
- Lin, H.N.; Li, X. The dark matter profiles in the Milky Way. Mon. Not. R. Astron. Soc. 2019, 487, 5679–5684. [Google Scholar] [CrossRef]
- Crézé, M.; Chereul, E.; Bienaymé, O.; Pichon, C. The distribution of nearby stars in phase space mapped by Hipparcos: I. The potential well and local dynamical mass. arXiv 1997, arXiv:astro-ph/9709022. [Google Scholar] [CrossRef]
- Brownstein, J.R.; Moffat, J.W. Galaxy Rotation Curves without Nonbaryonic Dark Matter. Astrophys. J. 2006, 636, 721. [Google Scholar] [CrossRef]
- Sanders, R.H. The Dark Matter Problem: A Historical Perspective; Cambridge University Press: Cambridge, UK, 2010. [Google Scholar]
- Tully, R.B.; Courtois, H.; Hoffman, Y.; Pomarède, D. The Laniakea supercluster of galaxies. Nature 2014, 513, 71. [Google Scholar] [CrossRef]
- Naidu, R.P.; Oesch, P.A.; van Dokkum, P.; Nelson, E.J.; Suess, K.A.; Brammer, G.; Whitaker, K.E.; Illingworth, G.; Bouwens, R.; Tacchella, S.; et al. Two Remarkably Luminous Galaxy Candidates at z [10–12] Revealed by JWST. Astrophys. J. 2022, 940, L14. [Google Scholar] [CrossRef]
- Misner, C.W.; Thorne, K.S.; Wheeler, J.A. Gravitation; Princeton University Press: Princeton, NJ, USA, 1973. [Google Scholar]
- Schombert, J.; McGaugh, S.; Lelli, F. The mass-to-light ratios and the star formation histories of disc galaxies. Mon. Not. R. Astron. Soc. 2018, 483, 1496–1512. [Google Scholar] [CrossRef]
- Bell, E.F.; de Jong, R.S. Stellar Mass-to-Light Ratios and the Tully-Fisher Relation. Astrophys. J. 2001, 550, 212–229. [Google Scholar] [CrossRef]
- Lelli, F.; McGaugh, S.S.; Schombert, J.M.; Pawlowski, M.S. One Law to Rule Them All: The Radial Acceleration Relation of Galaxies. Astrophys. J. 2017, 836, 152. [Google Scholar] [CrossRef]
- Navarro, J.; Frenk, C.; White, S. The Structure of Cold Dark Matter Halos. Astrophys. J. 1997, 462, 563. [Google Scholar] [CrossRef]
- Wiegart, T. Spiral Galaxy HI Models, Rotation Curves and Kinematic Classifications. Ph.D. Thesis, The University of Manitoba, Winnipeg, MB, Canada, 2010. [Google Scholar]
- Battaglia, G.; Fraternali, F.; Oosterloo, T.; Sancisi, R. HI study of the warped spiral galaxy NGC 5055: A disk/dark matter halo offset? Astron. Astrophys. 2006, 447, 49. [Google Scholar] [CrossRef]
- Fraternali, F.; Sancisi, R.; Kamphuis, P. A tale of two galaxies, light and mass NGC 891 and NGC 7814. Astron. Astrophys. 2011. [Google Scholar] [CrossRef]
- van den Bosch, F.C.; Swaters, R.A. Dwarf galaxy rotation curves and the core problem of dark matter haloes. Mon. Not. R. Astron. Soc. 2001, 325, 1017–1038. [Google Scholar] [CrossRef]
- Navarro, J.F.; Benítez-Llambay, A.; Fattahi, A.; Frenk, C.S.; Ludlow, A.D.; Oman, K.A.; Schaller, M.; Theuns, T. The origin of the mass discrepancy-acceleration relation in ΛCDM. Mon. Not. R. Astron. Soc. 2017, 471, 1841–1848. [Google Scholar] [CrossRef]



Disclaimer/Publisher’s Note: The statements, opinions and data contained in all publications are solely those of the individual author(s) and contributor(s) and not of MDPI and/or the editor(s). MDPI and/or the editor(s) disclaim responsibility for any injury to people or property resulting from any ideas, methods, instructions or products referred to in the content. |
© 2026 by the authors. Licensee MDPI, Basel, Switzerland. This article is an open access article distributed under the terms and conditions of the Creative Commons Attribution (CC BY) license.
Share and Cite
Cisneros, S.N.; Ott, R.; Crowley, M.; Roberts, A.; Paz, M. Single Parameter Model for Galaxy Rotation Curves. Galaxies 2026, 14, 12. https://doi.org/10.3390/galaxies14010012
Cisneros SN, Ott R, Crowley M, Roberts A, Paz M. Single Parameter Model for Galaxy Rotation Curves. Galaxies. 2026; 14(1):12. https://doi.org/10.3390/galaxies14010012
Chicago/Turabian StyleCisneros, Sophia N., Rich Ott, Meagan Crowley, Amy Roberts, and Marcus Paz. 2026. "Single Parameter Model for Galaxy Rotation Curves" Galaxies 14, no. 1: 12. https://doi.org/10.3390/galaxies14010012
APA StyleCisneros, S. N., Ott, R., Crowley, M., Roberts, A., & Paz, M. (2026). Single Parameter Model for Galaxy Rotation Curves. Galaxies, 14(1), 12. https://doi.org/10.3390/galaxies14010012

