Kidney Allograft Monitoring by Combining Donor-Derived Cell-Free DNA and Molecular Gene Expression: A Clinical Management Perspective
Abstract
1. Introduction
2. Materials and Methods
Statistical Methods
3. Results
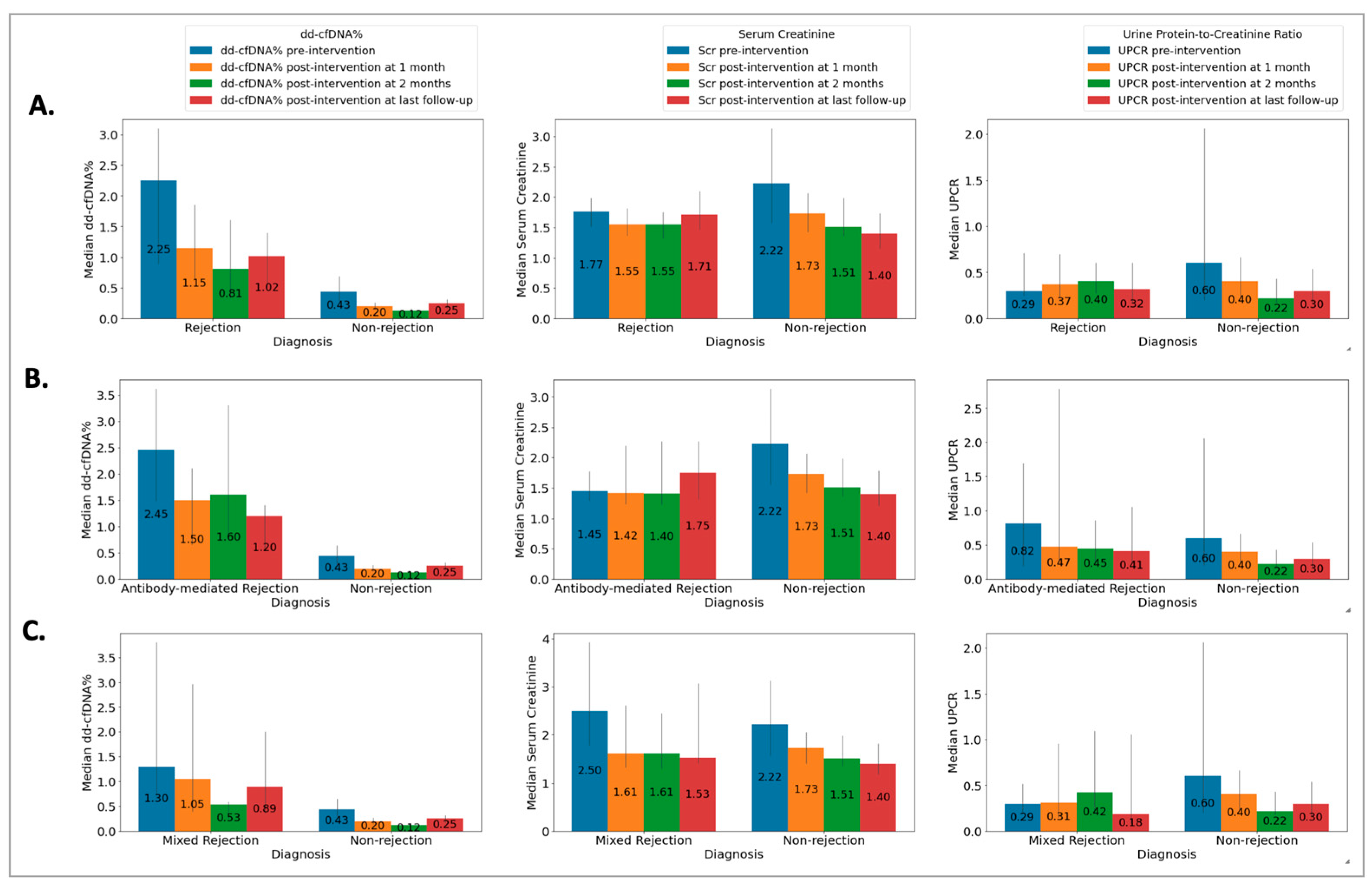
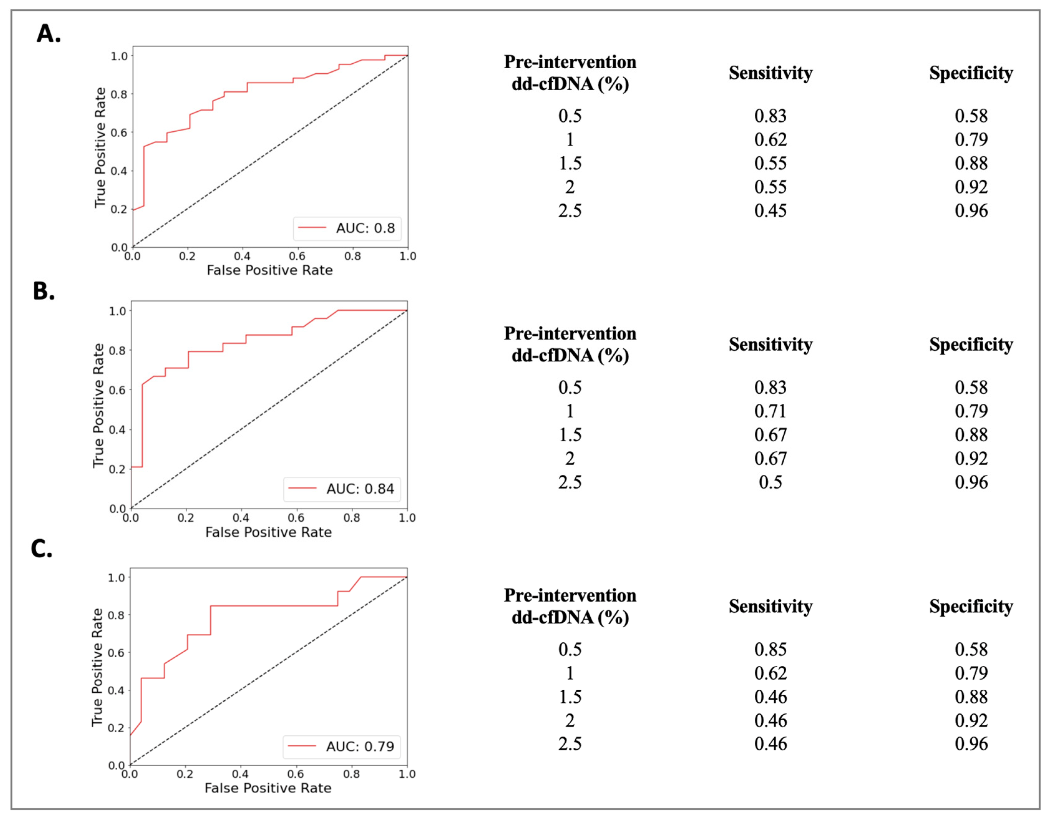
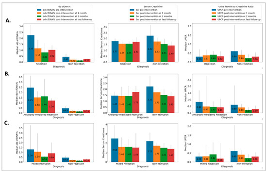
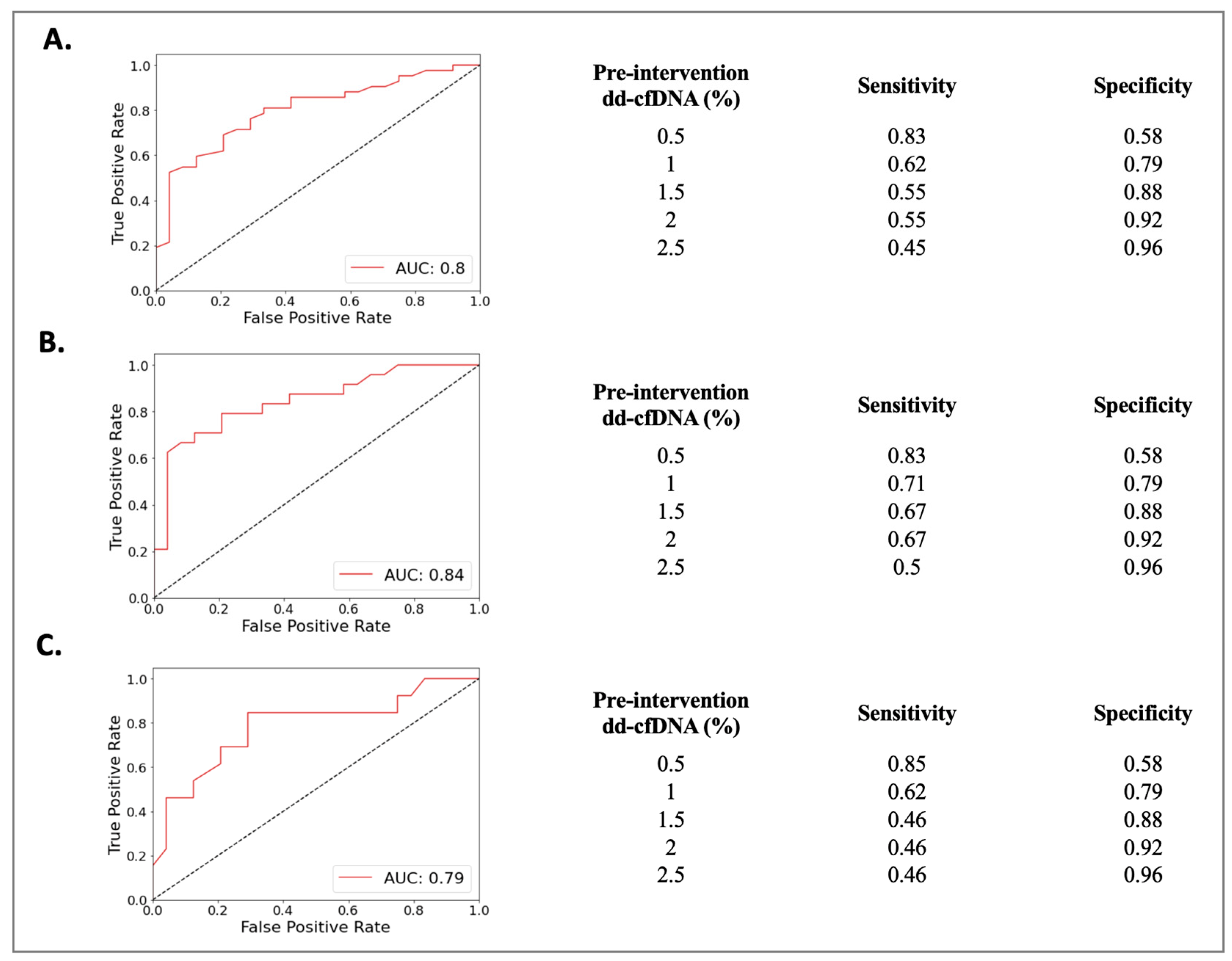
3.1. All-Cause Rejection (Rej) vs. Non-Rejection (NRej) Groups
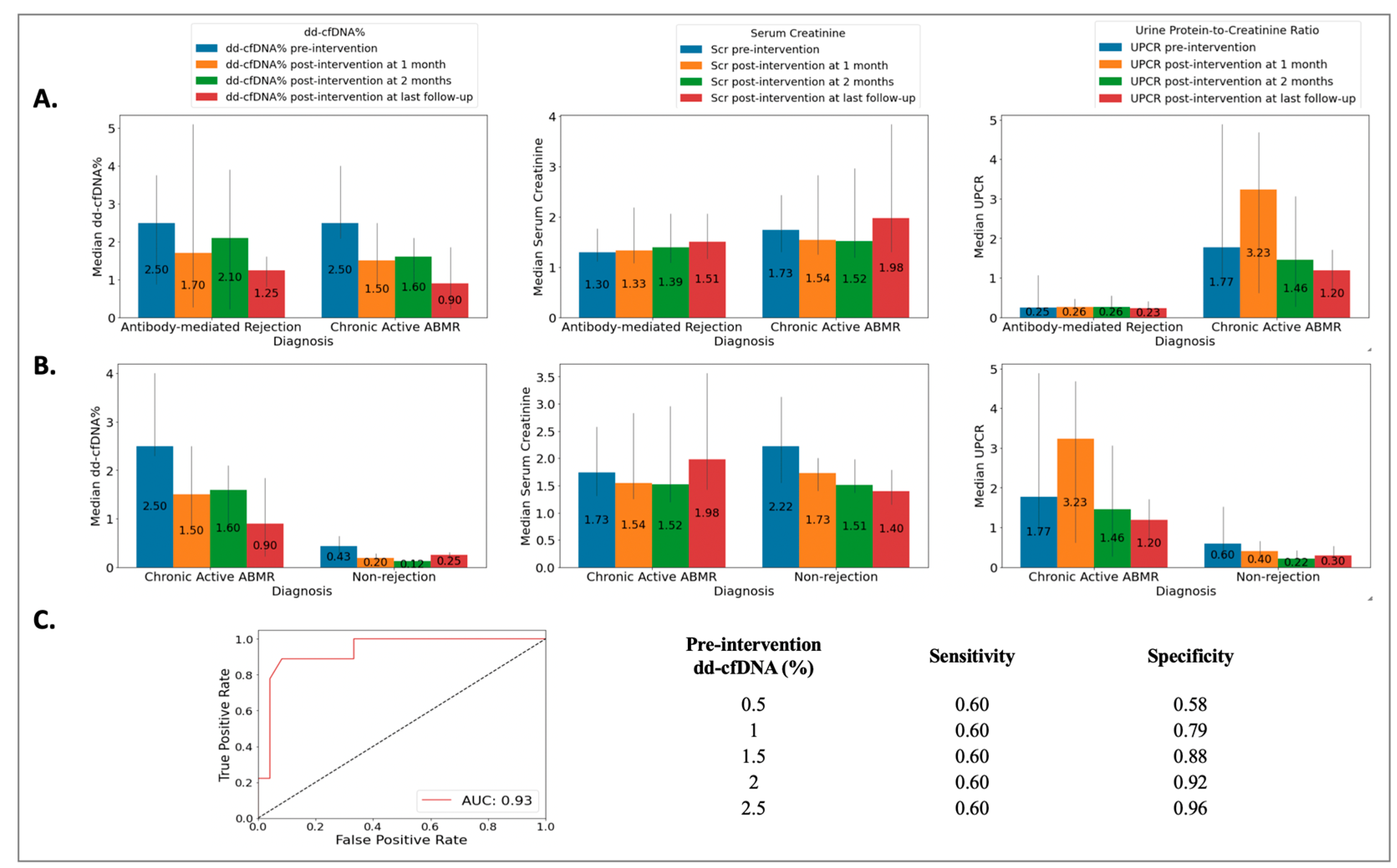
3.2. Antibody-Mediated Rejection (ABMR) vs. Non-Rejection (NRej) Groups
3.3. Mixed Rejection (Mixed Rej) vs. Non-Rejection (NRej) Groups
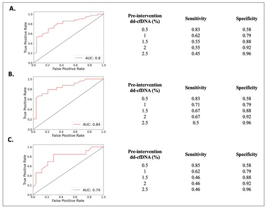
3.4. C4d Positive ABMR (C + ABMR) vs. C4d Negative ABMR (C-ABMR) Groups
3.5. ABMR with HLA DSA Positivity (D + ABMR) vs. ABMR with HLA DSA Negativity (D-ABMR) Groups
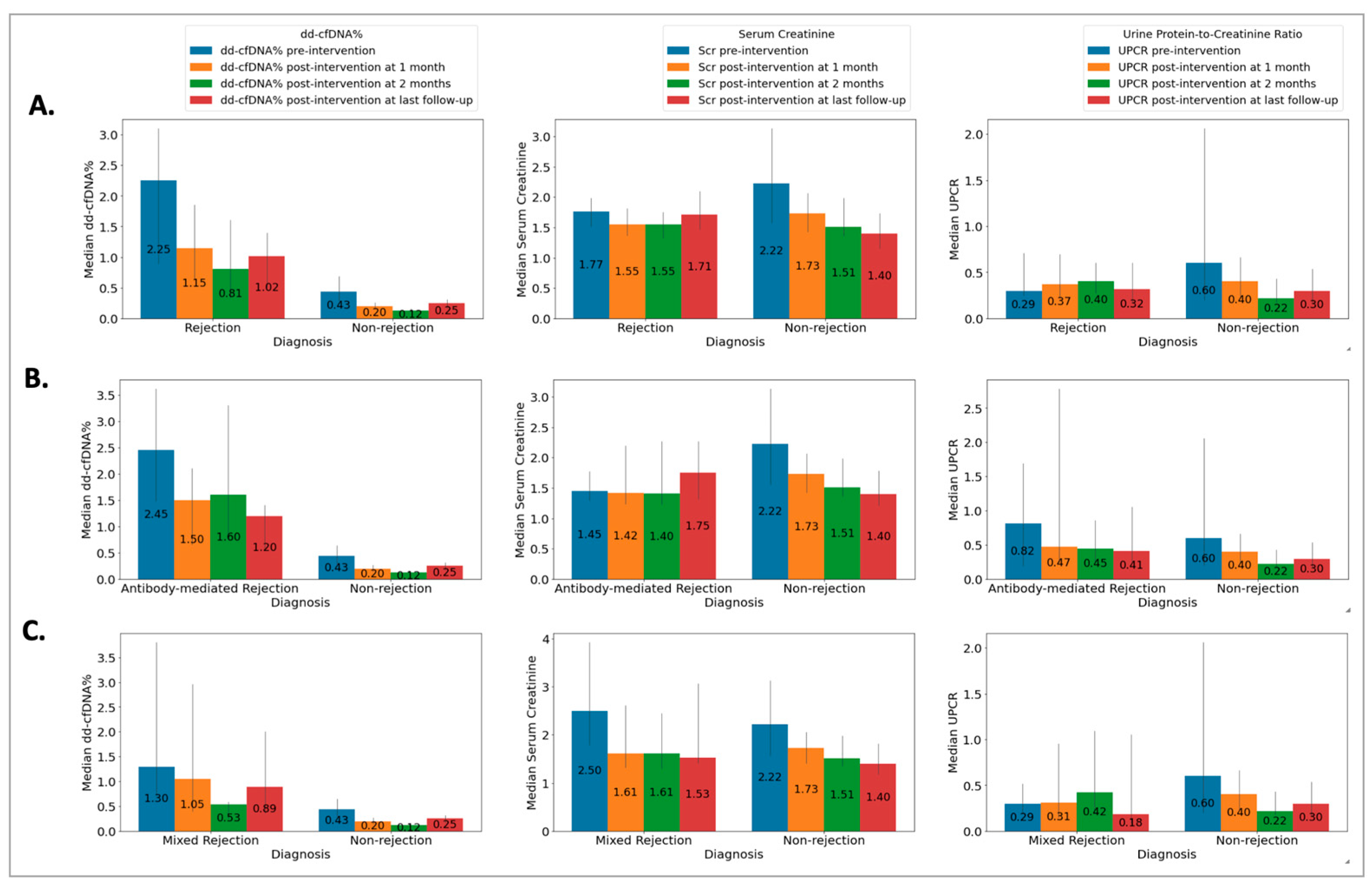
3.6. Acute Antibody-Mediated Rejection (ABMR) vs. Chronic Active Antibody-Mediated Rejection (cABMR)
3.7. Pre-Intervention and Post-Intervention Comparison
4. Discussion
5. Conclusions
Supplementary Materials
Author Contributions
Funding
Institutional Review Board Statement
Informed Consent Statement
Data Availability Statement
Conflicts of Interest
References
- Hart, A.; Smith, J.M.; Skeans, M.A.; Gustafson, S.K.; Wilk, A.R.; Robinson, A.; Wainright, J.L.; Haynes, C.R.; Snyder, J.J.; Kasiske, B.L.; et al. OPTN/SRTR 2016 Annual Data Report: Kidney. Am. J. Transplant. 2018, 18 (Suppl. 1), 18–113. [Google Scholar] [CrossRef] [PubMed]
- Bloom, R.D.; Bromberg, J.S.; Poggio, E.D.; Bunnapradist, S.; Langone, A.J.; Sood, P.; Matas, A.J.; Mehta, S.; Mannon, R.B.; Sharfuddin, A.; et al. Cell-Free DNA and Active Rejection in Kidney Allografts. J. Am. Soc. Nephrol. 2017, 28, 2221–2232. [Google Scholar] [CrossRef] [PubMed]
- Furness, P.N.; Taub, N.; Convergence of European Renal Transplant Pathology Assessment Procedures (CERTPAP) Project. International variation in the interpretation of renal transplant biopsies: Report of the CERTPAP Project. Kidney Int. 2001, 60, 1998–2012. [Google Scholar] [CrossRef] [PubMed]
- Furness, P.N.; Taub, N.; Assmann, K.J.; Banfi, G.; Cosyns, J.P.; Dorman, A.M.; Hill, C.M.; Kapper, S.K.; Waldherr, R.; Laurinavicius, A.; et al. International variation in histologic grading is large, and persistent feedback does not improve reproducibility. Am. J. Surg. Pathol. 2003, 27, 805–810. [Google Scholar] [CrossRef] [PubMed]
- Plattner, B.W.; Chen, P.; Cross, R.; Leavitt, M.A.; Killen, P.D.; Heung, M. Complications and adequacy of transplant kidney biopsies: A comparison of techniques. J. Vasc. Access 2018, 19, 291–296. [Google Scholar] [CrossRef]
- Sigdel, T.K.; Archila, F.A.; Constantin, T.; Prins, S.A.; Liberto, J.; Damm, I.; Towfighi, P.; Navarro, S.; Kirkizlar, E.; Demko, Z.P.; et al. Optimizing Detection of Kidney Transplant Injury by Assessment of Donor-Derived Cell-Free DNA via Massively Multiplex PCR. J. Clin. Med. 2018, 8, 19. [Google Scholar] [CrossRef]
- Jordan, S.C.; Bunnapradist, S.; Bromberg, J.S.; Langone, A.J.; Hiller, D.; Yee, J.P.; Sninsky, J.J.; Woodward, R.N.; Matas, A.J. Donor-derived Cell-free DNA Identifies Antibody-mediated Rejection in Donor Specific Antibody Positive Kidney Transplant Recipients. Transplant. Direct. 2018, 4, e379. [Google Scholar] [CrossRef]
- Stites, E.; Kumar, D.; Olaitan, O.; John Swanson, S.; Leca, N.; Weir, M.; Bromberg, J.; Melancon, J.; Agha, I.; Fattah, H.; et al. High levels of dd-cfDNA identify patients with TCMR 1A and borderline allograft rejection at elevated risk of graft injury. Am. J. Transplant. 2020, 20, 2491–2498. [Google Scholar] [CrossRef]
- Grskovic, M.; Hiller, D.J.; Eubank, L.A.; Sninsky, J.J.; Christopherson, C.; Collins, J.P.; Thompson, K.; Song, M.; Wang, Y.S.; Ross, D.; et al. Validation of a Clinical-Grade Assay to Measure Donor-Derived Cell-Free DNA in Solid Organ Transplant Recipients. J. Mol. Diagn. 2016, 18, 890–902. [Google Scholar] [CrossRef]
- Xie, W.Y.; Kim, K.; Goussous, N.; Drachenberg, C.B.; Scalea, J.R.; Weir, M.R.; Bromberg, J.S. Causes of Renal Allograft Injury in Recipients With Normal Donor-derived Cell-free DNA. Transplant. Direct. 2021, 7, e679. [Google Scholar] [CrossRef]
- Wolf-Doty, T.K.; Mannon, R.B.; Poggio, E.D.; Hinojosa, R.J.; Hiller, D.; Bromberg, J.S.; Brennan, D.C. Dynamic Response of Donor-Derived Cell-Free DNA Following Treatment of Acute Rejection in Kidney Allografts. Kidney360 2021, 2, 729–736. [Google Scholar] [CrossRef] [PubMed]
- Mamlouk, O.; Nair, R.; Iyer, S.P.; Edwards, A.; Neelapu, S.S.; Steiner, R.E.; Adkins, S.A.; Hawkins, M.; Saini, N.; Devashish, K.; et al. Safety of CAR T-cell therapy in kidney transplant recipients. Blood 2021, 137, 2558–2562. [Google Scholar] [CrossRef] [PubMed]
- Oellerich, M.; Shipkova, M.; Asendorf, T.; Walson, P.D.; Schauerte, V.; Mettenmeyer, N.; Kabakchiev, M.; Hasche, G.; Grone, H.J.; Friede, T.; et al. Absolute quantification of donor-derived cell-free DNA as a marker of rejection and graft injury in kidney transplantation: Results from a prospective observational study. Am. J. Transplant. 2019, 19, 3087–3099. [Google Scholar] [CrossRef] [PubMed]
- Filippone, E.J.; Farber, J.L. The Monitoring of Donor-derived Cell-free DNA in Kidney Transplantation. Transplantation 2021, 105, 509–516. [Google Scholar] [CrossRef]
- Kataria, A.; Kumar, D.; Gupta, G. Donor-derived Cell-free DNA in Solid-organ Transplant Diagnostics: Indications, Limitations, and Future Directions. Transplantation 2021, 105, 1203–1211. [Google Scholar] [CrossRef]
- Kueht, M.L.; Dongur, L.P.; Cusick, M.; Stevenson, H.L.; Mujtaba, M. The Current State of Donor-Derived Cell-Free DNA Use in Allograft Monitoring in Kidney Transplantation. J. Pers. Med. 2022, 12, 1700. [Google Scholar] [CrossRef]
- Bu, L.; Gupta, G.; Pai, A.; Anand, S.; Stites, E.; Moinuddin, I.; Bowers, V.; Jain, P.; Axelrod, D.A.; Weir, M.R.; et al. Clinical outcomes from the Assessing Donor-derived cell-free DNA Monitoring Insights of kidney Allografts with Longitudinal surveillance (ADMIRAL) study. Kidney Int. 2022, 101, 793–803. [Google Scholar] [CrossRef]
- Huang, E.; Sethi, S.; Peng, A.; Najjar, R.; Mirocha, J.; Haas, M.; Vo, A.; Jordan, S.C. Early clinical experience using donor-derived cell-free DNA to detect rejection in kidney transplant recipients. Am. J. Transplant. 2019, 19, 1663–1670. [Google Scholar] [CrossRef]
- Reeve, J.; Bohmig, G.A.; Eskandary, F.; Einecke, G.; Gupta, G.; Madill-Thomsen, K.; Mackova, M.; Halloran, P.F.; Group, I.M.-K.S. Generating automated kidney transplant biopsy reports combining molecular measurements with ensembles of machine learning classifiers. Am. J. Transplant. 2019, 19, 2719–2731. [Google Scholar] [CrossRef]
- Halloran, P.F.; Famulski, K.; Reeve, J. The molecular phenotypes of rejection in kidney transplant biopsies. Curr. Opin. Organ. Transplant. 2015, 20, 359–367. [Google Scholar] [CrossRef]
- Halloran, P.F.; Famulski, K.S.; Reeve, J. Molecular assessment of disease states in kidney transplant biopsy samples. Nat. Rev. Nephrol. 2016, 12, 534–548. [Google Scholar] [CrossRef] [PubMed]
- Schachtner, T.; von Moos, S.; Kokkonen, S.M.; Helmchen, B.; Gaspert, A.; Mackova, M.; Halloran, P.F.; Mueller, T.F. The Molecular Diagnosis Might Be Clinically Useful in Discrepant Kidney Allograft Biopsy Findings: An Analysis of Clinical Outcomes. Transplantation 2023, 107, 485–494. [Google Scholar] [CrossRef]
- Halloran, P.F.; Reeve, J.; Akalin, E.; Aubert, O.; Bohmig, G.A.; Brennan, D.; Bromberg, J.; Einecke, G.; Eskandary, F.; Gosset, C.; et al. Real Time Central Assessment of Kidney Transplant Indication Biopsies by Microarrays: The INTERCOMEX Study. Am. J. Transplant. 2017, 17, 2851–2862. [Google Scholar] [CrossRef] [PubMed]
- Randhawa, P.S. The molecular microscope diagnostic system (MMDx) in transplantation: A pathologist’s perspective. Am. J. Transplant. 2020, 20, 1965–1966. [Google Scholar] [CrossRef] [PubMed]
- Haas, M.; Loupy, A.; Lefaucheur, C.; Roufosse, C.; Glotz, D.; Seron, D.; Nankivell, B.J.; Halloran, P.F.; Colvin, R.B.; Akalin, E.; et al. The Banff 2017 Kidney Meeting Report: Revised diagnostic criteria for chronic active T cell-mediated rejection, antibody-mediated rejection, and prospects for integrative endpoints for next-generation clinical trials. Am. J. Transplant. 2018, 18, 293–307. [Google Scholar] [CrossRef]
- Gupta, G.; Moinuddin, I.; Kamal, L.; King, A.L.; Winstead, R.; Demehin, M.; Kang, L.; Kimball, P.; Levy, M.; Bhati, C.; et al. Correlation of Donor-derived Cell-free DNA With Histology and Molecular Diagnoses of Kidney Transplant Biopsies. Transplantation 2022, 106, 1061–1070. [Google Scholar] [CrossRef]
- Reinsmoen, N.L.; Lai, C.H.; Heidecke, H.; Haas, M.; Cao, K.; Ong, G.; Naim, M.; Wang, Q.; Mirocha, J.; Kahwaji, J.; et al. Anti-angiotensin type 1 receptor antibodies associated with antibody mediated rejection in donor HLA antibody negative patients. Transplantation 2010, 90, 1473–1477. [Google Scholar] [CrossRef]
- Dragun, D.; Muller, D.N.; Brasen, J.H.; Fritsche, L.; Nieminen-Kelha, M.; Dechend, R.; Kintscher, U.; Rudolph, B.; Hoebeke, J.; Eckert, D.; et al. Angiotensin II type 1-receptor activating antibodies in renal-allograft rejection. N. Engl. J. Med. 2005, 352, 558–569. [Google Scholar] [CrossRef]




| All-Cause Rejection | Antibody-Mediated Rejection | Mixed Rejection | Non-Rejection | |
|---|---|---|---|---|
| Number of Patients (n) | 49 | 28 | 17 | 36 |
| Number of Biopsies (n) | 52 | 28 | 17 | 37 |
| Age, Years (Mean ± SD) | 50 ± 13 | 50 ± 13 | 50 ± 15 | 56 ± 12 |
| HLA DSA Positivity at the Time of Biopsy (n, %) | 26, 53 | 14, 50 | 12, 71 | 8, 22 |
| C4d Positivity (n, %) | 17, 33 | 11, 39 | 5, 29 | 3, 8 |
| Pre-Intervention dd-cfDNA Score, Median (IQR) | 2.25 (0.69, 3.80) | 2.45 (0.90, 3.72) | 1.30 (0.73, 3.80) | 0.44 (0.24, 0.76) |
| Histologic Diagnosis (n, %) | 46, 88 | 22, 79 | 4, 23 | 37, 100 |
| MMDx® Diagnosis (n, %) | 45, 87 | 28, 100 | 17, 100 | 37, 100 |
| Antibody-Mediated Rejection Subtypes | ||||
| C4d Positive ABMR | C4d Negative ABMR | ABMR with HLA DSA Positivity | ABMR with HLA DSA Negativity | |
| Number of Patients (n) | 11 | 17 | 15 | 13 |
| Number of Biopsies (n) | 11 | 17 | 15 | 13 |
| Age, Years (Mean ± SD) | 49 ± 14 | 50 ± 13 | 52 ± 12 | 47 ± 14 |
| HLA DSA Positivity at the Time of Biopsy (n, %) | 6, 55 | 4, 24 | 15, 100 | 0, 0 |
| C4d Positivity (n, %) | 11, 100 | 0, 0 | 7, 47 | 4, 31 |
| Pre-Intervention dd-cfDNA Score, Median (IQR) | 2.80 (1.90, 4.65) | 2.30 (0.88, 3.61) | 2.50 (1.09, 3.81) | 2.40 (0.90, 3.70) |
| Histologic Diagnosis (n, %) | 9, 82 | 13, 76 | 13, 87 | 9, 69 |
| MMDx® Diagnosis (n, %) | 11, 100 | 17, 100 | 15, 100 | 13, 100 |
Disclaimer/Publisher’s Note: The statements, opinions and data contained in all publications are solely those of the individual author(s) and contributor(s) and not of MDPI and/or the editor(s). MDPI and/or the editor(s) disclaim responsibility for any injury to people or property resulting from any ideas, methods, instructions or products referred to in the content. |
© 2023 by the authors. Licensee MDPI, Basel, Switzerland. This article is an open access article distributed under the terms and conditions of the Creative Commons Attribution (CC BY) license (https://creativecommons.org/licenses/by/4.0/).
Share and Cite
Rizvi, A.; Faiz, S.; Thakkar, P.H.; Hussain, S.; Gamilla-Crudo, A.N.; Kueht, M.; Mujtaba, M.A. Kidney Allograft Monitoring by Combining Donor-Derived Cell-Free DNA and Molecular Gene Expression: A Clinical Management Perspective. J. Pers. Med. 2023, 13, 1205. https://doi.org/10.3390/jpm13081205
Rizvi A, Faiz S, Thakkar PH, Hussain S, Gamilla-Crudo AN, Kueht M, Mujtaba MA. Kidney Allograft Monitoring by Combining Donor-Derived Cell-Free DNA and Molecular Gene Expression: A Clinical Management Perspective. Journal of Personalized Medicine. 2023; 13(8):1205. https://doi.org/10.3390/jpm13081205
Chicago/Turabian StyleRizvi, Asim, Sara Faiz, Parin H. Thakkar, Syed Hussain, Ann N. Gamilla-Crudo, Michael Kueht, and Muhammad A. Mujtaba. 2023. "Kidney Allograft Monitoring by Combining Donor-Derived Cell-Free DNA and Molecular Gene Expression: A Clinical Management Perspective" Journal of Personalized Medicine 13, no. 8: 1205. https://doi.org/10.3390/jpm13081205
APA StyleRizvi, A., Faiz, S., Thakkar, P. H., Hussain, S., Gamilla-Crudo, A. N., Kueht, M., & Mujtaba, M. A. (2023). Kidney Allograft Monitoring by Combining Donor-Derived Cell-Free DNA and Molecular Gene Expression: A Clinical Management Perspective. Journal of Personalized Medicine, 13(8), 1205. https://doi.org/10.3390/jpm13081205

