Dynamics of Powerful Radio Galaxies
Abstract
1. Introduction
2. Early Jet–Lobe Models
3. Lobe Expansion Models
3.1. Jet Collimation
3.2. Lobe Adiabatic Expansion
4. Semi-Analytic Models
4.1. RAiSE (Version 2015)
4.2. Hardcastle Model
4.3. RAiSE (Version 2023)
4.3.1. Relativistic Jet Expansion
4.3.2. Lobe Formation
4.3.3. Thermal Pressure
5. Discussion
5.1. Similarity of Key Model Classes
5.1.1. Early-Time Evolution
5.1.2. Late-Time Evolution
5.1.3. Source Morphology
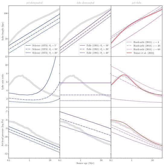
5.2. Comparison to Hydrodynamic Simulations
5.2.1. Hydrodynamic Simulation Dynamics
5.2.2. Accuracy of Analytical Models
Source Length
Lobe Axis Ratio
Jet-Head Pressure
5.3. Parameter Space Exploration
Source Length
Lobe Axis Ratio
Synchrotron Luminosity
6. Concluding Remarks
- Jet momentum flux and lobe internal pressure dominate the early- and late-time radio source evolution, respectively. Both must be considered for a complete radio source model describing source dynamics after the lobe formation phase (∼1 Myr; Section 5.2.2).
- Realistic ambient gas density profiles (i.e., not constant or power-law) produce radio sources which are inconsistent with the self-similar lobe evolution predicted by the Falle [18] class of models (Section 4.1 and Section 4.2). This naturally explains the large axis ratios seen in giant radio galaxies.
- Relativistic jet dynamics is important for an accurate description of early source evolution, before the lobe formation phase (Section 5.2.2).
Author Contributions
Funding
Data Availability Statement
Conflicts of Interest
Appendix A. Early Jet–Lobe Models
Appendix A.1. Lobe Pressure
Appendix A.2. Lobe Volume
| 1 | https://github.com/rossjturner/analytical_models, accessed on 16 July 2023. |
| 2 | See note 1. |
| 3 | https://github.com/rossjturner/RAiSEHD, accessed on 16 July 2023. |
References
- Bolton, J.G.; Stanley, G.J.; Slee, O.B. Positions of Three Discrete Sources of Galactic Radio-Frequency Radiation. Nature 1949, 164, 101–102. [Google Scholar] [CrossRef]
- Jennison, R.; Gupta, M.K.D. Fine Structure of the Extra-terrestrial Radio Source Cygnus I. Nature 1953, 172, 996–997. [Google Scholar] [CrossRef]
- Mills, B.; Slee, O.B. A Preliminary Survey of Radio Sources in a Limited Region of the Sky at a Wavelength of 3.5 m. Aust. J. Phys. 1957, 10, 162–194. [Google Scholar] [CrossRef]
- Edge, D.; Shakeshaft, J.; McAdam, W.; Baldwin, J.; Archer, S. A survey of radio sources at a frequency of 159 Mc/s. Mem. R. Astron. Soc. 1959, 68, 37–60. [Google Scholar]
- Norris, R.P. Extragalactic radio continuum surveys and the transformation of radio astronomy. Nat. Astron. 2017, 1, 671–678. [Google Scholar] [CrossRef]
- Hazard, C.; Mackey, M.B.; Shimmins, A.J. Investigation of the Radio Source 3C 273 by the Method of Lunar Occultations. Nature 1963, 197, 1037–1039. [Google Scholar] [CrossRef]
- Schmidt, M. 3C 273: A Star-Like Object with Large Red-Shift. Nature 1963, 197, 1040. [Google Scholar] [CrossRef]
- Hazard, C.; Jauncey, D.; Goss, W.M.; Herald, D. The Sequence of Events that led to the 1963 Publications in Nature of 3C 273, the First Quasar and the First Extragalactic Radio Jet. Publ. Astron. Soc. Aust. 2018, 35, e006. [Google Scholar] [CrossRef]
- Lynden-Bell, D. Galactic Nuclei as Collapsed Old Quasars. Nature 1969, 223, 690–694. [Google Scholar] [CrossRef]
- Alexander, P. Models of young powerful radio sources. Mon. Not. R. Astron. Soc. 2006, 368, 1404–1410. [Google Scholar] [CrossRef]
- Krause, M.; Alexander, P.; Riley, J.; Hopton, D. A new connection between the jet opening angle and the large-scale morphology of extragalactic radio sources. Mon. Not. R. Astron. Soc. 2012, 427, 3196–3208. [Google Scholar] [CrossRef]
- Fanaroff, B.L.; Riley, J.M. The Morphology of Extragalactic Radio Sources of High and Low Luminosity. Mon. Not. R. Astron. Soc. 1974, 167, 31P–36P. [Google Scholar] [CrossRef]
- Perucho, M.; Martí, J.M.; Laing, R.A.; Hardee, P.E. On the deceleration of Fanaroff-Riley Class I jets: Mass loading by stellar winds. Mon. Not. R. Astron. Soc. 2014, 441, 1488–1503. [Google Scholar] [CrossRef]
- Wykes, S.; Hardcastle, M.J.; Karakas, A.I.; Vink, J.S. Internal entrainment and the origin of jet-related broad-band emission in Centaurus A. Mon. Not. R. Astron. Soc. 2015, 447, 1001–1013. [Google Scholar] [CrossRef]
- Bicknell, G.V. Relativistic Jets and the Fanaroff-Riley Classification of Radio Galaxies. Astrophys. J. Suppl. Ser. 1995, 101, 29. [Google Scholar] [CrossRef]
- Rees, M.J. New Interpretation of Extragalactic Radio Sources. Nature 1971, 229, 312–317. [Google Scholar] [CrossRef]
- Scheuer, P.A.G. Models of Extragalactic Radio Sources with a Continuous Energy Supply from a Central Object. Mon. Not. R. Astron. Soc. 1974, 166, 513–528. [Google Scholar] [CrossRef]
- Falle, S.A.E.G. Self-similar jets. Mon. Not. R. Astron. Soc. 1991, 250, 581–596. [Google Scholar] [CrossRef]
- Kaiser, C.R.; Alexander, P. A self-similar model for extragalactic radio sources. Mon. Not. R. Astron. Soc. 1997, 286, 215–222. [Google Scholar] [CrossRef]
- Blundell, K.M.; Rawlings, S. The Spectra and Energies of Classical Double Radio Lobes. Astron. J. 2000, 119, 1111. [Google Scholar] [CrossRef]
- Manolakou, K.; Kirk, J.G. Modelling the spectral evolution of classical double radio sources. A&A 2002, 391, 127–138. [Google Scholar] [CrossRef]
- Turner, R.J.; Shabala, S.S. Energetics and Lifetimes of Local Radio Active Galactic Nuclei. Astrophys. J. 2015, 806, 59. [Google Scholar] [CrossRef]
- Hardcastle, M.J. A simulation-based analytic model of radio galaxies. Mon. Not. R. Astron. Soc. 2018, 475, 2768–2786. [Google Scholar] [CrossRef]
- Turner, R.J.; Yates-Jones, P.M.; Shabala, S.S.; Quici, B.; Stewart, G.S.C. RAiSE: Simulation-based analytical model of AGN jets and lobes. Mon. Not. R. Astron. Soc. 2023, 518, 945–964. [Google Scholar] [CrossRef]
- Scheuer, P. Morphology and Power of Radio Sources. Symp.-Int. Astron. Union 1982, 97, 163–165. [Google Scholar] [CrossRef]
- Begelman, M.C.; Cioffi, D.F. Overpressured Cocoons in Extragalactic Radio Sources. Astrophys. J. Lett. 1989, 345, L21. [Google Scholar] [CrossRef]
- Dyson, J.E.; Falle, S.A.E.G.; Perry, J.J. Intrinsic formation of narrow-line absorption systems in QSOs—I. The piston phase. Mon. Not. R. Astron. Soc. 1980, 191, 785–819. [Google Scholar] [CrossRef]
- Britzen, S.; Vermeulen, R.C.; Campbell, R.M.; Taylor, G.B.; Pearson, T.J.; Readhead, A.C.S.; Xu, W.; Browne, I.W.; Henstock, D.R.; Wilkinson, P. A multi-epoch VLBI survey of the kinematics of CFJ sources*—II. Analysis of the kinematics. A&A 2008, 484, 119–142. [Google Scholar] [CrossRef]
- Komissarov, S.S.; Falle, S.A.E.G. The large-scale structure of FR-II radio sources. Mon. Not. R. Astron. Soc. 1998, 297, 1087–1108. [Google Scholar] [CrossRef]
- Hardcastle, M.J.; Krause, M.G.H. Numerical modelling of the lobes of radio galaxies in cluster environments. Mon. Not. R. Astron. Soc. 2013, 430, 174–196. [Google Scholar] [CrossRef]
- Yates-Jones, P.M.; Shabala, S.S.; Krause, M.G.H. Dynamics of relativistic radio jets in asymmetric environments. Mon. Not. R. Astron. Soc. 2021, 508, 5239–5250. [Google Scholar] [CrossRef]
- Turner, R.J.; Shabala, S.S. RAiSE X: Searching for radio galaxies in X-ray surveys. Mon. Not. R. Astron. Soc. 2020, 493, 5181–5194. [Google Scholar] [CrossRef]
- Alexander, P. Evolutionary models for radio sources from compact sources to classical doubles. Mon. Not. R. Astron. Soc. 2000, 319, 8–16. [Google Scholar] [CrossRef]
- Mullin, L.M.; Riley, J.M.; Hardcastle, M.J. Observed properties of FRII quasars and radio galaxies at z < 1.0. Mon. Not. R. Astron. Soc. 2008, 390, 595–621. [Google Scholar] [CrossRef]
- Turner, R.J.; Rogers, J.G.; Shabala, S.S.; Krause, M.G.H. RAiSE II: Resolved spectral evolution in radio AGN. Mon. Not. R. Astron. Soc. 2018, 473, 4179–4196. [Google Scholar] [CrossRef]
- Walg, S.; Achterberg, A.; Markoff, S.; Keppens, R.; Meliani, Z. Relativistic AGN jets I. The delicate interplay between jet structure, cocoon morphology and jet-head propagation. Mon. Not. R. Astron. Soc. 2013, 433, 1453–1478. [Google Scholar] [CrossRef]
- Martí, J.M.; Müller, E.; Ibáñez, J.M. Hydrodynamical simulations of relativistic jets. A&A 1994, 281, L9–L12. [Google Scholar]
- Martí, J.M.; Müller, E.; Font, J.A.; Ibáñez, J.M.Z.; Marquina, A. Morphology and Dynamics of Relativistic Jets. Astrophys. J. 1997, 479, 151. [Google Scholar] [CrossRef]
- Rosen, A.; Hughes, P.A.; Duncan, G.C.; Hardee, P.E. A Comparison of the Morphology and Stability of Relativistic and Nonrelativistic Jets. Astrophys. J. 1999, 516, 729. [Google Scholar] [CrossRef]
- Matzner, C.D. Supernova hosts for gamma-ray burst jets: Dynamical constraints. Mon. Not. R. Astron. Soc. 2003, 345, 575–589. [Google Scholar] [CrossRef]
- Bromberg, O.; Nakar, E.; Piran, T.; Sari, R. The propagation of relativistic jets in external media. Astrophys. J. 2011, 740, 100. [Google Scholar] [CrossRef]
- Mignone, A.; Bodo, G.; Massaglia, S.; Matsakos, T.; Tesileanu, O.; Zanni, C.; Ferrari, A. PLUTO: A Numerical Code for Computational Astrophysics. Astrophys. J. Suppl. Ser. 2007, 170, 228. [Google Scholar] [CrossRef]
- Yates-Jones, P.M.; Turner, R.J.; Shabala, S.S.; Krause, M.G.H. PRAiSE: Resolved spectral evolution in simulated radio sources. Mon. Not. R. Astron. Soc. 2022, 511, 5225–5240. [Google Scholar] [CrossRef]
- Kaiser, C.R.; Dennett-Thorpe, J.; Alexander, P. Evolutionary tracks of FRII sources through the P-D diagram. Mon. Not. R. Astron. Soc. 1997, 292, 723–732. [Google Scholar] [CrossRef]
- Shabala, S.S.; Ash, S.; Alexander, P.; Riley, J.M. The duty cycle of local radio galaxies. Mon. Not. R. Astron. Soc. 2008, 388, 625–637. [Google Scholar] [CrossRef]
- Bicknell, G.V.; Mukherjee, D.; Wagner, A.Y.; Sutherland, R.S.; Nesvadba, N.P.H. Relativistic jet feedback – II. Relationship to gigahertz peak spectrum and compact steep spectrum radio galaxies. Mon. Not. R. Astron. Soc. 2018, 475, 3493–3501. [Google Scholar] [CrossRef]
- Hardcastle, M.J.; Williams, W.L.; Best, P.N.; Croston, J.H.; Duncan, K.J.; Röttgering, H.J.A.; Sabater, J.; Shimwell, T.W.; Tasse, C.; Callingham, J.R.; et al. Radio-loud AGN in the first LoTSS data release. The lifetimes and environmental impact of jet-driven sources. Astron. Astrophys. 2019, 622, A12. [Google Scholar] [CrossRef]
- Shabala, S.S.; Jurlin, N.; Morganti, R.; Brienza, M.; Hardcastle, M.J.; Godfrey, L.E.H.; Krause, M.G.H.; Turner, R.J. The duty cycle of radio galaxies revealed by LOFAR: Remnant and restarted radio source populations in the Lockman Hole. Mon. Not. R. Astron. Soc. 2020, 496, 1706–1717. [Google Scholar] [CrossRef]








| Model | Type | Early-Time Evolution | Late-Time Evolution |
|---|---|---|---|
| Scheuer (1974; Model A) | analytical (constant density) | momentum flux (Bernoulli equation) | – |
| Falle (1991) | analytical (power-law density profile) | – | internal pressure (first law of thermodynamics) |
| Hardcastle (2018) | semi-analytic (spherically symmetric density profile) | momentum flux (non-relativistic shock-jump conditions) | internal pressure (non-relativistic shock-jump conditions) |
| Turner et al. (2023; RAiSE) | semi-analytic (spherically symmetric density profile) | momentum flux (relativistic hydrodynamics) | internal pressure (first law of thermodynamics) |
Disclaimer/Publisher’s Note: The statements, opinions and data contained in all publications are solely those of the individual author(s) and contributor(s) and not of MDPI and/or the editor(s). MDPI and/or the editor(s) disclaim responsibility for any injury to people or property resulting from any ideas, methods, instructions or products referred to in the content. |
© 2023 by the authors. Licensee MDPI, Basel, Switzerland. This article is an open access article distributed under the terms and conditions of the Creative Commons Attribution (CC BY) license (https://creativecommons.org/licenses/by/4.0/).
Share and Cite
Turner, R.J.; Shabala, S.S. Dynamics of Powerful Radio Galaxies. Galaxies 2023, 11, 87. https://doi.org/10.3390/galaxies11040087
Turner RJ, Shabala SS. Dynamics of Powerful Radio Galaxies. Galaxies. 2023; 11(4):87. https://doi.org/10.3390/galaxies11040087
Chicago/Turabian StyleTurner, Ross J., and Stanislav S. Shabala. 2023. "Dynamics of Powerful Radio Galaxies" Galaxies 11, no. 4: 87. https://doi.org/10.3390/galaxies11040087
APA StyleTurner, R. J., & Shabala, S. S. (2023). Dynamics of Powerful Radio Galaxies. Galaxies, 11(4), 87. https://doi.org/10.3390/galaxies11040087

