Faint Galaxy Number Counts in the Durham and SDSS Catalogues
Abstract
1. Introduction
2. Calculating the Observed Volume
2.1. The Schechter Luminosity Function (LF)
2.2. Deriving the Number Count Curves
3. Observational Data
3.1. Observations from the SDSS
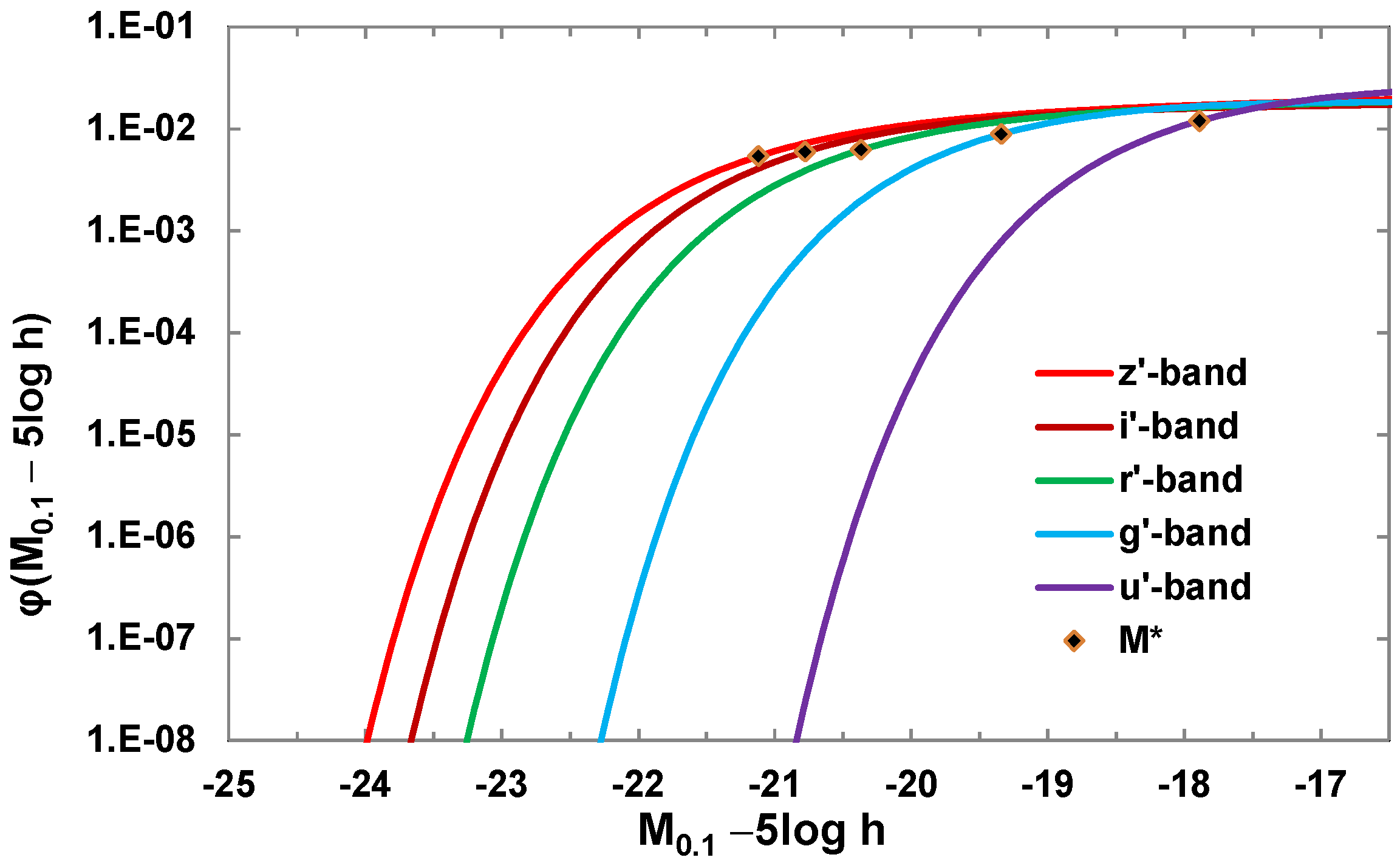
3.2. The LF from the SDSS
3.3. Number Counts from the SDSS
4. Observations in the Optical Bands
4.1. K-Band Magnitude Count
4.2. The H-, I- and R-Bands
4.3. The B- and U-Bands
5. Discussion
6. Conclusions
Funding
Data Availability Statement
Acknowledgments
Conflicts of Interest
References
- Durham Galaxy Number-Counts. 2010. Available online: https://astro.dur.ac.uk/~nm/pubhtml/counts/counts.html (accessed on 4 August 2022).
- Metcalfe, N.; Shanks, T.; Weilbacher, P.M.; McCracken, H.J.; Fong, R.; Thompson, D. Galaxy number counts - VI. An H-band survey of the Herschel Deep Field. Mon. Not. R. Astron. Soc. 2006, 370, 1257–1273. [Google Scholar] [CrossRef]
- Arnouts, S.; Schiminovich, D.; Ilbert, O.; Tresse, L.; Milliard, B.; Treyer, M.; Bardelli, S.; Budavari, T.; Wyder, T.K.; Zucca, E.; et al. The GALEX VIMOS-VLT Deep Survey Measurement of the Evolution of the 1500 Å Luminosity Function. Astrophys. J. 2005, 619, L43–L46. [Google Scholar] [CrossRef]
- Oesch, P.A.; Montes, M.; Reddy, N.; Bouwens, R.J.; Illingworth, G.D.; Magee, D.; Atek, H.; Carollo, C.M.; Cibinel, A.; Franx, M.; et al. HDUV: The Hubble Deep UV Legacy Survey. Astrophys. J. Suppl. Ser. 2018, 237, 12. [Google Scholar] [CrossRef]
- Marr, J.H. Bright Galaxy Number Counts. Master’s Thesis, Durham University, Durham, UK, 1995. [Google Scholar]
- Marr, J.H. Hubble Expansion as an Einstein Curvature. J. Mod. Phys. 2022, 13, 969–991. [Google Scholar] [CrossRef]
- Aubourg, É.; Bailey, S.; Bautista, J.E.; Beutler, F.; Bhardwaj, V.; Bizyaev, D.; Blanton, M.; Blomqvist, M.; Bolton, A.S.; Bovy, J.; et al. Cosmological implications of baryon acoustic oscillation measurements. Phys. Rev. D 2015, 92, 123516. [Google Scholar] [CrossRef]
- Betoule, M.E.A.; Kessler, R.; Guy, J.; Mosher, J.; Hardin, D.; Biswas, R.; Astier, P.; El-Hage, P.; Konig, M.; Kuhlmann, S.; et al. Improved cosmological constraints from a joint analysis of the SDSS-II and SNLS supernova samples. Astron. Astrophys. 2014, 568, A22. [Google Scholar] [CrossRef]
- Verde, L.; Peiris, H.V.; Spergel, D.N.; Nolta, M.R.; Bennett, C.L.; Halpern, M.; Hinshaw, G.; Jarosik, N.; Kogut, A.; Limon, M.; et al. First-Year Wilkinson Microwave Anisotropy Probe (WMAP) Observations: Preliminary Maps and Basic Results. Astrophys. J. Suppl. Ser. 2003, 148, 195. [Google Scholar] [CrossRef]
- Windhorst, R.A.; Taylor, V.A.; Jansen, R.A.; Odewahn, S.C.; Chiarenza, C.A.; Conselice, C.J.; De Grijs, R.; De Jong, R.S.; MacKenty, J.W.; Eskridge, P.B.; et al. A Hubble Space Telescope Survey of the Mid-Ultraviolet Morphology of Nearby Galaxies. Astrophys. J. Suppl. Ser. 2002, 143, 113–158. [Google Scholar] [CrossRef]
- Lehnert, M.D.; Bremer, M. Luminous Lyman Break Galaxies at z > 5 and the Source of Reionization. Astrophys. J. 2003, 593, 630–639. [Google Scholar] [CrossRef]
- Yan, H.; Windhorst, R.A.; Cohen, S.H. Searching for z ≃ 6 Objects with the Hubble Space Telescope Advanced Camera for Surveys: Preliminary Analysis of a Deep Parallel Field. Astrophys. J. 2003, 585, L93–L96. [Google Scholar] [CrossRef]
- Schechter, P. An analytic expression for the luminosity function for galaxies. Astrophys. J. 1976, 203, 297–306. [Google Scholar] [CrossRef]
- Schaeffer, R. Galaxies, Clusters and Fluctuations. In Proceedings of the Large Scale Structures of the Universe, Bad Honnef, Germany, 9–12 December 1987; Audouze, J., Pelletan, M.C., Szalay, A., Zel’dovich, Y.B., Peebles, P.J.E., Eds.; Kluwer Academic Publishers: Dordrecht, The Netherlands, 1988; Volume 130, p. 215. [Google Scholar]
- Folkes, S.; Ronen, S.; Price, I.; Lahav, O.; Colless, M.; Maddox, S.; Deeley, K.; Glazebrook, K.; Bland-Hawthorn, J.; Cannon, R.; et al. The 2dF Galaxy Redshift Survey: Spectral types and luminosity functions. Mon. Not. R. Astron. Soc. 1999, 308, 459–472. [Google Scholar] [CrossRef]
- Blanton, M.R.; Hogg, D.W.; Bahcall, N.A.; Brinkmann, J.; Britton, M.; Connolly, A.J.; Csabai, I.; Fukugita, M.; Loveday, J.; Meiksin, A.; et al. The Galaxy Luminosity Function and Luminosity Density at Redshift z = 0.1. Astrophys. J. 2003, 592, 819–838. [Google Scholar] [CrossRef]
- Abdurro’uf; Accetta, K.; Aerts, C.; Silva Aguirre, V.; Ahumada, R.; Ajgaonkar, N.; Ak, N.F.; Alam, S.; Prieto, C.A.; Almeida, A.; et al. The Seventeenth Data Release of the Sloan Digital Sky Surveys: Complete Release of MaNGA, MaStar, and APOGEE-2 Data. Astrophys. J. Suppl. Ser. 2022, 259, 35. [Google Scholar] [CrossRef]
- Busswell, G.S.; Shanks, T.; Frith, W.J.; Outram, P.J.; Metcalfe, N.; Fong, R. The local hole in the galaxy distribution: New optical evidence. Mon. Not. R. Astron. Soc. 2004, 354, 991–1004. [Google Scholar] [CrossRef]
- Bessell, M.S. Standard Photometric Systems. Annu. Rev. Astron. Astrophys. 2005, 43, 293–336. [Google Scholar] [CrossRef]
- Norberg, P.; Cole, S.; Baugh, C.M.; Frenk, C.S.; Baldry, I.; Bland-Hawthorn, J.; Bridges, T.; Cannon, R.; Colless, M.; Collins, C.; et al. The 2dF Galaxy Redshift Survey: The bJ-band galaxy luminosity function and survey selection function. Mon. Not. R. Astron. Soc. 2002, 336, 907–931. [Google Scholar] [CrossRef]
- Blanton, M.R.; Brinkmann, J.; Csabai, I.; Doi, M.; Eisenstein, D.; Fukugita, M.; Gunn, J.E.; Hogg, D.W.; Schlegel, D.J. Estimating Fixed-Frame Galaxy Magnitudes in the Sloan Digital Sky Survey. Astron. J. 2003, 125, 2348–2360. [Google Scholar] [CrossRef]
- Jones, L.R.; Fong, R.; Shanks, T.; Ellis, R.S.; Peterson, B.A. Galaxy number counts—I. Photographic observations to B = 23.5 mag. Mon. Not. R. Astron. Soc. 1991, 249, 481–497. [Google Scholar] [CrossRef]
- Metcalfe, N.; Shanks, T.; Fong, R.; Jones, L.R. Galaxy number counts—-II. CCD observations to B = 25 mag. Mon. Not. R. Astron. Soc. 1991, 249, 498–522. [Google Scholar] [CrossRef]
- Metcalfe, N.; Shanks, T.; Fong, R.; Roche, N. Galaxy number counts—III. Deep CCD observations to B = 27.5 mag. Mon. Not. R. Astron. Soc. 1995, 273, 257–276. [Google Scholar] [CrossRef]
- Metcalfe, N.; Shanks, T.; Campos, A.; McCracken, H.J.; Fong, R. Galaxy number counts—V. Ultradeep counts: The Herschel and Hubble Deep Fields. Mon. Not. R. Astron. Soc. 2001, 323, 795–830. [Google Scholar] [CrossRef]
- McCracken, H.J.; Metcalfe, N.; Shanks, T.; Campos, A.; Gardner, J.P.; Fong, R. Galaxy number counts-IV. Surveying the Herschel Deep Field in the near-infrared. Mon. Not. R. Astron. Soc. 2000, 311, 707–718. [Google Scholar] [CrossRef]
- De Propris, R.; Stanford, S.A.; Eisenhardt, P.R.; Holden, B.P.; Rosati, P. The Rest-Frame K-Band Luminosity Function of Galaxies in Clusters to z = 1.3. Astron. J. 2007, 133, 2209–2215. [Google Scholar] [CrossRef]
- Huang, J.S.; Glazebrook, K.; Cowie, L.L.; Tinney, C. The Hawaii+Anglo-Australian Observatory K-Band Galaxy Redshift Survey. I. The Local K-Band Luminosity Function. Astrophys. J. 2003, 584, 203–209. [Google Scholar] [CrossRef]
- Kochanek, C.S.; Pahre, M.A.; Falco, E.E.; Huchra, J.P.; Mader, J.; Jarrett, T.H.; Chester, T.; Cutri, R.; Schneider, S.E. The K-Band Galaxy Luminosity Function. Astrophys. J. 2001, 560, 566–579. [Google Scholar] [CrossRef]
- Skrutskie, M.F.; Cutri, R.M.; Stiening, R.; Weinberg, M.D.; Schneider, S.; Carpenter, J.M.; Beichman, C.; Capps, R.; Chester, T.; Elias, J.; et al. The Two Micron All Sky Survey (2MASS). Astron. J. 2006, 131, 1163–1183. [Google Scholar] [CrossRef]
- Nonino, M.; Dickinson, M.; Rosati, P.; Grazian, A.; Reddy, N.; Cristiani, S.; Giavalisco, M.; Kuntschner, H.; Vanzella, E.; Daddi, E.; et al. Deep U Band and R Imaging of Goods-South: Observations, Data Reduction and First Results. Astrophys. J. Suppl. Ser. 2009, 183, 244–260. [Google Scholar] [CrossRef]
- Ellis, R.S. Faint Blue Galaxies. Annu. Rev. Astron. Astrophys. 1997, 35, 389–443. [Google Scholar] [CrossRef]
- Windhorst, R.A.; Cohen, S.H.; Hathi, N.P.; McCarthy, P.J.; Ryan, R.E.; Yan, H.; Baldry, I.K.; Driver, S.P.; Frogel, J.A.; Hill, D.T.; et al. The Hubble Space Telescope Wide Field Camera 3 Early Release Science Data: Panchromatic Faint Object Counts for 0.2–2 μm Wavelength. Astrophys. J. Suppl. Ser. 2011, 193, 27. [Google Scholar] [CrossRef]
- Yasuda, N.; Fukugita, M.; Narayanan, V.K.; Lupton, R.H.; Strateva, I.; Strauss, M.A.; Ivezić, Ž; Kim, R.S.; Hogg, D.W.; Weinberg, D.H.; et al. Galaxy Number Counts from the Sloan Digital Sky Survey Commissioning Data. Astron. J. 2001, 122, 1104–1124. [Google Scholar] [CrossRef]
- Conselice, C.J.; Wilkinson, A.; Duncan, K.; Mortlock, A. The Evolution of Galaxy Number Density at z < 8 and Its Implications. Astrophys. J. 2016, 830, 83. [Google Scholar] [CrossRef]
- Shanks, T.; Stevenson, P.R.F.; Fong, R.; MacGillivray, H.T. Galaxy number counts and cosmology. Mon. Not. R. Astron. Soc. 1984, 206, 767–800. [Google Scholar] [CrossRef]
- Blanton, M.R.; Lupton, R.H.; Schlegel, D.J.; Strauss, M.A.; Brinkmann, J.; Fukugita, M.; Loveday, J. The Properties and Luminosity Function of Extremely Low Luminosity Galaxies. Astrophys. J. 2005, 631, 208–230. [Google Scholar] [CrossRef]
- Padovani, P. The microjansky and nanojansky radio sky: Source population and multiwavelength properties. Mon. Not. R. Astron. Soc. 2011, 411, 1547–1561. [Google Scholar] [CrossRef]
- Griffiths, R.E.; Ratnatunga, K.U.; Casertano, S.; Im, M.; Neuschaefer, L.W.; Ostrander, E.J.; Ellis, R.S.; Glazebrook, K.; Windhorst, R.A.; Driver, S.P.; et al. The HST Medium Deep Survey: Progress towards resolution of the faint blue galaxy problem. Astrophys. Lett. Commun. 1997, 36, 355–361. [Google Scholar]
- Franco, M.; Elbaz, D.; Béthermin, M.; Magnelli, M.; Schreiber, B.; Ciesla, C.; Dickinson, L.; Nagar, M.; Silverman, N.; Daddi, J.; et al. GOODS-ALMA: 1.1 mm galaxy survey. I. Source catalog and optically dark galaxies. Astron. Astrophys. 2018, 620, A152. [Google Scholar] [CrossRef]
- Nistane, V.; Jalilvand, M.; Carron, J.; Durrer, R.; Kunz, M. An estimator for the lensing potential from galaxy number counts. J. Cosmol. Astropart. Phys. 2022, 2022, 24. [Google Scholar] [CrossRef]
- Schneider, P. Extragalactic Astronomy and Cosmology: An Introduction; Springer: Berlin/Heidelberg, Germany, 2006; pp. 1–459. [Google Scholar] [CrossRef]
- Windhorst, R.A. The microJansky and nanoJansky population. New Astron. Rev. 2003, 47, 357–365. [Google Scholar] [CrossRef]
- Owen, E.R.; Wu, K.; Jin, X.; Surajbali, P.; Kataoka, N. Starburst and post-starburst high-redshift protogalaxies. The feedback impact of high energy cosmic rays. Astron. Astrophys. 2019, 626, A85. [Google Scholar] [CrossRef]
- Kellermann, K.I.; Condon, J.J.; Kimball, A.E.; Perley, R.A.; Ivezić, Ž. Radio-loud and Radio-quiet QSOs. Astrophys. J. 2016, 831, 168. [Google Scholar] [CrossRef]
- Radcliffe, J.F.; Barthel, P.D.; Garrett, M.A.; Beswick, R.J.; Thomson, A.P.; Muxlow, T.W.B. The radio emission from active galactic nuclei. Astron. Astrophys. 2021, 649, L9. [Google Scholar] [CrossRef]
- Ellis, R.S. Unsolved Problems in Astrophysics; Princeton University Press: Princeton, NJ, USA, 1996. [Google Scholar]
- Ellis, R.S.; Colless, M.; Broadhurst, T.; Heyl, J.; Glazebrook, K. Autofib Redshift Survey—I. Evolution of the galaxy luminosity function. Mon. Not. R. Astron. Soc. 1996, 280, 235–251. [Google Scholar] [CrossRef]
- Cohen, J.G. A Progress Report on the Caltech Faint Galaxy Redshift Survey. In Deep Fields: Proceedings of the ESO Workshop Held at Garching, Germany, 9–12 October 2000; Cristiani, S., Renzini, A., Williams, R.E., Eds.; Springer: Berlin/Heidelberg, Germany, 2001; p. 49. [Google Scholar] [CrossRef]
- McDonald, M.; Bayliss, M.; Benson, B.A.; Foley, R.J.; Ruel, J.; Sullivan, P.; Veilleux, S.; Aird, K.A.; Ashby, M.L.N.; Bautz, M.; et al. A massive, cooling-flow-induced starburst in the core of a luminous cluster of galaxies. Nature 2012, 488, 349–352. [Google Scholar] [CrossRef]
- Atek, H.; Richard, J.; Jauzac, M.; Kneib, J.P.; Natarajan, P.; Limousin, M.; Schaerer, D.; Jullo, E.; Ebeling, H.; Egami, E.; et al. Are ultra-faint galaxies at z = 6–8 responsible for cosmic reionization? Combined constraints from the Hubble Frontier Fields, clusters and parallels. Astrophys. J. 2015, 814, 69. [Google Scholar] [CrossRef]
- Labbé, I.; van Dokkum, P.; Nelson, E.; Bezanson, R.; Suess, K.A.; Leja, J.; Brammer, G.; Whitaker, K.; Mathews, E.; Stefanon, M.; et al. A population of red candidate massive galaxies ~600 Myr after the Big Bang. arXiv 2022, arXiv:2207.12446. [Google Scholar] [CrossRef]
- Finkelstein, S.L.; Bagley, M.B.; Ferguson, H.C.; Wilkins, S.M.; Kartaltepe, J.S.; Papovich, C.; Yung, L.A.; Haro, P.A.; Behroozi, P.; Dickinson, M.; et al. CEERS Key Paper I: An Early Look into the First 500 Myr of Galaxy Formation with JWST. arXiv 2022, arXiv:2211.05792. [Google Scholar] [CrossRef]
- Oesch, P.A.; Brammer, G.; Van Dokkum, P.G.; Illingworth, G.D.; Bouwens, R.J.; Labbé, I.; Franx, M.; Momcheva, I.; Ashby, M.L.N.; Fazio, G.G.; et al. A Remarkably Luminous Galaxy at z = 11.1 Measured with Hubble Space Telescope Grism Spectroscopy. Astrophys. J. 2016, 819, 129. [Google Scholar] [CrossRef]
- McGaugh, S.S. Early Galaxy Formation and the Hubble Constant Tension. Res. Notes AAS 2023, 7, 20. [Google Scholar] [CrossRef]
- Laigle, C.; McCracken, H.J.; Ilbert, O.; Hsieh, B.C.; Davidzon, I.; Capak, P.; Hasinger, G.; Silverman, J.D.; Pichon, C.; Coupon, J.; et al. The COSMOS2015 Catalog: Exploring the 1 < z < 6 Universe with Half a Million Galaxies. Astrophys. J. Suppl. Ser. 2016, 224, 24. [Google Scholar] [CrossRef]
- Contreras, D.; Johnson, M.C.; Mertens, J.B. Towards detection of relativistic effects in galaxy number counts using kSZ Tomography. J. Cosmol. Astropart. Phys. 2019, 2019, 24. [Google Scholar] [CrossRef]










| Region | RA (h) | Dec (deg) | Area (deg) | Total Count | Density (gals deg) |
|---|---|---|---|---|---|
| NGC | 8:00–16:00 | 0–60 | 5954 | 562,196 | 94.42 |
| SGC | −2:00–+2:00 | 0–30 | 859 | 59,925 | 69.76 |
| Band | ) | ||
|---|---|---|---|
| 0.1u | 3.26 ± 0.40 | −17.89 ± 0.04 | −0.94 ± 0.09 |
| 0.1g | 2.42 ± 0.10 | −19.34 ± 0.02 | −0.92 ± 0.04 |
| 0.1r | 1.69 ± 0.06 | −20.37 ± 0.02 | −1.03 ± 0.03 |
| 0.1i | 1.62 ± 0.06 | −20.78 ± 0.03 | −1.02 ± 0.04 |
| 0.1z | 1.47 ± 0.05 | −21.12 ± 0.02 | −1.07 ± 0.03 |
| Param | K | H | I | R | B | U |
|---|---|---|---|---|---|---|
| −1.10 | −1.10 | −1.10 | −1.40 | −0.92 | −1.10 | |
| −23.20 | −23.50 | −22.00 | −22.10 | −20.73 | −22.00 | |
| 1.00 | 1.20 | 2.00 | 2.00 | 2.30 | 1.10 | |
| 0.018 | 0.006 | 0.006 | 0.002 | 1.26 × | 1.96 × | |
| 12.00 | 12.00 | 14.00 | 14.00 | 16.00 | 18.00 | |
| 2.0 | 3.0 | 3.2 | 3.0 | 4.0 | 5.0 |
Disclaimer/Publisher’s Note: The statements, opinions and data contained in all publications are solely those of the individual author(s) and contributor(s) and not of MDPI and/or the editor(s). MDPI and/or the editor(s) disclaim responsibility for any injury to people or property resulting from any ideas, methods, instructions or products referred to in the content. |
© 2023 by the author. Licensee MDPI, Basel, Switzerland. This article is an open access article distributed under the terms and conditions of the Creative Commons Attribution (CC BY) license (https://creativecommons.org/licenses/by/4.0/).
Share and Cite
Marr, J.H. Faint Galaxy Number Counts in the Durham and SDSS Catalogues. Galaxies 2023, 11, 65. https://doi.org/10.3390/galaxies11030065
Marr JH. Faint Galaxy Number Counts in the Durham and SDSS Catalogues. Galaxies. 2023; 11(3):65. https://doi.org/10.3390/galaxies11030065
Chicago/Turabian StyleMarr, John H. 2023. "Faint Galaxy Number Counts in the Durham and SDSS Catalogues" Galaxies 11, no. 3: 65. https://doi.org/10.3390/galaxies11030065
APA StyleMarr, J. H. (2023). Faint Galaxy Number Counts in the Durham and SDSS Catalogues. Galaxies, 11(3), 65. https://doi.org/10.3390/galaxies11030065

