In Silico Psycho-Oncology: Understanding Resilience Pathways in Breast Cancer—Determinants of Longitudinal Depression and Quality-of-Life Trajectories
Abstract
1. Introduction
- Who remains resilient over time, compared with individuals who experience persistently elevated depressive symptoms or persistently lower QoL, thereby capturing differences in long-term outcome levels.
- Who is at risk for persistently poor depression or QoL outcomes, providing insight into profiles associated with sustained vulnerability.
- Who deteriorates despite early resilience; a contrast that is less confounded by baseline outcome levels and enables the identification of early warning markers relevant to preventive strategies, clinical monitoring and early intervention.
- Who recovers among individuals with comparable baseline levels; a comparison that is likewise less influenced by baseline outcome levels and highlights factors associated with improvement rather than symptom burden, with potential implications for therapeutic intervention.
2. Materials and Methods
2.1. Participants
2.2. Measures
2.2.1. Outcome Variables
2.2.2. Sociodemographic, Lifestyle and Clinical Data
2.2.3. Psychological Scales
2.3. Statistical Analysis
2.3.1. Missing Data
2.3.2. Derivation of Depression and GHS/QoL Trajectories
2.3.3. Early Predictors of Depression and GHS/QoL Trajectories
3. Results
3.1. Baseline Demographic and Clinical Characteristics
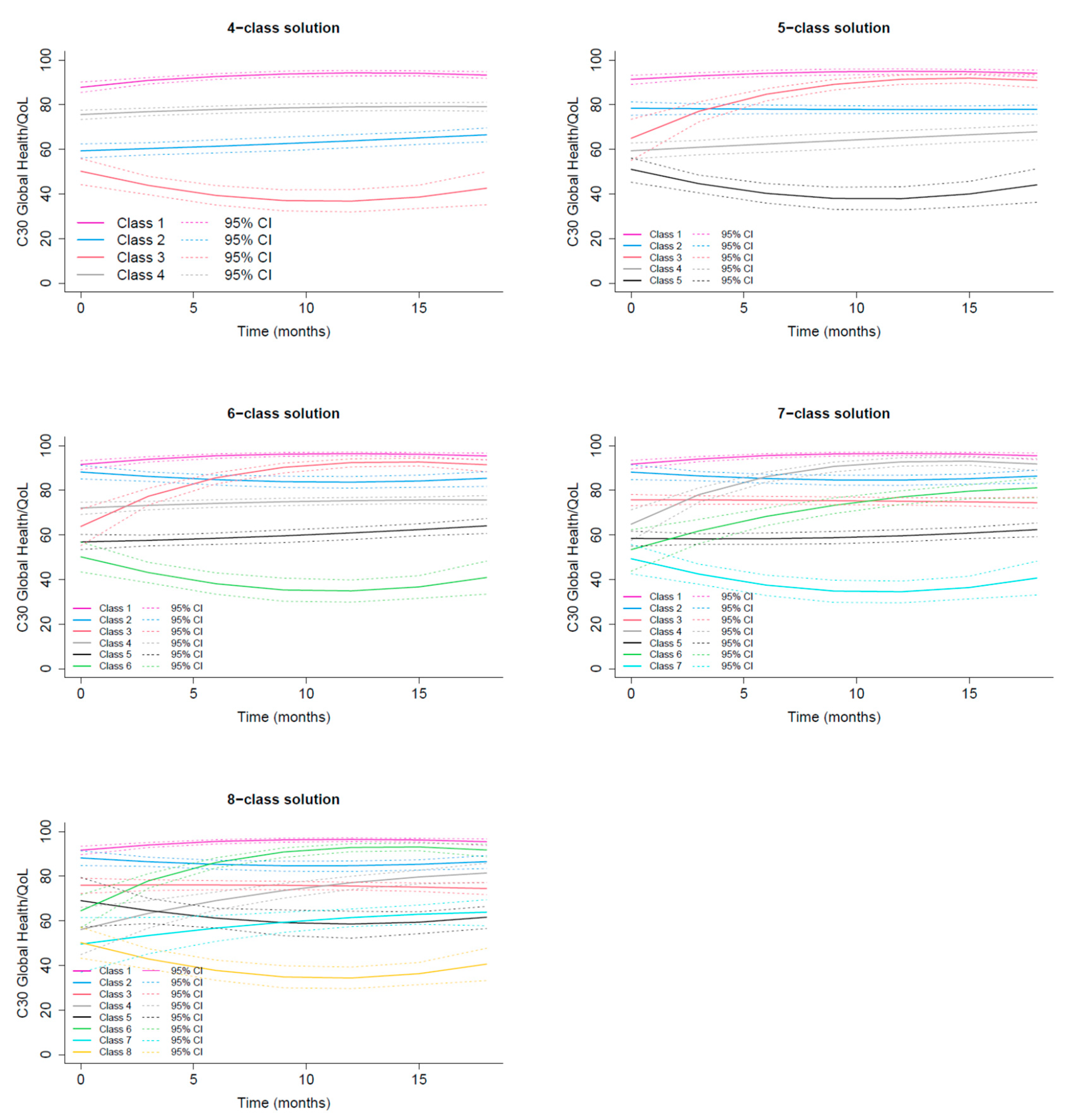
3.2. Trajectory Groups
3.2.1. GHS/QoL Trajectories
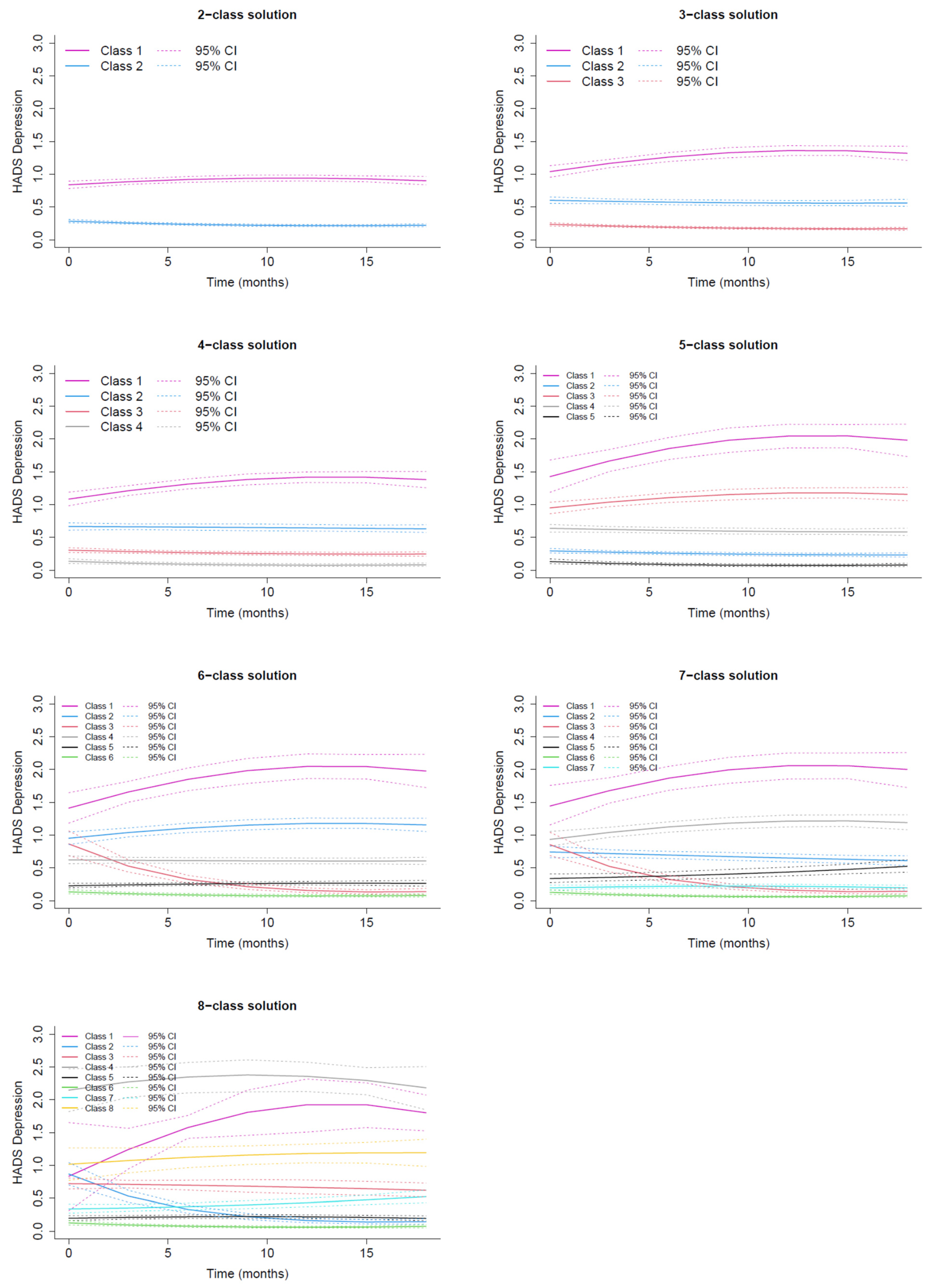
3.2.2. HADS Depression Trajectories
3.3. Predictors of GHS/QoL Trajectories
3.3.1. Low Deteriorating QoL vs. Rest
3.3.2. Excellent QoL vs. Rest
3.3.3. Recovering vs. Moderate QoL
3.4. Predictors of HADS Depression Trajectories
3.4.1. Stable Moderate/High vs. Resilient
3.4.2. Delayed Occurrence vs. Resilient
3.4.3. Recovering vs. Stable Moderate/High
3.5. Correlation Structure of Predictors Selected by Stability Analysis
4. Discussion
Strengths and Limitations
5. Conclusions
Supplementary Materials
Author Contributions
Funding
Institutional Review Board Statement
Informed Consent Statement
Data Availability Statement
Acknowledgments
Conflicts of Interest
Abbreviations
| BR23 | Breast cancer-specific module of EORTC QLQ |
| CBI-B | Cancer Behavior Inventory |
| CD-RISC | Connor–Davidson Resilience Scale |
| EORTC QLQ-C30 | European Organisation for Research and Treatment of Cancer Quality of Life Questionnaire |
| C30 | Core 30 of EORTC QLQ |
| FCRI-SF | Fear of Cancer Recurrence Inventory–Short Form |
| GHS/QoL | Global Health Status/QoL scale of EORTC-QLQ-C30 |
| HADS | Hospital Anxiety and Depression Scale |
| LOT-R | Life Orientation Test–Revised |
| MAAS | Mindful Attention Awareness Scale |
| MAC | Mental Adjustment to Cancer Scale |
| mMOS-SS | Modified Medical Outcomes Study Social Support Survey |
| PACT | Perceived Ability to Cope with Trauma Scale |
| PANAS | Positive and Negative Affect Schedule |
| PTGI-SF | Post-Traumatic Growth Inventory–Short Form |
| QoL | Quality of Life |
| SOC | Sense of Coherence Scale |
Appendix A. Selection of Link Function
| Transformation—Link Function | AIC | BIC |
|---|---|---|
| None | 30,481.32 | 30,498.47 |
| Beta cumulative distribution | 29,468.93 | 29,494.65 |
| I-splines with 5 equidistant knots | 30,001.87 | 30,040.46 |
| I-splines with 5 knots at quantiles | 29,889.07 | 29,927.66 |
| I-splines with 6 equidistant knots | 29,997.34 | 30,040.21 |
| I-splines with 6 knots at quantiles | 29,412.77 | 29,455.64 |
| I-splines with 7 equidistant knots | 29,955.92 | 30,003.08 |
| I-splines with 7 knots at quantiles | 29,411 | 29,458.16 |
| Transformation—Link Function | AIC | BIC |
|---|---|---|
| None | 28,905.96 | 28,948.84 |
| Beta cumulative distribution | 27,780.27 | 27,831.73 |
| I-splines with 5 equidistant knots | 28,306.42 | 28,370.74 |
| I-splines with 5 knots at quantiles | 28,193.4 | 28,257.72 |
| I-splines with 6 equidistant knots | 28,300.39 | 28,369 |
| I-splines with 6 knots at quantiles | 27,722.3 | 27,790.9 |
| I-splines with 7 equidistant knots | 28,258.61 | 28,331.5 |
| I-splines with 7 knots at quantiles | 27,719.66 | 27,792.55 |
| Transformation—Link Function | AIC | BIC |
|---|---|---|
| None | 5384.34 | 5401.491 |
| Beta cumulative distribution | 3830.596 | 3856.323 |
| I-splines with 5 equidistant knots | 3459.454 | 3498.045 |
| I-splines with 5 knots at quantiles | 3344.796 | 3383.387 |
| I-splines with 6 equidistant knots | 3423.261 | 3466.14 |
| I-splines with 6 knots at quantiles | 3340.9 | 3383.778 |
| I-splines with 7 equidistant knots | 3398.965 | 3446.132 |
| I-splines with 7 knots at quantiles | 3339.337 | 3386.504 |
| Transformation—Link Function | AIC | BIC |
|---|---|---|
| None | 2688.547 | 2731.426 |
| Beta cumulative distribution | 1272.653 | 1324.107 |
| I-splines with 5 equidistant knots | 976.3214 | 1040.639 |
| I-splines with 5 knots at quantiles | 882.3571 | 946.675 |
| I-splines with 6 equidistant knots | 955.6132 | 1024.219 |
| I-splines with 6 knots at quantiles | 869.0842 | 940.7354 |
| I-splines with 7 equidistant knots | 941.1433 | 1014.037 |
| I-splines with 7 knots at quantiles | 869.0842 | 941.9778 |
Appendix B. Trajectory Clustering of GHS/QoL
| Relative Class Size (%) | |||||||||||||
|---|---|---|---|---|---|---|---|---|---|---|---|---|---|
| No of Classes | Loglik | AIC | BIC | Entropy | ICL | Class1 | Class2 | Class3 | Class4 | Class5 | Class6 | Class7 | Class8 |
| 1 | −14,696 | 29,413 | 29,456 | 1 | 29,456 | 100 | - | - | - | - | - | - | - |
| 2 | −14,170 | 28,368 | 28,428 | 0.857 | 28,481 | 32.16 | 67.84 | - | - | - | - | - | - |
| 3 | −13,959 | 27,955 | 28,032 | 0.836 | 28,129 | 19.89 | 52.79 | 27.32 | - | - | - | - | - |
| 4 | −13,908 | 27,861 | 27,955 | 0.809 | 28,098 | 16.36 | 29.55 | 6.32 | 47.77 | - | - | - | - |
| 5 | −13,869 | 27,789 | 27,901 | 0.800 | 28,074 | 13.20 | 40.71 | 7.81 | 31.41 | 6.88 | - | - | - |
| 6 | −13,836 | 27,732 | 27,860 | 0.795 | 28,058 | 10.22 | 12.27 | 7.06 | 41.64 | 23.42 | 5.39 | - | - |
| 7 | −13,820 | 27,708 | 27,854 | 0.768 | 28,097 | 10.04 | 11.52 | 35.50 | 6.51 | 23.05 | 8.36 | 5.02 | - |
| 8 | −13,815 | 27,706 | 27,868 | 0.726 | 28,175 | 9.85 | 11.71 | 35.13 | 8.55 | 10.41 | 6.51 | 12.45 | 5.39 |
| Relative Class Size (%) | |||||||||||
|---|---|---|---|---|---|---|---|---|---|---|---|
| No of Classes | Loglik | AIC | BIC | Entropy | ICL | Class1 | Class2 | Class3 | Class4 | Class5 | Class6 |
| 1 | −13,845 | 27,722 | 27,791 | 1 | 27,791 | 100 | - | - | - | - | |
| 2 | −13,841 | 27,722 | 27,808 | 0.504 | 27,993 | 22.68 | 77.32 | - | - | - | - |
| 3 | −13,831 | 27,710 | 27,813 | 0.766 | 27,951 | 7.99 | 19.14 | 72.86 | - | - | - |
| 4 | −13,825 | 27,706 | 27,826 | 0.713 | 28,040 | 46.28 | 5.58 | 17.47 | 30.67 | - | - |
| 5 | −13,819 | 27,702 | 27,839 | 0.759 | 28,048 | 3.35 | 15.61 | 69.70 | 8.18 | 3.16 | - |
| 6 | −13,816 | 27,704 | 27,858 | 0.731 | 28,118 | 17.47 | 44.61 | 1.12 | 28.81 | 5.95 | 2.04 |
| Assigned Class | Class 1 Excellent GHS/QoL | Class 2 Good GHS/QoL | Class 3 Recovering GHS/QoL | Class 4 Moderate GHS/QoL | Class 5 Low Deteriorating GHS/QoL |
|---|---|---|---|---|---|
| 1 | 0.9222 | 0.0378 | 0.0400 | 0.0000 | 0.0000 |
| 2 | 0.0093 | 0.8547 | 0.0338 | 0.1022 | 0.0000 |
| 3 | 0.0657 | 0.1222 | 0.8002 | 0.0118 | 0.0000 |
| 4 | 0.0000 | 0.0944 | 0.0047 | 0.8636 | 0.0373 |
| 5 | 0.0000 | 0.0000 | 0.0000 | 0.0808 | 0.9192 |




Appendix C. Trajectory Clustering of HADS Depression
| No of Classes | Loglik | AIC | BIC | Entropy | ICL | %Class1 | %Class2 | %Class3 | %Class4 | %Class5 | %Class6 | %Class7 | %Class8 |
|---|---|---|---|---|---|---|---|---|---|---|---|---|---|
| 1 | −1660 | 3341 | 3384 | 1 | 3384 | 100 | - | - | - | - | - | - | - |
| 2 | −861 | 1750 | 1810 | 0.899 | 1848 | 47.21 | 52.79 | - | - | - | - | - | - |
| 3 | −631 | 1298 | 1375 | 0.873 | 1450 | 19.70 | 38.48 | 41.82 | - | - | - | - | - |
| 4 | −553 | 1149 | 1243 | 0.845 | 1359 | 16.54 | 33.64 | 37.92 | 11.90 | - | - | - | - |
| 5 | −497 | 1047 | 1158 | 0.851 | 1287 | 3.53 | 37.17 | 17.47 | 30.67 | 11.15 | - | - | - |
| 6 | −455 | 971 | 1099 | 0.843 | 1251 | 3.53 | 17.47 | 6.88 | 28.81 | 30.67 | 12.64 | - | - |
| 7 | −434 | 936 | 1082 | 0.798 | 1293 | 3.53 | 22.12 | 7.62 | 15.99 | 16.36 | 10.78 | 23.61 | - |
| 8 | −412 | 900 | 1063 | 0.809 | 1277 | 2.60 | 7.62 | 23.05 | 1.12 | 23.79 | 10.59 | 15.61 | 15.61 |
| Relative Class Size (%) | |||||||||||
|---|---|---|---|---|---|---|---|---|---|---|---|
| No of Classes | Loglik | AIC | BIC | Entropy | ICL | %Class1 | %Class2 | %Class3 | %Class4 | %Class5 | %Class6 |
| 1 | −420 | 872 | 941 | 1 | 941 | 100 | - | - | - | - | - |
| 2 | −410 | 860 | 946 | 0.586 | 1101 | 21.93 | 78.07 | - | - | - | - |
| 3 | −403 | 854 | 957 | 0.657 | 1159 | 2.60 | 23.79 | 73.61 | - | - | - |
| 4 | −391 | 838 | 958 | 0.681 | 1196 | 10.04 | 5.02 | 59.67 | 25.28 | - | - |
| 5 | −383 | 829 | 966 | 0.732 | 1199 | 4.28 | 25.09 | 60.04 | 9.85 | 0.74 | - |
| 6 | −373 | 819 | 973 | 0.772 | 1193 | 3.72 | 51.67 | 33.83 | 1.67 | 8.36 | 0.74 |
| Assigned Class | Class 1 Recovering | Class 2 Delayed Occurrence | Class 3 Resilient | Class 4 Stable Moderate/High |
|---|---|---|---|---|
| 1 | 0.7735 | 0.0000 | 0.1608 | 0.0657 |
| 2 | 0.0000 | 0.7899 | 0.1206 | 0.0895 |
| 3 | 0.0375 | 0.0090 | 0.8620 | 0.0914 |
| 4 | 0.0353 | 0.0348 | 0.1760 | 0.7540 |


Appendix D. Maximum Likelihood Estimates of the Selected Models
| Fixed Effects in the Class-Membership Model: (the Class of Reference Is the Last Class) | ||||
|---|---|---|---|---|
| Coefficient | SE | Wald | p-Value | |
| intercept class 1 | 0.55548 | 0.28801 | 1.929 | 0.05378 |
| intercept class 2 | 1.65476 | 0.30204 | 5.479 | 0.00000 |
| intercept class 3 | 0.10195 | 0.35111 | 0.290 | 0.77153 |
| intercept class 4 | 1.44951 | 0.23372 | 6.202 | 0.00000 |
| Fixed effects in the longitudinal model: | ||||
| coefficient | SE | Wald | p-value | |
| intercept class1 (not estimated) | 0 | |||
| intercept class 2 | −1.34743 | 0.18936 | −7.116 | 0.00000 |
| intercept class 3 | −2.39865 | 0.28857 | −8.312 | 0.00000 |
| intercept class 4 | −2.74885 | 0.18200 | −15.103 | 0.00000 |
| intercept class 5 | −3.26800 | 0.21464 | −15.226 | 0.00000 |
| linear slope class 1 | 0.09053 | 0.03134 | 2.889 | 0.00386 |
| linear slope class 2 | −0.00849 | 0.02040 | −0.416 | 0.67729 |
| linear slope class 3 | 0.34277 | 0.06492 | 5.280 | 0.00000 |
| linear slope class 4 | 0.03283 | 0.02206 | 1.488 | 0.13668 |
| linear slope class 5 | −0.13893 | 0.04217 | −3.295 | 0.00099 |
| quadratic slope class 1 | −0.00378 | 0.00164 | −2.305 | 0.02117 |
| quadratic slope class 2 | 0.00033 | 0.00101 | 0.329 | 0.74253 |
| quadratic slope class 3 | −0.01185 | 0.00300 | −3.945 | 0.00008 |
| quadratic slope class 4 | −0.00008 | 0.00116 | −0.070 | 0.94426 |
| quadratic slope class 5 | 0.00651 | 0.00222 | 2.934 | 0.00335 |
| Parameters of the link function: | ||||
| coefficient | SE | Wald | p-value | |
| I-splines 1 | −5.95455 | 0.21304 | −27.950 | 0.00000 |
| I-splines 2 | 1.06674 | 0.09931 | 10.742 | 0.00000 |
| I-splines 3 | 0.91341 | 0.09308 | 9.813 | 0.00000 |
| I-splines 4 | 1.42070 | 0.03349 | 42.424 | 0.00000 |
| I-splines 5 | 0.86157 | 0.02925 | 29.451 | 0.00000 |
| I-splines 6 | −1.17587 | 0.02114 | −55.617 | 0.00000 |
| I-splines 7 | 0.00011 | 0.03728 | 0.003 | 0.99767 |
| I-splines 8 | −0.95530 | 0.02128 | −44.889 | 0.00000 |
| Fixed Effects in The Class-Membership Model: (the Class of Reference Is the Last Class) | ||||
|---|---|---|---|---|
| Coefficient | SE | Wald | p-Value | |
| intercept class 1 | −0.85515 | 0.34940 | −2.448 | 0.01438 |
| intercept class 2 | −1.56106 | 0.40570 | −3.848 | 0.00012 |
| intercept class 3 | 0.81867 | 0.29328 | 2.791 | 0.00525 |
| Fixed effects in the longitudinal model: | ||||
| coefficient | SE | Wald | p-value | |
| intercept class1 (not estimated) | 0 | |||
| intercept class 2 | −2.12840 | 0.43187 | −4.928 | 0.00000 |
| intercept class 3 | −2.40407 | 0.29120 | −8.256 | 0.00000 |
| intercept class 4 | 0.11938 | 0.33984 | 0.351 | 0.72537 |
| linear slope class 1 | −0.35787 | 0.05419 | −6.605 | 0.00000 |
| linear slope class 2 | 0.47814 | 0.07396 | 6.465 | 0.00000 |
| linear slope class 3 | 0.01588 | 0.02306 | 0.689 | 0.49109 |
| linear slope class 4 | −0.02495 | 0.03805 | −0.656 | 0.51200 |
| quadratic slope class 1 | 0.01082 | 0.00267 | 4.052 | 0.00005 |
| quadratic slope class 2 | −0.01737 | 0.00388 | −4.478 | 0.00001 |
| quadratic slope class 3 | −0.00075 | 0.00125 | −0.604 | 0.54560 |
| quadratic slope class 4 | 0.00171 | 0.00216 | 0.792 | 0.42858 |
| Variance-covariance matrix of the random-effects: | ||||
| intercept | linear slope | quadratic slope | ||
| intercept | 0.89100 | |||
| linear slope | 0.03042 | 0.00566 | ||
| quadratic slope | −0.00159 | −0.00025 | 1 × 10−5 | |
| Parameters of the link function: | ||||
| coefficient | SE | Wald | p-value | |
| I-splines 1 | −4.61362 | 0.28054 | −16.446 | 0.00000 |
| I-splines 2 | 0.95180 | 0.02099 | 45.347 | 0.00000 |
| I-splines 3 | 0.79402 | 0.03608 | 22.006 | 0.00000 |
| I-splines 4 | 1.17562 | 0.02950 | 39.851 | 0.00000 |
| I-splines 5 | 0.93434 | 0.03303 | 28.292 | 0.00000 |
| I-splines 6 | 1.61728 | 0.04373 | 36.986 | 0.00000 |
| I-splines 7 | 1.24502 | 0.11248 | 11.069 | 0.00000 |
| I-splines 8 | 1.15337 | 0.13638 | 8.457 | 0.00000 |
Appendix E. Scale Scores by Trajectory Group
| Questionnaire (Range) | Scale | Excellent (n = 71) | Good (n = 219) | Recovering (n = 42) | Moderate (n = 169) | Low Deteriorating (n = 37) |
|---|---|---|---|---|---|---|
| Mean (SD) | ||||||
| HADS | Depression—M0 | 0.24 (0.32) | 0.43 (0.37) | 0.53 (0.47) | 0.67 (0.46) | 1.03 (0.70) |
| (0–3) | Depression—M3 | 0.20 (0.26) | 0.46 (0.38) | 0.48 (0.44) | 0.81 (0.52) | 1.42 (0.78) |
| Anxiety—M0 | 0.56 (0.42) | 0.85 (0.46) | 0.93 (0.57) | 1.15 (0.56) | 1.40 (0.71) | |
| Anxiety—M3 | 0.37 (0.29) | 0.66 (0.38) | 0.63 (0.43) | 0.92 (0.51) | 1.34 (0.69) | |
| EORTC-QLQ C30 | GHS/QoL—M0 | 92.37 (8.99) | 80.67 (11.86) | 67.26 (16.71) | 60.70 (16.09) | 50.90 (21.85) |
| (0–100) | GHS/QoL—M3 | 92.30 (8.93) | 74.14 (14.26) | 67.07 (22.36) | 54.35 (16.36) | 42.93 (21.96) |
| Emotional Functioning—M0 | 87.40 (13.12) | 78.04 (15.59) | 73.02 (22.60) | 65.24 (20.35) | 53.53 (26.11) | |
| Emotional Functioning—M3 | 89.68 (13.06) | 79.44 (16.75) | 79.47 (17.29) | 69.51 (19.96) | 52.70 (25.35) | |
| Physical Functioning—M0 | 94.84 (7.41) | 88.55 (11.16) | 87.62 (15.97) | 83.14 (16.15) | 74.41 (22.85) | |
| Physical Functioning—M3 | 91.52 (12.88) | 83.02 (13.26) | 78.98 (17.97) | 72.37 (19.23) | 53.33 (23.61) | |
| Role Functioning—M0 | 94.05 (12.38) | 85.86 (17.75) | 80.56 (24.11) | 72.22 (25.97) | 66.22 (31.79) | |
| Role Functioning—M3 | 95.52 (11.45) | 81.13 (21.29) | 75.61 (26.64) | 65.29 (26.82) | 49.02 (28.11) | |
| Cognitive Functioning—M0 | 94.84 (10.00) | 87.29 (15.30) | 85.32 (13.38) | 80.16 (20.47) | 69.82 (31.14) | |
| Cognitive Functioning—M3 | 91.54 (14.77) | 82.31 (16.99) | 81.30 (22.73) | 73.48 (22.52) | 50.98 (28.11) | |
| Social Functioning—M0 | 93.96 (11.78) | 87.77 (16.95) | 86.18 (21.38) | 73.27 (24.55) | 63.06 (26.39) | |
| Social Functioning—M3 | 95.02 (10.06) | 82.31 (20.72) | 80.89 (21.59) | 65.93 (26.21) | 50.49 (30.01) | |
| Fatigue—M0 | 13.77 (14.36) | 23.08 (16.99) | 26.19 (21.37) | 33.99 (21.95) | 47.75 (29.03) | |
| Fatigue—M3 | 17.74 (16.76) | 34.80 (20.01) | 40.92 (28.38) | 48.66 (22.52) | 66.01 (26.79) | |
| Pain—M0 | 6.10 (11.00) | 12.44 (16.16) | 13.89 (17.62) | 22.19 (20.63) | 40.54 (31.80) | |
| Pain—M3 | 6.97 (11.66) | 17.07 (18.35) | 18.29 (23.22) | 33.23 (25.76) | 47.55 (29.34) | |
| Diarrhea—M0 | 1.88 (7.74) | 3.50 (10.24) | 5.56 (12.57) | 8.38 (18.91) | 17.12 (27.91) | |
| Diarrhea—M3 | 4.04 (12.42) | 8.49 (17.51) | 9.76 (18.62) | 12.87 (22.49) | 20.59 (30.72) | |
| Constipation—M0 | 4.23 (11.17) | 11.11 (21.73) | 11.11 (22.89) | 12.57 (24.98) | 22.52 (33.38) | |
| Constipation—M3 | 9.95 (18.36) | 16.19 (25.24) | 20.33 (30.62) | 22.36 (29.01) | 26.47 (30.46) | |
| EORTC-QLQ BR23 | Arm Symptoms—M0 | 6.67 (12.46) | 11.19 (14.92) | 15.61 (19.33) | 16.24 (17.74) | 21.30 (19.04) |
| (0–100) | Arm Symptoms—M3 | 5.23 (9.30) | 12.26 (15.37) | 15.61 (22.63) | 15.18 (17.90) | 27.61 (25.17) |
| Systemic Therapy Side Effects—M0 | 5.97 (8.00) | 10.17 (9.39) | 11.54 (12.59) | 14.64 (15.94) | 24.36 (19.89) | |
| Systemic Therapy Side Effects—M3 | 14.39 (13.68) | 23.48 (15.63) | 28.13 (19.87) | 34.66 (18.82) | 47.18 (19.83) | |
| Future Perspective—M0 | 66.67 (28.17) | 54.99 (25.60) | 46.34 (32.38) | 41.77 (29.74) | 36.19 (30.65) | |
| Future Perspective—M3 | 75.38 (19.79) | 60.53 (23.16) | 63.49 (27.36) | 49.48 (26.90) | 41.41 (31.21) | |
| Sexual Functioning—M0 | 31.57 (23.04) | 28.02 (24.33) | 31.25 (30.00) | 20.14 (18.93) | 18.75 (20.63) | |
| Sexual Functioning—M3 | 29.10 (24.13) | 23.77 (21.94) | 28.63 (25.06) | 16.99 (17.30) | 11.11 (16.49) | |
| PANAS (1–5) | Positive Affect—M0 | 3.83 (0.60) | 3.52 (0.65) | 3.72 (0.73) | 3.30 (0.79) | 3.24 (0.77) |
| Positive Affect—M3 | 3.91 (0.67) | 3.33 (0.69) | 3.60 (0.79) | 3.08 (0.78) | 2.84 (0.91) | |
| Negative Affect—M0 | 1.45 (0.59) | 1.72 (0.67) | 2.01 (0.78) | 2.13 (0.80) | 2.49 (0.89) | |
| Negative Affect—M3 | 1.28 (0.40) | 1.59 (0.62) | 1.65 (0.66) | 1.89 (0.79) | 2.35 (1.06) | |
| NCCN (0–10) | Distress Thermometer—M0 | 1.97 (2.25) | 3.57 (2.56) | 3.73 (3.05) | 4.85 (2.46) | 5.68 (2.81) |
| Distress Thermometer—M3 | 1.23 (2.12) | 2.61 (2.20) | 3.08 (2.70) | 4.08 (2.63) | 5.30 (3.23) | |
| Single item (0–10) | Perceived Support—M0 | 9.49 (0.96) | 9.05 (1.41) | 9.32 (1.26) | 8.82 (1.50) | 7.81 (2.22) |
| Perceived Support—M3 | 9.21 (1.23) | 8.39 (1.83) | 8.97 (1.48) | 8.36 (1.62) | 7.45 (2.94) | |
| General Self-Efficacy—M0 | 9.10 (0.85) | 8.36 (1.37) | 8.57 (1.22) | 7.60 (1.60) | 7.16 (2.14) | |
| General Self-Efficacy—M3 | 8.90 (1.33) | 8.31 (1.24) | 8.64 (1.23) | 7.63 (1.67) | 6.76 (2.60) | |
| LOT-R (0–4) | Optimism—M0 | 3.04 (0.65) | 2.84 (0.61) | 2.93 (0.59) | 2.55 (0.66) | 2.30 (0.81) |
| CBI-B (1–9) | Coping with Cancer—M0 | 7.96 (1.05) | 7.42 (0.91) | 7.47 (0.94) | 6.87 (1.16) | 6.34 (1.30) |
| SOC (4–28) | Manageability—M0 | 21.92 (3.42) | 20.62 (3.86) | 20.24 (4.44) | 19.19 (4.12) | 16.00 (5.65) |
| Meaningfulness—M0 | 24.54 (3.19) | 23.13 (3.35) | 23.05 (4.54) | 22.35 (3.72) | 21.24 (4.74) | |
| MAAS (1–6) | Mindfulness—M0 | 4.73 (0.63) | 4.40 (0.66) | 4.51 (0.69) | 4.20 (0.75) | 4.02 (0.76) |
| CD-RISC (0–4) | Resilience—M0 | 3.22 (0.60) | 2.86 (0.61) | 3.02 (0.63) | 2.68 (0.65) | 2.53 (0.67) |
| CERQ (1–5) | Self-blame—M0 | 1.73 (0.72) | 2.02 (0.81) | 2.15 (0.88) | 2.05 (0.76) | 2.12 (0.92) |
| Other-blame—M0 | 1.35 (0.58) | 1.40 (0.54) | 1.54 (0.58) | 1.52 (0.64) | 1.94 (0.92) | |
| Catastrophizing—M0 | 1.56 (0.66) | 1.82 (0.74) | 1.98 (0.91) | 2.27 (0.89) | 2.36 (0.95) | |
| Perspective—M0 | 3.61 (0.95) | 3.41 (0.94) | 3.55 (1.00) | 3.12 (0.97) | 2.96 (1.06) | |
| Planning—M0 | 3.47 (1.13) | 3.40 (0.99) | 3.75 (0.88) | 3.29 (1.00) | 3.41 (0.85) | |
| FARE (1–7) | Communication and Cohesion—M3 | 6.56 (0.72) | 6.08 (1.02) | 6.27 (0.96) | 6.03 (1.00) | 5.26 (1.71) |
| mMOS-SS (1–5) | Emotional Support—M3 | 4.44 (0.68) | 4.10 (0.82) | 4.26 (0.80) | 3.91 (0.82) | 3.78 (0.97) |
| mini-MAC (1–4) | Helplessness/Hopelessness—M3 | 1.19 (0.32) | 1.34 (0.35) | 1.25 (0.31) | 1.57 (0.49) | 1.84 (0.70) |
| Fighting Spirit—M3 | 3.20 (0.64) | 3.15 (0.50) | 3.36 (0.35) | 3.10 (0.49) | 3.19 (0.46) | |
| Anxious Preoccupation—M3 | 1.76 (0.50) | 2.03 (0.51) | 1.99 (0.44) | 2.31 (0.56) | 2.54 (0.60) | |
| B-IPQ Single item | Personal Control—M3 | 7.41 (2.79) | 6.09 (2.70) | 7.22 (2.35) | 5.30 (2.75) | 4.62 (2.92) |
| (0–10) | Treatment Control—M3 | 9.26 (1.24) | 9.06 (1.18) | 9.34 (1.13) | 8.62 (1.74) | 7.24 (2.72) |
| Single item (1–5) | See it as a challenge—M3 | 3.20 (1.44) | 3.37 (1.24) | 3.90 (1.14) | 3.19 (1.26) | 3.26 (1.52) |
| Talked to the physician—M3 | 1.87 (1.16) | 2.35 (1.25) | 2.64 (1.46) | 2.68 (1.30) | 2.76 (1.39) | |
| Questionnaire (Range) | Scale | Resilient (n = 321) | Recovering (n = 54) | Delayed Occurrence (n = 27) | Stable Moderate/High (n = 136) |
|---|---|---|---|---|---|
| Mean (SD) | |||||
| HADS (0–3) | Depression—M0 | 0.27 (0.24) | 0.92 (0.37) | 0.28 (0.25) | 1.04 (0.45) |
| Depression—M3 | 0.31 (0.27) | 0.83 (0.60) | 0.71 (0.49) | 1.16 (0.53) | |
| Anxiety—M0 | 0.74 (0.45) | 1.27 (0.54) | 0.75 (0.39) | 1.37 (0.55) | |
| Anxiety—M3 | 0.54 (0.36) | 0.83 (0.47) | 0.84 (0.39) | 1.18 (0.53) | |
| EORTC-QLQ C30 | GHS/QoL—M0 | 79.15 (15.61) | 59.72 (19.07) | 68.52 (21.10) | 64.03 (19.45) |
| (0–100) | GHS/QoL—M3 | 73.53 (18.65) | 59.97 (22.36) | 64.39 (13.16) | 57.82 (21.79) |
| Emotional Functioning—M0 | 79.75 (15.91) | 63.99 (22.18) | 70.88 (23.14) | 61.76 (22.32) | |
| Emotional Functioning—M3 | 83.29 (14.27) | 74.02 (20.86) | 69.08 (17.21) | 60.41 (22.78) | |
| Role Functioning—M0 | 86.52 (18.06) | 74.07 (27.98) | 69.75 (31.02) | 72.47 (26.49) | |
| Role Functioning—M3 | 81.18 (22.25) | 62.75 (30.66) | 68.12 (26.07) | 68.49 (28.70) | |
| Cognitive Functioning—M0 | 88.89 (13.86) | 79.32 (19.94) | 85.80 (18.89) | 76.67 (24.87) | |
| Cognitive Functioning—M3 | 83.17 (17.80) | 77.00 (24.26) | 72.46 (25.43) | 69.36 (25.99) | |
| Fatigue—M0 | 21.95 (17.41) | 34.57 (26.05) | 31.69 (27.16) | 35.87 (23.19) | |
| Fatigue—M3 | 33.30 (21.54) | 48.80 (29.07) | 41.06 (26.68) | 50.04 (25.12) | |
| Pain—M0 | 11.76 (16.46) | 19.14 (22.76) | 34.57 (28.09) | 23.90 (22.10) | |
| Pain—M3 | 16.99 (19.79) | 27.33 (30.45) | 32.61 (24.35) | 33.46 (26.39) | |
| Financial Impact—M0 | 7.92 (18.47) | 14.20 (23.88) | 22.22 (32.03) | 19.01 (27.78) | |
| Financial Impact—M3 | 10.42 (19.62) | 19.33 (27.84) | 23.19 (30.87) | 20.26 (30.92) | |
| Diarrhea—M0 | 3.75 (10.87) | 6.17 (17.22) | 14.81 (26.69) | 9.14 (19.71) | |
| Diarrhea—M3 | 7.98 (16.37) | 15.33 (27.11) | 21.74 (27.72) | 11.37 (22.63) | |
| EORTC-QLQ BR23 | Arm Symptoms—M0 | 10.00 (14.02) | 16.05 (18.53) | 20.09 (20.37) | 18.35 (18.92) |
| (0–100) | Arm Symptoms—M3 | 10.50 (14.30) | 12.18 (19.83) | 18.84 (20.22) | 20.12 (21.23) |
| Future Perspective—M0 | 59.25 (24.88) | 33.33 (29.96) | 49.33 (34.85) | 36.59 (30.39) | |
| Future Perspective—M3 | 66.34 (20.96) | 49.36 (30.60) | 55.07 (21.58) | 42.24 (28.89) | |
| Sexual Functioning—M0 | 29.11 (23.07) | 22.12 (26.14) | 25.00 (26.10) | 18.65 (20.18) | |
| Sexual Functioning—M3 | 25.61 (22.58) | 16.32 (19.60) | 13.49 (18.72) | 16.40 (17.38) | |
| Sexual Enjoyment—M0 | 42.65 (34.90) | 31.29 (36.90) | 36.67 (38.84) | 25.64 (31.24) | |
| Sexual Enjoyment—M3 | 37.85 (35.61) | 20.93 (28.19) | 22.81 (35.23) | 19.94 (27.80) | |
| PANAS (1–5) | Positive Affect—M0 | 3.60 (0.64) | 3.33 (0.87) | 3.60 (0.82) | 3.26 (0.78) |
| Positive Affect—M3 | 3.47 (0.68) | 3.13 (0.98) | 3.20 (0.70) | 3.03 (0.87) | |
| Negative Affect—M0 | 1.62 (0.63) | 2.19 (0.81) | 1.87 (0.68) | 2.41 (0.81) | |
| Negative Affect—M3 | 1.40 (0.47) | 1.82 (0.78) | 1.78 (0.72) | 2.33 (0.83) | |
| NCCN (0–10) | Distress Thermometer—M0 | 2.98 (2.45) | 5.62 (2.24) | 3.85 (2.76) | 5.62 (2.41) |
| Distress Thermometer—M3 | 2.10 (2.07) | 4.06 (2.99) | 3.09 (2.52) | 5.08 (2.59) | |
| LOT-R (0–4) | Optimism—M0 | 2.96 (0.59) | 2.71 (0.59) | 2.46 (0.60) | 2.32 (0.68) |
| SOC (4–28) | Manageability—M0 | 21.19 (3.72) | 19.98 (3.98) | 17.96 (4.84) | 17.58 (4.46) |
| Meaningfulness—M0 | 23.63 (3.21) | 22.63 (4.29) | 21.81 (5.39) | 21.62 (3.88) | |
| CD-RISC (0–4) | Resilience—M0 | 3.06 (0.52) | 2.67 (0.69) | 2.74 (0.55) | 2.42 (0.72) |
| CERQ (1–5) | Catastrophizing—M0 | 1.72 (0.69) | 2.23 (0.93) | 2.06 (0.90) | 2.47 (0.91) |
| mMOS-SS (1–5) | Emotional Support—M3 | 4.24 (0.77) | 4.04 (0.86) | 3.91 (0.94) | 3.73 (0.83) |
| mini-MAC (1–4) | Helplessness/Hopelessness—M3 | 1.27 (0.33) | 1.49 (0.49) | 1.47 (0.57) | 1.71 (0.52) |
| Anxious Preoccupation—M3 | 1.91 (0.47) | 2.29 (0.49) | 2.12 (0.50) | 2.53 (0.57) | |
| Single item (1–5) | Talked to the physician—M3 | 2.24 (1.27) | 2.83 (1.28) | 3.26 (1.05) | 2.62 (1.35) |
| PTGI (0–5) | Spiritual Change—M3 | 1.47 (1.47) | 1.41 (1.60) | 1.83 (1.61) | 2.11 (1.70) |
References
- Pravettoni, G.; Gorini, A. A P5 cancer medicine approach: Why personalized medicine cannot ignore psychology. J. Eval. Clin. Pract. 2011, 17, 594–596. [Google Scholar] [CrossRef]
- Schellekens, M.P.J.; Zwanenburg, L.C.; van der Lee, M.L. Resilience in the Face of Cancer: On the Importance of Defining and Studying Resilience as a Dynamic Process of Adaptation. Curr. Oncol. 2024, 31, 4003–4014. [Google Scholar] [CrossRef] [PubMed]
- Schäfer, S.K.; Supke, M.; Kausmann, C.; Schaubruch, L.M.; Lieb, K.; Cohrdes, C. A systematic review of individual, social, and societal resilience factors in response to societal challenges and crises. Commun. Psychol. 2024, 2, 92. [Google Scholar] [CrossRef] [PubMed]
- Liu, J.J.W.; Reed, M.; Fung, K.P. Advancements to the Multi-System Model of Resilience: Updates from empirical evidence. Heliyon 2020, 6, e04831. [Google Scholar] [CrossRef]
- Bonanno, G.A.; Galea, S.; Bucciarelli, A.; Vlahov, D. What predicts psychological resilience after disaster? The role of demographics, resources, and life stress. J. Consult. Clin. Psychol. 2007, 75, 671–682. [Google Scholar] [CrossRef]
- Carver, C.S. Enhancing adaptation during treatment and the role of individual differences. Cancer 2005, 104, 2602–2607. [Google Scholar] [CrossRef]
- Molina, Y.; Yi, J.C.; Martinez-Gutierrez, J.; Reding, K.W.; Yi-Frazier, J.P.; Rosenberg, A.R. Resilience Among Patients Across the Cancer Continuum: Diverse Perspectives. Clin. J. Oncol. Nurs. 2014, 18, 93–101. [Google Scholar] [CrossRef] [PubMed]
- Garnefski, N.; Kraaij, V.; Spinhoven, P. Negative life events, cognitive emotion regulation and emotional problems. Personal. Individ. Differ. 2001, 30, 1311–1327. [Google Scholar] [CrossRef]
- Li, L.; Zhu, X.; Yang, Y.; He, J.; Yi, J.; Wang, Y.; Zhang, J. Cognitive emotion regulation: Characteristics and effect on quality of life in women with breast cancer. Health Qual. Life Outcomes 2015, 13, 51. [Google Scholar] [CrossRef]
- Hamama-Raz, Y.; Pat-Horenczyk, R.; Perry, S.; Ziv, Y.; Bar-Levav, R.; Stemmer, S.M. The Effectiveness of Group Intervention on Enhancing Cognitive Emotion Regulation Strategies in Breast Cancer Patients: A 2-Year Follow-up. Integr. Cancer Ther. 2016, 15, 175–182. [Google Scholar] [CrossRef]
- Nolen-Hoeksema, S.; Aldao, A. Gender and age differences in emotion regulation strategies and their relationship to depressive symptoms. Personal. Individ. Differ. 2011, 51, 704–708. [Google Scholar] [CrossRef]
- Wang, Y.; Yi, J.; He, J.; Chen, G.; Li, L.; Yang, Y.; Zhu, X. Cognitive emotion regulation strategies as predictors of depressive symptoms in women newly diagnosed with breast cancer: Cognitive strategies predict depression in women with breast cancer. Psychooncology. 2014, 23, 93–99. [Google Scholar] [CrossRef] [PubMed]
- Mazzocco, K.; Masiero, M.; Carriero, M.C.; Pravettoni, G. The role of emotions in cancer patients’ decision-making. Ecancermedicalscience 2019, 13, 914. [Google Scholar] [CrossRef] [PubMed]
- Gorini, A.; Riva, S.; Marzorati, C.; Cropley, M.; Pravettoni, G. Rumination in breast and lung cancer patients: Preliminary data within an Italian sample. Psychooncology 2018, 27, 703–705. [Google Scholar] [CrossRef]
- Novakov, I.; Popovic-Petrovic, S. Personality traits as predictors of the affective state in patients after breast cancer surgery. Arch. Oncol. 2017, 23, 3–8. [Google Scholar] [CrossRef]
- BorjAlilu, S.; Kaviani, A.; Helmi, S.; Karbakhsh, M.; Mazaheri, M.A. Exploring the Role of Self-Efficacy for Coping With Breast Cancer: A Systematic Review. Arch. Breast Cancer 2017, 4, 42–57. [Google Scholar] [CrossRef]
- Wills, T.A.; Bantum, E.O. Social Support, Self-Regulation, and Resilience in Two Populations: General-Population Adolescents and Adult Cancer Survivors. J. Soc. Clin. Psychol. 2012, 31, 568–592. [Google Scholar] [CrossRef]
- Rolland, J.S. Cancer and the family: An integrative model. Cancer 2005, 104, 2584–2595. [Google Scholar] [CrossRef]
- Faccio, F.; Gandini, S.; Renzi, C.; Fioretti, C.; Crico, C.; Pravettoni, G. Development and validation of the Family Resilience (FaRE) Questionnaire: An observational study in Italy. BMJ Open 2019, 9, e024670. [Google Scholar] [CrossRef]
- Faccio, F.; Renzi, C.; Giudice, A.V.; Pravettoni, G. Family Resilience in the Oncology Setting: Development of an Integrative Framework. Front. Psychol. 2018, 9, 666. [Google Scholar] [CrossRef]
- Baziliansky, S.; Holtmaat, K.; Erlich, B.; Mishor, E.; Verdonck-de Leeuw, I.M. Longitudinal trajectories of depression and quality of life in a cohort of cancer survivors and individuals without cancer in Europe. J. Cancer Surviv. 2025, 19, 789–796. [Google Scholar] [CrossRef] [PubMed]
- Bonanno, G.A. Loss, Trauma, and Human Resilience: Have We Underestimated the Human Capacity to Thrive After Extremely Aversive Events? Am. Psychol. 2004, 59, 20–28. [Google Scholar] [CrossRef]
- Long, K.T.; Galatzer-Levy, I.R.; Bonanno, G.A. Trajectories of depression predict patterns of resilience following loss and potentially traumatic events. J. Trauma Stress 2025, 38, 434–446. [Google Scholar] [CrossRef]
- Sung, H.; Ferlay, J.; Siegel, R.L.; Laversanne, M.; Soerjomataram, I.; Jemal, A.; Bray, F. Global Cancer Statistics 2020: GLOBOCAN Estimates of Incidence and Mortality Worldwide for 36 Cancers in 185 Countries. CA Cancer J. Clin. 2021, 71, 209–249. [Google Scholar] [CrossRef]
- Pettini, G.; Sanchini, V.; Pat-Horenczyk, R.; Sousa, B.; Masiero, M.; Marzorati, C.; Galimberti, V.E.; Munzone, E.; Mattson, J.; Vehmanen, L.; et al. Predicting Effective Adaptation to Breast Cancer to Help Women BOUNCE Back: Protocol for a Multicenter Clinical Pilot Study. JMIR Res. Protoc. 2022, 11, e34564. [Google Scholar] [CrossRef]
- Mitchell, A.J.; Meader, N.; Symonds, P. Diagnostic validity of the Hospital Anxiety and Depression Scale (HADS) in cancer and palliative settings: A meta-analysis. J. Affect. Disord. 2010, 126, 335–348. [Google Scholar] [CrossRef]
- Wu, Y.; Levis, B.; Sun, Y.; He, C.; Krishnan, A.; Neupane, D.; Bhandari, P.M.; Negeri, Z.; Benedetti, A.; Thombs, B.D. Accuracy of the Hospital Anxiety and Depression Scale Depression subscale (HADS-D) to screen for major depression: Systematic review and individual participant data meta-analysis. BMJ 2021, 373, n972. [Google Scholar] [CrossRef]
- Puhan, M.A.; Frey, M.; Büchi, S.; Schünemann, H.J. The minimal important difference of the hospital anxiety and depression scale in patients with chronic obstructive pulmonary disease. Health Qual. Life Outcomes 2008, 6, 46. [Google Scholar] [CrossRef]
- Vaganian, L.; Bussmann, S.; Gerlach, A.L.; Kusch, M.; Labouvie, H.; Cwik, J.C. Critical consideration of assessment methods for clinically significant changes of mental distress after psycho-oncological interventions. Int. J. Methods Psychiatr. Res. 2020, 29, e1821. [Google Scholar] [CrossRef] [PubMed]
- Longo, U.G.; Papalia, R.; De Salvatore, S.; Marinozzi, A.; Piergentili, I.; Lalli, A.; Bandini, B.; Franceschetti, E.; Denaro, V. Establishing the Minimum Clinically Significant Difference (MCID) and the Patient Acceptable Symptom Score (PASS) for the Hospital Anxiety and Depression Scale (HADS) in Patients with Rotator Cuff Disease and Shoulder Prosthesis. J. Clin. Med. 2023, 12, 1540. [Google Scholar] [CrossRef] [PubMed]
- Aaronson, N.K.; Ahmedzai, S.; Bergman, B.; Bullinger, M.; Cull, A.; Duez, N.J.; Filiberti, A.; Flechtner, H.; Fleishman, S.B.; Haes, J.C.J.M.D.; et al. The European Organization for Research and Treatment of Cancer QLQ-C30: A Quality-of-Life Instrument for Use in International Clinical Trials in Oncology. JNCI J. Natl. Cancer Inst. 1993, 85, 365–376. [Google Scholar] [CrossRef]
- Saini, J.; Bakshi, J.; Panda, N.K.; Sharma, M.; Vir, D.; Goyal, A.K. Cut-off points to classify numeric values of quality of life into normal, mild, moderate, and severe categories: An update for EORTC-QLQ-H&N35. Egypt. J. Otolaryngol. 2024, 40, 83. [Google Scholar] [CrossRef]
- Diouf, M.; Bonnetain, F.; Barbare, J.-C.; Bouché, O.; Dahan, L.; Paoletti, X.; Filleron, T. Optimal Cut Points for Quality of Life Questionnaire-Core 30 (QLQ-C30) Scales: Utility for Clinical Trials and Updates of Prognostic Systems in Advanced Hepatocellular Carcinoma. Oncologist 2015, 20, 62–71. [Google Scholar] [CrossRef]
- Snyder, C.F.; Blackford, A.L.; Sussman, J.; Bainbridge, D.; Howell, D.; Seow, H.Y.; Carducci, M.A.; Wu, A.W. Identifying changes in scores on the EORTC-QLQ-C30 representing a change in patients’ supportive care needs. Qual. Life Res. 2015, 24, 1207–1216. [Google Scholar] [CrossRef]
- World Bank. World Development Indicators; World Bank: Washington, DC, USA, 2023; Available online: https://data.worldbank.org (accessed on 21 March 2026).
- WHO. Guidelines on Physical Activity and Sedentary Behaviour. Available online: https://www.who.int/publications/i/item/9789240015128 (accessed on 21 March 2026).
- Scheier, M.F.; Carver, C.S.; Bridges, M.W. Distinguishing optimism from neuroticism (and trait anxiety, self-mastery, and self-esteem): A reevaluation of the Life Orientation Test. J. Pers. Soc. Psychol. 1994, 67, 1063–1078. [Google Scholar] [CrossRef]
- Antonovsky, A. The structure and properties of the sense of coherence scale. Soc. Sci. Med. 1993, 36, 725–733. [Google Scholar] [CrossRef]
- Connor, K.M.; Davidson, J.R.T. Development of a new resilience scale: The Connor-Davidson Resilience Scale (CD-RISC). Depress. Anxiety 2003, 18, 76–82. [Google Scholar] [CrossRef]
- Carlson, L.E.; Brown, K.W. Validation of the Mindful Attention Awareness Scale in a cancer population. J. Psychosom. Res. 2005, 58, 29–33. [Google Scholar] [CrossRef] [PubMed]
- Bonanno, G.A.; Pat-Horenczyk, R.; Noll, J. Coping flexibility and trauma: The Perceived Ability to Cope With Trauma (PACT) scale. Psychol. Trauma Theory Res. Pract. Policy 2011, 3, 117–129. [Google Scholar] [CrossRef]
- Heitzmann, C.A.; Merluzzi, T.V.; Jean-Pierre, P.; Roscoe, J.A.; Kirsh, K.L.; Passik, S.D. Assessing self-efficacy for coping with cancer: Development and psychometric analysis of the brief version of the Cancer Behavior Inventory (CBI-B). Psychooncology 2011, 20, 302–312. [Google Scholar] [CrossRef] [PubMed]
- Simard, S.; Savard, J. Screening and comorbidity of clinical levels of fear of cancer recurrence. J. Cancer Surviv. 2015, 9, 481–491. [Google Scholar] [CrossRef]
- Cerolini, S.; Zagaria, A.; Vacca, M.; Spinhoven, P.; Violani, C.; Lombardo, C. Cognitive Emotion Regulation Questionnaire-Short: Reliability, Validity, and Measurement Invariance of the Italian Version. Behav. Sci. 2022, 12, 474. [Google Scholar] [CrossRef]
- Watson, M.; Law, M.G.; Santos, M.D.; Greer, S.; Baruch, J.; Bliss, J. The Mini-MAC: Further Development of the Mental Adjustment to Cancer Scale. J. Psychosoc. Oncol. 1994, 12, 33–46. [Google Scholar] [CrossRef]
- Cann, A.; Calhoun, L.G.; Tedeschi, R.G.; Taku, K.; Vishnevsky, T.; Triplett, K.N.; Danhauer, S.C. A short form of the Posttraumatic Growth Inventory. Anxiety Stress Coping 2010, 23, 127–137. [Google Scholar] [CrossRef] [PubMed]
- Moser, A.; Stuck, A.E.; Silliman, R.A.; Ganz, P.A.; Clough-Gorr, K.M. The eight-item modified Medical Outcomes Study Social Support Survey: Psychometric evaluation showed excellent performance. J. Clin. Epidemiol. 2012, 65, 1107–1116. [Google Scholar] [CrossRef] [PubMed]
- Watson, D.; Clark, L.A.; Tellegen, A. Development and validation of brief measures of positive and negative affect: The PANAS scales. J. Pers. Soc. Psychol. 1988, 54, 1063–1070. [Google Scholar] [CrossRef]
- Sprangers, M.A.; Groenvold, M.; Arraras, J.I.; Franklin, J.; Te Velde, A.; Muller, M.; Franzini, L.; Williams, A.; De Haes, H.C.; Hopwood, P.; et al. The European Organization for Research and Treatment of Cancer breast cancer-specific quality-of-life questionnaire module: First results from a three-country field study. J. Clin. Oncol. 1996, 14, 2756–2768. [Google Scholar] [CrossRef]
- Song, J.; Howe, E.; Oltmanns, J.R.; Fisher, A.J. Examining the Concurrent and Predictive Validity of Single Items in Ecological Momentary Assessments. Assessment 2023, 30, 1662–1671. [Google Scholar] [CrossRef]
- Bowling, A. Just one question: If one question works, why ask several? J. Epidemiol. Community Health 2005, 59, 342–345. [Google Scholar] [CrossRef]
- Buuren, S.V.; Groothuis-Oudshoorn, K. mice: Multivariate Imputation by Chained Equations in R. J. Stat. Softw. 2011, 45, 1–67. [Google Scholar] [CrossRef]
- von Hippel, P.T. How Many Imputations Do You Need? A Two-stage Calculation Using a Quadratic Rule. Sociol. Methods Res. 2020, 49, 699–718. [Google Scholar] [CrossRef]
- Woods, A.D.; Gerasimova, D.; Van Dusen, B.; Nissen, J.; Bainter, S.; Uzdavines, A.; Davis-Kean, P.E.; Halvorson, M.; King, K.M.; Logan, J.A.R.; et al. Best practices for addressing missing data through multiple imputation. Infant Child Dev. 2024, 33, e2407. [Google Scholar] [CrossRef]
- Shah, A.D.; Bartlett, J.W.; Carpenter, J.; Nicholas, O.; Hemingway, H. Comparison of random forest and parametric imputation models for imputing missing data using MICE: A CALIBER study. Am. J. Epidemiol. 2014, 179, 764–774. [Google Scholar] [CrossRef]
- Stekhoven, D.J.; Bühlmann, P. MissForest—Non-parametric missing value imputation for mixed-type data. Bioinformatics 2012, 28, 112–118. [Google Scholar] [CrossRef] [PubMed]
- Proust-Lima, C.; Philipps, V.; Liquet, B. Estimation of Extended Mixed Models Using Latent Classes and Latent Processes: The R Package lcmm. J. Stat. Softw. 2017, 78, 1–56. [Google Scholar] [CrossRef]
- Van De Schoot, R.; Sijbrandij, M.; Winter, S.D.; Depaoli, S.; Vermunt, J.K. The GRoLTS-Checklist: Guidelines for Reporting on Latent Trajectory Studies. Struct. Equ. Model. Multidiscip. J. 2017, 24, 451–467. [Google Scholar] [CrossRef]
- Weller, B.E.; Bowen, N.K.; Faubert, S.J. Latent Class Analysis: A Guide to Best Practice. J. Black Psychol. 2020, 46, 287–311. [Google Scholar] [CrossRef]
- Van Der Nest, G.; Lima Passos, V.; Candel, M.J.J.M.; Van Breukelen, G.J.P. An overview of mixture modelling for latent evolutions in longitudinal data: Modelling approaches, fit statistics and software. Adv. Life Course Res. 2020, 43, 100323. [Google Scholar] [CrossRef]
- Nylund-Gibson, K.; Garber, A.C.; Carter, D.B.; Chan, M.; Arch, D.A.N.; Simon, O.; Whaling, K.; Tartt, E.; Lawrie, S.I. Ten frequently asked questions about latent transition analysis. Psychol. Methods 2023, 28, 284–300. [Google Scholar] [CrossRef]
- Nylund-Gibson, K.; Choi, A.Y. Ten frequently asked questions about latent class analysis. Transl. Issues Psychol. Sci. 2018, 4, 440–461. [Google Scholar] [CrossRef]
- Sinha, P.; Calfee, C.S.; Delucchi, K.L. Practitioner’s Guide to Latent Class Analysis: Methodological Considerations and Common Pitfalls. Crit. Care Med. 2021, 49, e63–e79. [Google Scholar] [CrossRef] [PubMed]
- Nagin, D.S. Group-Based Modeling of Development; Harvard University Press: Cambridge, MA, USA, 2005. [Google Scholar]
- Clark, S.L.; Muthén, B.O. Relating Latent Class Analysis Results to Variables Not Included in the Analysis; Muthén & Muthén: Los Angeles, CA, USA, 2009; Available online: http://www.statmodel.com/download/relatinglca.pdf (accessed on 21 March 2026).
- Kosmidis, I.; Kenne Pagui, E.C.; Sartori, N. Mean and median bias reduction in generalized linear models. Stat. Comput. 2020, 30, 43–59. [Google Scholar] [CrossRef]
- Tay, J.K.; Narasimhan, B.; Hastie, T. Elastic Net Regularization Paths for All Generalized Linear Models. J. Stat. Softw. 2023, 106, 1–31. [Google Scholar] [CrossRef]
- Zou, H.; Hastie, T. Regularization and Variable Selection Via the Elastic Net. J. R. Stat. Soc. Ser. B Stat. Methodol. 2005, 67, 301–320. [Google Scholar] [CrossRef]
- Hastie, T.; Tibshirani, R.; Friedman, J.H. The Elements of Statistical Learning: Data Mining, Inference, and Prediction, 2nd ed.; Springer: New York, NY, USA, 2009. [Google Scholar]
- Meinshausen, N.; Bühlmann, P. Stability Selection. J. R. Stat. Soc. Ser. B Stat. Methodol. 2010, 72, 417–473. [Google Scholar] [CrossRef]
- Sauerbrei, W.; Perperoglou, A.; Schmid, M.; Abrahamowicz, M.; Becher, H.; Binder, H.; Dunkler, D.; Harrell, F.E.; Royston, P.; Georg Heinze for TG2 of the STRATOS Initiative; et al. State of the art in selection of variables and functional forms in multivariable analysis—Outstanding issues. Diagn. Progn. Res. 2020, 4, 3. [Google Scholar] [CrossRef]
- Hosmer, D.W.; Lemeshow, S.; Sturdivant, R.X. Applied Logistic Regression, 3rd ed.; Wiley: Hoboken, NJ, USA, 2013. [Google Scholar] [CrossRef]
- Park, J.-H.; Jung, Y.S.; Kim, J.Y.; Bae, S.H. Trajectories of quality of life in breast cancer survivors during the first year after treatment: A longitudinal study. BMC Women’s Health 2023, 23, 12. [Google Scholar] [CrossRef]
- Di Meglio, A.; Havas, J.; Gbenou, A.S.; Martin, E.; El-Mouhebb, M.; Pistilli, B.; Menvielle, G.; Dumas, A.; Everhard, S.; Martin, A.-L.; et al. Dynamics of Long-Term Patient-Reported Quality of Life and Health Behaviors After Adjuvant Breast Cancer Chemotherapy. J. Clin. Oncol. 2022, 40, 3190–3204. [Google Scholar] [CrossRef]
- Goyal, N.G.; Levine, B.J.; Van Zee, K.J.; Naftalis, E.; Avis, N.E. Trajectories of quality of life following breast cancer diagnosis. Breast Cancer Res. Treat. 2018, 169, 163–173. [Google Scholar] [CrossRef]
- Charles, C.; Bardet, A.; Larive, A.; Gorwood, P.; Ramoz, N.; Thomas, E.; Viari, A.; Rousseau-Tsangaris, M.; Dumas, A.; Menvielle, G.; et al. Characterization of Depressive Symptoms Trajectories After Breast Cancer Diagnosis in Women in France. JAMA Netw. Open 2022, 5, e225118. [Google Scholar] [CrossRef] [PubMed]
- Kant, J.; Czisch, A.; Schott, S.; Siewerdt-Werner, D.; Birkenfeld, F.; Keller, M. Identifying and predicting distinct distress trajectories following a breast cancer diagnosis—From treatment into early survival. J. Psychosom. Res. 2018, 115, 6–13. [Google Scholar] [CrossRef]
- Li, W.; Zhang, Q.; Xu, Y.; Sun, H.; Wen, Y.; Xu, W.; Tong, Y.; Garg, S.; Chen, Y.; Yang, Y. Group-based trajectory and predictors of anxiety and depression among Chinese breast cancer patients. Front. Public Health 2022, 10, 1002341. [Google Scholar] [CrossRef] [PubMed]
- Karademas, E.C.; Mylona, E.; Mazzocco, K.; Pat-Horenczyk, R.; Sousa, B.; Oliveira-Maia, A.J.; Oliveira, J.; Roziner, I.; Stamatakos, G.; Cardoso, F.; et al. Well-being trajectories in breast cancer and their predictors: A machine-learning approach. Psychooncology 2023, 32, 1762–1770. [Google Scholar] [CrossRef] [PubMed]
- Genolini, C.; Ecochard, R.; Benghezal, M.; Driss, T.; Andrieu, S.; Subtil, F. kmlShape: An Efficient Method to Cluster Longitudinal Data (Time-Series) According to Their Shapes. PLoS ONE 2016, 11, e0150738. [Google Scholar] [CrossRef]
- Strobl, C.; Boulesteix, A.-L.; Zeileis, A.; Hothorn, T. Bias in random forest variable importance measures: Illustrations, sources and a solution. BMC Bioinform. 2007, 8, 25. [Google Scholar] [CrossRef]
- Den Teuling, N.; Pauws, S.; Van Den Heuvel, E. latrend: A Framework for Clustering Longitudinal Data. R J. 2025, 17, 108–135. [Google Scholar] [CrossRef]
- Verboon, P.; Pat-El, R. Clustering longitudinal data using R: A Monte Carlo Study. Methodology 2022, 18, 144–163. [Google Scholar] [CrossRef]
- Lu, Z.; Ahmadiankalati, M.; Tan, Z. Joint clustering multiple longitudinal features: A comparison of methods and software packages with practical guidance. Stat. Med. 2023, 42, 5513–5540. [Google Scholar] [CrossRef]
- Martin, D.P.; Von Oertzen, T. Growth Mixture Models Outperform Simpler Clustering Algorithms When Detecting Longitudinal Heterogeneity, Even With Small Sample Sizes. Struct. Equ. Model. Multidiscip. J. 2015, 22, 264–275. [Google Scholar] [CrossRef]
- Hong, J.E.; Kim, Y.E.; Kang, Y.S.; Choi, D.H.; Ahn, S.H.; An, J. SMOTE-augmented machine learning model predicts recurrent and metastatic breast cancer from microbiome analysis. Sci. Rep. 2025, 15, 33096. [Google Scholar] [CrossRef]
- Tran, T.; Le, U.; Shi, Y. An effective up-sampling approach for breast cancer prediction with imbalanced data: A machine learning model-based comparative analysis. PLoS ONE 2022, 17, e0269135. [Google Scholar] [CrossRef] [PubMed]
- Rudin, C. Stop explaining black box machine learning models for high stakes decisions and use interpretable models instead. Nat. Mach. Intell. 2019, 1, 206–215. [Google Scholar] [CrossRef]
- Sarica, A.; Aracri, F.; Bianco, M.G.; Arcuri, F.; Quattrone, A.; Quattrone, A. Alzheimer’s Disease Neuroimaging Initiative. Explainability of random survival forests in predicting conversion risk from mild cognitive impairment to Alzheimer’s disease. Brain Inform. 2023, 10, 31. [Google Scholar] [CrossRef]
- Angelopoulos, A.N.; Bates, S. Conformal Prediction: A Gentle Introduction. Found. Trends Mach. Learn. 2023, 16, 494–591. [Google Scholar] [CrossRef]
- Alnemer, L.M.; Rajab, L.; Aljarah, I. Conformal Prediction Technique to Predict Breast Cancer Survivability. Int. J. Adv. Sci. Technol. 2016, 96, 1–10. [Google Scholar] [CrossRef]
- Sreenivasan, A.P.; Vaivade, A.; Noui, Y.; Khoonsari, P.E.; Burman, J.; Spjuth, O.; Kultima, K. Conformal prediction enables disease course prediction and allows individualized diagnostic uncertainty in multiple sclerosis. npj Digit. Med. 2025, 8, 224. [Google Scholar] [CrossRef]

| Variable | Mean (Range) | Variable | n (%) |
|---|---|---|---|
| Age, years | 55.4 (40–70) | Monthly Income 1 | |
| Missing | 1 | Low | 103 (20.2%) |
| BMI | 26 (17.3–54.1) | Middle | 315 (61.6%) |
| Missing | 8 | High | 93 (18.2%) |
| Variable | n (%) | Missing | 27 |
| Country/Clinical site | Exercise level 2 | ||
| Portugal | 134 (24.9%) | None | 166 (33.7%) |
| Italy | 95 (17.7%) | Low/moderate | 179 (36.4%) |
| Finland | 205 (38.1%) | Heavy | 147 (29.9%) |
| Israel | 104 (19.3%) | Missing | 46 |
| Missing | 0 | Diet | |
| Education | No diet | 293 (54.6%) | |
| Non-University | 211 (39.3%) | Mediterranean/Vegetarian type | 166 (30.9%) |
| University | 326 (60.7%) | Special | 78 (14.5%) |
| Missing | 1 | Missing | 1 |
| Marital status | Alcohol behavior 3 | ||
| Single/Engaged | 53 (9.9%) | No Consumption | 107 (22.1%) |
| Married/Common in Law | 400 (74.9%) | Consumption in Moderation | 331 (68.2%) |
| Divorced/Widowed | 81 (15.2%) | Heavy Consumption | 47 (9.7%) |
| Missing | 4 | Missing | 53 |
| Employment status | Smoking behavior | ||
| Full/part-time/Self-employed | 390 (72.9%) | Current smoker | 72 (13.5%) |
| Unemployed/Housewife | 47 (8.8%) | Never a smoker | 359 (67.4%) |
| Retired | 98 (18.3%) | Former smoker | 102 (19.1%) |
| Missing | 3 | Missing | 5 |
| Variable | n (%) | Variable | n (%) |
|---|---|---|---|
| Negative Life Events | Estrogen receptor Positivity | 467 (89.6%) | |
| None | 58 (12.0%) | Missing | 17 |
| One event | 239 (49.6%) | Progesterone receptor Positivity | 410 (79.8%) |
| Two or more events | 185 (38.4%) | Missing | 24 |
| Missing | 56 | HER2 Positivity | 89 (18.2%) |
| Chronic diseases | 191 (35.7%) | Missing | 50 |
| Missing | 3 | Ki67 levels ≥ 20% | 293 (56.7%) |
| Metabolic diseases | 123 (23.0%) | Missing | 21 |
| Missing | 3 | Subtypes 1 | |
| Mental illness | 62 (11.8%) | Luminal A-like | 175 (34.9%) |
| Missing | 13 | Missing | 37 |
| Family history of breast cancer | 183 (35.7%) | Luminal B-like (HER2−) | 185 (38.3%) |
| Missing | 25 | Missing | 55 |
| Menopausal status pre | Luminal B-like (HER2+) | 68 (13.8%) | |
| Pre-/Perimenopausal | 202 (38.5%) | Missing | 44 |
| Postmenopausal | 322 (61.5%) | Her2-positive (non-luminal) | 20 (3.8%) |
| Missing | 14 | Missing | 17 |
| HRT before diagnosis | 105 (21.6%) | Triple-negative | 26 (5.0%) |
| Missing | 51 | Missing | 23 |
| Cancer stage | Surgery | ||
| I | 251 (48.2%) | Lumpectomy | 391 (74.6%) |
| II | 223 (42.8%) | Mastectomy | 133 (25.4%) |
| III | 47 (9%) | Missing | 14 |
| Missing | 17 | Radiotherapy | 424 (80.6%) |
| Cancer grade | Missing | 12 | |
| I | 91 (17.5%) | Systemic Therapy | |
| II | 271 (52.2%) | Chemotherapy only (±anti-HER2) | 78 (14.9%) |
| III | 157 (30.3%) | Endocrine therapy only | 247 (47.3%) |
| Missing | 19 | Chemo + Endocrine therapy (±anti-HER2) | 197 (37.7%) |
| Cancer histological type | Missing | 16 | |
| Ductal | 408 (77.9%) | Anti-HER2 therapy | 82 (15.4%) |
| Lobular | 80 (15.3%) | Missing | 6 |
| Other | 36 (6.9%) | Neoadjuvant Chemotherapy | 84 (16%) |
| Missing | 14 | Missing | 12 |
| Variable | Selection Freq (%) Penalized Site | Mean OR 1 Penalized Site | Selection Freq (%) Unpenalized Site |
|---|---|---|---|
| Baseline | |||
| Performance 2: log-loss = 0.191, Brier score = 0.052, ROC-AUC = 0.855 | |||
| Depression HADS | 100% | 1.4081 | 100% |
| Diarrhea QLQ-C30 | 100% | 1.004 | 100% |
| Emotional Functioning QLQ-C30 | 100% | 0.9976 | 100% |
| Fatigue QLQ-C30 | 100% | 1.0011 | 100% |
| GHS/QoL QLQ-C30 | 100% | 0.9857 | 100% |
| Coping with Cancer CBI-B | 100% | 0.9623 | 97% |
| Manageability SOC | 100% | 0.9548 | 100% |
| Other-blame CERQ | 100% | 1.2173 | 100% |
| Pain QLQ-C30 | 100% | 1.0154 | 100% |
| Neoadjuvant Chemotherapy | 100% | 1.4209 | 83% |
| Perceived support 1 item | 100% | 0.8896 | 100% |
| Triple-negative | 83% | 1.429 | 60% |
| Negative Life Events: Two or more (ref. No) | 67% | 1.0899 | 57% |
| Month 3 3 | |||
| Performance 2: log-loss = 0.196, Brier score = 0.0537, ROC-AUC = 0.855 | |||
| Cognitive Functioning QLQ-C30 | 100% | 0.9924 | 100% |
| Depression HADS | 100% | 1.8171 | 100% |
| Physical Functioning QLQ-C30 | 100% | 0.9875 | 100% |
| Treatment Control Beliefs | 100% | 0.9005 | 100% |
| Anxiety HADS | 90% | 1.1226 | 87% |
| Neoadjuvant Chemotherapy | 73% | 1.1347 | 27% |
| Communication and cohesion FARE | 70% | 0.9455 | 73% |
| Variable | Selection Freq (%) Penalized Site | Mean OR 1 Penalized Site | Selection Freq (%) Unpenalized Site |
|---|---|---|---|
| Baseline | |||
| Performance 2: log-loss = 0.276, Brier score = 0.0852, ROC-AUC = 0.879 | |||
| Anxiety HADS | 100% | 0.8796 | 93% |
| Cognitive Functioning QLQ-C30 | 100% | 1.0059 | 100% |
| Constipation QLQ-C30 | 100% | 0.998 | 100% |
| Emotional Functioning QLQ-C30 | 100% | 1.0068 | 100% |
| Mental illness (ref. No) | 100% | 0.8947 | 10% |
| Fatigue QLQ-C30 | 100% | 0.9955 | 100% |
| GHS/QoL QLQ-C30 | 100% | 1.0501 | 100% |
| Mindfulness MAAS | 100% | 1.224 | 100% |
| Resilience CDRISC | 100% | 1.2044 | 100% |
| Self-blame CERQ | 100% | 0.8493 | 100% |
| Physical Functioning QLQ-C30 | 100% | 1.0106 | 100% |
| Role Functioning QLQ-C30 | 100% | 1.0029 | 100% |
| Luminal A-like | 100% | 1.3491 | 100% |
| Israel (ref. Portugal) | 100% | 1.1341 | - |
| Endocrine only (ref. Chemo only +/−Anti−HER2) | 100% | 1.107 | 63% |
| Mediterranean/Vegetarian diet (ref. None) | 100% | 0.9513 | 70% |
| Unemployed/Housewife (ref. Full/part-time/Self-employed) | 100% | 0.9384 | 100% |
| Neoadjuvant Chemotherapy | 100% | 0.7816 | 100% |
| Perceived Support 1 item | 100% | 1.0287 | 97% |
| Future Perspective QLQ-BR23 | 97% | 1.0014 | 97% |
| Meaningfulness SOC | 93% | 1.0026 | 80% |
| Positive Affect PANAS | 93% | 1.014 | 0% |
| General Self-efficacy 1 item | 93% | 1.0907 | 90% |
| Arm Symptoms QLQ-BR23 | 90% | 0.9991 | 100% |
| Distress Thermometer NCCN | 90% | 0.9624 | 90% |
| Coping with cancer CBI-B | 87% | 1.0278 | 100% |
| Luminal B-like (HER2+) | 83% | 0.9583 | 63% |
| Catastrophizing CERQ | 80% | 0.9764 | 97% |
| Negative Life Events: Two or more (ref. No) | 77% | 0.9199 | 77% |
| Month 3 3 | |||
| Performance 2: log-loss = 0.306, Brier score = 0.0928, ROC-AUC = 0.845 | |||
| Anxiety HADS | 100% | 0.744 | 100% |
| Fatigue QLQ-C30 | 100% | 0.988 | 100% |
| Anxious Preoccupation mini-MAC | 100% | 0.8719 | 100% |
| Positive Affect PANAS | 100% | 1.3538 | 100% |
| Role Functioning QLQ-C30 | 100% | 1.0055 | 100% |
| Systemic Therapy Side Effects QLQ-BR23 | 100% | 0.9963 | 100% |
| Social Functioning QLQ-C30 | 100% | 1.004 | 100% |
| Personal Control Beliefs over Illness | 100% | 1.0147 | 80% |
| Distress Thermometer NCCN | 100% | 0.9693 | 97% |
| What done to cope: Talked to the physician | 100% | 0.9495 | 97% |
| Future Perspective QLQ-BR23 | 97% | 1.0027 | 97% |
| Depression HADS | 93% | 0.8901 | 80% |
| Negative Affect PANAS | 93% | 0.9418 | 13% |
| Physical Functioning QLQ-C30 | 93% | 1.003 | 97% |
| Perceived Support 1 item | 93% | 1.0361 | 90% |
| Arm Symptoms QLQ-BR23 | 90% | 0.9974 | 90% |
| Emotional Functioning QLQ-C30 | 83% | 1.003 | 87% |
| Communication and Cohesion FARE | 77% | 1.0215 | 83% |
| Pain QLQ-C30 | 77% | 0.9962 | 83% |
| Emotional Support mMOS-SS | 73% | 1.0395 | 67% |
| Negative Life Events: Two or more (ref. No) | 70% | 0.916 | 83% |
| Variable | Selection Freq (%) Penalized Site | Mean OR 1 Penalized Site | Selection Freq (%) Unpenalized Site |
|---|---|---|---|
| Baseline | |||
| Performance 2: log-loss = 0.464, Brier score = 0.147, ROC-AUC = 0.681 | |||
| Coping with Cancer CBI-B | 100% | 1.0568 | 97% |
| Mindfulness MAAS | 100% | 1.0276 | 93% |
| Optimism LOT-R | 100% | 1.1892 | 100% |
| Perspective CERQ | 100% | 1.0756 | 90% |
| Resilience CDRISC | 100% | 1.0604 | 0% |
| Pain QLQ-C30 | 100% | 0.9978 | 100% |
| Positive Affect PANAS | 100% | 1.0919 | 100% |
| Sexual Functioning QLQ-BR23 | 100% | 1.0033 | 90% |
| Social Functioning QLQ-C30 | 100% | 1.0047 | 100% |
| Income Middle (ref. Low) | 100% | 0.7621 | 97% |
| Income High (ref. Low) | 100% | 1.5861 | 100% |
| Postmenopausal | 93% | 1.0937 | 17% |
| Planning CERQ | 90% | 1.0193 | 70% |
| Negative Life Events: Two or more (ref. No) | 80% | 0.9259 | 77% |
| Special diet (ref. None) | 63% | 0.9428 | 37% |
| Month 3 3 | |||
| Performance 2: log-loss = 0.432, Brier score = 0.136, ROC-AUC = 0.763 | |||
| Helplessness/Hopelessness mini-MAC | 100% | 0.7512 | 100% |
| Pain QLQ-C30 | 100% | 0.9945 | 100% |
| Positive Affect PANAS | 100% | 1.1766 | 100% |
| Sexual Functioning QLQ-BR23 | 100% | 1.0065 | 100% |
| Non-Luminal (HER2+) | 100% | 1.3504 | 60% |
| Personal Control Beliefs over Illness | 100% | 1.0572 | 100% |
| Income Middle (ref. Low) | 100% | 0.7705 | 100% |
| Income High (ref. Low) | 100% | 1.6132 | 100% |
| Postmenopausal | 100% | 1.1308 | 7% |
| What done to cope: See it as a challenge | 100% | 1.1008 | 100% |
| General Self-efficacy 1 item | 97% | 1.0398 | 97% |
| Triple-negative | 93% | 0.8909 | 33% |
| Social Functioning QLQ-C30 | 87% | 1.0019 | 97% |
| Fighting mini-MAC | 80% | 1.1059 | 73% |
| Depression HADS | 77% | 0.9431 | 83% |
| Anxiety HADS | 70% | 0.9368 | 83% |
| Negative Life Events: Two or more (ref. No) | 70% | 0.9331 | 53% |
| Variable | Selection Freq (%) Penalized Site | Mean OR 1 Penalized Site | Selection Freq (%) Unpenalized Site |
|---|---|---|---|
| Baseline | |||
| Performance 2: log-loss = 0.300, Brier score = 0.0892, ROC-AUC = 0.941 | |||
| Anxiety HADS | 100% | 1.2873 | 100% |
| Arm Symptoms QLQ-BR23 | 100% | 1.0028 | 100% |
| Depression HADS | 100% | 15.3494 | 100% |
| Financial Impact QLQ-C30 | 100% | 1.0006 | 100% |
| Future Perspective QLQ-BR23 | 100% | 0.9978 | 100% |
| Catastrophizing CERQ | 100% | 1.1142 | 100% |
| Manageability SOC | 100% | 0.9752 | 100% |
| Meaningfulness SOC | 100% | 0.9872 | 100% |
| Optimism LOT-R | 100% | 0.9384 | 100% |
| Resilience CDRISC | 100% | 0.7783 | 63% |
| Role Functioning QLQ-C30 | 100% | 0.9948 | 100% |
| Italy (ref. Portugal) | 100% | 1.3646 | - |
| Finland (ref. Portugal) | 100% | 0.8601 | - |
| Unemployed/Housewife (ref. Full/part-time/Self-employed) | 100% | 1.2159 | 0% |
| Coping with Cancer CBI-B | 93% | 0.9806 | 0% |
| Distress Thermometer NCCN | 90% | 1.0306 | 77% |
| Exercise level: Heavy (ref. No) | 80% | 0.937 | 0% |
| Month 3 3 | |||
| Performance 2: log-loss = 0.370, Brier score = 0.115, ROC-AUC = 0.905 | |||
| Anxiety HADS | 100% | 1.8654 | 100% |
| Emotional functioning QLQ-C30 | 100% | 0.9941 | 100% |
| Future Perspective QLQ-BR23 | 100% | 0.9949 | 100% |
| Anxious Preoccupation mini-MAC | 100% | 1.3574 | 100% |
| Helplessness/Hopelessness mini-MAC | 100% | 1.3366 | 100% |
| Spiritual Change PTGI | 100% | 1.0459 | 73% |
| Emotional Support mMOS-SS | 100% | 0.7919 | 100% |
| Negative Affect PANAS | 100% | 1.5575 | 100% |
| Positive Affect PANAS | 100% | 0.8326 | 100% |
| Italy (ref. Portugal) | 100% | 1.7245 | - |
| Finland (ref. Portugal) | 100% | 0.709 | - |
| Exercise level: Heavy (ref. No) | 100% | 0.828 | 20% |
| Distress Thermometer NCCN | 100% | 1.0686 | 100% |
| Radiotherapy | 100% | 0.9329 | 0% |
| Fatigue QLQ-C30 | 97% | 1.0028 | 97% |
| Pain QLQ-C30 | 97% | 1.0027 | 90% |
| Sexual Enjoyment QLQ-BR23 | 93% | 0.997 | 77% |
| Arm Symptoms QLQ-BR23 | 90% | 1.0023 | 80% |
| Sexual Functioning QLQ-BR23 | 83% | 0.9974 | 80% |
| University education | 80% | 0.9706 | 0% |
| What done to cope: Exercised | 80% | 0.9772 | 17% |
| Cognitive Functioning QLQ-C30 | 70% | 0.9986 | 93% |
| Avoidance mini-MAC | 63% | 1.0353 | 0% |
| Variable | Selection Freq (%) Penalized Site | Mean OR 1 | Selection Freq (%) Unpenalized Site |
|---|---|---|---|
| Baseline | |||
| Performance 2: log-loss = 0.248, Brier score = 0.067, ROC-AUC = 0.781 | |||
| Diarrhea QLQ-C30 | 100% | 1.0046 | 100% |
| Manageability SOC | 100% | 0.9796 | 3% |
| Optimism LOT-R | 100% | 0.9043 | 10% |
| Pain QLQ-C30 | 100% | 1.0163 | 100% |
| Role Functioning QLQ-C30 | 100% | 0.9987 | 97% |
| Finland (ref. Portugal) | 100% | 0.8797 | - |
| Month 3 3 | |||
| Performance 2: log-loss = 0.244, Brier score = 0.066, ROC-AUC = 0.754 | |||
| Diarrhea QLQ-C30 | 100% | 1.0077 | 97% |
| Emotional Functioning QLQ-C30 | 100% | 0.9885 | 87% |
| Mental illness (ref. No) | 100% | 1.8311 | 100% |
| Triple-negative | 100% | 1.8134 | 60% |
| Finland (ref. Portugal) | 100% | 0.5863 | - |
| University education | 100% | 0.8106 | 93% |
| Unemployed/Housewife (ref. Full/part-time/Self-employed) | 100% | 1.3757 | 10% |
| What done to cope: Talked to the physician | 100% | 1.1374 | 87% |
| Income Middle (ref. Low) | 97% | 0.8602 | 40% |
| Anxiety HADS | 93% | 1.3522 | 90% |
| Sexual Functioning QLQ-BR23 | 87% | 0.9958 | 73% |
| Exercise level: Heavy (ref. No) | 83% | 0.8848 | 0% |
| Pain QLQ-C30 | 67% | 1.0017 | 13% |
| Variable | Selection Freq (%) Penalized Site | Mean OR 1 Penalized Site | Selection Freq (%) Unpenalized Site |
|---|---|---|---|
| Baseline | |||
| Performance 2: log-loss = 0.575, Brier score = 0.1944, ROC–AUC = 0.664 | |||
| Manageability SOC | 100% | 1.0202 | 100% |
| Optimism LOT-R | 100% | 1.1608 | 10% |
| Italy (ref. Portugal) | 100% | 0.8259 | - |
| Endocrine only (ref. Chemo only +/−Anti-HER2) | 100% | 0.8059 | 7% |
| Income High (ref. Low) | 100% | 1.1661 | 3% |
| Finland (ref. Portugal) | 60% | 1.0232 | - |
| Month 3 3 | |||
| Performance 2: log-loss = 0.558, Brier score = 0.1869, ROC–AUC = 0.696 | |||
| Anxiety HADS | 100% | 0.6592 | 97% |
| Italy (ref. Portugal) | 100% | 0.7177 | - |
| Endocrine only (ref. Chemo only +/−Anti−HER2) | 100% | 0.7821 | 23% |
| Income High (ref. Low) | 100% | 1.3056 | 57% |
| Spiritual Change PTGI | 90% | 0.9701 | 40% |
| Special diet (ref. None) | 90% | 0.8446 | 77% |
| What done to cope: Talked to sb important | 90% | 1.0455 | 27% |
| Emotional Functioning QLQ-C30 | 87% | 1.0028 | 87% |
| Upset by Hair Loss QLQ-BR23 | 80% | 1.0012 | 17% |
| Metabolic diseases | 77% | 0.9565 | 73% |
| Finland (ref. Portugal) | 77% | 1.0455 | - |
| Negative Affect PANAS | 73% | 0.9551 | 0% |
| Emotional Support mMOS-SS | 70% | 1.0249 | 87% |
Disclaimer/Publisher’s Note: The statements, opinions and data contained in all publications are solely those of the individual author(s) and contributor(s) and not of MDPI and/or the editor(s). MDPI and/or the editor(s) disclaim responsibility for any injury to people or property resulting from any ideas, methods, instructions or products referred to in the content. |
© 2026 by the authors. Licensee MDPI, Basel, Switzerland. This article is an open access article distributed under the terms and conditions of the Creative Commons Attribution (CC BY) license.
Share and Cite
Kolokotroni, E.; Poikonen-Saksela, P.; Pat-Horenczyk, R.; Sousa, B.; Oliveira-Maia, A.J.; Mazzocco, K.; Kondylakis, H.; Stamatakos, G.S. In Silico Psycho-Oncology: Understanding Resilience Pathways in Breast Cancer—Determinants of Longitudinal Depression and Quality-of-Life Trajectories. J. Pers. Med. 2026, 16, 209. https://doi.org/10.3390/jpm16040209
Kolokotroni E, Poikonen-Saksela P, Pat-Horenczyk R, Sousa B, Oliveira-Maia AJ, Mazzocco K, Kondylakis H, Stamatakos GS. In Silico Psycho-Oncology: Understanding Resilience Pathways in Breast Cancer—Determinants of Longitudinal Depression and Quality-of-Life Trajectories. Journal of Personalized Medicine. 2026; 16(4):209. https://doi.org/10.3390/jpm16040209
Chicago/Turabian StyleKolokotroni, Eleni, Paula Poikonen-Saksela, Ruth Pat-Horenczyk, Berta Sousa, Albino J. Oliveira-Maia, Ketti Mazzocco, Haridimos Kondylakis, and Georgios S. Stamatakos. 2026. "In Silico Psycho-Oncology: Understanding Resilience Pathways in Breast Cancer—Determinants of Longitudinal Depression and Quality-of-Life Trajectories" Journal of Personalized Medicine 16, no. 4: 209. https://doi.org/10.3390/jpm16040209
APA StyleKolokotroni, E., Poikonen-Saksela, P., Pat-Horenczyk, R., Sousa, B., Oliveira-Maia, A. J., Mazzocco, K., Kondylakis, H., & Stamatakos, G. S. (2026). In Silico Psycho-Oncology: Understanding Resilience Pathways in Breast Cancer—Determinants of Longitudinal Depression and Quality-of-Life Trajectories. Journal of Personalized Medicine, 16(4), 209. https://doi.org/10.3390/jpm16040209

