Total Intravenous Anesthesia Protocol for Decreasing Unacceptable Movements during Cerebral Aneurysm Clipping with Motor-Evoked Potential Monitoring: A Historical Control Study and Meta-Analysis
Abstract
1. Introduction
2. Materials and Methods
2.1. Study Population and Data Acquisition
2.2. Anesthesia Protocol
2.3. MEP Monitoring and Evaluation
2.4. Meta-Analysis
2.5. Statistical Analysis
3. Results
3.1. Intraoperative and Postoperative Data of Enrolled Patients
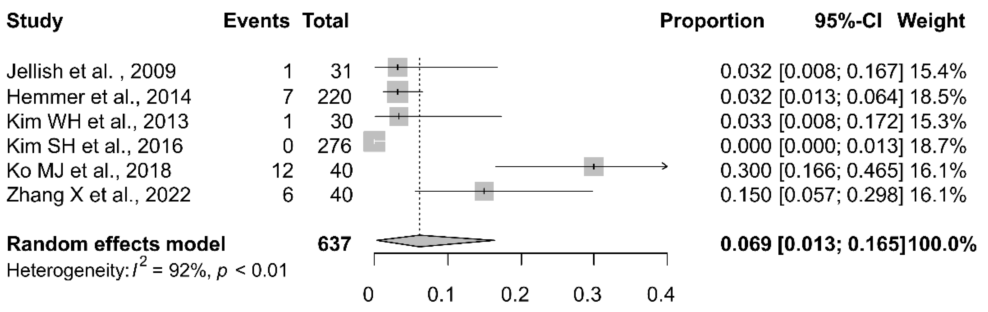
3.2. Meta-Analysis of the Effect of TIVA on Spontaneous Movement and Respiration during Neurosurgery
4. Discussion
5. Conclusions
Author Contributions
Funding
Institutional Review Board Statement
Informed Consent Statement
Data Availability Statement
Conflicts of Interest
References
- Asimakidou, E.; Abut, P.A.; Raabe, A.; Seidel, K. Motor Evoked Potential Warning Criteria in Supratentorial Surgery: A Scoping Review. Cancers 2021, 13, 2803. [Google Scholar] [CrossRef]
- Wilent, W.B.; Tesdahl, E.A.; Harrop, J.S.; Welch, W.C.; Cannestra, A.F.; Poelstra, K.A.; Epplin-Zapf, T.; Stivali, T.; Cohen, J.; Sestokas, A.K. Utility of motor evoked potentials to diagnose and reduce lower extremity motor nerve root injuries during 4,386 extradural posterior lumbosacral spine procedures. Spine J. 2020, 20, 191–198. [Google Scholar] [CrossRef]
- Ito, A.; Sato, K.; Niizuma, K.; Endo, H.; Matsumoto, Y.; Tominaga, T. Intraoperative motor-evoked potential monitoring during coil embolization for anterior choroidal artery aneurysms. Neuroradiology 2022, 64, 1221–1229. [Google Scholar] [CrossRef]
- Guo, D.; Fan, X.; You, H.; Tao, X.; Qi, L.; Ling, M.; Li, Z.; Liu, J.; Qiao, H. Prediction of postoperative motor deficits using intraoperative motor-evoked potentials in middle cerebral artery aneurysm. Neurosurg. Rev. 2021, 44, 495–501. [Google Scholar] [CrossRef]
- Nakagawa, I.; Park, H.; Kotsugi, M.; Motoyama, Y.; Myochin, K.; Takeshima, Y.; Matsuda, R.; Nishimura, F.; Yamada, S.; Takatani, T.; et al. Diagnostic impact of monitoring transcranial motor-evoked potentials to prevent ischemic complications during endovascular treatment for intracranial aneurysms. Neurosurg. Rev. 2021, 44, 1493–1501. [Google Scholar] [CrossRef] [PubMed]
- Kameda, M.; Hishikawa, T.; Hiramatsu, M.; Yasuhara, T.; Kurozumi, K.; Date, I. Precise MEP monitoring with a reduced interval is safe and useful for detecting permissive duration for temporary clipping. Sci. Rep. 2020, 10, 3507. [Google Scholar] [CrossRef] [PubMed]
- Kawaguchi, M.; Iida, H.; Tanaka, S.; Fukuoka, N.; Hayashi, H.; Izumi, S.; Yoshitani, K.; Kakinohana, M.; MEP Monitoring Guideline Working Group of the Safety Committee of the Japanese Society of Anesthesiologists (JSA). A practical guide for anesthetic management during intraoperative motor evoked potential monitoring. J. Anesth. 2020, 34, 5–28. [Google Scholar] [CrossRef]
- Matsumoto, K.; Nakagawa, H.; Kitamura, A. Tongue laceration in a patient taking antiplatelet agents during transcranial motor-evoked potential monitoring: A case report. JA Clin. Rep. 2022, 8, 101. [Google Scholar] [CrossRef] [PubMed]
- Bedekar, U.; Monteiro, J. Boxer’s mouthguard to facilitate motor evoked potential monitoring during cervical intramedullary tumour excision: Protect and prevent rather than repair and repent! Airway 2022, 5, 130. [Google Scholar]
- Kim, W.H.; Lee, J.J.; Lee, S.M.; Park, M.N.; Park, S.K.; Seo, D.W.; Chung, I.S. Comparison of motor-evoked potentials monitoring in response to transcranial electrical stimulation in subjects undergoing neurosurgery with partial vs no neuromuscular block. Br. J. Anaesth. 2013, 110, 567–576. [Google Scholar] [CrossRef] [PubMed]
- Venkatraghavan, L.; Royan, N.; Boyle, S.L.; Dinsmore, M.; Lu, N.; Cushman, K.; Massicotte, E.M.; Prabhu, A. Effect of reversal of residual neuromuscular blockade on the amplitude of motor evoked potentials: A randomized controlled crossover study comparing sugammadex and placebo. Neurol. Sci. 2022, 43, 615–623. [Google Scholar] [CrossRef]
- Hemmer, L.B.; Zeeni, C.; Bebawy, J.F.; Bendok, B.R.; Cotton, M.A.; Shah, N.B.; Gupta, D.K.; Koht, A. The incidence of unacceptable movement with motor evoked potentials during craniotomy for aneurysm clipping. World Neurosurg. 2014, 81, 99–104. [Google Scholar] [CrossRef]
- Jellish, W.S.; Leonetti, J.P.; Buoy, C.M.; Sincacore, J.M.; Sawicki, K.J.; Macken, M.P. Facial nerve electromyographic monitoring to predict movement in patients titrated to a standard anesthetic depth. Anesth. Analg. 2009, 109, 551–558. [Google Scholar] [CrossRef]
- Nimmo, A.F.; Absalom, A.R.; Bagshaw, O.; Biswas, A.; Cook, T.M.; Costello, A.; Grimes, S.; Mulvey, D.; Shinde, S.; Whitehouse, T.; et al. Guidelines for the safe practice of total intravenous anaesthesia (TIVA): Joint Guidelines from the Association of Anaesthetists and the Society for Intravenous Anaesthesia. Anaesthesia 2019, 74, 211–224. [Google Scholar] [CrossRef] [PubMed]
- Kawaguchi, M.; Sakamoto, T.; Inoue, S.; Kakimoto, M.; Furuya, H.; Morimoto, T.; Sakaki, T. Low dose propofol as a supplement to ketamine-based anesthesia during intraoperative monitoring of motor-evoked potentials. Spine 2000, 25, 974–979. [Google Scholar] [CrossRef] [PubMed]
- Scheufler, K.M.; Zentner, J. Total intravenous anesthesia for intraoperative monitoring of the motor pathways: An integral view combining clinical and experimental data. J. Neurosurg. 2002, 96, 571–579. [Google Scholar] [CrossRef]
- Kim, S.H.; Jin, S.J.; Karm, M.H.; Moon, Y.J.; Jeong, H.W.; Kim, J.W.; Ha, S.I.; Kim, J.U. Comparison of false-negative/positive results of intraoperative evoked potential monitoring between no and partial neuromuscular blockade in patients receiving propofol/remifentanil-based anesthesia during cerebral aneurysm clipping surgery: A retrospective analysis of 685 patients. Medicine 2016, 95, e4725. [Google Scholar] [PubMed]
- Borenstein, M.; Higgins, J.P.T. Meta-Analysis and Subgroups. Prev. Sci. 2013, 14, 134–143. [Google Scholar] [CrossRef]
- Ko, M.J.; Oh, B.; Jung, J.W.; Oh, D.S.; Jin, S.C.; Kang, E.; Kim, Y.H.; Kim, S.H.; Kim, H. Comparing the effect between continuous infusion and intermittent bolus of rocuronium for intraoperative neurophysiologic monitoring of neurointervention under general anesthesia. Medicine 2018, 97, e13816. [Google Scholar] [CrossRef]
- Zhang, X.; Hu, H.; Yan, R.; Li, T.; Wang, W.; Yang, W. Effects of rocuronium dosage on intraoperative neurophysiological monitoring in patients undergoing spinal surgery. J. Clin. Pharm. Ther. 2022, 47, 313–320. [Google Scholar] [CrossRef]
- Maurtua, M.A.; Deogaonkar, A.; Bakri, M.H.; Mascha, E.; Na, J.; Foss, J.; Sessler, D.I.; Lotto, M.; Ebrahim, Z.; Schubert, A. Dosing of remifentanil to prevent movement during craniotomy in the absence of neuromuscular blockade. J. Neurosurg. Anesthesiol. 2008, 20, 221–225. [Google Scholar] [CrossRef]
- Boezaart, A.P.; Berry, R.A.; Nell, M.L.; van Dyk, A.L. A comparison of propofol and remifentanil for sedation and limitation of movement during periretrobulbar block. J. Clin. Anesth. 2001, 13, 422–426. [Google Scholar] [CrossRef] [PubMed]
- Lang, E.; Kapila, A.; Shlugman, D.; Hoke, J.F.; Sebel, P.S.; Glass, P.S. Reduction of isoflurane minimal alveolar concentration by remifentanil. Anesthesiology 1996, 85, 721–728. [Google Scholar] [CrossRef] [PubMed]
- Buerkle, H.; Yaksh, T.L. Continuous intrathecal administration of shortlasting mu opioids remifentanil and alfentanil in the rat. Anesthesiology 1996, 84, 926–935. [Google Scholar] [CrossRef]
- Nishimoto, K.; Sakamoto, S.; Mikami, M.; Hirota, K.; Shingu, K. Accidental administration of the remifentanil formulation Ultiva into the epidural space and the complete time course of its consequences: A case report. JA Clin. Rep. 2016, 2, 19. [Google Scholar] [CrossRef]
- Xu, X.; She, S.; Yao, S.; Mok, M.; Zuo, Z. Respiratory depression and difficult ventilation after inadvertent epidural administration of remifentanil. Anesth. Analg. 2007, 104, 1004. [Google Scholar] [CrossRef] [PubMed]
- Zhang, Y.; Laster, M.J.; Hara, K.; Harris, R.A.; Eger, E.I., 2nd; Stabernack, C.R.; Sonner, J.M. Glycine receptors mediate part of the immobility produced by inhaled anesthetics. Anesth. Analg. 2003, 96, 97–101. [Google Scholar] [CrossRef]
- D’Souza, D.C.; Gil, R.; Cassello, K.; Morrissey, K.; Abi-Saab, D.; White, J.; Sturwold, R.; Bennett, A.; Karper, L.P.; Zuzarte, E.; et al. IV glycine and oral D-cycloserine effects on plasma and CSF amino acids in healthy humans. Biol. Psychiatry 2000, 47, 450–462. [Google Scholar] [CrossRef]
- Bonnet, M.P.; Minville, V.; Asehnoune, K.; Bridoux, D.; Poggi-Bach, J.; Duranteau, J.; Benhamou, D. Glycine and ammonia plasma concentrations during sedation with remifentanil in critically ill patients. Intensive Care Med. 2007, 33, 1179–1182. [Google Scholar] [CrossRef]
- Zhang, Y.; Sonner, J.M.; Eger, E.I.; 2nd Stabernack, C.R.; Laster, M.J.; Raines, D.E.; Harris, R.A. Gamma-aminobutyric acidA receptors do not mediate the immobility produced by isoflurane. Anesth. Analg. 2004, 99, 85–90. [Google Scholar] [CrossRef]
- Sumie, M.; Shiokawa, H.; Yamaura, K.; Karashima, Y.; Hoka, S.; Yoshimura, M. Direct Effect of Remifentanil and Glycine Contained in Ultiva(R) on Nociceptive Transmission in the Spinal Cord: In Vivo and Slice Patch Clamp Analyses. PLoS ONE 2016, 11, e0147339. [Google Scholar] [CrossRef] [PubMed][Green Version]
- Kawai, N.; Bannai, M.; Seki, S.; Koizumi, T.; Shinkai, K.; Nagao, K.; Matsuzawa, D.; Takahashi, M.; Shimizu, E. Pharmacokinetics and cerebral distribution of glycine administered to rats. Amino Acids 2012, 42, 2129–2137. [Google Scholar] [CrossRef] [PubMed]
- Velayutham, P.; Cherian, V.T.; Rajshekhar, V.; Babu, K.S. The effects of propofol and isoflurane on intraoperative motor evoked potentials during spinal cord tumour removal surgery—A prospective randomised trial. Indian J. Anaesth. 2019, 63, 92–99. [Google Scholar] [CrossRef]
- Deguchi, H.; Furutani, K.; Mitsuma, Y.; Kamiya, Y.; Baba, H. Propofol reduces the amplitude of transcranial electrical motor-evoked potential without affecting spinal motor neurons: A prospective, single-arm, interventional study. J. Anesth. 2021, 35, 434–441. [Google Scholar] [CrossRef] [PubMed]
- Yoshida, G.; Imagama, S.; Kawabata, S.; Yamada, K.; Kanchiku, T.; Fujiwara, Y.; Tadokoro, N.; Takahashi, M.; Wada, K.; Yamamoto, N.; et al. Adverse Events Related to Transcranial Electric Stimulation for Motor-evoked Potential Monitoring in High-risk Spinal Surgery. Spine 2019, 44, 1435–1440. [Google Scholar] [CrossRef]
- Sridharan, K.; Sivaramakrishnan, G. Comparison of Fentanyl, Remifentanil, Sufentanil and Alfentanil in Combination with Propofol for General Anesthesia: A Systematic Review and Meta-analysis of Randomized Controlled Trials. Curr. Clin. Pharmacol. 2019, 14, 116–124. [Google Scholar] [CrossRef]



| Variables | Value |
|---|---|
| Baseline characteristics | |
| Male | 126 (30.1) |
| Female | 293 (69.9) |
| Age (years) | 59.7 ± 9.3 |
| Weight (kg) | 63.6 ± 10.4 |
| Hypertension | 218 (52.0) |
| Diabetes mellitus | 46 (11.0) |
| Intraoperative data | |
| Propofol infusion rate (mcg/kg/min) | 82.0 ± 15.4 |
| Remifentanil infusion rate (mcg/kg/min) | 0.34 ± 0.07 |
| Operation time † (min) | 183.3 ± 52.0 |
| Anesthesia time (min) | 267.8 ± 61.1 |
| Crystalloids infused (mL) | 1697.2 ± 502.4 |
| Urine output (mL) | 836.5 ± 496.3 |
| Estimated blood loss (mL) | 190.2 ± 127.7 |
| Phenylephrine administration | 391 (93.3) |
| Atropine administration | 130 (31.0) |
| MEP stimulus intensity (V) | 267.5 ± 53.7 |
| Spontaneous movement | 1 (0.2) |
| Spontaneous respiration | 1 (0.2) |
| Location of Aneurysm | Location of MEP Change | Reversibility of MEP Change | Probable Reasons for MEP Change | Postoperative Neurologic Deficit | Remarks |
|---|---|---|---|---|---|
| Patients with MEP changes | |||||
| Rt PCoA | Lt APB, TA, AH | Reversible | Temporary compression due to retraction | Third CN palsy | MEP recovered after decompression |
| Rt PCoA | Lt APB | Reversible | Aneurysm rupture | None | MEP recovered after hemodynamic stabilization |
| ACoA | APB | Reversible | Permanent clipping | None | MEP recovered after clip repositioning |
| Rt MCA | Lt TA | Reversible | Permanent clipping | None | MEP recovered after clip repositioning |
| Rt PCoA | Both TA | Irreversible | NMB | None | |
| Lt A1, MCA | Rt TA | Irreversible | Permanent clipping | None | |
| Rt MCA | All | Irreversible | NMB | None | Non-compliance with the anesthesia protocol |
| Patients with postoperative neurologic changes | |||||
| ACoA | None | Stupor | Postoperative SDH | ||
| ACoA | None | Coma | Intraoperative ICH | ||
| Patients with perforating artery injury | |||||
| ACoA | None | Confusion | Postop ACA infarction | ||
| Lt PCoA | None | Rt hemiparesis | Postop MCA infarction | ||
| Lt MCA | None | Rt hemiparesis | Lt BG infarction | ||
| Study Details | Study Design | Surgery Type | Anesthesia Protocols | Additional NMB † | Spontaneous Movement | Spontaneous Respiration |
|---|---|---|---|---|---|---|
| Jellish et al. (2009) [13] | Randomized controlled trial | Craniofacial and skull-based surgeries | Propofol (100–200 mcg/kg/min) + Remifentanil (0.25–0.5 mcg/kg/min) | No | 1/31 (3.2) | Not evaluated |
| Hemmer et al. (2014) [12] | Retrospective study | Craniotomy for cerebral aneurysm clipping | Desflurane (≤0.5 MAC) + Remifentanil (≤0.1 mcg/kg/min) + Propofol (0–150 mcg/kg/min) | No | 7/220 (3.2) | Not evaluated |
| Kim et al. (2013) [10] | Randomized controlled trial | Cerebral aneurysm clipping, brain tumor resection, spinal laminectomy | Propofol (3–6 mcg/mL) + Remifentanil (2–5 ng/mL) | No | 1/30 (3.3) | 1/30 (3.3) |
| Kim et al. (2016) [17] | Retrospective study | Cerebral aneurysm clipping | Propofol (3 mcg/mL) + Remifentanil (10–15 ng/mL) | No | 0/276 (0) | 0/276 (0) |
| Ko et al. (2018) | Randomized controlled trial | Cerebral aneurysm coil embolization or stent insertion | Propofol (2–5 mcg/mL) + Remifentanil (2–4 ng/mL) | 0.1 mg/kg to manage any involuntary movement or at the request of the surgeon | 12/40 (30.0) | 6/40 (15.0) |
| Zhang et al. (2022) | Randomized controlled trial | Spinal surgery | Propofol (100–150 mcg/kg/min) + Remifentanil (0.1–0.3 mcg/kg/min) | 6.0 mcg/kg/min continuously infused | 6/40 (15.0) | 1/40 (2.5) |
Disclaimer/Publisher’s Note: The statements, opinions and data contained in all publications are solely those of the individual author(s) and contributor(s) and not of MDPI and/or the editor(s). MDPI and/or the editor(s) disclaim responsibility for any injury to people or property resulting from any ideas, methods, instructions or products referred to in the content. |
© 2023 by the authors. Licensee MDPI, Basel, Switzerland. This article is an open access article distributed under the terms and conditions of the Creative Commons Attribution (CC BY) license (https://creativecommons.org/licenses/by/4.0/).
Share and Cite
Park, Y.-S.; Koo, Y.-S.; Ha, S.; Lee, S.; Sim, J.-H.; Kim, J.U. Total Intravenous Anesthesia Protocol for Decreasing Unacceptable Movements during Cerebral Aneurysm Clipping with Motor-Evoked Potential Monitoring: A Historical Control Study and Meta-Analysis. J. Pers. Med. 2023, 13, 1266. https://doi.org/10.3390/jpm13081266
Park Y-S, Koo Y-S, Ha S, Lee S, Sim J-H, Kim JU. Total Intravenous Anesthesia Protocol for Decreasing Unacceptable Movements during Cerebral Aneurysm Clipping with Motor-Evoked Potential Monitoring: A Historical Control Study and Meta-Analysis. Journal of Personalized Medicine. 2023; 13(8):1266. https://doi.org/10.3390/jpm13081266
Chicago/Turabian StylePark, Yong-Seok, Yong-Seo Koo, Seungil Ha, Sangho Lee, Ji-Hoon Sim, and Joung Uk Kim. 2023. "Total Intravenous Anesthesia Protocol for Decreasing Unacceptable Movements during Cerebral Aneurysm Clipping with Motor-Evoked Potential Monitoring: A Historical Control Study and Meta-Analysis" Journal of Personalized Medicine 13, no. 8: 1266. https://doi.org/10.3390/jpm13081266
APA StylePark, Y.-S., Koo, Y.-S., Ha, S., Lee, S., Sim, J.-H., & Kim, J. U. (2023). Total Intravenous Anesthesia Protocol for Decreasing Unacceptable Movements during Cerebral Aneurysm Clipping with Motor-Evoked Potential Monitoring: A Historical Control Study and Meta-Analysis. Journal of Personalized Medicine, 13(8), 1266. https://doi.org/10.3390/jpm13081266

