Associations between Choriocapillaris Flow on Optical Coherence Tomography Angiography and Cardiovascular Risk Profiles of Patients with Acute Myocardial Infarction
Abstract
:1. Introduction
2. Materials and Methods
2.1. Study Design
2.2. Ophthalmic Examination
2.3. OCTA Image Acquisition
2.4. OCTA Image Analysis
2.5. Clinical and Laboratory Evaluation
2.6. Cardiovascular Risk Scores
2.7. Statistical Analyses
3. Results
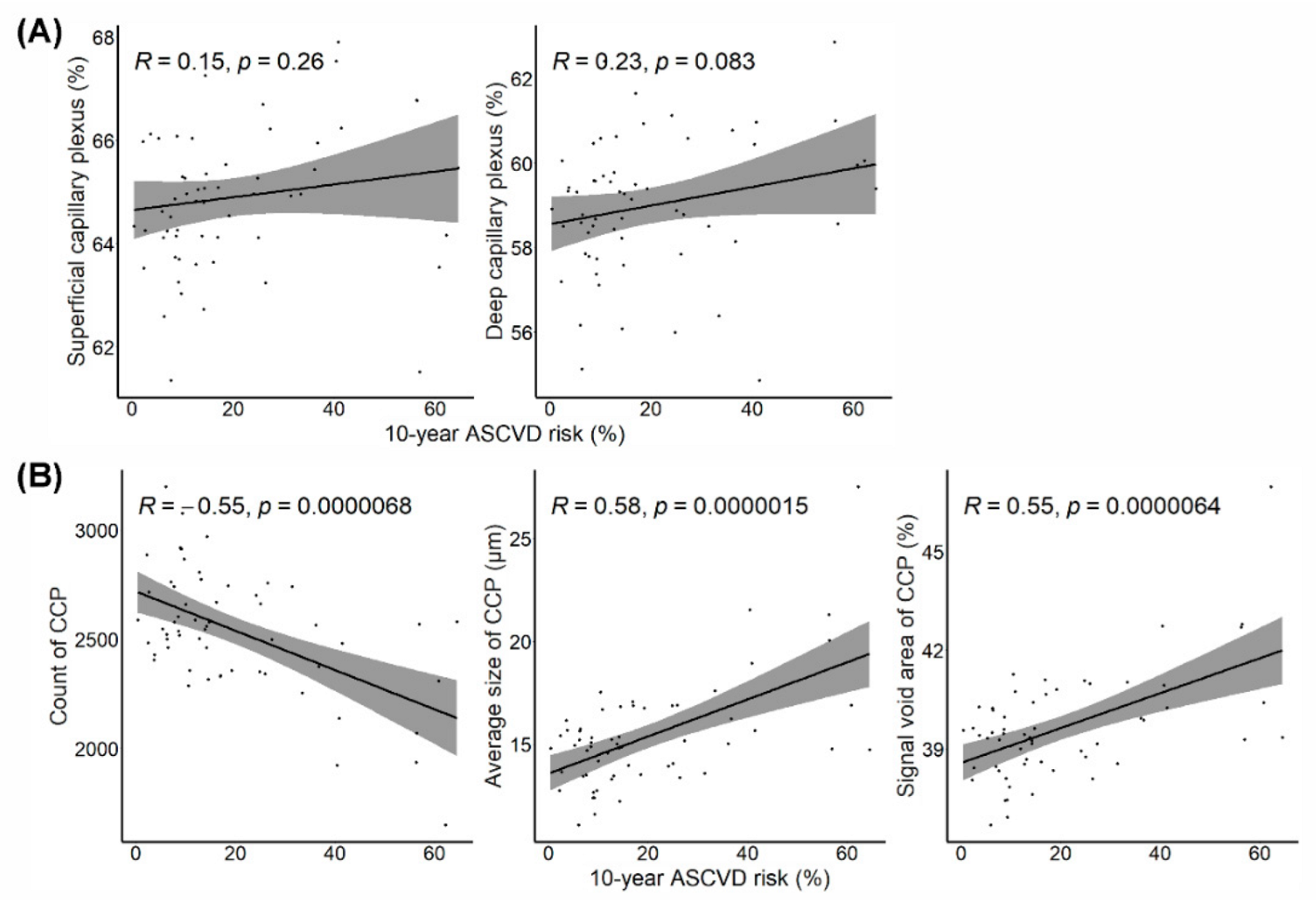
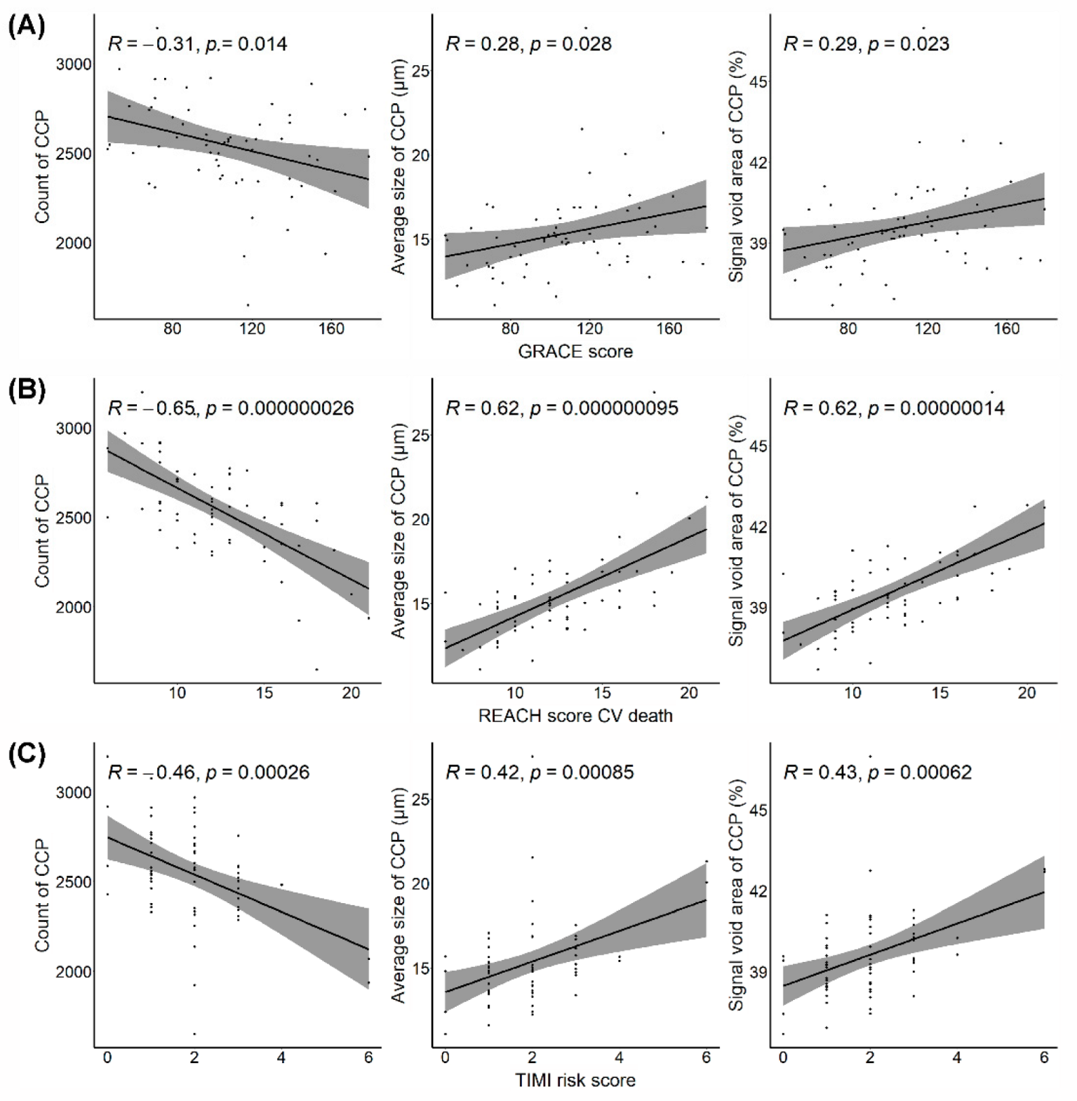
3.1. Baseline Characteristics According to the 10-Year ASCVD Risk and Association between OCTA Parameters and Cardiovascular Risk Scores
3.2. Baseline Characteristics According to Average Size of the Choriocapillaris Flow Void Area
3.3. Associated Factors for the High Average Size of the Choriocapillaris Flow Void Area
4. Discussion
5. Conclusions
Author Contributions
Funding
Institutional Review Board Statement
Informed Consent Statement
Data Availability Statement
Conflicts of Interest
References
- Smith, S.C., Jr.; Collins, A.; Ferrari, R.; Holmes, D.R., Jr.; Logstrup, S.; McGhie, D.V.; Ralston, J.; Sacco, R.L.; Stam, H.; Taubert, K.; et al. Our time: A call to save preventable death from cardiovascular disease (heart disease and stroke). Glob. Heart 2012, 7, 297–305. [Google Scholar] [CrossRef] [PubMed] [Green Version]
- Johnson, N.B.; Hayes, L.D.; Brown, K.; Hoo, E.C.; Ethier, K.A. CDC National Health Report: Leading causes of morbidity and mortality and associated behavioral risk and protective factors—United States, 2005–2013. MMWR Suppl. 2014, 63, 3–27. [Google Scholar] [PubMed]
- Arnett, D.K.; Blumenthal, R.S.; Albert, M.A.; Buroker, A.B.; Goldberger, Z.D.; Hahn, E.J.; Himmelfarb, C.D.; Khera, A.; Lloyd-Jones, D.; McEvoy, J.W.; et al. 2019 ACC/AHA Guideline on the Primary Prevention of Cardiovascular Disease: A Report of the American College of Cardiology/American Heart Association Task Force on Clinical Practice Guidelines. Circulation 2019, 140, e596–e646. [Google Scholar] [CrossRef]
- Smith, S.C., Jr.; Allen, J.; Blair, S.N.; Bonow, R.O.; Brass, L.M.; Fonarow, G.C.; Grundy, S.M.; Hiratzka, L.; Jones, D.; Krumholz, H.M.; et al. AHA/ACC guidelines for secondary prevention for patients with coronary and other atherosclerotic vascular disease: 2006 update: Endorsed by the National Heart, Lung, and Blood Institute. Circulation 2006, 113, 2363–2372. [Google Scholar] [CrossRef] [PubMed]
- Liew, G.; Wang, J.J.; Mitchell, P.; Wong, T.Y. Retinal vascular imaging: A new tool in microvascular disease research. Circ. Cardiovasc. Imaging 2008, 1, 156–161. [Google Scholar] [CrossRef] [Green Version]
- Seidelmann, S.B.; Claggett, B.; Bravo, P.E.; Gupta, A.; Farhad, H.; Klein, B.E.; Klein, R.; Di Carli, M.; Solomon, S.D. Retinal Vessel Calibers in Predicting Long-Term Cardiovascular Outcomes: The Atherosclerosis Risk in Communities Study. Circulation 2016, 134, 1328–1338. [Google Scholar] [CrossRef] [Green Version]
- Arnould, L.; Guenancia, C.; Azemar, A.; Alan, G.; Pitois, S.; Bichat, F.; Zeller, M.; Gabrielle, P.H.; Bron, A.M.; Creuzot-Garcher, C.; et al. The EYE-MI Pilot Study: A Prospective Acute Coronary Syndrome Cohort Evaluated With Retinal Optical Coherence Tomography Angiography. Investig. Ophthalmol. Vis. Sci. 2018, 59, 4299–4306. [Google Scholar] [CrossRef] [Green Version]
- Zhong, P.; Li, Z.; Lin, Y.; Peng, Q.; Huang, M.; Jiang, L.; Li, C.; Kuang, Y.; Cui, S.; Yu, D.; et al. Retinal microvasculature impairments in patients with coronary artery disease: An optical coherence tomography angiography study. Acta Ophthalmol. 2021, 100, 225–233. [Google Scholar] [CrossRef]
- Arnould, L.; Guenancia, C.; Gabrielle, P.H.; Pitois, S.; Baudin, F.; Pommier, T.; Zeller, M.; Bron, A.M.; Creuzot-Garcher, C.; Cottin, Y. Influence of cardiac hemodynamic variables on retinal vessel density measurement on optical coherence tomography angiography in patients with myocardial infarction. J. Fr. D’ophtalmol. 2020, 43, 216–221. [Google Scholar] [CrossRef]
- Ibanez, B.; James, S.; Agewall, S.; Antunes, M.J.; Bucciarelli-Ducci, C.; Bueno, H.; Caforio, A.L.P.; Crea, F.; Goudevenos, J.A.; Halvorsen, S.; et al. 2017 ESC Guidelines for the management of acute myocardial infarction in patients presenting with ST-segment elevation: The Task Force for the management of acute myocardial infarction in patients presenting with ST-segment elevation of the European Society of Cardiology (ESC). Eur. Heart J. 2018, 39, 119–177. [Google Scholar] [CrossRef] [Green Version]
- Collet, J.P.; Thiele, H.; Barbato, E.; Barthélémy, O.; Bauersachs, J.; Bhatt, D.L.; Dendale, P.; Dorobantu, M.; Edvardsen, T.; Folliguet, T.; et al. 2020 ESC Guidelines for the management of acute coronary syndromes in patients presenting without persistent ST-segment elevation. Eur. Heart J. 2021, 42, 1289–1367. [Google Scholar] [CrossRef] [PubMed]
- Campbell, J.P.; Zhang, M.; Hwang, T.S.; Bailey, S.T.; Wilson, D.J.; Jia, Y.; Huang, D. Detailed Vascular Anatomy of the Human Retina by Projection-Resolved Optical Coherence Tomography Angiography. Sci. Rep. 2017, 7, 42201. [Google Scholar] [CrossRef] [PubMed] [Green Version]
- Mehta, N.; Liu, K.; Alibhai, A.Y.; Gendelman, I.; Braun, P.X.; Ishibazawa, A.; Sorour, O.; Duker, J.S.; Waheed, N.K. Impact of Binarization Thresholding and Brightness/Contrast Adjustment Methodology on Optical Coherence Tomography Angiography Image Quantification. Am. J. Ophthalmol. 2019, 205, 54–65. [Google Scholar] [CrossRef] [PubMed]
- Touboul, P.J.; Hennerici, M.G.; Meairs, S.; Adams, H.; Amarenco, P.; Bornstein, N.; Csiba, L.; Desvarieux, M.; Ebrahim, S.; Fatar, M.; et al. Mannheim carotid intima-media thickness consensus (2004–2006). An update on behalf of the Advisory Board of the 3rd and 4th Watching the Risk Symposium, 13th and 15th European Stroke Conferences, Mannheim, Germany, 2004, and Brussels, Belgium, 2006. Cerebrovasc. Dis. 2007, 23, 75–80. [Google Scholar] [CrossRef] [PubMed]
- Lang, R.M.; Badano, L.P.; Mor-Avi, V.; Afilalo, J.; Armstrong, A.; Ernande, L.; Flachskampf, F.A.; Foster, E.; Goldstein, S.A.; Kuznetsova, T.; et al. Recommendations for cardiac chamber quantification by echocardiography in adults: An update from the American Society of Echocardiography and the European Association of Cardiovascular Imaging. J. Am. Soc. Echocardiogr. Off. Publ. Am. Soc. Echocardiogr. 2015, 28, 1–39.e4. [Google Scholar] [CrossRef] [PubMed] [Green Version]
- Kim, H.L.; Im, M.S.; Seo, J.B.; Chung, W.Y.; Kim, S.H.; Kim, M.A.; Zo, J.H. The association between arterial stiffness and left ventricular filling pressure in an apparently healthy Korean population. Cardiovasc. Ultrasound 2013, 11, 2. [Google Scholar] [CrossRef] [Green Version]
- Antman, E.M.; Cohen, M.; Bernink, P.J.; McCabe, C.H.; Horacek, T.; Papuchis, G.; Mautner, B.; Corbalan, R.; Radley, D.; Braunwald, E. The TIMI risk score for unstable angina/non-ST elevation MI: A method for prognostication and therapeutic decision making. JAMA 2000, 284, 835–842. [Google Scholar] [CrossRef] [Green Version]
- Mohr, F.W.; Morice, M.C.; Kappetein, A.P.; Feldman, T.E.; Ståhle, E.; Colombo, A.; Mack, M.J.; Holmes, D.R., Jr.; Morel, M.A.; Van Dyck, N.; et al. Coronary artery bypass graft surgery versus percutaneous coronary intervention in patients with three-vessel disease and left main coronary disease: 5-year follow-up of the randomised, clinical SYNTAX trial. Lancet 2013, 381, 629–638. [Google Scholar] [CrossRef]
- Wilson, P.W.; D’Agostino, R., Sr.; Bhatt, D.L.; Eagle, K.; Pencina, M.J.; Smith, S.C.; Alberts, M.J.; Dallongeville, J.; Goto, S.; Hirsch, A.T.; et al. An international model to predict recurrent cardiovascular disease. Am. J. Med. 2012, 125, 695–703.e1. [Google Scholar] [CrossRef]
- Wong, T.Y.; Klein, R.; Nieto, F.J.; Klein, B.E.; Sharrett, A.R.; Meuer, S.M.; Hubbard, L.D.; Tielsch, J.M. Retinal microvascular abnormalities and 10-year cardiovascular mortality: A population-based case-control study. Ophthalmology 2003, 110, 933–940. [Google Scholar] [CrossRef]
- Dimmitt, S.B.; West, J.N.; Eames, S.M.; Gibson, J.M.; Gosling, P.; Littler, W.A. Usefulness of ophthalmoscopy in mild to moderate hypertension. Lancet 1989, 1, 1103–1106. [Google Scholar] [CrossRef]
- Wang, J.; Jiang, J.; Zhang, Y.; Qian, Y.W.; Zhang, J.F.; Wang, Z.L. Retinal and choroidal vascular changes in coronary heart disease: An optical coherence tomography angiography study. Biomed. Opt. Express 2019, 10, 1532–1544. [Google Scholar] [CrossRef] [PubMed]
- Pournaras, C.J.; Rungger-Brändle, E.; Riva, C.E.; Hardarson, S.H.; Stefansson, E. Regulation of retinal blood flow in health and disease. Prog. Retin. Eye Res. 2008, 27, 284–330. [Google Scholar] [CrossRef] [PubMed]
- Kim, Y.K.; An, Y.; Park, S.P. Intraocular and interocular differences in parafoveal vascular density in diabetic patients without diabetic retinopathy. Retina 2021, 41, 170–180. [Google Scholar] [CrossRef] [PubMed]
- Saito, M.; Noda, K.; Saito, W.; Hirooka, K.; Hashimoto, Y.; Ishida, S. Increased choroidal blood flow and choroidal thickness in patients with hypertensive chorioretinopathy. Graefes Arch. Clin. Exp. Ophthalmol. 2020, 258, 233–240. [Google Scholar] [CrossRef]
- Takayama, K.; Kaneko, H.; Ito, Y.; Kataoka, K.; Iwase, T.; Yasuma, T.; Matsuura, T.; Tsunekawa, T.; Shimizu, H.; Suzumura, A. Novel classification of early-stage systemic hypertensive changes in human retina based on OCTA measurement of choriocapillaris. Sci. Rep. 2018, 8, 15163. [Google Scholar] [CrossRef] [Green Version]
- Shin, Y.U.; Lee, S.E.; Kang, M.H.; Han, S.-W.; Yi, J.-H.; Cho, H. Evaluation of changes in choroidal thickness and the choroidal vascularity index after hemodialysis in patients with end-stage renal disease by using swept-source optical coherence tomography. Medicine 2019, 98, e15421. [Google Scholar] [CrossRef]
- Spaide, R.F. Choriocapillaris flow features follow a power law distribution: Implications for characterization and mechanisms of disease progression. Am. J. Ophthalmol. 2016, 170, 58–67. [Google Scholar] [CrossRef]
- Chua, J.; Chin, C.W.L.; Tan, B.; Wong, S.H.; Devarajan, K.; Le, T.-T.; Ang, M.; Wong, T.Y.; Schmetterer, L. Impact of systemic vascular risk factors on the choriocapillaris using optical coherence tomography angiography in patients with systemic hypertension. Sci. Rep. 2019, 9, 5819. [Google Scholar] [CrossRef]
- Kur, J.; Newman, E.A.; Chan-Ling, T. Cellular and physiological mechanisms underlying blood flow regulation in the retina and choroid in health and disease. Prog. Retin. Eye Res. 2012, 31, 377–406. [Google Scholar] [CrossRef] [Green Version]
- Ulleryd, M.A.; Prahl, U.; Börsbo, J.; Schmidt, C.; Nilsson, S.; Bergström, G.; Johansson, M.E. The association between autonomic dysfunction, inflammation and atherosclerosis in men under investigation for carotid plaques. PLoS ONE 2017, 12, e0174974. [Google Scholar] [CrossRef] [PubMed] [Green Version]
- Alten, F.; Lauermann, J.L.; Clemens, C.R.; Heiduschka, P.; Eter, N. Signal reduction in choriocapillaris and segmentation errors in spectral domain OCT angiography caused by soft drusen. Graefes Arch. Clin. Exp. Ophthalmol. 2017, 255, 2347–2355. [Google Scholar] [CrossRef] [PubMed]






| Overall Patients (n = 60) | Low ASCVD Risk (n = 20) | Intermediate ASCVDRisk (n = 20) | High ASCVD Risk (n = 20) | p-Value | |
|---|---|---|---|---|---|
| OCTA parameter | |||||
| Superficial capillary plexus | 64.91 ± 1.41 | 64.66 ± 1.54 | 64.76 ± 1.07 | 65.31 ± 1.55 | 0.289 |
| Deep capillary plexus | 59.01 ± 1.63 | 58.48 ± 1.30 | 59.31 ± 1.54 | 59.23 ± 1.95 | 0.212 |
| Choriocapillaris parameter | |||||
| Count | 2544 ± 277 | † 2661 ± 212 | ‡ 2607 ± 225 | 2363 ± 299 | 0.001 |
| Average size | 15.34 ± 2.63 | † 14.29 ± 1.43 | ‡ 14.69 ± 1.69 | 17.06 ± 3.44 | 0.001 |
| Signal void | 39.60 ± 1.64 | † 38.96 ± 1.04 | ‡ 39.19 ± 1.18 | 40.63 ± 2.03 | 0.001 |
| Clinical characteristics | |||||
| Age, years | 59 ± 12 | †,* 49 ± 8 | ‡ 58 ± 9 | 69 ± 11 | <0.001 |
| Male sex, n (%) | 54 (90) | 16 (80) | 19 (95) | 19 (95) | 0.344 |
| Systolic blood pressure, mmHg | 136 ± 31 | † 121 ± 25 | ‡ 130 ± 29 | 157 ± 28 | <0.001 |
| Diastolic blood pressure, mmHg | 83 ± 19 | 80 ± 16 | 80 ± 20 | 91 ± 19 | 0.118 |
| Heart rate, beats/min | 78 ± 23 | 76 ± 23 | 75 ± 19 | 83 ± 28 | 0.519 |
| Current smoker, n (%) | 37 (61.7) | 11 (55) | 16 (80) | 10 (50) | 0.112 |
| STEMI, n (%) | 37 (61.7) | 14 (70) | 14 (70) | 9 (45) | 0.172 |
| Killip class | 1.5 ± 1.0 | 1.7 ± 1.2 | 1.7 ± 1.2 | 1.2 ± 0.5 | 0.152 |
| Comorbidities, n (%) | |||||
| Hypertension, n (%) | 27 (45) | 7 (35) | 7 (35) | 13 (65) | 0.089 |
| Diabetes, n (%) | 17 (28.3) | 3 (15) | 4 (20) | 10 (50) | 0.029 |
| Dyslipidemia, n (%) | 14 (23.3) | 4 (20) | 3 (15) | 7 (35) | 0.404 |
| Chronic kidney disease, n (%) | 13 (21.7) | 1 (5) | 2 (10) | 10 (50) | 0.001 |
| Ischemic stroke, n (%) | 3 (5) | 1 (5) | 1 (5) | 1 (5) | 1 |
| Laboratory findings | |||||
| Troponin I, ng/mL | 3.2 ± 9.7 | 5.1 ± 14.8 | 3.1 ± 7.8 | 1.3 ± 2.2 | 0.477 |
| BNP, pg/mL | 260 ± 464 | 194 ± 201 | 126 ± 192 | 459 ± 726 | 0.053 |
| Creatinine, mg/dL | 0.98 ± 0.42 | 0.92 ± 0.40 | 0.95 ± 0.21 | 1.06 ± 0.58 | 0.552 |
| eGFR, mL/min/1.73 m2 | 87 ± 20 | † 95 ± 23 | 87 ± 15 | 78 ± 20 | 0.038 |
| Glucose level, mg/dL | 168 ± 78 | 163 ± 59 | 178 ± 105 | 164 ± 63 | 0.798 |
| Total cholesterol level, mg/dL | 173 ± 43 | 184 ± 51 | 165 ± 28 | 171 ± 46 | 0.395 |
| Triglyceride level, mg/dL | 155 ± 68 | 166 ± 78 | 140 ± 60 | 158 ± 66 | 0.493 |
| HDL-C level, mg/dL | 41 ± 9 | 43 ± 8 | 39 ± 8 | 40 ± 10 | 0.37 |
| LDL-C level, mg/dL | 97 ± 34 | 106 ± 36 | 100 ± 25 | 87 ± 37 | 0.195 |
| LVEF, % | 51 ± 12 | 49 ± 9 | 52 ± 11 | 50 ± 16 | 0.719 |
| baPWV, cm/second | 1587 ± 361 | † 1454 ± 202 | 1512 ± 237 | 1788 ± 483 | 0.01 |
| CIMT, mm | 0.67 ± 0.12 | 0.64 ± 0.14 | 0.67 ± 0.13 | 0.71 ± 0.09 | 0.201 |
| Carotid plaque, n (%) | 21 (40.4) | 4 (23.5) | 6 (33.3) | 11 (64.7) | 0.038 |
| Overall Patients (n = 60) | Low Average Size of CCP (n = 20) | Intermediate Average Size of CCP (n = 20) | High Average Size of CCP (n = 20) | p-Value | |
|---|---|---|---|---|---|
| Clinical characteristics | |||||
| Age, years | 59 ± 12 | † 53 ± 8 | ‡ 56 ± 12 | 68 ± 11 | <0.001 |
| Male sex, n (%) | 54 (90) | 18 (90) | 18 (90) | 18 (90) | 1 |
| Systolic blood pressure, mmHg | 136 ± 31 | 137 ± 38 | 132 ± 27 | 140 ± 29 | 0.752 |
| Diastolic blood pressure, mmHg | 83 ± 19 | 86 ± 21 | 83 ± 19 | 82 ± 17 | 0.775 |
| Heart rate, beats/min | 78 ± 23 | 78 ± 20 | 77 ± 33 | 80 ± 14 | 0.935 |
| Current smoker, n (%) | 37 (61.7) | 16 (80) | 12 (60) | 9 (45) | 0.088 |
| STEMI, n (%) | 37 (61.7) | 13 (65) | 13 (65) | 11 (55) | 0.842 |
| Killip class | 1.5 ± 1.0 | 1.6 ± 1.2 | 1.4 ± 0.8 | 1.6 ± 1.1 | 0.821 |
| Comorbidities, n (%) | |||||
| Hypertension, n (%) | 27 (45) | 1 (5) | 11 (55) | 15 (75) | <0.001 |
| Diabetes mellitus, n (%) | 17 (28.3) | 5 (25) | 4 (20) | 8 (40) | 0.45 |
| Dyslipidemia, n (%) | 14 (23.3) | 0 (0) | 7 (35) | 7 (35) | 0.006 |
| Chronic kidney disease, n (%) | 13 (21.7) | 3 (15) | 2 (10) | 8 (40) | 0.09 |
| Ischemic stroke, n (%) | 3 (5) | 0 (0) | 1 (5) | 2 (10) | 0.766 |
| Laboratory findings | |||||
| Troponin I, ng/mL | 3.2 ± 9.7 | 0.3 ± 0.5 | 6.2 ± 15.8 | 3.0 ± 5.0 | 0.163 |
| BNP, pg/mL | 260 ± 464 | † 94 ± 103 | 184 ± 206 | 501 ± 721 | 0.012 |
| Creatinine, mg/dL | 0.98 ± 0.42 | 0.92 ± 0.23 | 0.94 ± 0.35 | 1.07 ± 0.60 | 0.513 |
| eGFR, mL/min/1.73 m2 | 87 ± 20 | 92 ± 17 | 90 ± 21 | 79 ± 21 | 0.103 |
| Glucose level, mg/dL | 168 ± 78 | 178 ± 102 | 155 ± 63 | 172 ± 64 | 0.617 |
| Total cholesterol level, mg/dL | 173 ± 43 | † 198 ± 46 | 167 ± 33 | 155 ± 38 | 0.003 |
| Triglyceride level, mg/dL | 155 ± 68 | 166 ± 63 | 160 ± 77 | 139 ± 64 | 0.409 |
| HDL-C level, mg/dL | 41 ± 9 | 40 ± 9 | 40 ± 8 | 42 ± 11 | 0.615 |
| LDL-C level, mg/dL | 97 ± 34 | † 117 ± 37 | 95 ± 21 | 81 ± 33 | 0.002 |
| LVEF, % | 51 ± 12 | 53 ± 10 | 50 ± 11 | 49 ± 15 | 0.548 |
| baPWV, cm/second | 1587 ± 361 | 1481 ± 204 | 1654 ± 417 | 1623 ± 413 | 0.328 |
| CIMT, mm | 0.67 ± 0.12 | 0.63 ± 0.10 | 0.69 ± 0.14 | 0.71 ± 0.11 | 0.162 |
| Carotid plaque, n (%) | 21 (40.4) | 5 (26.3) | 8 (42.1) | 8 (57.1) | 0.223 |
| Cardiovascular risk score | |||||
| 10-year ASCVD risk (%) | 19.7 ± 17.0 | † 13.3 ± 8.3 | 16.5 ± 17.2 | 29.1 ± 19.5 | 0.007 |
| GRACE score | 107 ± 33 | † 99 ± 38 | 100 ± 27 | 123 ± 29 | 0.032 |
| TIMI risk score | 2.0 ± 1.2 | † 1.4 ± 0.7 | 1.9 ± 1.0 | 2.6 ± 1.5 | 0.009 |
| REACH score CV death | 12.4 ± 3.5 | † 10.3 ± 2.2 | ‡ 11.9 ± 3.0 | 15.0 ± 3.4 | <0.001 |
| REACH score CV event | 14.4 ± 3.8 | † 12.6 ± 2.7 | ‡ 13.7 ± 3.5 | 17.0 ± 3.7 | <0.001 |
| SYNTAX score | 15.8 ± 8.0 | 15.4 ± 8.1 | 15.4 ± 8.5 | 16.7 ± 7.6 | 0.834 |
| * Variables | Univariate | ‡ Multivariate | ||
|---|---|---|---|---|
| OR (95% CI) | p-Value | Adjusted OR (95% CI) | p-Value | |
| Chronic kidney disease, n (%) | 4.667 (1.278–17.047) | 0.020 | – | – |
| BNP, pg/mL | 1.003 (1.0005–1.006) | 0.020 | 1.003 (1.0001–1.005) | 0.044 |
| eGFR, mL/min/1.73 m2 | 0.972 (0.945–0.999) | 0.046 | – | – |
| † 10-year ASCVD risk | 1.053 (1.015–1.092) | 0.006 | 1.044 (1.006–1.084) | 0.024 |
| * Variables | Univariate | ‡ Multivariate | ||
|---|---|---|---|---|
| OR (95% CI) | p-Value | Adjusted OR (95% CI) | p-Value | |
| Hypertension, n (%) | 7.000 (2.072–23.645) | 0.002 | 6.763 (1.741–26.274) | 0.006 |
| Chronic kidney disease, n (%) | 4.667 (1.278–17.047) | 0.020 | 4.503 (0.915–22.160) | 0.064 |
| BNP, pg/mL | 1.003 (1.0005–1.006) | 0.020 | – | – |
| Total cholesterol level, mg/dL | 0.981 (0.965–0.997) | 0.022 | – | – |
| LDL-C level, mg/dL | 0.973 (0.954–0.994) | 0.011 | – | – |
| † GRACE score | 1.024 (1.005–1.044) | 0.013 | 1.021 (1.001–1.042) | 0.042 |
| * Variables | Univariate | ‡ Multivariate | ||
|---|---|---|---|---|
| OR (95% CI) | p-Value | Adjusted OR (95% CI) | p-Value | |
| Hypertension, n (%) | 7.000 (2.072–23.645) | 0.002 | – | – |
| Chronic kidney disease, n (%) | 4.667 (1.278–17.047) | 0.020 | – | – |
| BNP, pg/mL | 1.003 (1.0005–1.006) | 0.020 | 1.002 (0.999–1.005) | 0.147 |
| Total cholesterol level, mg/dL | 0.981 (0.965–0.997) | 0.022 | – | – |
| LDL-C level, mg/dL | 0.973 (0.954–0.994) | 0.011 | – | – |
| eGFR, mL/min/1.73 m2 | 0.972 (0.945–0.999) | 0.046 | – | – |
| † REACH score CV death | 1.499 (1.198–1.876) | <0.001 | 1.413 (1.121–1.782) | 0.003 |
Publisher’s Note: MDPI stays neutral with regard to jurisdictional claims in published maps and institutional affiliations. |
© 2022 by the authors. Licensee MDPI, Basel, Switzerland. This article is an open access article distributed under the terms and conditions of the Creative Commons Attribution (CC BY) license (https://creativecommons.org/licenses/by/4.0/).
Share and Cite
Kim, D.S.; Kim, B.S.; Cho, H.; Shin, J.-H.; Shin, Y.U. Associations between Choriocapillaris Flow on Optical Coherence Tomography Angiography and Cardiovascular Risk Profiles of Patients with Acute Myocardial Infarction. J. Pers. Med. 2022, 12, 839. https://doi.org/10.3390/jpm12050839
Kim DS, Kim BS, Cho H, Shin J-H, Shin YU. Associations between Choriocapillaris Flow on Optical Coherence Tomography Angiography and Cardiovascular Risk Profiles of Patients with Acute Myocardial Infarction. Journal of Personalized Medicine. 2022; 12(5):839. https://doi.org/10.3390/jpm12050839
Chicago/Turabian StyleKim, Dae Sung, Byung Sik Kim, Heeyoon Cho, Jeong-Hun Shin, and Yong Un Shin. 2022. "Associations between Choriocapillaris Flow on Optical Coherence Tomography Angiography and Cardiovascular Risk Profiles of Patients with Acute Myocardial Infarction" Journal of Personalized Medicine 12, no. 5: 839. https://doi.org/10.3390/jpm12050839
APA StyleKim, D. S., Kim, B. S., Cho, H., Shin, J.-H., & Shin, Y. U. (2022). Associations between Choriocapillaris Flow on Optical Coherence Tomography Angiography and Cardiovascular Risk Profiles of Patients with Acute Myocardial Infarction. Journal of Personalized Medicine, 12(5), 839. https://doi.org/10.3390/jpm12050839

