Thoracolumbar/Lumbar Degenerative Kyphosis—The Importance of Thoracolumbar Junction in Sagittal Alignment and Balance
Abstract
:1. Introduction
2. Materials and Methods
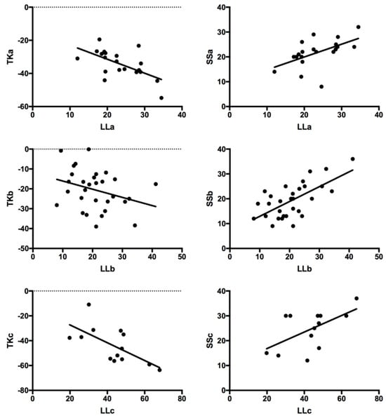
3. Results
4. Discussion
4.1. Normal Sagittal Alignment
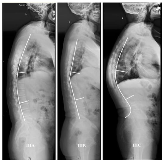
4.2. Thoracolumbar Junctional Kyphosis
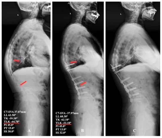
4.3. Surgical Strategy
4.4. Compensatory Mechanisms for Sagittal Balance
Author Contributions
Funding
Institutional Review Board Statement
Informed Consent Statement
Data Availability Statement
Acknowledgments
Conflicts of Interest
References
- Galbusera, F.; Wilke, H.-J.; Brayda-Bruno, M.; Costa, F.; Fornari, M. Influence of sagittal balance on spinal lumbar loads: A numerical approach. Clin. Biomech. 2013, 28, 370–377. [Google Scholar] [CrossRef] [PubMed]
- Yu, M.; Zhao, W.K.; Li, M.; Wang, S.B.; Sun, Y.; Jiang, L.; Wei, F.; Liu, X.G.; Zeng, L.; Liu, Z.J. Analysis of cervical and global spine alignment under Roussouly sagittal classification in Chinese cerivical spondylotic patients and asymptomatic subjects. Eur. Spine J. 2015, 24, 1265–1273. [Google Scholar] [CrossRef]
- Kobayashi, T.; Atsuta, Y.; Matsuno, T.; Takeda, N. A longitudinal study of congruent sagittal spinal alignment in an adult cohort. Spine 2004, 29, 671–676. [Google Scholar] [CrossRef] [PubMed]
- Takemitsu, Y.; Harada, Y.; Iwahara, T.; Miyamoto, M.; Miyatake, Y. Lumbar degenerative kyphosis. Clinical, radiological and epidemiological studies. Spine 1988, 13, 1317–1326. [Google Scholar] [CrossRef] [PubMed]
- Bae, J.S.; Jang, J.S.; Lee, S.H.; Kim, J.U. Radiological analysis of lumbar degenerative kyphosis in relation to pelvic incidence. Spine J. 2012, 12, 1045–1051. [Google Scholar] [CrossRef] [PubMed]
- Jang, J.S.; Lee, S.H.; Min, J.H.; Han, K.M. Lumbar degenerative kyphosis: Radiologic analysis and classifications. Spine 2007, 32, 2694–2699. [Google Scholar] [CrossRef] [PubMed]
- Yoshihara, T.; Morimoto, T.; Hirata, H.; Murayama, M.; Nonaka, T.; Tsukamoto, M.; Toda, Y.; Kobayashi, T.; Izuhara, K.; Mawatari, M. Mechanisms of tissue degeneration mediated by periostin in spinal degenerative diseases and their implications for pathology and diagnosis: A review. Front. Med. 2023, 10, 1276900. [Google Scholar] [CrossRef] [PubMed]
- Sebaaly, A.; Grobost, P.; Mallam, L.; Roussouly, P. Description of the sagittal alignment of the degenerative human spine. Eur. Spine J. 2017, 27, 489–496. [Google Scholar] [CrossRef]
- Roussouly, P.; Gollogly, S.; Berthonnaud, E.; Dimnet, J. Classification of the normal variation in the sagittal alignment of the human lumbar spine and pelvis in the standing position. Spine 2005, 30, 346–353. [Google Scholar] [CrossRef]
- Lee, R.A.; van Zundert, A.A.; Botha, C.P.; Lataster, L.A.; van Zundert, T.C.; van der Ham, W.G.; Wieringa, P.A. The anatomy of the thoracic spinal canal in different postures-a magnetic resonance imaging investigation. Reg. Anesth. Pain. Med. 2010, 35, 364–369. [Google Scholar] [CrossRef]
- Kim, K.-T.; Ha, K.-Y.; Kim, S.-I.; Kim, Y.-C.; Kim, Y.-H.; Seo, J.-H. Junctional failure after thoracolumbar kyphosis correction in patients with Ankylosing Spondylitis. World Neurosurg. 2021, 149, e563–e569. [Google Scholar] [CrossRef] [PubMed]
- Sardar, Z.M.; Ames, R.J.; Lenke, J. Scheuermann’s kyphosis: Diagnosis, management, and selecting fusion levels. J. Am. Acad. Orthop. Surg. 2019, 27, e462–e472. [Google Scholar] [CrossRef] [PubMed]
- Li, Q.D.; Yang, J.S.; He, B.R.; Liu, T.J.; Gao, L.; Chai, X.; Tian, X.; Hao, D.J. Risk fators for proximal junctional kyphosis after posterior long-segment internal fixation for chronic symptomatic osteoporotic thoracolumbar fractures with kyphosis. BMC Surg. 2022, 22, 189. [Google Scholar] [CrossRef]
- Pu, X.; Zhou, Q.; Xu, L.; Yu, Y.; Liu, Z.; Qian, B.; Wang, B.; Zhu, Z.; Qiu, Y.; Sun, X. Junctional kyphosis after correction with long instrumentation for late posttraumatic thoracolumbar kyphosis: Characteristics and risk factors. Orthop. Surg. 2023, 15, 713–723. [Google Scholar] [CrossRef] [PubMed]
- Zhang, B.; Yang, G.; Lv, D.P.; Cao, C.; Zhang, J.Y.; Gao, Y.Z. Clinical effect of preoperative orthopedic design by Surigmap Spine in the treatment of thoracolumbar kyphosis in ankylosing spondylitis. Chin. J. Spine Spinal Cord 2022, 32, 297–304. [Google Scholar]
- Luo, Y.; Jiang, T.; Guo, H.; Lv, F.; Hu, Y.; Zhang, L. Osteoporotic vertebral compression fracture accompanied with thoracolumbar fascial injury: Risk factors and the association with residual pain after percutaneous vertebroplasty. BMC Musculoskelet. Disord. 2022, 23, 343. [Google Scholar] [CrossRef]
- Qin, J.; Su, B.; Wang, L.; Tang, K.; Liu, R.; Quan, Z. Transvertebral space and under the pedicle osteotomy for thoracolumbar kyphosis caused by old osteoporotic vertebral compression fracture. Chin. J. Restor. Reconstr. Surg. 2022, 36, 305–309. [Google Scholar] [CrossRef]
- Doodkorte, R.J.; Vercoulen, T.F.; Roth, A.K.; de Bie, R.A.; Willems, P.C. Instrumentation techniques to prevent proximal junctional kyphosis and proximal junctional failure in adult spinal deformity correction—A systematic review of biomechanical studies. Spine J. 2021, 21, 842–854. [Google Scholar] [CrossRef]
- Liu, C.-J.; Zhu, Z.-Q.; Wang, K.-F.; Duan, S.; Xu, S.; Liu, H.-Y. Radiological analysis of thoracolumbar junctional degenerative kyphosis in patients with lumbar degenerative kyphosis. Chin. Med. J. 2017, 130, 2535–2540. [Google Scholar] [CrossRef]
- Du Plessis, A.; Van Schoor, A.; Wessels, Q.; Murphy, P.; Van Schouwenburg, F.; Ihuhua, P.; Kehrmann, J.; Scholtz, M.; Keough, N. Vertebrae at the thoracolumbar junction: A quantitative assessment using CT scans. J. Anat. 2022, 240, 1179–1186. [Google Scholar] [CrossRef]
- Prasse, T.; Hofstetter, C.; Heck, V.; Meyer, C.; Wetsch, W.; Scheyerer, M.; Eysel, P.; Bredow, J. Current evidence on where to end a fusion within the thoracolumbar junction most preferably—A systematic literature review. Neurochirurgie 2022, 68, 648–653. [Google Scholar] [CrossRef] [PubMed]
- Katzman, W.B.; Wanek, L.; Shepherd, J.A.; Sellmeyer, D.E.; Edmondston, S.; Ferguson, A.; Ippersiel, P.; Ronningen, L.; Sodeland, S.; Barclay, L.; et al. Age-related hyperkyphosis: Its causes, consequences, and management. J. Orthop. Sports Phys. Ther. 2010, 40, 352–360. [Google Scholar] [CrossRef] [PubMed]
- Bao, H.; He, S.; Liu, Z.; Zhu, Z.; Qiu, Y.; Zhu, F. Will immediate postoperative imbalance improve in patients with thoracolumbar/lumbar degenerative kyphoscoliosis? A comparison between Smith-Petersen osteotomy and pedicle subtraction osteotomy with an average 4 years of follow-up. Spine 2015, 40, 293–300. [Google Scholar] [CrossRef]
- Cho, K.-J.; Suk, S.-I.; Park, S.-R.; Kim, J.-H.; Jung, J.-H. Selection of proximal fusion level for adult degenerative lumbar scoliosis. Eur. Spine J. 2012, 22, 394–401. [Google Scholar] [CrossRef] [PubMed]
- Kim, Y.J.; Bridwell, K.H.; Lenke, L.G.; Rhim, S.; Cheh, G. Pseudarthrosis in long adult spinal deformity instrumentation and fusion to the sacrum: Prevalence and risk factor analysis of 144 cases. Spine 2006, 31, 2329–2336. [Google Scholar] [CrossRef]
- Silva, F.E.; Lenke, L.G. Adult degenerative scoliosis: Evaluation and management. Neurosurg. Focus 2010, 28, E1. [Google Scholar] [CrossRef] [PubMed]
- Kim, K.T.; Chan, C.Y.W.; Lee, S.H.; Huh, D.S.; Son, E.S. Surgical correction in patients with lumbar degenerative kyphosis who had low bone mineral density: An analysis of 40 patients with a minimum follow-up of two years. Asian Spine J. 2015, 9, 65–74. [Google Scholar] [CrossRef] [PubMed]
- Arlet, V.; Aebi, M. Junctional spinal disorders in operated adult spinal deformities: Present understanding and future perspectives. Eur. Spine J. 2013, 22, 276–295. [Google Scholar] [CrossRef]
- Lafage, R.; Schwab, F.; Challier, V.; Henry, J.K.; Gum, J.; Smith, J.; Hostin, R.; Shaffrey, C.; Kim, H.J.; Ames, C.; et al. Defining spino-pelvic alignment thresholds. Should operative goals in adult spinal deformity surgery account for age? Spine 2016, 41, 62–68. [Google Scholar] [CrossRef]
- Lafage, R.; Schwab, F.; Glassman, S.; Bess, S.; Harris, B.; Sheer, J.; Hart, R.; Line, B.; Henry, J.; Burton, D.; et al. Age-Adjusted Alignment Goals Have the Potential to Reduce PJK. Spine 2017, 42, 1275–1282. [Google Scholar] [CrossRef]
- Maruo, K.; Ha, Y.; Inoue, S.; Samuel, S.; Okada, E.; Hu, S.S.; Deviren, V.; Burch, S.; William, S.B.; Ames, C.P.; et al. Predictive factors for proximal junctional kyphosis in long fusions to the sacrum in adult spinal deformity. Spine 2013, 38, E1469–E1476. [Google Scholar] [CrossRef] [PubMed]
- Barrey, C.; Roussouly, P.; Perrin, G.; Le Huec, J.C. Sagittal balance disorders in severe degenerative spine. Can we identify the compensatory mechanisms? Eur. Spine J. 2011, 20, 626–633. [Google Scholar] [CrossRef] [PubMed]
- Le Huec, J.C.; Thompson, W.; Mohsinaly, Y.; Barrey, C.; Faundez, A. Sagittal balance of the spine. Eur. Spine J. 2019, 28, 1889–1905. [Google Scholar] [CrossRef] [PubMed]
- Xia, W.; Wang, W.; Zhu, Z.; Liu, C.; Xu, S.; Meng, F.; Liu, H.; Wang, K. The comensatory mechanisms for global sagittal balance in degenerative spinal kyphosis patients: A radiological analysis of muscle-skeletal associations. BMC Musculoskelet. Disord. 2021, 22, 733. [Google Scholar] [CrossRef]
- Niu, S.; Zhai, X.; Chen, Y.; Yang, H.; Yang, C.; Li, M. Optimal indicators for identification of compensatory sagittal balance in patients with degenerative disc disease. BMC Musculoskelet. Disord. 2021, 22, 211. [Google Scholar] [CrossRef]
- Rajnics, P.; Templier, A.; Skalli, W.; Lavaste, F.; Illes, T. The importance of spinopelvic parameters in patients with lumbar disc lesions. Int. Orthop. 2002, 26, 104–108. [Google Scholar] [CrossRef]






| Spinopelvic Parameters | Sagittal Balance Group | Sagittal Imbalance Group | Statistical Values | p |
|---|---|---|---|---|
| TLK | −29.674 ± 10.050 | −24.540 ± 6.660 | t = −2.247 * | 0.028 |
| LL | 24.550 (18.850, 35.950) | 21.100 (17.400, 28.150) | Z = −1.658 † | 0.097 |
| TK | −29.474 ± 15.740 | −29.984 ± 11.648 | t = 0.139 * | 0.890 |
| PI | 38.553 ± 9.217 | 42.360 ± 9.380 | t = −1.593 * | 0.116 |
| PT | 16.500 (13.000, 25.250) | 20.000 (13.000, 25.000) | Z = −0.493 † | 0.622 |
| SS | 20.053 ± 7.819 | 22.840 ± 4.947 | t = −1.733 * | 0.088 |
Disclaimer/Publisher’s Note: The statements, opinions and data contained in all publications are solely those of the individual author(s) and contributor(s) and not of MDPI and/or the editor(s). MDPI and/or the editor(s) disclaim responsibility for any injury to people or property resulting from any ideas, methods, instructions or products referred to in the content. |
© 2023 by the authors. Licensee MDPI, Basel, Switzerland. This article is an open access article distributed under the terms and conditions of the Creative Commons Attribution (CC BY) license (https://creativecommons.org/licenses/by/4.0/).
Share and Cite
Liu, C.; Ge, R.; Li, H.; Zhu, Z.; Xia, W.; Liu, H. Thoracolumbar/Lumbar Degenerative Kyphosis—The Importance of Thoracolumbar Junction in Sagittal Alignment and Balance. J. Pers. Med. 2024, 14, 36. https://doi.org/10.3390/jpm14010036
Liu C, Ge R, Li H, Zhu Z, Xia W, Liu H. Thoracolumbar/Lumbar Degenerative Kyphosis—The Importance of Thoracolumbar Junction in Sagittal Alignment and Balance. Journal of Personalized Medicine. 2024; 14(1):36. https://doi.org/10.3390/jpm14010036
Chicago/Turabian StyleLiu, Chenjun, Rile Ge, Haoyuan Li, Zhenqi Zhu, Weiwei Xia, and Haiying Liu. 2024. "Thoracolumbar/Lumbar Degenerative Kyphosis—The Importance of Thoracolumbar Junction in Sagittal Alignment and Balance" Journal of Personalized Medicine 14, no. 1: 36. https://doi.org/10.3390/jpm14010036
APA StyleLiu, C., Ge, R., Li, H., Zhu, Z., Xia, W., & Liu, H. (2024). Thoracolumbar/Lumbar Degenerative Kyphosis—The Importance of Thoracolumbar Junction in Sagittal Alignment and Balance. Journal of Personalized Medicine, 14(1), 36. https://doi.org/10.3390/jpm14010036
