“No Ink on Tumor” in Breast-Conserving Surgery after Neoadjuvant Chemotherapy
Abstract
:1. Introduction
2. Materials and Methods
Statistical Analysis
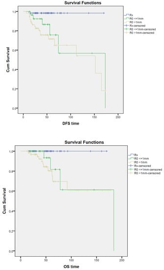
3. Results
Oncologic Outcome
4. Discussion
5. Conclusions
Author Contributions
Funding
Informed Consent Statement
Data Availability Statement
Conflicts of Interest
Abbreviation
| NAC | neoadjuvant chemotherapy |
| BCS | breast-conserving surgery |
| PBCS | primary breast-conserving surgery |
| BCS-NAC | breast-conserving surgery after NAC |
| cCR | clinical complete response |
| pCR | pathological complete response |
| (DCIS) | ductal carcinoma in situ |
| LRFS | local recurrence-free survival |
| DFS | Disease-free survival |
| OS | overall survival |
| T | tumor size |
References
- Caudle, A.S.; Yang, W.T.; Krishnamurthy, S.; Mittendorf, E.A.; Black, D.M.; Gilcrease, M.Z.; Bedrosian, I.; Hobbs, B.P.; DeSnyder, S.M.; Hwang, R.F.; et al. Improved axillary evaluation following neoadjuvant therapy for patients with node-positive breast cancer using selective evaluation of clipped nodes: Implementation of targeted axillary dissection. J. Clin. Oncol. 2016, 34, 1072–1078. [Google Scholar] [CrossRef] [PubMed] [Green Version]
- Makris, A.; Powles, T.J.; Ashley, S.E.; Chang, J.; Hickish, T.; Tidy, V.A.; Nash, H.A.J.; Ford, T. A reduction in the requirements for mastectomy in a randomized trial of neoadjuvant chemoendocrine therapy in primary breast cancer. Ann. Oncol. 1998, 9, 1179–1184. [Google Scholar] [CrossRef] [PubMed]
- Killelea, B.K.; Yang, V.Q.; Mougalian, S.; Horowitz, N.R.; Pusztai, L.; Chagpar, A.B.; Lannin, D.R. Neoadjuvant chemotherapy for breast cancer increases the rate of breast conservation: Results from the national cancer database. J. Am. Coll. Surg. 2015, 220, 1063e9. [Google Scholar] [CrossRef] [PubMed]
- Mamtani, A.; Barrio, A.V.; King, T.A.; Van Zee, K.J.; Plitas, J.; Pilewskie, M.; El-Tamer, M.; Gemignani, M.L.; Heerdt, A.S.; Sclafani, L.M.; et al. How often does neoadjuvant chemotherapy avoid axillary dissection in patients with histologically confirmed nodal metastases? Results of a prospective study. Ann. Surg. Oncol. 2016, 23, 3467–3474. [Google Scholar] [CrossRef] [Green Version]
- Peintinger, F.; Sinn, B.; Hatzis, C.; Albarracin, C.; Downs-Kelly, E.; Morkowski, J.; Gould, R.; Symmans, W.F. Reproducibility of residual cancer burden for prognostic assessment of breast cancer after neoadjuvant chemoterapy. Mod. Pathol. 2015, 28, 913–920. [Google Scholar] [CrossRef] [PubMed]
- Hellman, S.; Harris, J. The appropriate breast cancer paradigm. Cancer Res. 1987, 2, 339–342. [Google Scholar]
- Mamounas, E.; Poulos, C.; Goertz, H.P.; González, J.M.; Pugh, A.; Antao, V. Neoadjuvant systemic theraphy for breast cancer: Factors influencing surgeon’s referrals. Ann. Surg. Oncol. 2016, 23, 3510–3517. [Google Scholar] [CrossRef] [Green Version]
- Moran, M.S.; Schnitt, S.J.; Giuliano, A.E.; Harris, J.R.; Khan, S.A.; Horton, J.; Klimberg, S.; Chavez-MacGregor, M.; Freedman, G.; Houssami, N.; et al. Oncology consensus guideline on margins for breast-conserving surgery with whole-breast irradiation in stages I and II invasive breast cancer. J. Clin. Oncol. 2014, 32, 1507–1515. [Google Scholar] [CrossRef]
- Houssami, N.; Macaskill, P.; Marinovich, M.L.; Morrow, M. The association of surgical margins and local recurrence in women with early-stage invasive breast cancer treated with breast-conserving therapy: A meta-analysis. Ann. Surg. Oncol. 2014, 21, 717–730. [Google Scholar] [CrossRef]
- Marinovich, M.L.; Macaskill, P.; Irwig, L.; Sardanelli, F.; Mamounas, E.; von Minckwitz, G.; Guarneri, V.; Partridge, S.C.; Wright, F.C.; Choi, J.H.; et al. Agreement between MRI and pathologic breast tumor size after neoadjuvant chemotherapy, and comparison with alternative tests: Individual patient data meta-analysis. BMC Cancer 2015, 15, 662. [Google Scholar] [CrossRef] [Green Version]
- Sneige, N.; Page, D.L. Diagnostic approaches to the pathology of primary breast cancer before and after neoadjuvant chemotherapy. Semin. Breast Dis. 2004, 2, 79–83. [Google Scholar] [CrossRef]
- Hortobagyi, G.N.; Ames, F.C.; Buzdar, T.A.U.; Kau, S.W.; Mcneese, M.D.; Paulus, D.; Hug, V.; Holmes, F.A.; Romsdahl, M.M.; Fraschini, T.J.; et al. Management of stage III primary breast cancer with primary chemotherapy, surgery, and radiation therapy. Cancer 1998, 62, 2507–2516. [Google Scholar] [CrossRef]
- Early Breast Cancer Tralists’ Collaborative Group (EBCTCG). Long-term outcomes for neoadjuvant versus adjuvant chemotherapy in early breast cancer: Meta-analysis of individual patient data from ten randomised trials. Lancet Oncol. 2018, 19, 27–39. [Google Scholar] [CrossRef] [Green Version]
- Spronk, P.E.R.; Volders, J.H.; van den Tol, P.; Smorenburg, C.H.; Vrancken Peeters, M.T.F.D. Breast conserving therapy after neoadjuvant chemotherapy; data from the Dutch Breast Cancer Audit. Eur. J. Surg. Oncol. 2019, 45, 110–117. [Google Scholar] [CrossRef] [PubMed]
- Cortazar, P.; Zhang, L.; Untch, M.; Mehta, K.; Costantino, J.P.; Wolmark, N.; Bonnefoi, H.; Cameron, D.; Gianni, L.; Valagussa, P.; et al. Pathological complete response and long-term clinical benefit in breast cancer: The CTNeoBC pooled analysis. Lancet 2014, 384, 164–172. [Google Scholar] [CrossRef] [Green Version]
- Volders, J.H.; Negenborn, V.L.; Spronk, P.E.; Krekel, N.M.A.; Schoonmade, L.J.; Meijer, S.; Rubio, I.T.; van den Tol, M.P. Breast-conserving surgery following neoadjuvant therapy—A systematic review on surgical outcomes. Breast Canc. Res. Treat. 2018, 168, 1e12. [Google Scholar] [CrossRef] [PubMed] [Green Version]
- Marinovich, M.L.; Macaskill, P.; Irwig, L.; Sardanelli, F.; von Minckwitz, G.; Mamounas, E.; Brennan, M.; Ciatto, S.; Houssami, N. Meta-analysis of agreement between MRI and pathologic breast tumour size after neoadjuvant chemotherapy. Br. J. Cancer 2013, 109, 1528–1536. [Google Scholar] [CrossRef] [Green Version]
- Houssami, N.; Turner, R.; Morrow, M. Preoperative magnetic resonance imaging in breast cancer: Meta-analysis of surgical outcomes. Ann. Surg. 2013, 257, 249–255. [Google Scholar] [CrossRef]
- Ibarra, J. The Value of Combined Large Format Histopathology Technique to Assess the Surgically Removed Breast Tissue following Neoadjuvant Chemotherapy: A Single Institution Study of 40 Cases. Int. J. Breast Cancer 2012, 2012, 361707. [Google Scholar] [CrossRef]
- Devane, L.A.; Baban, C.K.; O’Doherty, A.; Quinn, C.; McDermott, E.W.; Prichard, R.S. The Impact of Neoadjuvant Chemotherapy on Margin Re-excision in Breast-Conserving Surgery. World J. Surg. 2020, 44, 1547–1551. [Google Scholar] [CrossRef]
- Boughey, J.C.; Peitinger, F.; Meric-Bernstam, F.; Perry, A.C.; Hunt, K.K.; Babiera, G.V.; Singletary, S.E.; Bedrosian, I.; Lucci, A.; Buzdar, A.U.; et al. Impact of preoperative versus postoperative chemotherapy on the extent and number of surgicalprocedures in patients treated in randomized clinical trials for breast cancer. Ann. Surg. 2006, 244, 464–470. [Google Scholar] [CrossRef] [PubMed]
- Italian Guidelines on Breast Cance. AIOM. 2021. Available online: www.aiom.it/linee-guida-aiom-2021-neoplasie-della-mammella (accessed on 26 May 2022).
- Karakatsanis, A.; Tasoulis, M.K.; Warnberg, F.; Nilsson, G.; MacNeill, F. Meta-analysis of neoadiouvant therapy and its impact in facilitating breast conservation in operable breast cancer. BJS 2018, 105, 469–481. [Google Scholar] [CrossRef] [PubMed]
- Chen, A.M.; Meric-Bernstam, F.; Hunt, K.K.; Thames, H.D.; Oswald, M.J.; Outlaw, E.D.; Strom, E.A.; McNeese, M.D.; Kuerer, H.M.; Ross, M.I.; et al. Breast conservation after neoadjuvant chemotherapy: The MD Anderson cancer center experience. J. Clin. Oncol. 2004, 22, 2303–2312. [Google Scholar] [CrossRef] [PubMed]
- Chen, A.M.; Meric-Bernstam, F.; Hunt, K.K.; Thames, H.D.; Outlaw, E.D.; Strom, E.A.; McNeese, M.D.; Kuerer, H.M.; Ross, M.I.; Singletary, S.E.; et al. Breast conservation after neoadjuvant chemotherapy. Cancer 2005, 103, 689–695. [Google Scholar] [CrossRef] [PubMed]
- Valachis, A.; Nearchou, A.D.; Lind, P. Surgical management of breast cancer in BRCA-mutation carriers: A systematic review and meta-analysis. Breast Cancer Res. Treat. 2014, 144, 443–455. [Google Scholar] [CrossRef] [PubMed]
- Molenaar, S.; Oort, F.; Sprangers, M.; Rutgers, E.; Luiten, E.; Mulder, J.; de Haes, H. Predictors of patients’ choices for breast-conserving therapy or mastectomy: A prospective study. Br. J. Cancer 2004, 90, 2123–2130. [Google Scholar] [CrossRef]
- Katz, S.J.; Lantz, P.M.; Janz, N.K.; Fagerlin, A.; Schwartz, K.; Liu, L.; Deapen; Salem, B.; Lakhani, I.; Morrow, M. Patient involvement in surgery treatment decisions for breast cancer. J. Clin. Oncol. 2005, 23, 5526–5533. [Google Scholar] [CrossRef]
- Lynch, S.P.; Lei, X.; Hsu, L.; Meric-Bernstam, F.; Buchholz, T.A.; Zhang, H.; Hortobágyi, G.N.; Gonzalez-Angulo, A.M.; Valero, V. Breast cancer multifocality and multicentricity and locoregional recurrence. Oncologist 2013, 18, 1167–1173. [Google Scholar] [CrossRef] [Green Version]
- Ataseven, B.; Lederer, B.; Blohmer, J.U.; Denkert, C.; Gerber, B.; Heil, J.; Kühn, T.; Kümmel, S.; Rezai, M.; Loibl, S.; et al. Impact of multifocal or multicentric disease on surgery and locoregional, distant and overall survival of 6134 breast cancer patients treated with neoadjuvant chemotherapy. Ann. Surg. Oncol. 2015, 22, 1118–1127. [Google Scholar] [CrossRef]
- Lannin, D.R.; Grube, B.; Black, D.S.; Ponn, T. Breast tattos for planning surgery following neoadjuvant chemotherapy. Am. J. Surg. 2007, 194, 518–520. [Google Scholar] [CrossRef]
- Greenup, R.A.; Peppercorn, J.; Worni, M.; Hwang, E.S. Cost implications of the SSO-ASTRO consensus guideline on margins for breast-conserving surgery with whole breast irradiation in stage I and II invasive breast cancer. Ann. Surg. Oncol. 2014, 21, 1512–1514. [Google Scholar] [CrossRef] [PubMed] [Green Version]
- Morrow, M.; Van Zee, K.J.; Solin, L.J.; Houssami, N.; Chavez-MacGregor, M.; Harris, J.R.; Horton, J.; Hwang, S.; Johnson, P.L.; Marinovich, M.L.; et al. Society of Surgical Oncology-American Society for Radiation Oncology-American Society of Clinical Oncology Consensus Guideline on Margins for Breast-Conserving Surgery With Whole-Breast Irradiation in Ductal Carcinoma In Situ. J. Clin. Oncol. 2016, 34, 4040–4046. [Google Scholar] [CrossRef] [PubMed]
- Galimberti, V.; Taffurelli, M.; Leonardi, M.C.; Aristei, C.; Trentin, C.; Cassano, E.; Pietribiasi, F.; Corso, G.; Munzone, E.; Tondini, C.; et al. Surgical resection margins after breast-conserving surgery: Senonetwork recommendations. Tumori 2016, 3, 284–289. [Google Scholar] [CrossRef] [PubMed]
- Pilewskie, M.; Morrow, M. Margins in breast cancer: How much is enough? Cancer 2018, 124, 1335–1341. [Google Scholar] [CrossRef] [Green Version]
- Kuerer, H.M.; Smith, B.D.; Chavez-MacGregor, M.; Albarracin, C.; Barcenas, C.H.; Santiaho, L.; Edgerton, M.E.; Rauch, G.M.; Giordano, S.H.; Sahin, A.; et al. DCIS Margins and Breast Conservation: MD Anderson Cancer Center Multidisciplinary Practice Guidelines and Outcomes. J. Cancer 2017, 8, 2653–2662. [Google Scholar] [CrossRef]
- Fregatti, P.; Gipponi, M.; Depaoli, F.; Murelli, F.; Guenzi, M.; Bonzano, E.; Ceppi, M.; Friedman, D. No Ink on Ductal Carcinoma In Situ: A Single Centre Experience. Anticancer. Res. 2019, 39, 459–466. [Google Scholar] [CrossRef]
- Choi, M.; Park, Y.H.; Ahn, J.S.; Im, Y.H.; Nam, S.J.; Cho, S.Y.; Cho, E.Y. Evaluation of pathologic complete response in breast cancer patients treated with neoadjuvant chemotherapy: Experience in a single institution over 10-years period. J. Pathol. Transl. Med. 2017, 51, 69–78. [Google Scholar] [CrossRef]
- von Minckwitz, G.; Untch, M.; Blohmer, J.U.; Costa, S.D.; Eidtmann, H.; Fasching, P.A.; Gerber, B.; Eiermann, W.; Hilfrich, J.; Huober, J.; et al. Definition and impact of pathological complete response on prognosis after neoadjuvant chemotherapy in various intrinsic breast cancer subtypes. J. Clin. Oncol. 2012, 30, 1796–1804. [Google Scholar] [CrossRef] [Green Version]
- Rouzier, R.; Extra, J.M.; Carton, M.; Falcou, M.C.; Vincent-Salomon, A.; Fourquet, A.; Pouillart, P.; Bourstyn, E. Primary chemotherapy for operable breast cancer: Incidence and prognostic significance of ipsilateral breast tumor recurrence after breast conserving surgery. J. Clin. Oncol. 2001, 19, 3828–3835. [Google Scholar] [CrossRef]
- Lin, J.; Lin, K.J.; Wang, Y.F.; Huang, L.H.; Chen, S.L.; Chen, D.R. Association of surgical margins with local recurrence in patients undergoing breast conserving surgery after neoadjuvant chemotherapy. BMC Cancer 2020, 20, 451. [Google Scholar] [CrossRef]
- Wimmer, K.; Bolliger, M.; Bago-Horvath, Z.; Steger, G.; Kauer-Dorner, D.; Helfgott, R.; Gruber, C.; Moinfar, F.; Mittlböck, M.; Fitzal, F. Impact of Surgical Margins in Breast Cancer after Preoperative systemic Chemotherapy on local recurrence and survival. Ann. Surg. Oncol. 2020, 27, 1700–1707. [Google Scholar] [CrossRef] [PubMed]
- Choi, J.; Laws, A.; Hu, J.; Barry, W.; Golshan, M.; King, T. Margins in breast-conserving surgery after neoadjuvant therapy. Ann. Surg. Oncol. 2018, 25, 3541–3547. [Google Scholar] [CrossRef] [PubMed]
- Tyler, S.; Truong, P.T.; Lesperance, M.; Nichol, A.; Baliski, C.; Warburton, R.; Tyldesley, S. Close margins less than 2 mm are not associated with higher risk of 10-years local recurrence and breast cancer mortality compared with negative margins in women treated with breast conserving theraphy. Int. J. Radiat. Oncol. Biol. Phys. 2018, 101, 661–670. [Google Scholar] [CrossRef] [PubMed]
- Veronesi, U.; Marubini, E.; Marianl, L.; Galimberti, V.; Luini, A.; Veronesi, P.; Salvadori, B.; Zucali, R. Radiotheraphy after breast-conserving surgery in small breast carcinoma: Long-term results of a randomised trial. Ann. Oncol. 2001, 12, 997–1003. [Google Scholar] [CrossRef] [PubMed]
- Gentilini, O.; Intra, M.; Gandini, S.; Peruzzotti, G.; Winnikow, E.; Luini, A.; Veronesi, P.; Galimberti, V.; Goldhirsch, A.; Veronesi, U. Ipsilateral breast tumor reappearance in patients treated with conservative surgery after primary chemotherapy. The role of surgical margins on outcome. J. Surg. Oncol. 2006, 94, 375–379. [Google Scholar] [CrossRef]
- Morrow, M.; Strom, E.A.; Bassett, L.W.; Dershaw, D.D.; Fowble, B.; Giuliano, A.; Harris, J.R.; O’Malley, F.; Schnitt, S.J.; Singletary, S.E.; et al. American College of Radiology; American College of Surgeons; Society of Surgical Oncology; College of American Pathology. Standard for breast conservation therapy in the management of invasive breast carcinoma. CA Cancer J. Clin. 2002, 52, 277–300. [Google Scholar] [CrossRef]


| RX (N = 58) | R0 < 1 mm (N = 29) | R0 > 1 mm (N = 64) | Total (N = 151) | ||||||
|---|---|---|---|---|---|---|---|---|---|
| Age | <50 years | 30 | 51.7% | 16 | 55.2% | 22 | 34.4% | 68 | 45.0% |
| >50 years | 28 | 48.3% | 13 | 44.8% | 42 | 65.6% | 83 | 55.0% | |
| Histotype | ductal | 48 | 82.8% | 25 | 86.2% | 59 | 92.2% | 132 | 87.4% |
| lobular | 1 | 1.7% | 3 | 10.4% | 4 | 6.2% | 8 | 5.3% | |
| other | 9 | 15.5% | 1 | 3.4% | 1 | 1.6% | 11 | 7.3% | |
| HR | HR+ | 27 | 46.6% | 23 | 79.3% | 49 | 76.6% | 99 | 65.6% |
| HR- | 30 | 51.7% | 6 | 20.7% | 15 | 23.4% | 51 | 33.8% | |
| NA | 1 | 1.7% | 0 | 0.0% | 0 | 0.0% | 1 | 0.6% | |
| KI67 | <20% | 10 | 17.2% | 12 | 41.4% | 22 | 34.4% | 44 | 29.1% |
| >20% | 48 | 82.8% | 17 | 58.6% | 42 | 65.6% | 107 | 70.9% | |
| HER-2 | positive | 19 | 32.8% | 8 | 27.6% | 14 | 21.9% | 41 | 27.2% |
| negative | 39 | 67.2% | 20 | 69.0% | 49 | 76.5% | 108 | 71.5% | |
| NA | 0 | 0.0% | 1 | 3.4% | 1 | 1.6% | 2 | 1.3% | |
| cN status | cN+ | 23 | 39.7% | 13 | 44.8% | 29 | 45.3% | 65 | 43.0% |
| cN0 | 35 | 60.3% | 16 | 55.2% | 35 | 54.7% | 86 | 57.0% | |
| Lymph node cytology | C1 | 1 | 1.7% | 0 | 0.0% | 1 | 1.5% | 2 | 1.3% |
| C2 | 6 | 10.3% | 5 | 17.2% | 9 | 14.1% | 20 | 13.2% | |
| C5 | 16 | 27.6% | 12 | 41.4% | 21 | 32.8% | 49 | 32.5% | |
| NA | 35 | 60.4% | 12 | 41.4% | 33 | 51.6% | 80 | 53.0% | |
| Radiologic response | partial | 12 | 20.7% | 22 | 75.9% | 50 | 78.1% | 84 | 55.6% |
| complete | 46 | 79.3% | 4 | 13.8% | 9 | 14.1% | 59 | 39.1% | |
| no | 0 | 0.0% | 3 | 10.3% | 5 | 7.8% | 8 | 5.3% | |
| Pathological response | partial | 0 | 0.0% | 26 | 89.7% | 58 | 90.6% | 84 | 55.6% |
| pCR | 58 | 100.0% | 0 | 0.0% | 1 | 1.6% | 59 | 39.1% | |
| no | 0 | 0.0% | 3 | 10.3% | 5 | 7.8% | 8 | 5.3% | |
| Stage | 0 | 58 | 100.0% | 0 | 0.0% | 0 | 0.0% | 58 | 38.5% |
| 1 | 0 | 0.0% | 14 | 48.3% | 25 | 39.0% | 39 | 25.8% | |
| 2 | 0 | 0.0% | 8 | 27.6% | 22 | 34.4% | 30 | 19.9% | |
| 3 | 0 | 0.0% | 7 | 24.1% | 12 | 18.8% | 19 | 12.5% | |
| 4 | 0 | 0.0% | 0 | 0.0% | 5 | 7.8% | 5 | 3.3% | |
| Subtype | luminal A | 0 | 0.0% | 12 | 41.4% | 16 | 25.0% | 28 | 18.5% |
| luminal B | 10 | 17.2% | 5 | 17.2% | 19 | 29.7% | 34 | 22.5% | |
| HER2+ | 19 | 32.8% | 5 | 17.2% | 14 | 21.9% | 38 | 25.2% | |
| triple-negative | 28 | 48.3% | 6 | 20.7% | 14 | 21.9% | 48 | 31.8% | |
| NA | 1 | 1.7% | 1 | 3.5% | 1 | 1.5% | 3 | 2.0% | |
| Recurrence | local | 1 | 1.7% | 2 | 6.9% | 5 | 7.8% | 8 | 5.3% |
| systemic | 1 | 1.7% | 3 | 10.3% | 17 | 26.6% | 21 | 13.9% | |
| local-systemic | 0 | 0.0% | 1 | 0.66% | 1 | 0.66% | 2 | 1.32% | |
| LR event | yes | 1 | 1.7% | 3 | 10.3% | 6 | 9.4% | 10 | 6.6% |
| no | 57 | 98.3% | 26 | 89.7% | 58 | 90.6% | 141 | 93.4% | |
| DFS event | yes | 2 | 3.4% | 6 | 20.7% | 23 | 35.9% | 31 | 20.5% |
| no | 56 | 96.6% | 23 | 79.3% | 41 | 64.1% | 120 | 79.5% | |
| OS event | yes | 0 | 0.0% | 4 | 13.8% | 11 | 17.2% | 15 | 9.9% |
| no | 58 | 100.0% | 25 | 86.2% | 53 | 82.8% | 136 | 90.1% | |
Publisher’s Note: MDPI stays neutral with regard to jurisdictional claims in published maps and institutional affiliations. |
© 2022 by the authors. Licensee MDPI, Basel, Switzerland. This article is an open access article distributed under the terms and conditions of the Creative Commons Attribution (CC BY) license (https://creativecommons.org/licenses/by/4.0/).
Share and Cite
Atzori, G.; Gipponi, M.; Cornacchia, C.; Diaz, R.; Sparavigna, M.; Gallo, M.; Ruelle, T.; Murelli, F.; Franchelli, S.; Depaoli, F.; et al. “No Ink on Tumor” in Breast-Conserving Surgery after Neoadjuvant Chemotherapy. J. Pers. Med. 2022, 12, 1031. https://doi.org/10.3390/jpm12071031
Atzori G, Gipponi M, Cornacchia C, Diaz R, Sparavigna M, Gallo M, Ruelle T, Murelli F, Franchelli S, Depaoli F, et al. “No Ink on Tumor” in Breast-Conserving Surgery after Neoadjuvant Chemotherapy. Journal of Personalized Medicine. 2022; 12(7):1031. https://doi.org/10.3390/jpm12071031
Chicago/Turabian StyleAtzori, Giulia, Marco Gipponi, Chiara Cornacchia, Raquel Diaz, Marco Sparavigna, Maurizio Gallo, Tommaso Ruelle, Federica Murelli, Simonetta Franchelli, Francesca Depaoli, and et al. 2022. "“No Ink on Tumor” in Breast-Conserving Surgery after Neoadjuvant Chemotherapy" Journal of Personalized Medicine 12, no. 7: 1031. https://doi.org/10.3390/jpm12071031
APA StyleAtzori, G., Gipponi, M., Cornacchia, C., Diaz, R., Sparavigna, M., Gallo, M., Ruelle, T., Murelli, F., Franchelli, S., Depaoli, F., Friedman, D., & Fregatti, P. (2022). “No Ink on Tumor” in Breast-Conserving Surgery after Neoadjuvant Chemotherapy. Journal of Personalized Medicine, 12(7), 1031. https://doi.org/10.3390/jpm12071031

