Opacities and Atomic Diffusion
Abstract
1. Introduction
2. Stellar Opacities
2.1. Definitions
2.2. Implementation in Stellar Evolution Codes
2.3. Asteroseismic Constraints on Opacities
3. Atomic Diffusion
3.1. Main Ingredients to Be Included in Evaluating This Physical Process
3.2. Radiative Acceleration
- −
- Atomic transition approach. This method consists of calculating explicitly the integral of Equation (6) over the transition probability profile for each atomic transition that is considered to make a significant contribution to the acceleration. Note that momentum acquired by bound–free transitions of ion i have to be attributed to . This method is most often used for atmospheres [45,46], and no more for interiors after large atomic or opacity data banks became available. With no surprise, this method is the most CPU time-consuming. However, it is, in principle, the most precise one as much as atomic data are accurate and complete.
- −
- Opacity sampling in stellar evolution. Here, the radiative acceleration is computed using Equation (7), the method was developed by Richer et al. (1998) [10] and was based on the OPAL database. One of the difficulties of this method is that calculation is performed on a fixed frequency grid, which is most often equally spaced in u, which needs to pay particular attention to the grid resolution. On another hand, this method applies to average atoms (with averaged ionization degree). Notice also that there is a limited number of elements in the databases (mostly elements lighter than Fe), generally elements contributing to the Rosseland average. This implies that studies needing to consider the atomic diffusion of these missing elements cannot be addressed.
- −
- Interpolation method. This method was proposed by M. Seaton in 1997 [47]. He was the initiator and the main architect of the Opacity Project (OP). The OP project first consists of computing ab initio numerically a large number of atomic transitions for many metals (presently lighter than iron). From these atomic data, the OP team computes tables of opacities (Rosseland average, monochromatic opacities of each element), and the numerical codes allowing interpolation from these tables for any chemical composition and position inside the stars. Since all the necessary data for radiative accelerations are already in the OP database, M. Seaton understood the potential importance of also providing radiative accelerations. He therefore added the codes to compute them with interpolations (as performed for opacities) in a specific table of a function built from Equation (7). This method is accurate and fast compared to the previous ones since all the necessary tables are already computed by the OP team. The method is easy to implement in existing codes. The limit of this method, as previously, is imposed by the list of elements in the database.
- −
- Semi-analytic or parametric approximation. The SVP (Single-Valued Parameters) method gives radiative accelerations in stellar interiors without having to explicitly handle large amounts of atomic data or opacity tables. A preliminary version was first proposed by G. Alecian (1985) [48]. In developing Equation (6), one obtains an expression where the atomic data and the concentration of the considered element are mixed, with a non-linear dependence on the concentration. In the SVP approximation, radiative acceleration has an analytic expression where atomic data and concentration are separated. Finally, the part depending on atomic data (which does not change when the concentration changes) may be obtained through pre-calculated small tables with only six parameters per ion [49,50,51]. This method is the less accurate one; however, it allows very fast computation ( time faster the Seaton’s interpolation) and was checked to be accurate enough for modeling stellar evolution [52]. The numerical code and the small table of parameters are provided online [51] presently for 16 elements (more elements should be added in a near future), but when needed for other elements they may be calculated by the user following [49], provided that atomic data are available.
3.3. Atomic Diffusion and Magnetic Fields
3.4. Competition with Macroscopic Motions
- −
- Meridional Circulation. This process is directly linked to star rotation. It is a large-scale motion that transports matter between the pole and the equator and may go deep inside the star. It is stronger as rotation is faster, and according to the efficiency of the kinetic momentum extraction, this could be why chemically peculiar stars are slow rotators. In slow-rotating stars (with types A V or B V), it is believed that meridional circulation is too weak to prevent the gravitational settling of He; Therefore, this diffusion produces the under-abundance of the element. The consequence is that the superficial He convection zone may disappear, and then external layers become stable enough for diffusion.
- −
- Turbulence. This is of course the most trivial mixing process since it involves small scales and advective motions. E. Schatzman (1969) [53] proposed to model its effect as a diffusive term. Therefore, he introduced the turbulent diffusion coefficient that leads to modify Equation (5) by writing the pure diffusive term as instead of . is assumed to be the same for all elements. In the case of perfect mixing, it should be infinite, and zero in a perfectly stable medium. Actually, this coefficient is difficult to estimate. Generally, it is parametrized in the modeling to ensure a soft transition between a mixing and a stable zone, see for instance [54].
- −
- Convection. Convection is a very common process in stars and has an important role in models, including atomic diffusion. One may say that it is at the basis of our definition of what we call normal stars. In the absence of convection, possibly all slowly rotating stars would have been more or less like chemically peculiar stars, i.e., with a large variety of superficial chemical compositions. If one limits ourselves to the usual convection determined by the Schwarzschild criterion, models including diffusion are strongly constrained by the precise positions of convection zones (CZ). Inside a CZ, the matter is assumed well-mixed (homogeneous abundances); however, its chemical composition is affected by how abundances are stratified by diffusion in the radiative zone just below. This chemical composition is supposed to reflect (with some dilution depending on the mass of the CZ) the composition of the last stable layers before it. Therefore, the parametrization of is crucial since it determines the real position of the bottom of the mixing zone. In ApBp stars, the superficial CZ is assumed non-existent or very small. Therefore, diffusion is extremely efficient directly in the atmosphere, hence producing spectacular abundance anomalies.
- −
- Mass loss. This is not a mixing process, but its effect on abundance anomalies may be comparable. In models including atomic diffusion, mass loss is a global outflow of matter. Assuming that it is permanent, stationary, and the star spherical, without magnetic fields, it is modeled as a constant flux of matter (a wind) determined by a unique parameter: the rate of mass loss. At a given radius r with matter density inside a star of mass , it is easy with the assumptions to determine the velocity of the flow to be . It appears that this velocity may be comparable, at certain depths, to that of diffusion in A- and B-type main sequence stars. If the rate of mass loss is too great (e.g., greater than about solar mass per year), the mass loss flux brings in new material from deeper parts of the star faster than diffusion can change the local composition, thus preventing abundance stratification. In particular, it is believed that the CP stars phenomenon does not extend to stars hotter than about because of their strong mass loss. Several studies show that the CP star phenomenon is better reproduced by models if atomic diffusion is combined with mass loss rates around – solar mass per year see for instance [55,56].
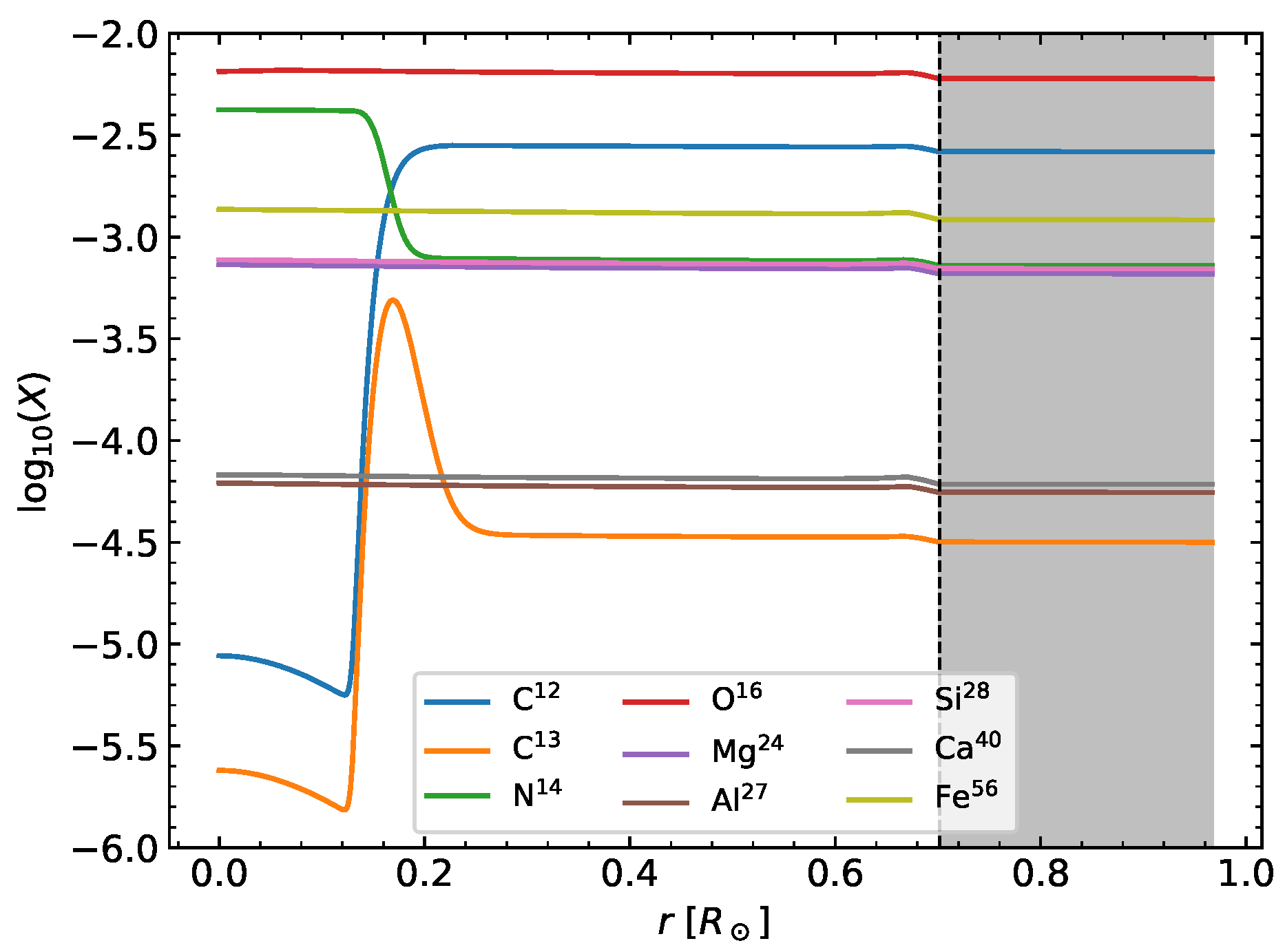
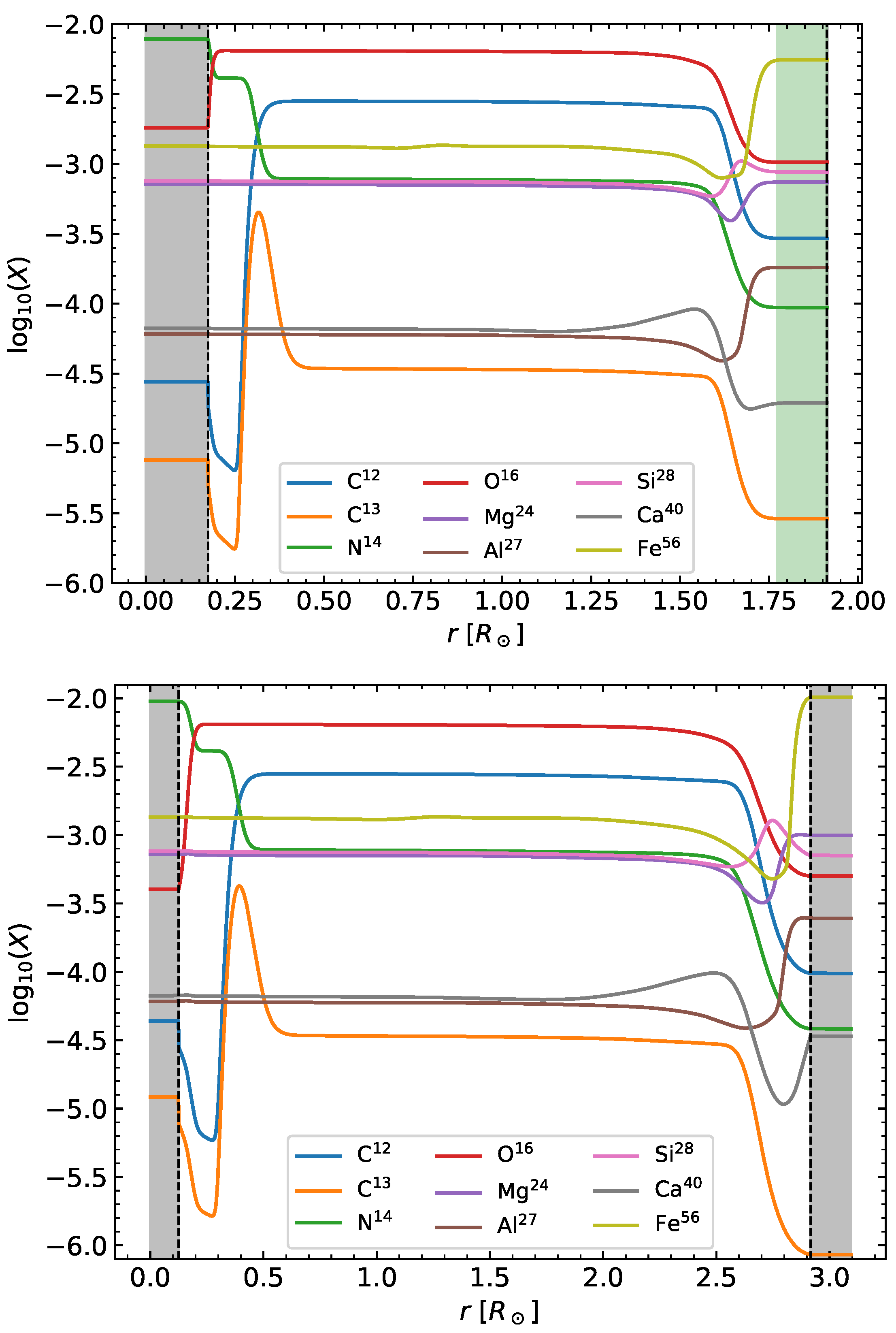
4. Stratification of Abundances across the Star
Horizontal-Branch, and More Evolved Stars
5. The Opacity as Vector of Coupling between Transport Processes
6. Radiatively Driven Winds
7. Discussion and Conclusions
Author Contributions
Funding
Data Availability Statement
Conflicts of Interest
| 1 | A group of main-sequence magnetic and chemically peculiar stars (CP stars) of type A. |
| 2 | Slowly Pulsating B-type stars. |
| 3 | Groups of main-sequence CP stars of types A and late B, showing the strongest abundance anomalies in their atmospheres. In these stars, some elements are underabundant, but most heavy metals are overabundant by several orders of magnitude with respect to solar abundances: for instance Fe may be time overabundant, Hg up to time! |
| 4 | Group of main-sequence CP stars of type A, with milder abundance anomalies than the groups previously mentioned. |
| 5 | Electric field is due to the relative diffusion of protons and electrons due to the gradient of the total pressure, it was introduced by [44]. |
| 6 | We are speaking about local line profile (not the observed one), i.e., the absorption profile of the net radiation flux at radius r (even in optically thick depth), and at the absorption frequency. Below atmosphere, due to an increase in the collisional broadening of transition probability profile, saturation of lines decreases, and Zeeman splitting has much less effect on radiative acceleration. |
References
- Badnell, N.R.; Bautista, M.A.; Butler, K.; Delahaye, F.; Mendoza, C.; Palmeri, P.; Zeippen, C.J.; Seaton, M.J. Updated opacities from the Opacity Project. MNRAS 2005, 360, 458–464. [Google Scholar] [CrossRef]
- Seaton, M.J. Opacity Project data on CD for mean opacities and radiative accelerations. MNRAS 2005, 362, L1–L3. [Google Scholar] [CrossRef]
- Iglesias, C.A.; Rogers, F.J. Updated Opal Opacities. ApJ 1996, 464, 943. [Google Scholar] [CrossRef]
- Blancard, C.; Cossé, P.; Faussurier, G. Solar Mixture Opacity Calculations Using Detailed Configuration and Level Accounting Treatments. ApJ 2012, 745, 10. [Google Scholar] [CrossRef]
- Mondet, G.; Blancard, C.; Cossé, P.; Faussurier, G. Opacity Calculations for Solar Mixtures. ApJS 2015, 220, 2. [Google Scholar] [CrossRef]
- Colgan, J.; Kilcrease, D.P.; Magee, N.H.; Sherrill, M.E.; Abdallah, J.J.; Hakel, P.; Fontes, C.J.; Guzik, J.A.; Mussack, K.A. A New Generation of Los Alamos Opacity Tables. ApJ 2016, 817, 116. [Google Scholar] [CrossRef]
- Pain, J.C.; Gilleron, F. Accounting for highly excited states in detailed opacity calculations. High Energy Density Phys. 2015, 15, 30–42. [Google Scholar] [CrossRef]
- Ferguson, J.W.; Alexander, D.R.; Allard, F.; Barman, T.; Bodnarik, J.G.; Hauschildt, P.H.; Heffner-Wong, A.; Tamanai, A. Low-Temperature Opacities. ApJ 2005, 623, 585–596. [Google Scholar] [CrossRef]
- Marigo, P.; Aringer, B.; Girardi, L.; Bressan, A. Low-Temperature Gas Opacities with AESOPUS 2.0. arXiv 2022, arXiv:2210.08587. [Google Scholar] [CrossRef]
- Richer, J.; Michaud, G.; Rogers, F.; Iglesias, C.; Turcotte, S.; LeBlanc, F. Radiative Accelerations for Evolutionary Model Calculations. ApJ 1998, 492, 833–842. [Google Scholar] [CrossRef]
- Hui-Bon-Hoa, A.; Pain, J.C.; Richard, O. New nickel opacities and their impact on stellar models. A&A 2022, 658, A70. [Google Scholar] [CrossRef]
- Hui-Bon-Hoa, A. Stellar models with self-consistent Rosseland opacities. Consequences for stellar structure and evolution. A&A 2021, 646, L6. [Google Scholar] [CrossRef]
- Buldgen, G.; Salmon, S.J.A.J.; Noels, A.; Scuflaire, R.; Montalban, J.; Baturin, V.A.; Eggenberger, P.; Gryaznov, V.K.; Iosilevskiy, I.L.; Meynet, G.; et al. Combining multiple structural inversions to constrain the solar modelling problem. A&A 2019, 621, A33. [Google Scholar] [CrossRef]
- Maeder, A. Physics, Formation and Evolution of Rotating Stars, Astronomy and Astrophysics Library; Springer International Publishing: Cham, Switzerland, 2009. [Google Scholar] [CrossRef]
- Bailey, J.E.; Nagayama, T.; Loisel, G.P.; Rochau, G.A.; Blancard, C.; Colgan, J.; Cosse, P.; Faussurier, G.; Fontes, C.J.; Gilleron, F.; et al. A higher-than-predicted measurement of iron opacity at solar interior temperatures. Nature 2015, 517, 56–59. [Google Scholar] [CrossRef]
- Balmforth, N.J.; Cunha, M.S.; Dolez, N.; Gough, D.O.; Vauclair, S. On the excitation mechanism in roAp stars. MNRAS 2001, 323, 362–372. [Google Scholar] [CrossRef]
- Saio, H. A non-adiabatic analysis for axisymmetric pulsations of magnetic stars. MNRAS 2005, 360, 1022–1032. [Google Scholar] [CrossRef]
- Holdsworth, D.L. The roAp Stars Observed by the Kepler Space Telescope. Front. Astron. Space Sci. 2021, 8, 31. [Google Scholar] [CrossRef]
- Cox, A.N.; Morgan, S.M.; Rogers, F.J.; Iglesias, C.A. An Opacity Mechanism for the Pulsations of OB Stars. ApJ 1992, 393, 272. [Google Scholar] [CrossRef]
- Moskalik, P.; Dziembowski, W.A. New opacities and the origin of the β Cephei pulsation. A&A 1992, 256, L5–L8. [Google Scholar]
- Dziembowski, W.A.; Moskalik, P.; Pamyatnykh, A.A. The opacity mechanism in B-type stars - II. Excitation of high-order g-modes in main-sequence stars. MNRAS 1993, 265, 588–600. [Google Scholar] [CrossRef]
- Salmon, S.; Montalbán, J.; Morel, T.; Miglio, A.; Dupret, M.A.; Noels, A. Testing the effects of opacity and the chemical mixture on the excitation of pulsations in B stars of the Magellanic Clouds. MNRAS 2012, 422, 3460–3474. [Google Scholar] [CrossRef]
- Moravveji, E. The impact of enhanced iron opacity on massive star pulsations: Updated instability strips. MNRAS 2016, 455, L67–L71. [Google Scholar] [CrossRef]
- Walczak, P.; Fontes, C.J.; Colgan, J.; Kilcrease, D.P.; Guzik, J.A. Wider pulsation instability regions for β Cephei and SPB stars calculated using new Los Alamos opacities. A&A 2015, 580, L9. [Google Scholar] [CrossRef]
- Pamyatnykh, A.A.; Handler, G.; Dziembowski, W.A. Asteroseismology of the β Cephei star ν Eridani: Interpretation and applications of the oscillation spectrum. MNRAS 2004, 350, 1022–1028. [Google Scholar] [CrossRef]
- Turcotte, S.; Richard, O. Of Variability, or its Absence, in HgMn Stars. Ap&SS 2003, 284, 225–228. [Google Scholar]
- Alecian, G.; Gebran, M.; Auvergne, M.; Richard, O.; Samadi, R.; Weiss, W.W.; Baglin, A. Looking for pulsations in HgMn stars through CoRoT lightcurves. A&A 2009, 506, 69–78. [Google Scholar] [CrossRef]
- Morel, T.; Briquet, M.; Auvergne, M.; Alecian, G.; Ghazaryan, S.; Niemczura, E.; Fossati, L.; Lehmann, H.; Hubrig, S.; Ulusoy, C.; et al. A search for pulsations in the HgMn star HD 45975 with CoRoT photometry and ground-based spectroscopy. A&A 2014, 561, A35. [Google Scholar] [CrossRef]
- Bourge, P.; Alecian, G.; Thoul, A.; Scuflaire, R.; Theado, S. Radiative forces and pulsation in beta Cephei stars. Commun. Asteroseismol. 2006, 147, 105–108. [Google Scholar] [CrossRef]
- Michaud, G.; Alecian, G.; Richer, J. Atomic Diffusion in Stars, Astronomy and Astrophysics Library; Springer International Publishing: Cham, Switzerland, 2015. [Google Scholar] [CrossRef]
- Théado, S.; Vauclair, S.; Alecian, G.; LeBlanc, F. Influence of Thermohaline Convection on Diffusion-Induced Iron Accumulation in a Stars. ApJ 2009, 704, 1262–1273. [Google Scholar] [CrossRef]
- Zemskova, V.; Garaud, P.; Deal, M.; Vauclair, S. Fingering Convection Induced by Atomic Diffusion in Stars: 3D Numerical Computations and Applications to Stellar Models. ApJ 2014, 795, 118. [Google Scholar] [CrossRef]
- Deal, M.; Richard, O.; Vauclair, S. Hydrodynamical instabilities induced by atomic diffusion in A stars and their consequences. A&A 2016, 589, A140. [Google Scholar] [CrossRef]
- Hui-Bon-Hoa, A.; Vauclair, S. Role of atomic diffusion in the opacity enhancement inside B-type stars. A&A 2018, 610, L15. [Google Scholar] [CrossRef]
- Chapman, S. Thermal diffusion and the stars. MNRAS 1917, 77, 539. [Google Scholar] [CrossRef]
- Chapman, S.; Cowling, T.G. The Mathematical Theory of non-Uniform Gases, 3d ed.; Cambridge University Press: Cambridge, UK, 1970. [Google Scholar]
- Burgers, J.M. Flow Equations for Composite Gases; Academic Press: New York, NY, USA, 1969. [Google Scholar]
- Eddington, A.S. The Internal Constitution of the Stars; Cambridge University Press: Cambridge, UK, 1926. [Google Scholar]
- Eddington, A.S. Internal circulation in rotating stars. MNRAS 1929, 90, 54. [Google Scholar] [CrossRef]
- Schatzman, E. Théorie du débit d’énergie des naines blanches. Annales d’Astrophysique 1945, 8, 143. [Google Scholar]
- Michaud, G. Diffusion Processes in Peculiar a Stars. ApJ 1970, 160, 641. [Google Scholar] [CrossRef]
- Turcotte, S.; Richer, J.; Michaud, G.; Iglesias, C.A.; Rogers, F.J. Consistent Solar Evolution Model Including Diffusion and Radiative Acceleration Effects. ApJ 1998, 504, 539. [Google Scholar] [CrossRef]
- Alecian, G.; Michaud, G. About diffusivity, radiative viscosity and particle transport. A&A 2005, 431, 1–5. [Google Scholar]
- Aller, L.H.; Chapman, S. Diffusion in the Sun. ApJ 1960, 132, 461. [Google Scholar] [CrossRef]
- Gonzalez, J.F.; LeBlanc, F.; Artru, M.C.; Michaud, G. Improvements on radiative acceleration calculations in stellar envelopes. A&A 1995, 297, 223–236. [Google Scholar]
- Alecian, G.; Stift, M.J. Radiative accelerations in stars: The effects of magnetic polarisation revisited. A&A 2004, 416, 703–712. [Google Scholar] [CrossRef]
- Seaton, M.J. Radiative accelerations in stellar envelopes. MNRAS 1997, 289, 700–720. [Google Scholar]
- Alecian, G. Approximate formulae for radiative acceleration in stars. A&A 1985, 145, 275–277. [Google Scholar]
- Alecian, G.; LeBlanc, F. New approximate formulae for radiative accelerations in stars. MNRAS 2002, 332, 891–900. [Google Scholar] [CrossRef]
- LeBlanc, F.; Alecian, G. New method for fast and easy computation of radiative accelerations in stars. MNRAS 2004, 352, 1329–1334. [Google Scholar] [CrossRef]
- Alecian, G.; LeBlanc, F. An improved parametric method for evaluating radiative accelerations in stellar interiors. MNRAS 2020, 498, 3420–3428. [Google Scholar] [CrossRef]
- Deal, M.; Alecian, G.; Lebreton, Y.; Goupil, M.J.; Marques, J.P.; LeBlanc, F.; Morel, P.; Pichon, B. Impacts of radiative accelerations on solar-like oscillating main-sequence stars. A&A 2018, 618, A10. [Google Scholar] [CrossRef]
- Schatzman, E. Gravitational Separation of the Elements and Turbulent Transport. A&A 1969, 3, 331. [Google Scholar]
- Richer, J.; Michaud, G.; Turcotte, S. The Evolution of AMFM Stars, Abundance Anomalies, and Turbulent Transport. ApJ 2000, 529, 338–356. [Google Scholar] [CrossRef]
- Michaud, G.; Richer, J.; Vick, M. Sirius A: Turbulence or mass loss? A&A 2011, 534, A18. [Google Scholar] [CrossRef]
- Alecian, G.; Stift, M.J. Time-dependent atomic diffusion in the atmospheres of CP stars. A big step forward: Introducing numerical models including a stellar mass-loss. MNRAS 2019, 482, 4519–4527. [Google Scholar] [CrossRef]
- Morel, P.; Lebreton, Y. CESAM: A free code for stellar evolution calculations. Astrophys. Space Sci. 2008, 316, 61–73. [Google Scholar] [CrossRef]
- Marques, J.P.; Goupil, M.J.; Lebreton, Y.; Talon, S.; Palacios, A.; Belkacem, K.; Ouazzani, R.M.; Mosser, B.; Moya, A.; Morel, P.; et al. Seismic diagnostics for transport of angular momentum in stars. I. Rotational splittings from the pre-main sequence to the red-giant branch. A&A 2013, 549, A74. [Google Scholar] [CrossRef]
- Ryabchikova, T. Direct evidence for stratification in A/B stellar atmospheres. In Proceedings of the European Astronomical Society Publications Series, EDP Science, Chateau de Mons, France, 6–10 June 2005; Alecian, G., Richard, O., Vauclair, S., Eds.; 2005; Volume 17, pp. 253–262. [Google Scholar] [CrossRef]
- Alecian, G.; Stift, M.J. 3D distribution models of Ca, Cr, and Fe in a magnetic CP star atmosphere with anisotropic wind. MNRAS 2021, 504, 1370–1378. [Google Scholar] [CrossRef]
- Michaud, G.; Richer, J.; Richard, O. Horizontal Branch Evolution and Atomic Diffusion. ApJ 2007, 670, 1178–1187. [Google Scholar] [CrossRef]
- Proffitt, C.R.; Vandenberg, D.A. Implications of Helium Diffusion for Globular Cluster Isochrones and Luminosity Functions. ApJS 1991, 77, 473. [Google Scholar] [CrossRef]
- Vandenberg, D.A.; Bolte, M.; Stetson, P.B. The Age of the Galactic Globular Cluster System. Annu. Rev. Astron. Astrophys. 1996, 34, 461–510. [Google Scholar] [CrossRef]
- Michaud, G.; Richer, J. Horizontal branch stars as AmFm/HgMn stars. Contrib. Astron. Obs. Skaln. Pleso 2008, 38, 103–112. [Google Scholar] [CrossRef]
- Behr, B.B. Rotation Velocities of Red and Blue Field Horizontal-Branch Stars. ApJS 2003, 149, 101–121. [Google Scholar] [CrossRef]
- Khalack, V.R.; Leblanc, F.; Behr, B.B.; Wade, G.A.; Bohlender, D. Search for vertical stratification of metals in atmospheres of blue horizontal-branch stars. A&A 2008, 477, 641–647. [Google Scholar] [CrossRef]
- Hui-Bon-Hoa, A.; LeBlanc, F.; Hauschildt, P.H. Diffusion in the Atmospheres of Blue Horizontal-Branch Stars. ApJ 2000, 535, L43–L45. [Google Scholar] [CrossRef] [PubMed]
- LeBlanc, F.; Monin, D.; Hui-Bon-Hoa, A.; Hauschildt, P.H. Stellar model atmospheres with abundance stratification. A&A 2009, 495, 937–944. [Google Scholar] [CrossRef]
- Leblanc, F.; Hui-Bon-Hoa, A.; Khalack, V.R. Stratification of the elements in the atmospheres of blue horizontal-branch stars. MNRAS 2010, 409, 1606–1610. [Google Scholar] [CrossRef]
- Schatzman, E.L. White Dwarfs; North-Holland Publishing Company: Amsterdam, The Netherlands, 1958. [Google Scholar]
- Fontaine, G.; Michaud, G. Diffusion time scales in white dwarfs. ApJ 1979, 231, 826–840. [Google Scholar] [CrossRef]
- Turcotte, S.; Richer, J.; Michaud, G. Consistent Evolution of F Stars: Diffusion, Radiative Accelerations, and Abundance Anomalies. ApJ 1998, 504, 559–572. [Google Scholar] [CrossRef]
- Richard, O.; Michaud, G.; Richer, J. Iron Convection Zones in B, A, and F Stars. ApJ 2001, 558, 377–391. [Google Scholar] [CrossRef]
- Deal, M.; Goupil, M.J.; Marques, J.P.; Reese, D.R.; Lebreton, Y. Chemical mixing in low mass stars. I. Rotation against atomic diffusion including radiative acceleration. A&A 2020, 633, A23. [Google Scholar] [CrossRef]
- Lucy, L.B.; Solomon, P.M. Mass Loss by Hot Stars. ApJ 1970, 159, 879. [Google Scholar] [CrossRef]
- Castor, J.I.; Abbott, D.C.; Klein, R.I. Radiation-driven winds in Of stars. ApJ 1975, 195, 157–174. [Google Scholar] [CrossRef]
- Abbott, D.C. The theory of radiatively driven stellar winds. II. The line acceleration. ApJ 1982, 259, 282–301. [Google Scholar] [CrossRef]
- Babel, J. Multi-component radiatively driven winds from A and B stars. I. The metallic wind of a main sequence A star. A&A 1995, 301, 823. [Google Scholar]
- Krtička, J.; Kubát, J. Multicomponent radiatively driven stellar winds. I. Nonisothermal three-component wind of hot B stars. A&A 2001, 369, 222–238. [Google Scholar] [CrossRef]
- Krtička, J.; Kubát, J.; Groote, D. Multicomponent radiatively driven stellar winds. Astron. Astrophys. 2006, 460, 145–153. [Google Scholar] [CrossRef]
- Fišák, J.; Kubát, J.; Kubátová, B.; Kromer, M.; Krtička, J. Progress towards a 3D Monte Carlo radiative transfer code for outflow wind modelling. arXiv 2022, arXiv:2212.11016. [Google Scholar] [CrossRef]
- Nsamba, B.; Campante, T.L.; Monteiro, M.J.P.F.G.; Cunha, M.S.; Rendle, B.M.; Reese, D.R.; Verma, K. Asteroseismic modelling of solar-type stars: Internal systematics from input physics and surface correction methods. MNRAS 2018, 477, 5052–5063. [Google Scholar] [CrossRef]
- Mombarg, J.S.G.; Dotter, A.; Van Reeth, T.; Tkachenko, A.; Gebruers, S.; Aerts, C. Asteroseismic Modeling of Gravity Modes in Slowly Rotating A/F Stars with Radiative Levitation. ApJ 2020, 895, 51. [Google Scholar] [CrossRef]








| Type of Table | Group | Status | Ref. |
|---|---|---|---|
| Rosseland mean | OP | Public 1 | [2] |
| - | OPAL | Public 2 | [3] |
| - | OPAS | Public 3 | [4,5] |
| - | OPLIB | Public 4 | [6] |
| - | SCO-RCG | In progress | [7] |
| low T | Whichita | Public 5 | [8] |
| - | ÆSOPUS | Public 6 | [9] |
| Monochromatic cross-sections | OP | Public 1 | [2] |
| - | OPAL | Not public | [3,10] |
| - | SCO-RCG | In progress | [7,11] |
Disclaimer/Publisher’s Note: The statements, opinions and data contained in all publications are solely those of the individual author(s) and contributor(s) and not of MDPI and/or the editor(s). MDPI and/or the editor(s) disclaim responsibility for any injury to people or property resulting from any ideas, methods, instructions or products referred to in the content. |
© 2023 by the authors. Licensee MDPI, Basel, Switzerland. This article is an open access article distributed under the terms and conditions of the Creative Commons Attribution (CC BY) license (https://creativecommons.org/licenses/by/4.0/).
Share and Cite
Alecian, G.; Deal, M. Opacities and Atomic Diffusion. Galaxies 2023, 11, 62. https://doi.org/10.3390/galaxies11030062
Alecian G, Deal M. Opacities and Atomic Diffusion. Galaxies. 2023; 11(3):62. https://doi.org/10.3390/galaxies11030062
Chicago/Turabian StyleAlecian, Georges, and Morgan Deal. 2023. "Opacities and Atomic Diffusion" Galaxies 11, no. 3: 62. https://doi.org/10.3390/galaxies11030062
APA StyleAlecian, G., & Deal, M. (2023). Opacities and Atomic Diffusion. Galaxies, 11(3), 62. https://doi.org/10.3390/galaxies11030062

