A Parameter Study of 1D Atmospheric Models of Pulsating AGB Stars
Abstract
1. Introduction
2. Materials and Methods
Reference Model and Adjustment Choice
3. Results
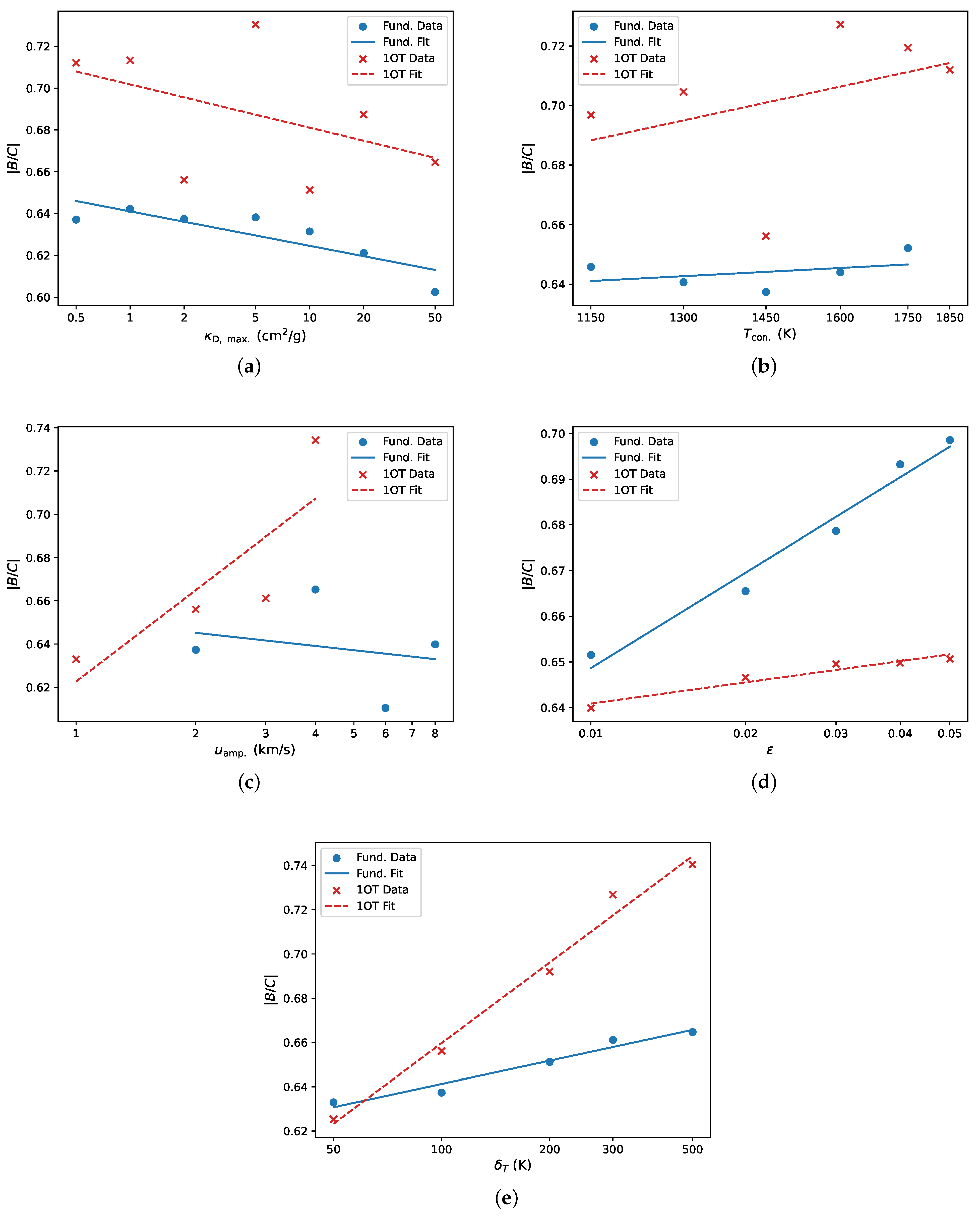
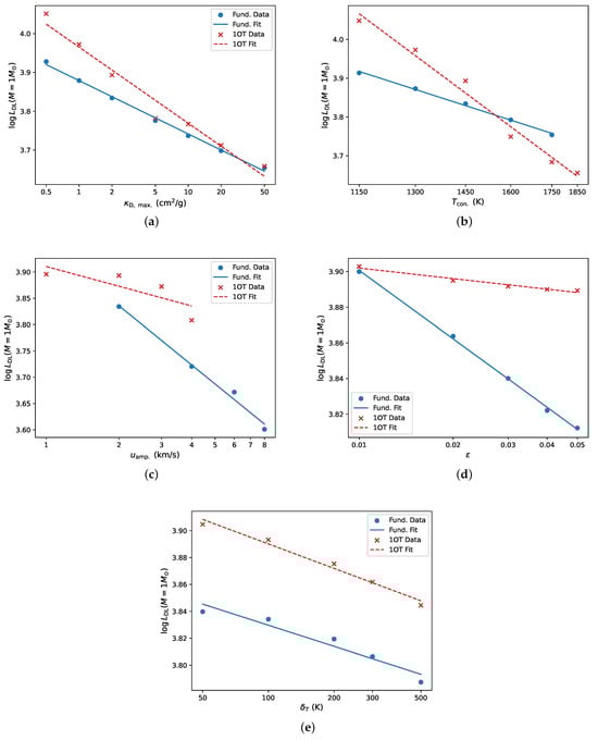
3.1. Parameter Study
3.2. Comparison to Observations
3.3. Differences Between Pulsation Modes
4. Discussion
Author Contributions
Funding
Data Availability Statement
Acknowledgments
Conflicts of Interest
Abbreviations
| AGB | Asymptotic Giant Branch |
| LMC | Large Magellanic Cloud |
| DARWIN | Dynamic Atmosphere and Radiation-driven Wind models based on Implicit Numerics |
References
- Höfner, S.; Olofsson, H. Mass loss of stars on the asymptotic giant branch. Mechanisms, models and measurements. Astron. Astrophys. Rev. 2018, 26, 1. [Google Scholar] [CrossRef]
- Höfner, S. Winds of M-type AGB stars driven by micron-sized grains. Astron. Astrophys. 2008, 491, L1–L4. [Google Scholar] [CrossRef]
- Bladh, S.; Höfner, S. Exploring wind-driving dust species in cool luminous giants. I. Basic criteria and dynamical models of M-type AGB stars. Astron. Astrophys. 2012, 546, A76. [Google Scholar] [CrossRef]
- Bladh, S.; Höfner, S.; Nowotny, W.; Aringer, B.; Eriksson, K. Exploring wind-driving dust species in cool luminous giants. II. Constraints from photometry of M-type AGB stars. Astron. Astrophys. 2013, 553, A20. [Google Scholar] [CrossRef]
- Bladh, S.; Höfner, S.; Aringer, B.; Eriksson, K. Exploring wind-driving dust species in cool luminous giants. III. Wind models for M-type AGB stars: Dynamic and photometric properties. Astron. Astrophys. 2015, 575, A105. [Google Scholar] [CrossRef]
- Höfner, S.; Bladh, S.; Aringer, B.; Ahuja, R. Dynamic atmospheres and winds of cool luminous giants. I. Al2O3 and silicate dust in the close vicinity of M-type AGB stars. Astron. Astrophys. 2016, 594, A108. [Google Scholar] [CrossRef]
- Bladh, S.; Liljegren, S.; Höfner, S.; Aringer, B.; Marigo, P. An extensive grid of DARWIN models for M-type AGB stars. I. Mass-loss rates and other properties of dust-driven winds. Astron. Astrophys. 2019, 626, A100. [Google Scholar] [CrossRef]
- Bladh, S.; Eriksson, K.; Marigo, P.; Liljegren, S.; Aringer, B. Carbon star wind models at solar and sub-solar metallicities: A comparative study. I. Mass loss and the properties of dust-driven winds. Astron. Astrophys. 2019, 623, A119. [Google Scholar] [CrossRef]
- Höfner, S.; Bladh, S.; Aringer, B.; Eriksson, K. Dynamic atmospheres and winds of cool luminous giants. II. Gradual Fe enrichment of wind-driving silicate grains. Astron. Astrophys. 2022, 657, A109. [Google Scholar] [CrossRef]
- Bowen, G.H. Dynamical Modeling of Long-Period Variable Star Atmospheres. Astrophys. J. 1988, 329, 299. [Google Scholar] [CrossRef]
- Krueger, D.; Sedlmayr, E. Two-fluid models for stationary dust driven winds. II. The grain size distribution in consideration of drift. Astron. Astrophys. 1997, 321, 557–567. [Google Scholar]
- Willson, L.A.; Hill, S.J. Shock wave interpretation of emission lines in long period variable stars. II. Periodicity and mass loss. Astrophys. J. 1979, 228, 854–869. [Google Scholar] [CrossRef]
- Prager, H. Studies of Mass-Loss Rates and Stellar Atmospheres on the Asymptotic Giant Branch. Ph.D. Thesis, New Mexico Institute of Mining and Technology, Socorro, NM, USA, 2023. [Google Scholar]
- Riebel, D.; Meixner, M.; Fraser, O.; Srinivasan, S.; Cook, K.; Vijh, U. Infrared Period-Luminosity Relations of Evolved Variable Stars in the Large Magellanic Cloud. Astrophys. J. 2010, 723, 1195–1209. [Google Scholar] [CrossRef]
- Riebel, D.; Srinivasan, S.; Sargent, B.; Meixner, M. The Mass-loss Return from Evolved Stars to the Large Magellanic Cloud. VI. Luminosities and Mass-loss Rates on Population Scales. Astrophys. J. 2012, 753, 71. [Google Scholar] [CrossRef]
- Höfner, S.; Gautschy-Loidl, R.; Aringer, B.; Jørgensen, U.G. Dynamic model atmospheres of AGB stars. III. Effects of frequency-dependent radiative transfer. Astron. Astrophys. 2003, 399, 589–601. [Google Scholar] [CrossRef]
- Trabucchi, M.; Wood, P.R.; Montalbán, J.; Marigo, P.; Pastorelli, G.; Girardi, L. Modelling long-period variables - I. A new grid of O-rich and C-rich pulsation models. Mon. Not. R. Astron. Soc. 2019, 482, 929–949. [Google Scholar] [CrossRef]
- Prager, H.A.; Willson, L.A.; Marengo, M.; Creech-Eakman, M.J. Relation of Observable Stellar Parameters to Mass-loss Rate of AGB Stars in the LMC. Astrophys. J. 2022, 941, 44. [Google Scholar] [CrossRef]
- Harris, J.; Zaritsky, D. The Star Formation History of the Large Magellanic Cloud. Astron. J. 2009, 138, 1243–1260. [Google Scholar] [CrossRef]
- Prager, H.A.; Willson, L.A.M.; Guzik, J.A.; Creech-Eakman, M.J.; Wang, Q. A Parameter Study of 1D Atmospheric Models of Pulsating AGB Stars: I. Model Properties and Effects on Wind Development. 2025; Journal to be decided in Preparation. [Google Scholar]
- Ohnaka, K.; Weigelt, G.; Hofmann, K.H. Clumpy dust clouds and extended atmosphere of the AGB star W Hydrae revealed with VLT/SPHERE-ZIMPOL and VLTI/AMBER. II. Time variations between pre-maximum and minimum light. Astron. Astrophys. 2017, 597, A20. [Google Scholar] [CrossRef]
- Fleischer, A.J.; Gauger, A.; Sedlmayr, E. Circumstellar dust shells around long-period variables. I. Dynamical models of C-stars including dust formation, growth and evaporation. Astron. Astrophys. 1992, 266, 321–339. [Google Scholar]
- Bowen, G.H.; Willson, L.A. From wind to superwind—The evolution of mass-loss rates for Mira models. Astrophys. J. Lett. 1991, 375, L53–L56. [Google Scholar] [CrossRef]
- Jiménez, A.; García, R.A.; Pallé, P.L. The Acoustic Cutoff Frequency of the Sun and the Solar Magnetic Activity Cycle. Astrophys. J. 2011, 743, 99. [Google Scholar] [CrossRef]
- Prager, H.A.; Willson, L.A.M.; Guzik, J.A.; Creech-Eakman, M.J.; Wang, Q. A Parameter Study of 1D Atmospheric Models of Pulsating AGB Stars: II. Relations Between Pulsation Mode and Mass-Loss Rate Evolution. 2025; Journal to be decided in Preparation. [Google Scholar]
- Harris, C.R.; Millman, K.J.; van der Walt, S.J.; Gommers, R.; Virtanen, P.; Cournapeau, D.; Wieser, E.; Taylor, J.; Berg, S.; Smith, N.J.; et al. Array programming with NumPy. Nature 2020, 585, 357–362. [Google Scholar] [CrossRef]
- Virtanen, P.; Gommers, R.; Oliphant, T.E.; Haberland, M.; Reddy, T.; Cournapeau, D.; Burovski, E.; Peterson, P.; Weckesser, W.; Bright, J.; et al. SciPy 1.0: Fundamental Algorithms for Scientific Computing in Python. Nat. Methods 2020, 17, 261–272. [Google Scholar] [CrossRef]
- Pérez, F.; Granger, B.E. IPython: A System for Interactive Scientific Computing. Comput. Sci. Eng. 2007, 9, 21–29. [Google Scholar] [CrossRef]
- Hunter, J.D. Matplotlib: A 2D graphics environment. Comput. Sci. Eng. 2007, 9, 90–95. [Google Scholar] [CrossRef]
- Pedregosa, F.; Varoquaux, G.; Gramfort, A.; Michel, V.; Thirion, B.; Grisel, O.; Blondel, M.; Prettenhofer, P.; Weiss, R.; Dubourg, V.; et al. Scikit-learn: Machine Learning in Python. J. Mach. Learn. Res. 2011, 12, 2825–2830. [Google Scholar]








| Input Parameter | Description | Values |
|---|---|---|
| Initial Stellar Luminosity | 3.0 | |
| Luminosity step | 0.05 | |
| Piston velocity amplitude | 2 km/s | |
| Gas opacity | 0.0002 | |
| Gas critical density | ||
| q | Pseudoviscosity Pressure | 4 |
| Electron-to-Hydrogen Ratio | 0.1% | |
| Maximum dust opacity | 2 | |
| Dust condensation temperature | 1450 K | |
| Dust condensation temperature range | 100 K | |
| Molecular opacity | 0.4 | |
| Molecular condensation temperature | 2000 K | |
| Molecular dissociation energy | 43 keV | |
| Molecular critical density |
| Parameter (X) | Test Values | ||
|---|---|---|---|
| 0.5, 1, 2, 5, 10, 20, 50 | −0.020 | −0.138 | |
| 1000, 1150, 1300, 1450, 1600, 1750 K | 0.022 | −0.839 | |
| 50, 100, 200, 300, 500 K | 0.035 | −0.053 | |
| 2, 4, 6, 8 km/s | 0.017 | −0.350 | |
| 1%, 2%, 3%, 4%, 5% | 0.069 | −0.127 |
| Parameter (X) | Test Values | ||
|---|---|---|---|
| 0.5, 1, 2, 5, 10, 20, 50 | −0.008 | −0.172 | |
| 1000, 1150, 1300, 1450, 1600, 1750, 1850 K | 0.112 | −1.858 | |
| 50, 100, 200, 300, 500 K | 0.109 | −0.037 | |
| 1, 2, 3, 4 km/s | 0.057 | −0.085 | |
| 1%, 2%, 3%, 4%, 5% | 0.015 | −0.020 |
| Pulsation Mode | B | C | |||
|---|---|---|---|---|---|
| Fundamental | |||||
| First-Overtone |
Disclaimer/Publisher’s Note: The statements, opinions and data contained in all publications are solely those of the individual author(s) and contributor(s) and not of MDPI and/or the editor(s). MDPI and/or the editor(s) disclaim responsibility for any injury to people or property resulting from any ideas, methods, instructions or products referred to in the content. |
© 2024 by the authors. Licensee MDPI, Basel, Switzerland. This article is an open access article distributed under the terms and conditions of the Creative Commons Attribution (CC BY) license (https://creativecommons.org/licenses/by/4.0/).
Share and Cite
Prager, H.A.; Willson, L.A.M.; Guzik, J.A.; Creech-Eakman, M.J.; Wang, Q. A Parameter Study of 1D Atmospheric Models of Pulsating AGB Stars. Galaxies 2024, 12, 81. https://doi.org/10.3390/galaxies12060081
Prager HA, Willson LAM, Guzik JA, Creech-Eakman MJ, Wang Q. A Parameter Study of 1D Atmospheric Models of Pulsating AGB Stars. Galaxies. 2024; 12(6):81. https://doi.org/10.3390/galaxies12060081
Chicago/Turabian StylePrager, Henry A., Lee Anne M. Willson, Joyce A. Guzik, Michelle J. Creech-Eakman, and Qian Wang. 2024. "A Parameter Study of 1D Atmospheric Models of Pulsating AGB Stars" Galaxies 12, no. 6: 81. https://doi.org/10.3390/galaxies12060081
APA StylePrager, H. A., Willson, L. A. M., Guzik, J. A., Creech-Eakman, M. J., & Wang, Q. (2024). A Parameter Study of 1D Atmospheric Models of Pulsating AGB Stars. Galaxies, 12(6), 81. https://doi.org/10.3390/galaxies12060081

