CYP2D6 Genotyping for Optimization of Tamoxifen Therapy in Indonesian Women with ER+ Breast Cancer
Abstract
1. Introduction
2. Materials and Methods
2.1. Study Design and Ethical Consideration
2.2. Recruitment
2.3. Eligibility Criteria
2.4. Sample Size Calculations
2.5. Data Collection
2.6. Intervention
2.7. Outcomes
2.8. Data and Statistical Analysis
3. Results
3.1. Recruitment Outcomes
3.2. Demographics of Study Participants
3.3. Distribution of CYP2D6 Haplotypes, Diplotypes, and Phenotypes
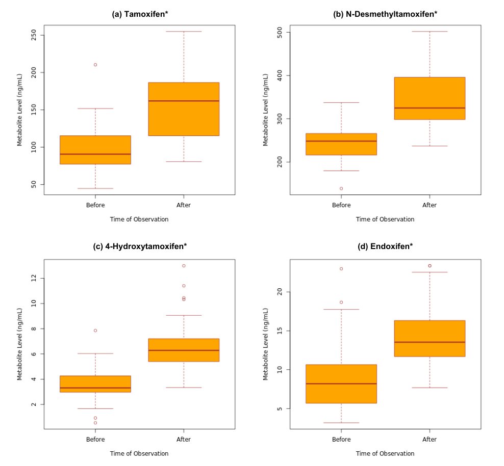
3.4. Impacts of Personalized Dosing to Levels of Tamoxifen Metabolites
3.5. Reported Side Effects 8 Weeks After Post-Test Consultation with Treating Oncologists
3.6. Survival Analysis
4. Discussion
5. Conclusions
Supplementary Materials
Author Contributions
Funding
Institutional Review Board Statement
Informed Consent Statement
Data Availability Statement
Acknowledgments
Conflicts of Interest
Abbreviations
| ER | Estrogen receptor |
| CYP2D6 | Cytochrome P450 2D6 |
| NM | Normal metabolizer |
| UM | Ultrarapid metabolizer |
| IM | Intermediate metabolizer |
| PM | Poor metabolizer |
| RCT | Randomized controlled trial |
| BCCA | Breast Cancer Care Alliance |
| CPIC | Clinical Pharmacogenetics Implementation Consortium |
| gDNA | Genomic DNA |
| VAMS | Volumetric absorptive microsampling |
| MRM | Multiple reaction monitoring |
| OS | Overall survival |
| PFS | Progression-free survival |
| BMI | Body mass index |
| ITT | Intention-to-treat |
| FACT-ES | Functional Assessment of Cancer Therapy—Endocrine Subscale |
| AS | Activity score |
References
- Yoon, K.-H.; Park, Y.; Kang, E.; Kim, E.-K.; Kim, J.H.; Kim, S.H.; Suh, K.J.; Kim, S.M.; Jang, M.; La Yun, B.; et al. Effect of Estrogen Receptor Expression Level and Hormonal Therapy on Prognosis of Early Breast Cancer. Cancer Res. Treat. 2022, 54, 1081–1090. [Google Scholar] [CrossRef]
- Li, Y.; Yang, D.; Yin, X.; Zhang, X.; Huang, J.; Wu, Y.; Wang, M.; Yi, Z.; Li, H.; Li, H.; et al. Clinicopathological Characteristics and Breast Cancer–Specific Survival of Patients With Single Hormone Receptor–Positive Breast Cancer. JAMA Netw. Open 2020, 3, e1918160. [Google Scholar] [CrossRef] [PubMed]
- National Comprehensive Cancer Network. NCCN Clinical Practice Guidelines in Oncology (NCCN Guidelines): Breast Cancer. NCCN, 3 July 2024. Available online: https://www.nccn.org/professionals/physician_gls/pdf/breast.pdf (accessed on 8 September 2023).
- Komite Nasional Penanggulangan Kanker (KPKN). Panduan Nasional Penanganan Kanker: Kanker Payudara. Kementerian Kesehatan Indonesia, 2015. Available online: https://www.poijaya.org/wp-content/uploads/2021/03/PPKPayudara.pdf (accessed on 10 September 2024).
- World Health Organization. Cancer Indonesia 2020 Country Profile. WHO Team, 1 January 2020. Available online: https://cdn.who.int/media/docs/default-source/country-profiles/cancer/idn-2020.pdf?sfvrsn=46ea6569_2&download=true (accessed on 10 September 2024).
- Mulder, T.A.M.; de With, M.; del Re, M.; Danesi, R.; Mathijssen, R.H.J.; van Schaik, R.H.N. Clinical CYP2D6 Genotyping to Personalize Adjuvant Tamoxifen Treatment in ER-Positive Breast Cancer Patients: Current Status of a Controversy. Cancers 2021, 13, 771. [Google Scholar] [CrossRef] [PubMed]
- Koopmans, A.B.; Braakman, M.H.; Vinkers, D.J.; Hoek, H.W.; van Harten, P.N. Meta-analysis of probability estimates of worldwide variation of CYP2D6 and CYP2C19. Transl. Psychiatry 2021, 11, 141. [Google Scholar] [CrossRef] [PubMed]
- Frederiksen, T.; Areberg, J.; Schmidt, E.; Stage, T.B.; Brøsen, K. Does ethnicity impact CYP2D6 genotype–phenotype relationships? Clin. Transl. Sci. 2023, 16, 1012–1020. [Google Scholar] [CrossRef]
- Blancas, I.; Linares-Rodríguez, M.; de Dueñas, E.M.; Herrero-Vicent, C.; Molero-Mir, M.D.; Garrido, J.M.; Rodríguez-Serrano, F. Early increase in tamoxifen dose in CYP2D6 poor metaboliser breast cancer patients and survival: A propensity score matching analysis. Breast 2023, 69, 342–348. [Google Scholar] [CrossRef] [PubMed]
- Braal, C.L.; Jager, A.; Hoop, E.O.-D.; Westenberg, J.D.; Lommen, K.M.W.T.; de Bruijn, P.; Vastbinder, M.B.; van Rossum-Schornagel, Q.C.; Thijs-Visser, M.F.; van Alphen, R.J.; et al. Therapeutic Drug Monitoring of Endoxifen for Tamoxifen Precision Dosing: Feasible in Patients with Hormone-Sensitive Breast Cancer. Clin. Pharmacokinet. 2022, 61, 527–537. [Google Scholar] [CrossRef] [PubMed]
- Kanji, C.R.; Nyabadza, G.; Nhachi, C.; Masimirembwa, C. Pharmacokinetics of Tamoxifen and Its Major Metabolites and the Effect of the African Ancestry Specific CYP2D6*17 Variant on the Formation of the Active Metabolite, Endoxifen. J. Pers. Med. 2023, 13, 272. [Google Scholar] [CrossRef] [PubMed]
- Sidibe, M.; Tazzite, A.; Jouhadi, H.; Dehbi, H. Impact of CYP2D6, CYP2C9/19, CYP3A4, UGT, and SULT Variability on Tamoxifen Metabolism in Breast Cancer Treatment. J. Curr. Oncol. 2023, 6, 61–67. [Google Scholar] [CrossRef]
- Yang, Y.; Gan, F.; Luo, T.; Lin, Q.; Yang, W.; Chen, L.; Zhang, W.; Liu, Q.; Gong, C. Patient-reported outcome and survival in premenopausal hormone receptor-positive breast cancer patients at moderate to high risk: Comparing toremifene with aromatase inhibitor in a real-world study. Medcomm 2024, 5, e698. [Google Scholar] [CrossRef] [PubMed]
- Saladores, P.; Murdter, T.; Eccles, D.; Chowbay, B.; Zgheib, N.K.; Winter, S.; Ganchev, B.; Eccles, B.; Gerty, S.; Tfayli, A.; et al. Tamoxifen metabolism predicts drug concentrations and outcome in premenopausal patients with early breast cancer. Pharm. J. 2015, 15, 84–94. [Google Scholar] [CrossRef]
- Maggadani, B.P.; Harmita; Haryono, S.J.; Rinaldi, M.R.; Harahap, Y. Volumetric Absorptive Microsampling as a New Biosampling Tool for Monitoring of Tamoxifen, Endoxifen, 4-OH Tamoxifen and N-Desmethyltamoxifen in Breast Cancer Patients. Drug Des. Dev. Ther. 2021, 15, 2417–2430. [Google Scholar] [CrossRef]
- Kennecke, H.F.; Ellard, S.; O’Reilly, S.; Gelmon, K.A. New guidelines for treatment of early hormone-positive breast cancer with tamoxifen and aromatase inhibitors. Br. Columbia Med. J. 2006, 48, 121. [Google Scholar]
- Goetz, M.P.; Sangkuhl, K.; Guchelaar, H.; Schwab, M.; Province, M.; Whirl-Carrillo, M.; Symmans, W.F.; McLeod, H.L.; Ratain, M.J.; Zembutsu, H.; et al. Clinical Pharmacogenetics Implementation Consortium (CPIC) Guideline for CYP2D6 and Tamoxifen Therapy. Clin. Pharmacol. Ther. 2018, 103, 770–777. [Google Scholar] [CrossRef] [PubMed]
- Kothary, A.S.; Mahendra, C.; Tan, M.; Min Tan, E.J.; Hong Yi, J.P.; Gabriella; Hui Jocelyn, T.X.; Haruman, J.S.; Tan, Z.; Lee, C.K.; et al. Validation of a multi-gene qPCR-based pharmacogenomics panel across major ethnic groups in Singapore and Indonesia. Pharmacogenomics 2021, 22, 1041–1056. [Google Scholar] [CrossRef] [PubMed]
- Montagna, E.; Zagami, P.; Masiero, M.; Mazzocco, K.; Pravettoni, G.; Munzone, E. Assessing Predictors of Tamoxifen Nonadherence in Patients with Early Breast Cancer. Patient Prefer. Adherence 2021, 15, 2051–2061. [Google Scholar] [CrossRef]
- Fallowfield, L.J.; Leaity, S.K.; Howell, A.; Benson, S.; Cella, D. Assessment of quality of life in women undergoing hormonal therapy for breast cancer: Validation of an endocrine symptom subscale for the FACT-B. Breast Cancer Res. Treat. 1999, 55, 187–197. [Google Scholar] [CrossRef]
- Mursyidah, N.I.; Prayoga, A.A.; Kusumastuty, E.H.; Rahniayu, A. Comparison of Breast Cancer 3-years survival rate based on the pathological stafes. J. Aesculap Med. Sci. 2019, 10, 38–43. [Google Scholar]
- Madlensky, L.; Natarajan, L.; Tchu, S.; Pu, M.; Mortimer, J.; Flatt, S.W.; Nikoloff, D.M.; Hillman, G.; Fontecha, M.R.; Lawrence, H.J.; et al. Tamoxifen Metabolite Concentrations, CYP2D6 Genotype, and Breast Cancer Outcomes. Clin. Pharmacol. Ther. 2011, 89, 718–725. [Google Scholar] [CrossRef]
- Chen, H.-L.; Zhou, M.-Q.; Tian, W.; Meng, K.-X.; He, H.-F. Effect of Age on Breast Cancer Patient Prognoses: A Population-Based Study Using the SEER 18 Database. PLoS ONE 2016, 11, e0165409. [Google Scholar] [CrossRef] [PubMed]
- Cancer Research UK. Survival for Breast Cancer. Available online: https://www.cancerresearchuk.org/about-cancer/breast-cancer/survival (accessed on 21 October 2024).
- Maulana, Y.; Maulana, Y.; Jimenez, R.T.; Jimenez, R.T.; Twesigomwe, D.; Twesigomwe, D.; Sani, L.; Sani, L.; Irwanto, A.; Irwanto, A.; et al. The variation landscape of CYP2D6 in a multi-ethnic Asian population. Sci. Rep. 2024, 14, 16725. [Google Scholar] [CrossRef] [PubMed]
- Sun, Q.; Luan, Y.; Tong, B.; Duan, L.; Wang, J.; Yan, Y.; Chen, C.; Lun, Y.; Yu, J.; Zhao, Y. CYP2D6 allele frequencies and copy number variants in Chinese Han population: A large retrospective study. PREPRINT (Version 1). Research Square, 10 January 2025. [Google Scholar] [CrossRef]
- Kane, M. CYP2D6 Overview: Allele and Phenotype Frequencies. In Medical Genetics Summaries; National Center for Biotechnology Information (US): Bethesda, MD, USA, 2021. Available online: https://www.ncbi.nlm.nih.gov/books/NBK574601/ (accessed on 4 February 2025).
- Cui, Y.; Yan, H.; Su, Y.; Wang, L.; Lu, T.; Zhang, D.; Yue, W. CYP2D6 Genotype-Based Dose Recommendations for Risperidone in Asian People. Front. Pharmacol. 2020, 11, 936. [Google Scholar] [CrossRef]
- Thorén, L.; Lindh, J.D.; Ackehed, G.; Kringen, M.K.; Hall, P.; Bergh, J.; Molden, E.; Margolin, S.; Eliasson, E. Impairment of endoxifen formation in tamoxifen-treated premenopausal breast cancer patients carrying reduced-function CYP2D6 alleles. Br. J. Clin. Pharmacol. 2021, 87, 1243–1252. [Google Scholar] [CrossRef]
- Mbavha, B.T.; Thelingwani, R.S.; Chikwambi, Z.; Nyakabau, A.M.; Masimirembwa, C.; the Consortium for Genomics and Therapeutics in Africa. Pharmacogenetics and pharmacokinetics of tamoxifen in a Zimbabwean breast cancer cohort. Br. J. Clin. Pharmacol. 2023, 89, 3209–3216. [Google Scholar] [CrossRef]
- Sung, S.; Min, Y.H.; Park, S.K.; Lee, S.B. Hot flushes and sweating, sleep problems, joint and muscular discomfort, and physical and mental exhaustion in breast cancer survivors during the first 24 months of tamoxifen therapy: A prospective observational study. Front. Oncol. 2022, 12, 844926. [Google Scholar] [CrossRef] [PubMed]
- Hammarström, M.; Gabrielson, M.; Crippa, A.; Discacciati, A.; Eklund, M.; Lundholm, C.; Bäcklund, M.; Wengström, Y.; Borgquist, S.; Bergqvist, J.; et al. Side effects of low-dose tamoxifen: Results from a six-armed randomised controlled trial in healthy women. Br. J. Cancer 2023, 129, 61–71. [Google Scholar] [CrossRef] [PubMed]
- Nishiyama, S.; Hayashi, S.; Abe, N.; Kira, S.; Oda, M.; Lee, L.; To, Y.; Goto, M.; Tsujioka, H. Bilateral ovarian endometriomas after laparoscopic hysterectomy following adjuvant tamoxifen therapy for breast cancer: A case report. Case Rep. Women’s Health 2022, 36, e00442. [Google Scholar] [CrossRef]
- Gaedigk, A.; Sangkuhl, K.; Whirl-Carrillo, M.; Klein, T.; Leeder, J.S. Prediction of CYP2D6 phenotype from genotype across world populations. Anesth. Analg. 2017, 19, 69–76. [Google Scholar] [CrossRef] [PubMed]
- Lan, B.; Ma, F.; Zhai, X.; Li, Q.; Chen, S.; Wang, J.; Fan, Y.; Luo, Y.; Cai, R.; Yuan, P.; et al. The relationship between the CYP2D6 polymorphisms and tamoxifen efficacy in adjuvant endocrine therapy of breast cancer patients in Chinese Han population. Int. J. Cancer 2018, 143, 184–189. [Google Scholar] [CrossRef] [PubMed]
- Wang, T.; Zhou, Y.; Cao, G. Pharmacogenetics of tamoxifen therapy in Asian populations: From genetic polymorphism to clinical outcomes. Eur. J. Clin. Pharmacol. 2021, 77, 1095–1111. [Google Scholar] [CrossRef] [PubMed]
- Ramírez, G.; Vital, M.; Vergara, C.; Carusso, F.; Neffa, F.; Della Valle, A.; Esperón, P. CYP2D6 Genotyping and the Clinical Impact on Outcomes in Breast Cancer Tamoxifen-Treated Patients. Pers. Med. 2023, 20, 477–483. [Google Scholar] [CrossRef] [PubMed]
- Elouilamine, E.; El Akil, S.; Aznag, F.Z.; Izaabel, E.H. CYP2D6 gene polymorphisms and breast cancer risk in Moroccan population: A case-control study. Gene Rep. 2020, 20, 100768. [Google Scholar] [CrossRef]
- Irvin, W.J.; Walko, C.M.; Weck, K.E.; Ibrahim, J.G.; Chiu, W.K.; Dees, E.C.; Moore, S.G.; Olajide, O.A.; Graham, M.L.; Canale, S.T.; et al. Genotype-guided tamoxifen dosing increases active metabolite exposure in women with reduced CYP2D6 metabolism: A multicenter study. J. Clin. Oncol. 2011, 29, 3232–3239. [Google Scholar] [CrossRef] [PubMed]
- Wang, X.; Zhou, R.; Gao, D. Thrombosis of acute superior mesenteric artery in a patient with breast cancer receiving toremifene therapy: A case report and literature review. BMC Women’s Health 2024, 24, 20. [Google Scholar] [CrossRef] [PubMed]
- Choi, S.; Lee, Y.J.; Jeong, J.H.; Jung, J.; Lee, J.W.; Kim, H.J.; Ko, B.S.; Son, B.H.; Ahn, S.H.; Lee, Y.; et al. Risk of Endometrial Cancer and Frequencies of Invasive Endometrial Procedures in Young Breast Cancer Survivors Treated With Tamoxifen: A Nationwide Study. Front. Oncol. 2021, 11, 636378. [Google Scholar] [CrossRef]
- Grisdale, M.; Alghamdi, S.; Boutross-Tadross, O.; Luketic, L. Asymptomatic Atypical Hyperplasia and Endometriosis Following Treatment with Tamoxifen: A Case Report and Review of the Literature. J. Obstet. Gynaecol. Can. 2021, 43, 85–87. [Google Scholar] [CrossRef] [PubMed]









| rs Identifiers | CYP2D6 Star Alleles |
|---|---|
| rs35742686 | *3 |
| rs59421388 | *29, *70, *109, *149, *155, *156, *157, *165, *171, *175 |
| rs3892097 | *4 |
| rs5030656 | *9, *109, *115 |
| rs72549352 | *21 |
| rs5030655 | *6 |
| rs28371725 | *32, *41, *69, *91, *119, *123, *138, *158 |
| rs16947 | *2, *4, *8, *11, *12, *14, *17, *19, *20, *21, *28, *29, *30, *31, *32, *34, *35, *36, *40, *41, *42, *45, *46, *51, *55, *56, *58, *59, *65, *69, *73, *84, *85, *91, *98, *102, *104, *105, *111, *114, *117, *121, *123, *125, *126, *128, *129, *133, *135, *136, *138, *141, *146, *148, *149, *150, *154, *155, *156, *157, *158, *159, *160, *162, *163, *165, *166, *171, *172, *175 |
| rs1065852 | *4, *10, *36, *37, *47, *49, *52, *54, *56, *64, *65, *69, *72, *87, *94, *95, *99, *100, *101, *114, *132, *142, *147, *150, *177 |
| rs267608319 | *31 |
| rs769258 | *35, *143, *172, *175 |
| rs5030865 | *8, *14, *114 |
| rs1135840 | *2, *4, *6, *8, *10, *11, *12, *14, *17, *19, *20, *21, *28, *29, *30, *31, *32, *35, *36, *37, *39, *40, *41, *42, *45, *46, *47, *49, *51, *52, *54, *55, *56, *58, *59, *64, *65, *69, *70, *72, *73, *83, *84, *85, *87, *88, *94, *95, *98, *99, *100, *101, *102, *103, *104, *105, *111, *114, *117, *121, *123, *125, *126, *128, *129, *132, *133, *135, *136, *138, *141, *142, *146, *147, *148, *149, *150, *154, *155, *156, *157, *158, *159, *160, *161, *162, *163, *164, *165, *166, *171, *172, *175, *177 |
| Demographics | Descriptions | Number (n) | Percentage (%) |
|---|---|---|---|
| Age | <40 | 23 | 15.3 |
| 40–49 | 88 | 58.7 | |
| 50–59 | 33 | 22 | |
| >59 | 6 | 4.0 | |
| BMI | Underweight (≤18.4) | 7 | 4.7 |
| Normal (15.5–25.0) | 88 | 58.7 | |
| Overweight (≥25.1) | 49 | 32.7 | |
| NA * | 6 | 4.0 | |
| Stage | Stage I | 36 | 24.0 |
| Stage IIA | 48 | 32.0 | |
| Stage IIB | 16 | 10.7 | |
| Stage IIIA | 9 | 6.0 | |
| Stage IIIB | 11 | 7.3 | |
| Stage IIIC | 3 | 2.0 | |
| Stage IV | 12 | 8.0 | |
| NA * | 15 | 10.0 | |
| Menopausal status | Premenopausal | 54 | 36.0 |
| Postmenopausal | 96 | 64.0 | |
| Ethnicity | Ambon | 2 | 1.3 |
| Batak | 8 | 5.3 | |
| Betawi | 5 | 3.3 | |
| Chinese | 50 | 33.3 | |
| Javanese | 38 | 25.3 | |
| Minangkabau | 5 | 3.3 | |
| Palembang | 2 | 1.3 | |
| Sunda | 9 | 6.0 | |
| Multiethnicity | 25 | 16.9 | |
| NA* | 6 | 4.0 |
| Diplotype | Phenotype | Number (n) | Frequency (%) |
|---|---|---|---|
| *10/*36 | Intermediate Metabolizer | 34 | 23.6 |
| *1/*36 | Normal Metabolizer | 19 | 13.2 |
| *2/*10 | Normal Metabolizer | 15 | 9.7 |
| *1/*1 | Normal Metabolizer | 13 | 9.0 |
| *2/*36 | Normal Metabolizer | 12 | 8.3 |
| *1/*10 | Normal Metabolizer | 12 | 7.6 |
| *10/*10 | Normal Metabolizer | 9 | 6.5 |
| Others ^ | 36 | 22.2 |
| CYP2D6 Phenotype | Peripheral Whole Blood Concentration (ng/mL) | ||||
|---|---|---|---|---|---|
| Tamoxifen | 4-Hydroxy Tamoxifen | N-Desmethyl Tamoxifen | Endoxifen | ||
| Normal Metabolizers (n = 83) | SD | 36.77 | 1.58 | 57.44 | 6.60 |
| Median | 77.46 | 3.05 | 239.62 | 11.98 | |
| Range | 31.22–178.96 | 0.44–7.66 | 80.63–321.88 | 3.55–34.77 | |
| Intermediate Metabolizers and Poor Metabolizer (n = 65 + 2 = 67) | SD | 36.26 | 2.68 | 56.90 | 4.35 |
| Median | 81.58 | 3.22 | 239.11 | 8.33 | |
| Range | 14.22–210.39 | 0.54–9.31 | 77.61–340.41 | 3.17–22.97 | |
| p-value (t-test) | >0.05 | >0.05 | >0.05 | <0.001 ** | |
| CYP2D6 Phenotype | Peripheral Whole Blood Concentration (ng/mL) | ||||
|---|---|---|---|---|---|
| Tamoxifen | 4-Hydroxy Tamoxifen | N-Desmethyl Tamoxifen | Endoxifen | ||
| Normal Metabolizers at baseline (n = 83) | SD | 36.77 | 1.58 | 57.44 | 6.60 |
| Median | 77.46 | 3.05 | 239.62 | 11.98 | |
| Range | 31.22–178.96 | 0.44–7.66 | 80.63–321.88 | 3.55–34.77 | |
| Intermediate Metabolizers after adjustment (n = 30) | SD | 48.77 | 22.79 | 76.99 | 4.54 |
| Median | 161.95 | 6.29 | 324.90 | 13.54 | |
| Range | 80.59–254.96 | 3.34–12.99 | 236.80–501.90 | 7.68–23.37 | |
| p-value (t-test) | <0.001 | <0.001 | <0.001 | >0.05 * | |
| Symptoms | NM Participants Who Received 20 mg of Tamoxifen Daily (n = 31) | IM Participants Who Received 40 mg of Tamoxifen Daily (n = 26) | p-Value | ||
|---|---|---|---|---|---|
| Participants Reported Side Effect (n) | Participants Reported Side Effect (%) | Participants Reported Side Effect (n) | Participants Reported Side Effect (%) | ||
| Hot flashes | 11 | 35.5 | 13 | 50.0 | >0.05 |
| Cold sweats | 4 | 12.9 | 5 | 19.2 | >0.05 |
| Night sweats | 9 | 29.0 | 7 | 26.9 | >0.05 |
| Vaginal discharge | 12 | 38.7 | 11 | 42.3 | >0.05 |
| Vaginal itching/irritation | 7 | 22.6 | 4 | 15.4 | >0.05 |
| Vaginal bleeding or spotting | 5 | 16.1 | 6 | 23.1 | >0.05 |
| Vaginal dryness | 10 | 32.3 | 3 | 11.5 | >0.05 |
| Pain or discomfort with intercourse * | 16 | 51.6 | 1 | 3.9 | <0.001 * |
| Lost interest in sex | 20 | 64.5 | 4 | 15.4 | <0.05 * |
| Weight gain | 20 | 64.5 | 17 | 65.4 | 1 |
| Lightheaded (dizzy) | 11 | 35.5 | 9 | 34.6 | 1 |
| Vomiting | 2 | 6.5 | 1 | 3.9 | 1 |
| Diarrhea | 1 | 3.3 | 0 | 0.0 | 1 |
| Headaches | 9 | 29.0 | 14 | 53.9 | >0.05 |
| Bloating | 12 | 38.7 | 12 | 46.2 | >0.05 |
| Breast sensitivity/tenderness | 13 | 41.9 | 14 | 53.9 | >0.05 |
| Mood swings | 23 | 74.2 | 17 | 65.4 | >0.05 |
| Irritable | 18 | 58.1 | 16 | 61.5 | >0.05 |
| Pain in joints | 21 | 67.7 | 13 | 50.0 | >0.05 |
Disclaimer/Publisher’s Note: The statements, opinions and data contained in all publications are solely those of the individual author(s) and contributor(s) and not of MDPI and/or the editor(s). MDPI and/or the editor(s) disclaim responsibility for any injury to people or property resulting from any ideas, methods, instructions or products referred to in the content. |
© 2025 by the authors. Licensee MDPI, Basel, Switzerland. This article is an open access article distributed under the terms and conditions of the Creative Commons Attribution (CC BY) license (https://creativecommons.org/licenses/by/4.0/).
Share and Cite
Maggadani, B.P.; Junusmin, K.I.; Aldila, F.; Audrienna, J.; Rabbani, B.; Maulana, Y.; Tanu, S.G.; Gabriella, G.; Amelia, M.; Agatha, F.A.; et al. CYP2D6 Genotyping for Optimization of Tamoxifen Therapy in Indonesian Women with ER+ Breast Cancer. J. Pers. Med. 2025, 15, 93. https://doi.org/10.3390/jpm15030093
Maggadani BP, Junusmin KI, Aldila F, Audrienna J, Rabbani B, Maulana Y, Tanu SG, Gabriella G, Amelia M, Agatha FA, et al. CYP2D6 Genotyping for Optimization of Tamoxifen Therapy in Indonesian Women with ER+ Breast Cancer. Journal of Personalized Medicine. 2025; 15(3):93. https://doi.org/10.3390/jpm15030093
Chicago/Turabian StyleMaggadani, Baitha Palanggatan, Kathleen Irena Junusmin, Fatma Aldila, Jessica Audrienna, Bijak Rabbani, Yusuf Maulana, Sabrina Gabriel Tanu, Gabriella Gabriella, Margareta Amelia, Faustina Audrey Agatha, and et al. 2025. "CYP2D6 Genotyping for Optimization of Tamoxifen Therapy in Indonesian Women with ER+ Breast Cancer" Journal of Personalized Medicine 15, no. 3: 93. https://doi.org/10.3390/jpm15030093
APA StyleMaggadani, B. P., Junusmin, K. I., Aldila, F., Audrienna, J., Rabbani, B., Maulana, Y., Tanu, S. G., Gabriella, G., Amelia, M., Agatha, F. A., Wijaya, M., Sormin, S. T., Mahendra, C., Sani, L. L., Irwanto, A., Chan, A., Harmita, H., Harahap, Y., & Haryono, S. J. (2025). CYP2D6 Genotyping for Optimization of Tamoxifen Therapy in Indonesian Women with ER+ Breast Cancer. Journal of Personalized Medicine, 15(3), 93. https://doi.org/10.3390/jpm15030093

