Risk Factors of Suboptimal Coronary Blood Flow after a Percutaneous Coronary Intervention in Patients with Acute Anterior Wall Myocardial Infarction
Abstract
1. Introduction
2. Materials and Methods
2.1. Study Population
2.2. Study Protocol
2.3. Data Acquisition
2.4. Study Endpoints
2.5. Pharmacological Treatment for Abnormal TIMI Flow Grade after PCI
2.6. Statistical Analysis
3. Results
3.1. Clinical Characteristics
3.2. Angiographic Data and Primary PCI Procedure
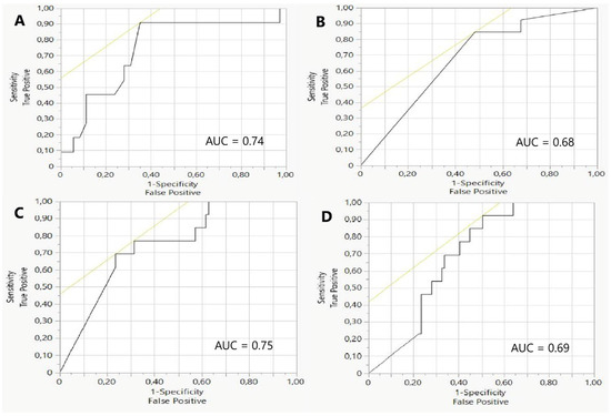
3.3. Risk Factors of Suboptimal Flow after PCI
4. Discussion
Study Limitations
5. Conclusions
Author Contributions
Funding
Institutional Review Board Statement
Informed Consent Statement
Data Availability Statement
Conflicts of Interest
References
- Guerchicoff, A.; Brener, S.J.; Maehara, A.; Witzenbichler, B.; Fahy, M.; Xu, K.; Gersh, B.J.; Mehran, R.; Gibson, C.M.; Stone, G.W. Impact of delay to reperfusion on reperfusion success, infarct size, and clinical outcomes in patients with ST-segment elevation myocardial infarction: The INFUSE-AMI Trial (INFUSE-Anterior Myocardial Infarction). JACC Cardiovasc. Interv. 2014, 7, 733–740. [Google Scholar] [CrossRef] [PubMed]
- Keeley, E.C.; Boura, J.A.; Grines, C.L. Primary angioplasty versus intravenous thrombolytic therapy for acute myocardial infarction: A quantitative review of 23 randomised trials. Lancet 2003, 361, 13–20. [Google Scholar] [CrossRef] [PubMed]
- Pravda, N.S.; Cohen, T.; Klempfner, R.; Kornowski, R.; Beigel, R.; Orvin, K.; Abitbol, M.; Pravda, M.S.; Dobrecky-Mery, I.; Rubinshtein, R.; et al. Temporal trends in the pre-procedural TIMI flow grade among patients with ST-segment elevation myocardial infarction—From the ACSIS registry. IJC Heart Vasc. 2021, 36, 100868. [Google Scholar] [CrossRef]
- Dalen, J.E.; Gore, J.M.; Braunwald, E.; Borer, J.; Goldberg, R.J.; Passamani, E.R.; Forman, S.; Knatterud, G.; The TIMI Investigators. Six- and twelve-month follow-up of the phase I Thrombolysis in Myocardial Infarction (TIMI) trial. Am. J. Cardiol. 1988, 62, 179–185. [Google Scholar] [CrossRef] [PubMed]
- Elakabawi, K.; Huang, X.; Shah, S.A.; Ullah, H.; Mintz, G.S.; Yuan, Z.; Guo, N. Predictors of suboptimal coronary blood flow after primary angioplasty and its implications on short-term outcomes in patients with acute anterior STEMI. BMC Cardiovasc. Disord. 2020, 20, 391. [Google Scholar] [CrossRef] [PubMed]
- Barauskas, M.; Unikas, R.; Tamulenaite, E.; Unikaite, R. The impact of clinical and angiographic factors on percutaneous coronary angioplasty outcomes in patients with acute ST-elevation myocardial infarction. Arch. Med. Sci. Atheroscler. Dis. 2016, 1, 150–157. [Google Scholar] [CrossRef] [PubMed]
- A Cura, F.; L’allier, P.L.; Kapadia, S.R.; Houghtaling, P.L.; Dipaola, L.M.; Ellis, S.G.; Topol, E.; Brener, S.J. Predictors and prognosis of suboptimal coronary blood flow after primary coronary angioplasty in patients with acute myocardial infarction. Am. J. Cardiol. 2001, 88, 124–128. [Google Scholar] [CrossRef]
- Mehta, R.H.; Harjai, K.J.; Cox, D.; Stone, G.W.; Brodie, B.; Boura, J.; O’Neill, W.; Grines, C.L. Clinical and Angiographic Correlates and Outcomes of Suboptimal Coronary Flow in Patients with Acute Myocardial Infarction Undergoing Primary Percutaneous Coronary Intervention. J. Am. Coll. Cardiol. 2003, 42, 1739–1746. [Google Scholar] [CrossRef]
- Shiraishi, J.; Kohno, Y.; Sawada, T.; Takeda, M.; Arihara, M.; Hyogo, M.; Shima, T.; Okada, T.; Nakamura, T.; Matoba, S.; et al. Predictors of nonoptimal coronary flow after primary percutaneous coronary intervention with stent implantation for acute myocardial infarction. J. Cardiol. 2010, 55, 217–223. [Google Scholar] [CrossRef]
- Abbate, A.; Kontos, M.C.; Biondi-Zoccai, G.G.L. No-reflow: The next challenge in treatment of ST-elevation acute myocardial infarction. Eur. Heart J. 2008, 29, 1795–1797. [Google Scholar] [CrossRef]
- Bansal, K.; Gore, M.; Nalabothu, P. Anterior Myocardial Infarction; StatPearls Publishing: Treasure Island, FL, USA, 2022. [Google Scholar]
- Newman, J.D.; Shimbo, D.; Baggett, C.; Liu, X.; Crow, R.; Abraham, J.M.; Loehr, L.R.; Wruck, L.M.; Folsom, A.R.; Rosamond, W.D. Trends in myocardial infarction rates and case fatality by anatomical location in four united states communities, 1987 to 2008 (from the atherosclerosis risk in communities study). Am. J. Cardiol. 2013, 112, 1714–1719. [Google Scholar] [CrossRef] [PubMed]
- Caixeta, A.; Lansky, A.J.; Mehran, R.; Brener, S.J.; Claessen, B.; Généreux, P.; Palmerini, T.; Witzenbichler, B.; Guagliumi, G.; Brodie, B.R.; et al. Predictors of suboptimal TIMI flow after primary angioplasty for acute myocardial infarction: Results from the HORIZONS-AMI trial. EuroIntervention 2013, 9, 220–227. [Google Scholar] [CrossRef] [PubMed]
- Kennedy, H.L.; Goldberg, R.J.; Szklo, M.; Tonascia, J.A. The prognosis of anterior myocardial infarction revisited: A community-wide study. Clin. Cardiol. 1979, 2, 455–460. [Google Scholar] [CrossRef] [PubMed]
- Ibanez, B.; James, S.; Agewall, S.; Antunes, M.J.; Bucciarelli-Ducci, C.; Bueno, H.; Caforio, A.L.P.; Crea, F.; Goudevenos, J.A.; Halvorsen, S.; et al. 2017 ESC Guidelines for the management of acute myocardial infarction in patients presenting with ST-segment elevation. Eur. Heart J. 2018, 39, 119–177. [Google Scholar] [CrossRef] [PubMed]
- Neumann, F.J.; Sousa-Uva, M.; Ahlsson, A.; Alfonso, F.; Banning, A.P.; Benedetto, U.; Byrne, R.A.; Collet, J.-P.; Falk, V.; Head, S.J.; et al. 2018 ESC/EACTS Guidelines on myocardial revascularization. Kardiol. Pol. 2018, 76, 1585–1664. [Google Scholar] [CrossRef]
- Lang, R.M.; Badano, L.P.; Mor-Avi, V.; Afilalo, J.; Armstrong, A.; Ernande, L.; Flachskampf, F.A.; Foster, E.; Goldstein, S.A.; Kuznetsova, T.; et al. Recommendations for cardiac chamber quantification by echocardiography in adults: An update from the American Society of Echocardiography and the European Association of Cardiovascular Imaging. J. Am. Soc. Echocardiogr. 2015, 28, 1–39.e14. [Google Scholar] [CrossRef]
- McDonagh, T.A.; Metra, M.; Adamo, M.; Gardner, R.S.; Baumbach, A.; Böhm, M.; Burri, H.; Butler, J.; Čelutkienė, J.; Chioncel, O.; et al. 2021 ESC Guidelines for the diagnosis and treatment of acute and chronic heart failure. Eur. Heart J. 2021, 42, 3599–3726. [Google Scholar] [CrossRef]
- Stevens, P.E. Evaluation and Management of Chronic Kidney Disease: Synopsis of the Kidney Disease: Improving Global Outcomes 2012 Clinical Practice Guideline. Ann. Intern. Med. 2013, 158, 825. [Google Scholar] [CrossRef]
- Vogt, A.; von Essen, R.; Tebbe, U.; Feuerer, W.; Appel, K.F.; Neuhaus, K.L. Impact of early perfusion status of the infarct-related artery on short-term mortality after thrombolysis for acute myocardial infarction: Retrospective analysis of four German multicenter studies. J. Am. Coll. Cardiol. 1993, 21, 1391–1395. [Google Scholar] [CrossRef][Green Version]
- Giannitsis, E.; Müller-Bardorff, M.; Lehrke, S.; Wiegand, U.; Tölg, R.; Weidtmann, B.; Hartmann, F.; Richardt, G.; Katus, H.A. Admission Troponin T Level Predicts Clinical Outcomes, TIMI Flow, and Myocardial Tissue Perfusion After Primary Percutaneous Intervention for Acute ST-Segment Elevation Myocardial Infarction. Circulation 2001, 104, 630–635. [Google Scholar] [CrossRef]
- Shaaban, R.; el Etriby, A.; Kamal, D.; Mostafa, A.E. Prognostic impact of pre-interventional culprit artery thrombolysis in myocardial infarction (TIMI) flow in patients with ST-segment elevation myocardial infarction treated by primary percutaneous coronary intervention. Egypt. Heart J. 2022, 74, 52. [Google Scholar] [CrossRef] [PubMed]
- Uyarel, H.; Ayhan, E.; Cicek, G.; Isik, T.; Ugur, M.; Bozbay, M.; Yildirim, E.; Ergelen, M.; Eren, M. Suboptimal coronary blood flow after primary percutaneous coronary intervention for acute myocardial infarction: Incidence, a simple risk score, and prognosis. Coron. Artery Dis. 2012, 23, 98–104. [Google Scholar] [CrossRef] [PubMed]
- Chen, Y.; Gao, Y.-F.; Wang, Y.-F.; Wang, C.-J.; Du, Y.; Ding, Y.-H. Influence of Stent Length on Periprocedural Outcomes After Primary Percutaneous Coronary Intervention in Patients with ST Segment Elevation Myocardial Infarction. Clin. Interv. Aging 2022, 17, 1687–1695. [Google Scholar] [CrossRef] [PubMed]
- Tummala, R.; Rai, M.P. Glycoprotein IIb/IIIa Inhibitors; StatPearls Publishing: Treasure Island, FL, USA, 2022. [Google Scholar]
- Karathanos, A.; Lin, Y.; Dannenberg, L.; Parco, C.; Schulze, V.; Brockmeyer, M.; Jung, C.; Heinen, Y.; Perings, S.; Zeymer, U.; et al. Routine Glycoprotein IIb/IIIa Inhibitor Therapy in ST-Segment Elevation Myocardial Infarction: A Meta-analysis. Can. J. Cardiol. 2019, 35, 1576–1588. [Google Scholar] [CrossRef]
- Cantor, W.J.; Madan, M.; O’Shea, J.C.; Chisholm, R.J.; Lui, H.K.; Cohen, D.J.; Feldman, R.L.; Green, R.; Hellkamp, A.S.; Kitt, M.M.; et al. Bailout use of platelet glycoprotein IIb-IIIa inhibition during coronary stent implantation: Observations from the ESPRIT trial. J. Invasive Cardiol. 2005, 17, 360–364. [Google Scholar]
- Caracciolo, A.; Scalise, R.F.M.; Ceresa, F.; Bagnato, G.; Versace, A.G.; Licordari, R.; Perfetti, S.; Lofrumento, F.; Irrera, N.; Santoro, D.; et al. Optimizing the Outcomes of Percutaneous Coronary Intervention in Patients with Chronic Kidney Disease. J. Clin. Med. 2022, 11, 2380. [Google Scholar] [CrossRef]

| Total n = 107 | TIMI Grade 3 after PCI n = 93 | TIMI Grade Other Than 3 after PCI n = 14 | p-Value | ||
|---|---|---|---|---|---|
| Age, years | 64.32 ± 14.05 | 64.11 ± 14.49 | 65.71 ± 11.01 | 0.69 | |
| Gender, male | 80 (74.77) | 69 (74.19) | 11 (78.57) | 0.73 | |
| BMI, kg/m2 | 26.49 (24.45; 29.47) | 26.65 (24.31; 29.41) | 26.08 (24.54; 30.2) | 0.97 | |
| Diagnosis | Anterior wall STEMI | 101 (94) | 88 (95) | 13 (93) | 0.22 |
| Anterior wall NSTEMI | 4 (0.04) | 3 (0.03) | 1 (0.07) | ||
| Not-classified | 2 (0.02) | 2 (0.02) | 0 (0) | ||
| Hearth failure | 50 (46.73) | 45 (48.39) | 5 (35.71) | 0.41 | |
| Diabetes mellitus | 26 (24.3) | 23 (24.73) | 3 (21.43) | 1 | |
| Hypertension | 70 (65.42) | 62 (66.67) | 8 (57.14) | 0.55 | |
| Kidney failure | 10 (9.35) | 10 (10.75) | 0 (0) | 0.35 | |
| COPD | 6 (5.61) | 5 (5.38) | 1 (7.14) | 0.58 | |
| Atrial fibrillation | 15 (14.02) | 11 (11.83) | 4 (28.57) | 0.11 | |
| Lipid disorders | 53 (49.53) | 47 (50.54) | 6 (42.86) | 0.78 | |
| Obesity | 18 (21.18) | 16 (21.92) | 2 (16.67) | 1 | |
| Smoking | 31 (28.97) | 27 (29.03) | 4 (28.57) | 1 | |
| PAOD | 4 (3.74) | 4 (4.3) | 0 (0) | 1 | |
| Previous CABG | 1 (0.93) | 1 (1.08) | 0 (0) | 1 | |
| Previous MI | 14 (13.08) | 14 (15.05) | 0 (0) | 0.21 | |
| Previous PCI | 13 (12.15) | 13 (13.98) | 0 (0) | 0.21 | |
| Positive family history | 2 (1.87) | 2 (2.15) | 0 (0) | 1 | |
| Length of hospitalization, days | 8 (6; 10) | 7.00 (5; 10) | 10.5 (7.5; 15) | 0.99 | |
| Maximal diastolic pressure, mmHg | 80 (70; 90) | 80 (70; 90) | 80 (70; 100) | 0.03 | |
| Maximal systolic pressure, mmHg | 136.22 ± 25.21 | 137.04 ± 25.08 | 130.91 ± 26.64 | 0.46 | |
| Minimal diastolic pressure, mmHg | 64.5 (58; 72) | 65 (58; 72) | 62 (60; 67) | 0.91 | |
| Minimal systolic pressure, mmHg | 107 (94; 119) | 108 (96; 120) | 96 (90; 100) | 0.83 | |
| Respirator | 10 (9.35) | 9 (9.68) | 1 (7.14) | 1 | |
| Second anti-platelet drug | 101 (96.19) | 89 (97.8) | 12 (85.71) | 0.09 | |
| Statin | 103 (98.1) | 90 (98.9) | 13 (92.86) | 0.25 | |
| Acetyl-salicylic acid | 104 (99,05) | 91 (100) | 13 (92.86) | 0.13 | |
| Cardiac arrest | 18 (16.82) | 16 (17.2) | 2 (14.29) | 1 | |
| Time from onset of pain, min. | 175 (110; 332.5) | 185 (112.5; 332.5) | 97.5 (63.5; 410.5) | 0.64 | |
| Electrode for temporary pacing | 1 (0.93) | 1 (1.08) | 0 (0) | 1 | |
| Total n = 107 | TIMI 3 after PCI n = 93 | TIMI Grade after PCI Other Than 3 n = 14 | p-Value | ||
|---|---|---|---|---|---|
| Coronary arteries angiography | 106 (100) | 93 (100) | 13 (100) | 0.07 | |
| Radial approach | 94 (88.6) | 81 (87.1) | 13 (100) | 0.35 | |
| Femoral approach | 12 (11.32) | 12 (12.9) | 0 | 0.35 | |
| Infarct-related artery | LAD | 104 (97.2) | 90 (96.77) | 14 (100) | 1 |
| Cx | 8 (7.48) | 7 (7.53) | 1 (7.14) | 1 | |
| RCA | 3 (2.8) | 2 (2.15) | 1 (7.14) | 0.35 | |
| SvG Ao | 1 (0.93) | 1 (1.08) | 0 (0) | 1 | |
| TIMI grade flow before PCI | 0 | 0.5 | 0 | 0.0002 | |
| (0; 3) | (0; 3) | (0; 0) | |||
| PCI | 107 (100) | 93 (100) | 13 (92.86) | 0.13 | |
| CABG | 1 (0.93) | 0 (0) | 1 (7.14) | 0.13 | |
| Stent | 99 (92.52) | 86 (92.47) | 13 (92.86) | 1 | |
| Number of stents | 1 | 1 | 1 | 0.59 | |
| (1; 1) | (1; 1) | (1; 1.25) | |||
| Number of stents | 1 stent | 74 (69.16) | 64 (68.82) | 10 (71.43) | 1 |
| 2 stents | 23 (21.5) | 20 (21.51) | 3 (21.43) | 1 | |
| 3 stents | 2 (1.87) | 2 (2.15) | 0 (0) | 1 | |
| Total stent length, mm | 25 | 24 | 28 | 0.02 | |
| (18; 34.5) | (16; 36) | (23.5; 33) | |||
| Post-dilation, atm | 18 | 19 | 18 | 0.4 | |
| (16; 22) | (16.5; 22) | (16; 20) | |||
| Balloon/stent ratio | 1.1 | 1.09 | 1.17 | 0.24 | |
| (1; 1.17) | (1; 1.17) | (1.14; 1.2) | |||
| No-reflow | 3 (2.83) | 0 (0) | 3 (23.08) | 0.002 | |
| Glicoprotein IIb/IIIa inhibitors | 53 (49.53) | 44 (47.31) | 9 (64.29) | 0.27 | |
| Thrombectomy | 39 (36.79) | 32 (34.41) | 7 (53.85) | 0.22 | |
| Contrast amount, ml | 200 | 200 | 200 | 0.8 | |
| (150; 250) | (150; 250) | (145; 212.5) | |||
| Radiation dose, Gy | 0.35 | 0.38 | 0.31 | 0.7 | |
| (0.23; 0.65) | (0.23; 0.66) | (0.15; 0.67) | |||
| Procedure time, min | 68.05 ± 31.98 | 69.58 ± 32.55 | 57.08 ± 26.03 | 0.19 | |
| ST resolution after primary percutaneous coronary intervention | 49 (48.04) | 45 (50.56) | 4 (30.77) | 0.24 | |
| Puncture-site-related local complications | 4 (3.77) | 4 (4.35) | 0 (0) | 1 | |
| Transfusion | 6 (5.66) | 6 (6.52) | 0 (0) | 1 | |
| Dominant artery | RCA | 93 (93.94) | 81 (94.19) | 12 (92.31) | 0.58 |
| Other arteries | 6 (6.06) | 5 (5.81) | 1 (7.69) | 0.79 | |
| Qualification for the next stage of revascularisation | 24 (22.43) | 20 (21.51) | 4 (28.57) | 0.51 | |
| Total n = 107 | TIMI 3 after PCI n = 93 | TIMI Grade after PCI Other Than 3 n = 14 | p-Value | |
|---|---|---|---|---|
| TnI 0, ng/L | 2609 | 1985.7 | 25,000 | 0.95 |
| (360.84; 25,000) | (315.98; 21,304.52) | (6224.99; 25,000) | ||
| TnI 1, ng/L | 9907 | 8513 | 23,287.6 | 0.38 |
| (2852.26; 25,000) | (2355.31; 23,646.45) | (7908.68; 25,000) | ||
| TnI 2, ng/L | 8335.2 | 6716 | 15,160 | 0.2 |
| (2228.59; 21,388.6) | (1781.09; 18,404.1) | (9248.57; 23,689.23) | ||
| TnI 3, ng/L | 3256.5 | 1946.8 | 8222.4 | 0.89 |
| (909.83; 11,701.49) | (856.14; 10,895.91) | (3567.97; 19,072.32) | ||
| CPK max, U/L | 482 | 432 | 1467.5 | 0.21 |
| (166.5; 1432.5) | (164; 1157) | (685; 2660.5) | ||
| CK-MB max, U/L | 109.5 | 88 | 222 | 0.59 |
| (41.5; 222.5) | (36; 192) | (61; 312) | ||
| Creatinine max, μmol/L | 92.2 | 90.95 | 109 | 0.21 |
| (78.2; 112.5) | (77.65; 110.25) | (84.05; 121.75) | ||
| GFR min, ml/min/1.73 m2 | 75 | 77 | 59.50 | 0.22 |
| (58; 88) | (59.75; 89) | (53.75; 78.75) | ||
| HB min, g/dL | 13.4 | 13.4 | 13.05 | 0.35 |
| (11.73; 14.78) | (11.95; 15.03) | (11.33; 14.03) | ||
| HT min, % | 38.90 | 38.90 | 38.35 | 0.29 |
| (34.83; 42.38) | (34.98; 42.43) | (32.70; 40.65) | ||
| RBC min [×106] | 4.41 | 4.44 | 4.11 | 0.56 |
| (3.88; 4.81) | (3.90; 4.86) | (3.76; 4.51) | ||
| EF min, % | 36.40 ± 10.31 | 36.81 ± 10.04 | 33.86 ± 12.01 | 0.32 |
| EF max, % | 38.20 ± 11.11 | 38.83 ± 10.83 | 34.21 ± 12.43 | 0.15 |
| NT-proBNP max, pg/mL | 2407 | 2161 | 3558 | 0.41 |
| (889.75; 11,983.75) | (695.5; 11,776.5) | (1627.5; 14,685.5) | ||
| LVIDd, cm | 4.9 | 4.9 | 4.8 | 0.22 |
| (4.50; 5.25) | (4.58; 5.23) | (3.80; 5.5) | ||
| LVPWd, cm | 1 | 1 | 1 | 0.74 |
| (0.90; 1.05) | (0.9; 1) | (0.95; 1.2) | ||
| TAPSE, cm | 2.2 | 2.2 | 2.15 | 0.72 |
| (2.1; 2.4) | (2.1; 2.4) | (1.78; 2.45) |
| OR | 95% CI | p-Value | |
|---|---|---|---|
| Minimal systolic blood pressure | 0.9653 | (0.9271; 0.9985) | 0.04 |
| TIMI grade before procedure | 0.5477 | (0.2589; 0.9324) | 0.02 |
| TnI 0 | 1.0001 | (1; 1.0001) | 0.0028 |
| TnI 2 | 1.0001 | (1; 1.0001) | 0.05 |
Disclaimer/Publisher’s Note: The statements, opinions and data contained in all publications are solely those of the individual author(s) and contributor(s) and not of MDPI and/or the editor(s). MDPI and/or the editor(s) disclaim responsibility for any injury to people or property resulting from any ideas, methods, instructions or products referred to in the content. |
© 2023 by the authors. Licensee MDPI, Basel, Switzerland. This article is an open access article distributed under the terms and conditions of the Creative Commons Attribution (CC BY) license (https://creativecommons.org/licenses/by/4.0/).
Share and Cite
Maruszak, N.; Pilch, W.; Januszek, R.; Malinowski, K.P.; Surdacki, A.; Chyrchel, M. Risk Factors of Suboptimal Coronary Blood Flow after a Percutaneous Coronary Intervention in Patients with Acute Anterior Wall Myocardial Infarction. J. Pers. Med. 2023, 13, 1217. https://doi.org/10.3390/jpm13081217
Maruszak N, Pilch W, Januszek R, Malinowski KP, Surdacki A, Chyrchel M. Risk Factors of Suboptimal Coronary Blood Flow after a Percutaneous Coronary Intervention in Patients with Acute Anterior Wall Myocardial Infarction. Journal of Personalized Medicine. 2023; 13(8):1217. https://doi.org/10.3390/jpm13081217
Chicago/Turabian StyleMaruszak, Natalia, Weronika Pilch, Rafał Januszek, Krzysztof Piotr Malinowski, Andrzej Surdacki, and Michał Chyrchel. 2023. "Risk Factors of Suboptimal Coronary Blood Flow after a Percutaneous Coronary Intervention in Patients with Acute Anterior Wall Myocardial Infarction" Journal of Personalized Medicine 13, no. 8: 1217. https://doi.org/10.3390/jpm13081217
APA StyleMaruszak, N., Pilch, W., Januszek, R., Malinowski, K. P., Surdacki, A., & Chyrchel, M. (2023). Risk Factors of Suboptimal Coronary Blood Flow after a Percutaneous Coronary Intervention in Patients with Acute Anterior Wall Myocardial Infarction. Journal of Personalized Medicine, 13(8), 1217. https://doi.org/10.3390/jpm13081217

