Reheating in Runaway Inflation Models via the Evaporation of Mini Primordial Black Holes
Abstract
1. Introduction
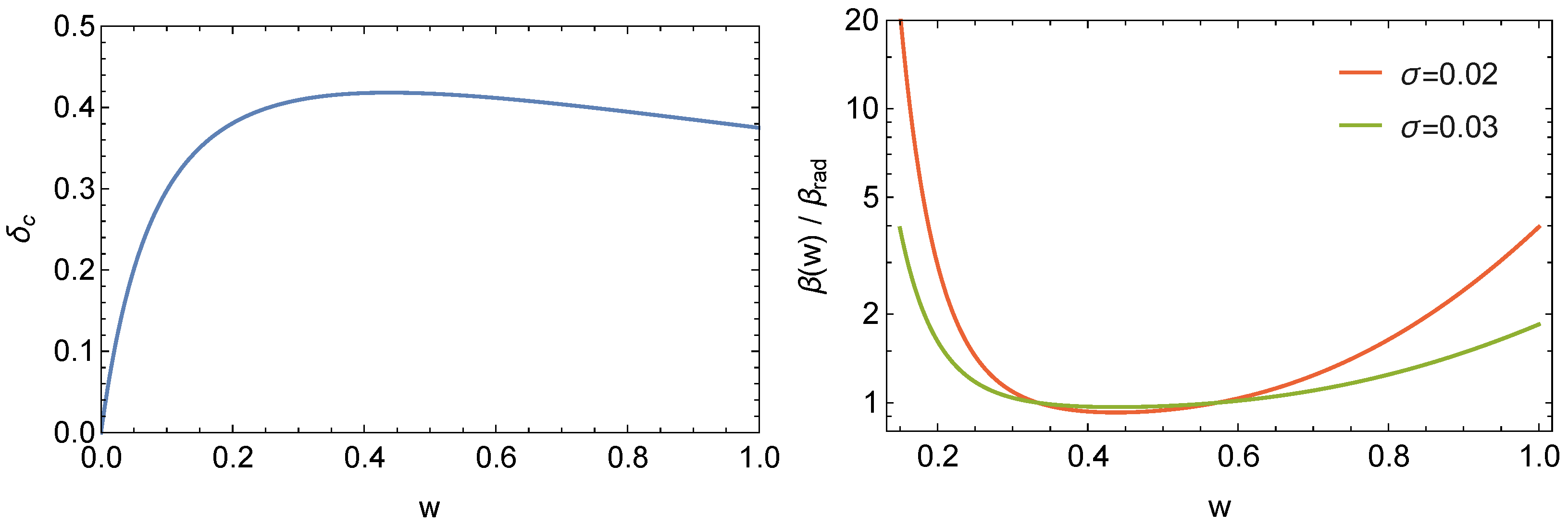
2. PBH Formation during a Kination Era
3. PBH Evaporation and PBH Remnants
3.1. Evaporation
3.2. Remnants from the Evaporation of PBHs
Remnants CDM Scenario
4. Evolution of Mini PBHs and Their Remnants during a Kination Era
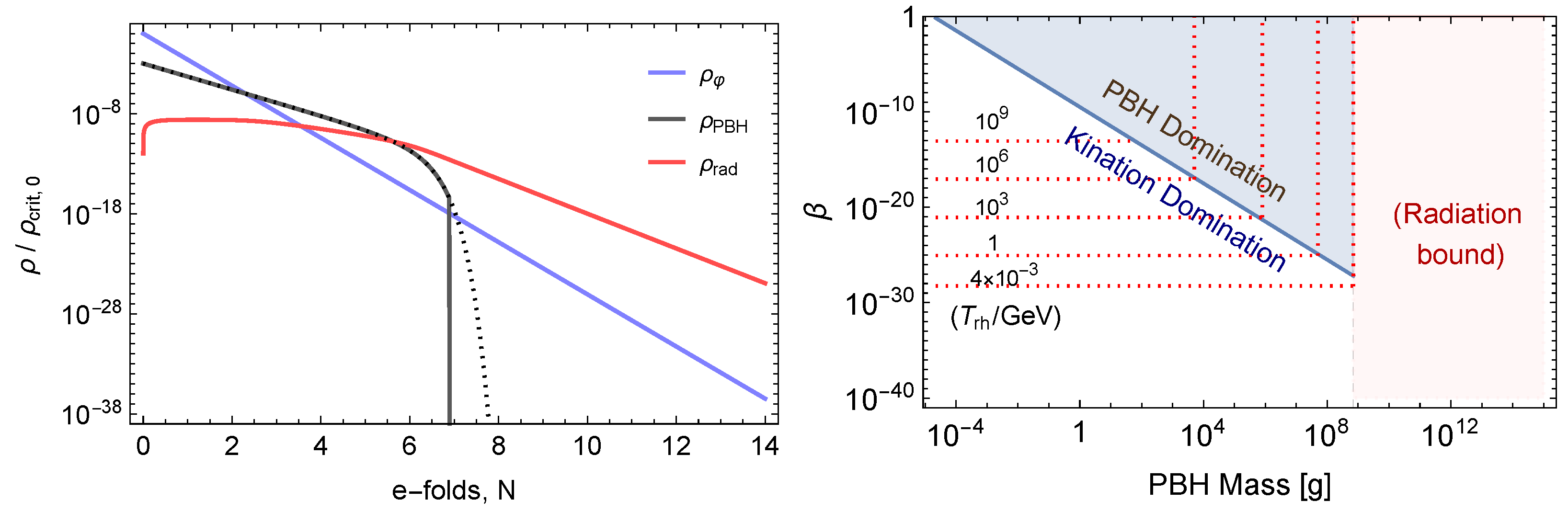
4.1. Energy Densities
4.2. Reheating the Universe via PBH Evaporation
4.2.1. Reheating without PBH Domination
4.2.2. Reheating after PBH Domination
4.3. PBH Remnants Abundance
4.3.1. Remnants Abundance without PBH Domination
4.3.2. Remnants Abundance with PBH Domination
4.4. Constraints from Inflation
4.4.1. Minimum Masses
4.4.2. Inflaton Residual Energy Density
5. Gravitational Waves and BBN/CMB Constraints
5.1. Reheating after a Kination Era
5.1.1. BBN/CMB Constraints on GWs from Inflation and a Kination Domination Phase
5.1.2. BBN/CMB Constraints on Induced GWs from Kination Era
5.2. Reheating after a PBH Domination Era
5.2.1. BBN/CMB Constraints on GWs from Inflation and a PBH Domination Phase
5.2.2. BBN/CMB Constraints on Induced GWs from Kination Era and a PBH Domination Phase
Induced GWs and Detection by LIGO/Virgo, Einstein Telescope
Isocurvature-Induced GWs
6. PBHs from Runaway Inflation Models
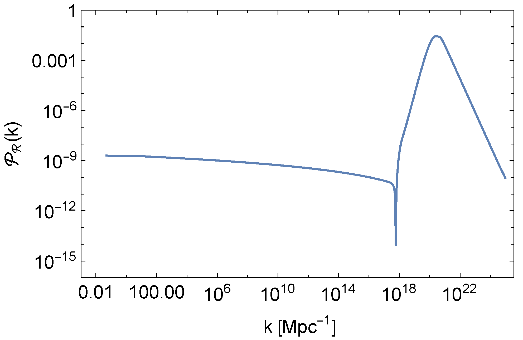
6.1. Building a Peak
6.2. Inflection Point
7. From Inflation to Dark Energy
The Evolution of the Runaway Inflaton
PBH Domination Phase
8. Conclusions and Discussion
Author Contributions
Funding
Institutional Review Board Statement
Informed Consent Statement
Data Availability Statement
Acknowledgments
Conflicts of Interest
Appendix A. Gravitational and Instant (P)reheating
Appendix A.1. Gravitational Reheating
Appendix A.2. Instant (P)reheating
| 1 | In the literature they are also called BH relics; however, we avoid this term here since massive PBHs that have not evaporated by now ought to be called, also, big bang relics. |
| 2 | |
| 3 | The effective number of neutrino species present in the thermal bath after annihilation is often labeled as , while before annihilation as . Here for simplicity we label the additional neutrino number as either before or after annihilation. |
| 4 |
References
- Abbott, B.P.; Abbott, R.; Abbott, T.; Abraham, S.; Acernese, F.; Ackley, K.; Adams, C.; Adhikari, R.X.; Adya, V.B.; Affeldt, C.; et al. GWTC-1: A Gravitational-Wave Transient Catalog of Compact Binary Mergers Observed by LIGO and Virgo during the First and Second Observing Runs. Phys. Rev. X 2019, 9, 031040. [Google Scholar] [CrossRef]
- Hawking, S.W. Particle Creation by Black Holes. Commun. Math. Phys. 1975, 43, 199–220, Erratum in Commun. Math. Phys. 1976, 46, 206. [Google Scholar] [CrossRef]
- Hawking, S.W. Black hole explosions. Nature 1974, 248, 30–31. [Google Scholar] [CrossRef]
- Chandrasekhar, S. The maximum mass of ideal white dwarfs. Astrophys. J. 1931, 74, 81–82. [Google Scholar] [CrossRef]
- Carr, B.J.; Hawking, S.W. Black holes in the early Universe. Mon. Not. R. Astron. Soc. 1974, 168, 399–415. [Google Scholar] [CrossRef]
- Carr, B.J. The Primordial black hole mass spectrum. Astrophys. J. 1975, 201, 1. [Google Scholar] [CrossRef]
- Carr, B.; Kohri, K.; Sendouda, Y.; Yokoyama, J. Constraints on primordial black holes. Rep. Prog. Phys. 2021, 84, 116902. [Google Scholar] [CrossRef]
- Anantua, R.; Easther, R.; Giblin, J.T. GUT-Scale Primordial Black Holes: Consequences and Constraints. Phys. Rev. Lett. 2009, 103, 111303. [Google Scholar] [CrossRef]
- Abbott, L.F.; Farhi, E.; Wise, M.B. Particle Production in the New Inflationary Cosmology. Phys. Lett. B 1982, 117, 29. [Google Scholar] [CrossRef]
- Kofman, L.; Linde, A.D.; Starobinsky, A.A. Towards the theory of reheating after inflation. Phys. Rev. D 1997, 56, 3258–3295. [Google Scholar] [CrossRef]
- Felder, G.N.; Kofman, L.; Linde, A.D. Inflation and preheating in NO models. Phys. Rev. D 1999, 60, 103505. [Google Scholar] [CrossRef]
- Ford, L.H. Gravitational Particle Creation and Inflation. Phys. Rev. D 1987, 35, 2955. [Google Scholar] [CrossRef] [PubMed]
- Felder, G.N.; Kofman, L.; Linde, A.D. Instant preheating. Phys. Rev. D 1999, 59, 123523. [Google Scholar] [CrossRef]
- Barrow, J.D.; Copeland, E.J.; Kolb, E.W.; Liddle, A.R. Baryogenesis in extended inflation. 2. Baryogenesis via primordial black holes. Phys. Rev. D 1991, 43, 984–994. [Google Scholar] [CrossRef]
- Carr, B.J.; Gilbert, J.H.; Lidsey, J.E. Black hole relics and inflation: Limits on blue perturbation spectra. Phys. Rev. D 1994, 50, 4853–4867. [Google Scholar] [CrossRef] [PubMed]
- Townsend, P.K. Quintessence from M theory. J. High Energy Phys. 2001, 11, 42. [Google Scholar] [CrossRef]
- Copeland, E.J.; Liddle, A.R.; Wands, D. Exponential potentials and cosmological scaling solutions. Phys. Rev. D 1998, 57, 4686. [Google Scholar] [CrossRef]
- Copeland, E.J.; Liddle, A.R.; Lidsey, J.E. Steep inflation: Ending brane world inflation by gravitational particle production. Phys. Rev. D 2001, 64, 023509. [Google Scholar] [CrossRef]
- Kolda, C.F.; Lahneman, W. Exponential quintessence and the end of acceleration. arXiv 2001, arXiv:hep-ph/0105300. [Google Scholar]
- Elizalde, E.; Nojiri, S.; Odintsov, S.D. Late-time cosmology in (phantom) scalar-tensor theory: Dark energy and the cosmic speed-up. Phys. Rev. D 2004, 70, 043539. [Google Scholar] [CrossRef]
- Kehagias, A.; Kofinas, G. Cosmology with exponential potentials. Class. Quant. Grav. 2004, 21, 3871. [Google Scholar] [CrossRef]
- Russo, J.G. Exact solution of scalar tensor cosmology with exponential potentials and transient acceleration. Phys. Lett. B 2004, 600, 185. [Google Scholar] [CrossRef][Green Version]
- Dalianis, I.; Farakos, F. Exponential potential for an inflaton with nonminimal kinetic coupling and its supergravity embedding. Phys. Rev. D 2014, 90, 083512. [Google Scholar] [CrossRef]
- Peebles, P.J.E.; Vilenkin, A. Quintessential inflation. Phys. Rev. D 1999, 59, 063505. [Google Scholar] [CrossRef]
- Spokoiny, B. Deflationary universe scenario. Phys. Lett. B 1993, 315, 40–45. [Google Scholar] [CrossRef]
- Dimopoulos, K.; Owen, C. Quintessential Inflation with α-attractors. J. Cosmol. Astropart. Phys. 2017, 2017, 27. [Google Scholar] [CrossRef]
- Dimopoulos, K.; Donaldson Wood, L.; Owen, C. Instant preheating in quintessential inflation with α-attractors. Phys. Rev. D 2018, 97, 063525. [Google Scholar] [CrossRef]
- Akrami, Y.; Kallosh, R.; Linde, A.; Vardanyan, V. Dark energy, α-attractors, and large-scale structure surveys. J. Cosmol. Astropart. Phys. 2018, 2018, 41. [Google Scholar] [CrossRef]
- Dimopoulos, K.; Donaldson-Wood, L. Warm quintessential inflation. Phys. Lett. B 2019, 796, 26–31. [Google Scholar] [CrossRef]
- Dimopoulos, K.; Sánchez López, S. Quintessential inflation in Palatini f(R) gravity. Phys. Rev. D 2021, 103, 043533. [Google Scholar] [CrossRef]
- Dalianis, I.; Kehagias, A.; Tringas, G. Primordial black holes from α-attractors. J. Cosmol. Astropart. Phys. 2019, 2019, 37. [Google Scholar] [CrossRef]
- Kallosh, R.; Linde, A.; Roest, D. Superconformal Inflationary α-Attractors. J. High Energy Phys. 2013, 1311, 198. [Google Scholar] [CrossRef]
- Akrami, Y.; Arroja, F.; Ashdown, M.; Aumont, J.; Baccigalupi, C.; Ballardini, M.; Banday, A.J.; Barreiro, R.B.; Bartolo, N.; Basak, S.; et al. Planck 2018 results. X. Constraints on inflation. Astron. Astrophys. 2020, 641, A10. [Google Scholar]
- Ade, P.A.; Ahmed, Z.; Amiri, M.; Barkats, D.; Thakur, R.B.; Bischoff, C.A.; Beck, D.; Bock, J.J.; Boenish, H.; Bullock, E.; et al. Improved Constraints on Primordial Gravitational Waves using Planck, WMAP, and BICEP/Keck Observations through the 2018 Observing Season. Phys. Rev. Lett. 2021, 127, 151301. [Google Scholar] [CrossRef]
- Dalianis, I.; Tringas, G. Primordial black hole remnants as dark matter produced in thermal, matter, and runaway-quintessence postinflationary scenarios. Phys. Rev. D 2019, 100, 083512. [Google Scholar] [CrossRef]
- Torres, R.; Fayos, F.; Lorente-Espín, O. The mechanism why colliders could create quasi-stable black holes. Int. J. Mod. Phys. D 2013, 22, 1350086. [Google Scholar] [CrossRef]
- Suranyi, P.; Vaz, C.; Wijewardhana, L.C.R. Do microscopic stable black holes contribute to dark matter? arXiv 2010, arXiv:1006.5072. [Google Scholar]
- Barrow, J.D.; Copeland, E.J.; Liddle, A.R. The Cosmology of black hole relics. Phys. Rev. D 1992, 46, 645–657. [Google Scholar] [CrossRef]
- Chen, P.; Ong, Y.C.; Yeom, D.H. Black Hole Remnants and the Information Loss Paradox. Phys. Rep. 2015, 603, 1. [Google Scholar] [CrossRef]
- Adler, R.J.; Chen, P.; Santiago, D.I. The Generalized uncertainty principle and black hole remnants. Gen. Rel. Grav. 2001, 33, 2101. [Google Scholar] [CrossRef]
- Coleman, S.R.; Preskill, J.; Wilczek, F. Quantum hair on black holes. Nucl. Phys. B 1992, 378, 175. [Google Scholar] [CrossRef]
- Alexander, S.; Meszaros, P. Reheating, Dark Matter and Baryon Asymmetry: A Triple Coincidence in Inflationary Models. arXiv 2007, arXiv:hep-th/0703070. [Google Scholar]
- Scardigli, F.; Gruber, C.; Chen, P. Black Hole Remnants in the Early Universe. Phys. Rev. D 2011, 83, 063507. [Google Scholar] [CrossRef]
- Lennon, O.; March-Russell, J.; Petrossian-Byrne, R.; Tillim, H. Black Hole Genesis of Dark Matter. J. Cosmol. Astropart. Phys. 2018, 2018, 9. [Google Scholar] [CrossRef]
- Raidal, M.; Solodukhin, S.; Vaskonen, V.; Veermäe, H. Light Primordial Exotic Compact Objects as All Dark Matter. Phys. Rev. D 2018, 97, 123520. [Google Scholar] [CrossRef]
- Rasanen, S.; Tomberg, E. Planck scale black hole dark matter from Higgs inflation. J. Cosmol. Astropart. Phys. 2019, 2019, 38. [Google Scholar] [CrossRef]
- Dymnikova, I.; Khlopov, M. Regular black hole remnants and graviatoms with de Sitter interior as heavy dark matter candidates probing inhomogeneity of early universe. Int. J. Mod. Phys. D 2015, 24, 1545002. [Google Scholar] [CrossRef]
- Nakama, T.; Wang, Y. Do we need fine-tuning to create primordial black holes? Phys. Rev. D 2019, 99, 023504. [Google Scholar] [CrossRef]
- Morrison, L.; Profumo, S.; Yu, Y. Melanopogenesis: Dark Matter of (almost) any Mass and Baryonic Matter from the Evaporation of Primordial Black Holes weighing a Ton (or less). J. Cosmol. Astropart. Phys. 2019, 2019, 5. [Google Scholar] [CrossRef]
- Kováčik, S. Hawking-radiation recoil of microscopic black holes. Phys. Dark Univ. 2021, 34, 100906. [Google Scholar] [CrossRef]
- Press, W.H.; Schechter, P. Formation of galaxies and clusters of galaxies by selfsimilar gravitational condensation. Astrophys. J. 1974, 187, 425–438. [Google Scholar] [CrossRef]
- Harada, T.; Yoo, C.M.; Kohri, K. Threshold of primordial black hole formation. Phys. Rev. D 2013, 88, 084051, Erratum in Phys. Rev. D 2014, 89, 029903. [Google Scholar] [CrossRef]
- Musco, I.; Miller, J.C. Primordial black hole formation in the early universe: Critical behaviour and self-similarity. Class. Quant. Grav. 2013, 30, 145009. [Google Scholar] [CrossRef]
- Byrnes, C.T.; Hindmarsh, M.; Young, S.; Hawkins, M.R.S. Primordial black holes with an accurate QCD equation of state. J. Cosmol. Astropart. Phys. 2018, 2018, 41. [Google Scholar] [CrossRef]
- Iacconi, L.; Assadullahi, H.; Fasiello, M.; Wands, D. Revisiting small-scale fluctuations in α-attractor models of inflation. arXiv 2021, arXiv:2112.05092. [Google Scholar]
- Carr, B.J.; Kohri, K.; Sendouda, Y.; Yokoyama, J. New cosmological constraints on primordial black holes. Phys. Rev. D 2010, 81, 104019. [Google Scholar] [CrossRef]
- Page, D.N.; Hawking, S.W. Gamma rays from primordial black holes. Astrophys. J. 1976, 206, 1–7. [Google Scholar] [CrossRef]
- MacGibbon, J.H.; Carr, B.J. Cosmic rays from primordial black holes. Astrophys. J. 1991, 371, 447–469. [Google Scholar] [CrossRef]
- Carr, B.J.; MacGibbon, J.H. Cosmic rays from primordial black holes and constraints on the early universe. Phys. Rep. 1998, 307, 141–154. [Google Scholar] [CrossRef]
- Carr, B.J.; Kohri, K.; Sendouda, Y.; Yokoyama, J. Constraints on primordial black holes from the Galactic gamma-ray background. Phys. Rev. D 2016, 94, 044029. [Google Scholar] [CrossRef]
- Zhang, L.; Chen, X.; Kamionkowski, M.; Si, Z.G.; Zheng, Z. Constraints on radiative dark-matter decay from the cosmic microwave background. Phys. Rev. D 2007, 76, 061301. [Google Scholar] [CrossRef]
- Chen, X.L.; Kamionkowski, M. Particle decays during the cosmic dark ages. Phys. Rev. D 2004, 70, 043502. [Google Scholar] [CrossRef]
- Arkani-Hamed, N.; Dimopoulos, S.; Dvali, G.R. The Hierarchy problem and new dimensions at a millimeter. Phys. Lett. B 1998, 429, 263. [Google Scholar] [CrossRef]
- Lehmann, B.V.; Profumo, S. Black hole remnants are not too fast to be dark matter. arXiv 2021, arXiv:2105.01627. [Google Scholar]
- Chun, E.J.; Scopel, S.; Zaballa, I. Gravitational reheating in quintessential inflation. J. Cosmol. Astropart. Phys. 2009, 2009, 22. [Google Scholar] [CrossRef]
- Nakama, T.; Yokoyama, J. Micro black holes formed in the early Universe and their cosmological implications. Phys. Rev. D 2019, 99, 061303. [Google Scholar] [CrossRef]
- Martin, J.; Papanikolaou, T.; Vennin, V. Primordial black holes from the preheating instability in single-field inflation. J. Cosmol. Astropart. Phys. 2020, 2020, 24. [Google Scholar] [CrossRef]
- Ichiki, K.; Yahiro, M.; Kajino, T.; Orito, M.; Mathews, G.J. Observational constraints on dark radiation in brane cosmology. Phys. Rev. D 2002, 66, 043521. [Google Scholar] [CrossRef]
- Apostolopoulos, P.S.; Tetradis, N. The Generalized dark radiation and accelerated expansion in brane cosmology. Phys. Lett. B 2006, 633, 409–414. [Google Scholar] [CrossRef]
- Simha, V.; Steigman, G. Constraining The Early-Universe Baryon Density And Expansion Rate. J. Cosmol. Astropart. Phys. 2008, 2008, 16. [Google Scholar] [CrossRef]
- Artymowski, M.; Czerwinska, O.; Lalak, Z.; Lewicki, M. Gravitational wave signals and cosmological consequences of gravitational reheating. J. Cosmol. Astropart. Phys. 2018, 2018, 46. [Google Scholar] [CrossRef]
- Aghanim, N.; Akrami, Y.; Ashdown, M.; Aumont, J.; Baccigalupi, C.; Ballardini, M.; Banday, A.J.; Barreiro, R.B.; Bartolo, N.; Basak, S.; et al. Planck 2018 results. VI. Cosmological parameters. Astron. Astrophys. 2020, 641, A6, Erratum in Astron. Astrophys. 2021, 652, C4. [Google Scholar]
- Cyburt, R.H.; Fields, B.D.; Olive, K.A.; Skillman, E. New BBN limits on physics beyond the standard model from 4He. Astropart. Phys. 2005, 23, 313–323. [Google Scholar] [CrossRef]
- Iocco, F.; Mangano, G.; Miele, G.; Pisanti, O.; Serpico, P.D. Primordial Nucleosynthesis: From precision cosmology to fundamental physics. Phys. Rep. 2009, 472, 1–76. [Google Scholar] [CrossRef]
- Lesgourgues, J.; Mangano, G.; Miele, G.; Pastor, S. Neutrino Cosmology; Cambridge University Press: Cambridge, UK, 2013. [Google Scholar]
- Starobinsky, A.A. Spectrum of relict gravitational radiation and the early state of the universe. JETP Lett. 1979, 30, 682–685. [Google Scholar]
- Matarrese, S.; Pantano, O.; Saez, D. A General relativistic approach to the nonlinear evolution of collisionless matter. Phys. Rev. D 1993, 47, 1311–1323. [Google Scholar] [CrossRef]
- Matarrese, S.; Mollerach, S.; Bruni, M. Relativistic second-order perturbations of the Einstein–de Sitter universe. Phys. Rev. D 1998, 58, 043504. [Google Scholar] [CrossRef]
- Domènech, G. Scalar Induced Gravitational Waves Review. Universe 2021, 7, 398. [Google Scholar] [CrossRef]
- Dong, R.; Kinney, W.H.; Stojkovic, D. Gravitational wave production by Hawking radiation from rotating primordial black holes. J. Cosmol. Astropart. Phys. 2016, 2016, 34. [Google Scholar] [CrossRef]
- Arbey, A.; Auffinger, J.; Sandick, P.; Shams Es Haghi, B.; Sinha, K. Precision calculation of dark radiation from spinning primordial black holes and early matter-dominated eras. Phys. Rev. D 2021, 103, 123549. [Google Scholar] [CrossRef]
- Domènech, G.; Takhistov, V.; Sasaki, M. Exploring evaporating primordial black holes with gravitational waves. Phys. Lett. B 2021, 823, 136722. [Google Scholar] [CrossRef]
- Sandick, P.; Es Haghi, B.S.; Sinha, K. Asymmetric reheating by primordial black holes. Phys. Rev. D 2021, 104, 083523. [Google Scholar] [CrossRef]
- Giovannini, M. Production and detection of relic gravitons in quintessential inflationary models. Phys. Rev. D 1999, 60, 123511. [Google Scholar] [CrossRef]
- Riazuelo, A.; Uzan, J.P. Quintessence and gravitational waves. Phys. Rev. D 2000, 62, 083506. [Google Scholar] [CrossRef]
- Yahiro, M.; Mathews, G.J.; Ichiki, K.; Kajino, T.; Orito, M. Constraints on cosmic quintessence and quintessential inflation. Phys. Rev. D 2002, 65, 063502. [Google Scholar] [CrossRef]
- Boyle, L.A.; Buonanno, A. Relating gravitational wave constraints from primordial nucleosynthesis, pulsar timing, laser interferometers, and the CMB: Implications for the early Universe. Phys. Rev. D 2008, 78, 043531. [Google Scholar] [CrossRef]
- Saikawa, K.; Shirai, S. Primordial gravitational waves, precisely: The role of thermodynamics in the Standard Model. J. Cosmol. Astropart. Phys. 2018, 2018, 35. [Google Scholar] [CrossRef]
- Maggiore, M. Gravitational wave experiments and early universe cosmology. Phys. Rep. 2000, 331, 283–367. [Google Scholar] [CrossRef]
- Caprini, C.; Figueroa, D.G. Cosmological Backgrounds of Gravitational Waves. Class. Quant. Grav. 2018, 35, 163001. [Google Scholar] [CrossRef]
- Dalianis, I.; Kritos, K. Exploring the Spectral Shape of Gravitational Waves Induced by Primordial Scalar Perturbations and Connection with the Primordial Black Hole Scenarios. Phys. Rev. D 2021, 103, 023505. [Google Scholar] [CrossRef]
- Domènech, G. Induced gravitational waves in a general cosmological background. Int. J. Mod. Phys. D 2020, 29, 2050028. [Google Scholar] [CrossRef]
- Zagorac, J.L.; Easther, R.; Padmanabhan, N. GUT-Scale Primordial Black Holes: Mergers and Gravitational Waves. J. Cosmol. Astropart. Phys. 2019, 2019, 52. [Google Scholar] [CrossRef]
- Inomata, K.; Kawasaki, M.; Mukaida, K.; Terada, T.; Yanagida, T.T. Gravitational Wave Production right after a Primordial Black Hole Evaporation. Phys. Rev. D 2020, 101, 123533. [Google Scholar] [CrossRef]
- Papanikolaou, T.; Vennin, V.; Langlois, D. Gravitational waves from a universe filled with primordial black holes. J. Cosmol. Astropart. Phys. 2021, 2021, 53. [Google Scholar] [CrossRef]
- Domènech, G.; Lin, C.; Sasaki, M. Erratum: Gravitational wave constraints on the primordial black hole dominated early universe. J. Cosmol. Astropart. Phys. 2021, 2021, E01. [Google Scholar] [CrossRef]
- Domènech, G.; Passaglia, S.; Renaux-Petel, S. Gravitational waves from dark matter isocurvature. arXiv 2021, arXiv:2112.10163. [Google Scholar]
- Meszaros, P. Primeval black holes and galaxy formation. Astron. Astrophys. 1975, 38, 5–13. [Google Scholar]
- Afshordi, N.; McDonald, P.; Spergel, D.N. Primordial black holes as dark matter: The Power spectrum and evaporation of early structures. Astrophys. J. Lett. 2003, 594, L71–L74. [Google Scholar] [CrossRef]
- Wands, D.; Malik, K.A.; Lyth, D.H.; Liddle, A.R. A New approach to the evolution of cosmological perturbations on large scales. Phys. Rev. D 2000, 62, 043527. [Google Scholar] [CrossRef]
- Inomata, K.; Kohri, K.; Nakama, T.; Terada, T. Enhancement of Gravitational Waves Induced by Scalar Perturbations due to a Sudden Transition from an Early Matter Era to the Radiation Era. Phys. Rev. D 2019, 100, 043532. [Google Scholar] [CrossRef]
- Inomata, K.; Kohri, K.; Nakama, T.; Terada, T. Gravitational Waves Induced by Scalar Perturbations during a Gradual Transition from an Early Matter Era to the Radiation Era. J. Cosmol. Astropart. Phys. 2019, 2019, 71. [Google Scholar] [CrossRef]
- Dalianis, I.; Kouvaris, C. Gravitational waves from density perturbations in an early matter domination era. J. Cosmol. Astropart. Phys. 2021, 2021, 46. [Google Scholar] [CrossRef]
- Garcia-Bellido, J.; Ruiz Morales, E. Primordial black holes from single field models of inflation. Phys. Dark Univ. 2017, 18, 47. [Google Scholar] [CrossRef]
- Motohashi, H.; Hu, W. Primordial Black Holes and Slow-Roll Violation. Phys. Rev. D 2017, 96, 063503. [Google Scholar] [CrossRef]
- Ballesteros, G.; Taoso, M. Primordial black hole dark matter from single field inflation. Phys. Rev. D 2018, 97, 023501. [Google Scholar] [CrossRef]
- Kefala, K.; Kodaxis, G.P.; Stamou, I.D.; Tetradis, N. Features of the inflaton potential and the power spectrum of cosmological perturbations. Phys. Rev. D 2021, 104, 023506. [Google Scholar] [CrossRef]
- Dalianis, I.; Kodaxis, G.P.; Stamou, I.D.; Tetradis, N.; Tsigkas-Kouvelis, A. Spectrum oscillations from features in the potential of single-field inflation. Phys. Rev. D 2021, 104, 103510. [Google Scholar] [CrossRef]
- Fu, C.; Wu, P.; Yu, H. Primordial Black Holes from Inflation with Nonminimal Derivative Coupling. Phys. Rev. D 2019, 100, 063532. [Google Scholar] [CrossRef]
- Dalianis, I.; Karydas, S.; Papantonopoulos, E. Generalized Non-Minimal Derivative Coupling: Application to Inflation and Primordial Black Hole Production. J. Cosmol. Astropart. Phys. 2020, 2020, 40. [Google Scholar] [CrossRef]
- Fumagalli, J.; Renaux-Petel, S.; Witkowski, L.T. Oscillations in the stochastic gravitational wave background from sharp features and particle production during inflation. J. Cosmol. Astropart. Phys. 2021, 2021, 30. [Google Scholar] [CrossRef]
- Dalianis, I. Constraints on the curvature power spectrum from primordial black hole evaporation. J. Cosmol. Astropart. Phys. 2019, 2019, 32. [Google Scholar] [CrossRef]
- Byrnes, C.T.; Cole, P.S.; Patil, S.P. Steepest growth of the power spectrum and primordial black holes. J. Cosmol. Astropart. Phys. 2019, 2019, 28. [Google Scholar] [CrossRef]
- Franciolini, G.; Kehagias, A.; Matarrese, S.; Riotto, A. Primordial Black Holes from Inflation and non-Gaussianity. J. Cosmol. Astropart. Phys. 2018, 2018, 16. [Google Scholar] [CrossRef]
- Passaglia, S.; Hu, W.; Motohashi, H. Primordial black holes and local non-Gaussianity in canonical inflation. Phys. Rev. D 2019, 99, 043536. [Google Scholar] [CrossRef]
- Atal, V.; Germani, C. The role of non-gaussianities in Primordial Black Hole formation. Phys. Dark Univ. 2019, 24, 100275. [Google Scholar] [CrossRef]
- De Luca, V.; Franciolini, G.; Kehagias, A.; Peloso, M.; Riotto, A.; Ünal, C. The Ineludible non-Gaussianity of the Primordial Black Hole Abundance. J. Cosmol. Astropart. Phys. 2019, 2019, 48. [Google Scholar] [CrossRef]
- Pattison, C.; Vennin, V.; Assadullahi, H.; Wands, D. Quantum diffusion during inflation and primordial black holes. J. Cosmol. Astropart. Phys. 2017, 2017, 46. [Google Scholar] [CrossRef]
- Biagetti, M.; Franciolini, G.; Kehagias, A.; Riotto, A. Primordial Black Holes from Inflation and Quantum Diffusion. J. Cosmol. Astropart. Phys. 2018, 2018, 32. [Google Scholar] [CrossRef]
- Ezquiaga, J.M.; García-Bellido, J. Quantum diffusion beyond slow-roll: Implications for primordial black-hole production. J. Cosmol. Astropart. Phys. 2018, 2018, 18. [Google Scholar] [CrossRef]
- Cruces, D.; Germani, C.; Prokopec, T. Failure of the stochastic approach to inflation beyond slow-roll. J. Cosmol. Astropart. Phys. 2019, 2019, 48. [Google Scholar] [CrossRef]










Publisher’s Note: MDPI stays neutral with regard to jurisdictional claims in published maps and institutional affiliations. |
© 2022 by the authors. Licensee MDPI, Basel, Switzerland. This article is an open access article distributed under the terms and conditions of the Creative Commons Attribution (CC BY) license (https://creativecommons.org/licenses/by/4.0/).
Share and Cite
Dalianis, I.; Kodaxis, G.P. Reheating in Runaway Inflation Models via the Evaporation of Mini Primordial Black Holes. Galaxies 2022, 10, 31. https://doi.org/10.3390/galaxies10010031
Dalianis I, Kodaxis GP. Reheating in Runaway Inflation Models via the Evaporation of Mini Primordial Black Holes. Galaxies. 2022; 10(1):31. https://doi.org/10.3390/galaxies10010031
Chicago/Turabian StyleDalianis, Ioannis, and George P. Kodaxis. 2022. "Reheating in Runaway Inflation Models via the Evaporation of Mini Primordial Black Holes" Galaxies 10, no. 1: 31. https://doi.org/10.3390/galaxies10010031
APA StyleDalianis, I., & Kodaxis, G. P. (2022). Reheating in Runaway Inflation Models via the Evaporation of Mini Primordial Black Holes. Galaxies, 10(1), 31. https://doi.org/10.3390/galaxies10010031
