Appendiceal Orifice Inflammation Is Associated with Lower Rate of Complete Endoscopic Remission in Patients with Ulcerative Colitis
Abstract
1. Introduction
2. Materials and Methods
2.1. Patients
2.2. Study Design and Definitions
2.3. Statistical Analysis
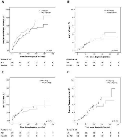
3. Results
3.1. Baseline Characteristics of the Patients
3.2. Complete ER
3.3. Use of Biologics
3.4. Hospitalization
3.5. Proximal Disease Extension
4. Discussion
5. Conclusions
Author Contributions
Funding
Institutional Review Board Statement
Informed Consent Statement
Data Availability Statement
Conflicts of Interest
References
- Ungaro, R.; Mehandru, S.; Allen, P.B.; Peyrin-Biroulet, L.; Colombel, J.-F. Ulcerative colitis. Lancet 2017, 389, 1756–1770. [Google Scholar] [CrossRef]
- Etchevers, M.J.; Aceituno, M.; García-Bosch, O.; Ordás, I.; Sans, M.; Ricart, E.; Panés, J. Risk factors and characteristics of extent progression in ulcerative colitis. Inflamm. Bowel Dis. 2009, 15, 1320–1325. [Google Scholar] [CrossRef] [PubMed]
- Frøslie, K.F.; Jahnsen, J.; Moum, B.A.; Vatn, M.H.; IBSEN Group. Mucosal healing in inflammatory bowel disease: Results from a Norwegian population-based cohort. Gastroenterology 2007, 133, 412–422. [Google Scholar] [CrossRef]
- Meucci, G.; Fasoli, R.; Saibeni, S.; Valpiani, D.; Gullotta, R.; Colombo, E.; D’Incà, R.; .Terpin, M.; Lombardi, G.; on Behalf of the IG-IBD. Prognostic significance of endoscopic remission in patients with active ulcerative colitis treated with oral and topical mesalazine: A prospective, multicenter study. Inflamm. Bowel Dis. 2012, 18, 1006–1010. [Google Scholar] [CrossRef] [PubMed]
- Yang, S.-K.; Jung, H.-Y.; Kang, G.H.; Kim, Y.M.; Myung, S.J.; Shim, K.N.; Hong, W.-S.; Min, Y.I. Appendiceal orifice inflammation as a skip lesion in ulcerative colitis: An analysis in relation to medical therapy and disease extent. Gastrointest. Endosc. 1999, 49, 743–747. [Google Scholar] [CrossRef]
- Park, S.H.; Loftus, E.V.; Yang, S.-K. Appendiceal skip inflammation and ulcerative colitis. Dig. Dis. Sci. 2014, 59, 2050–2057. [Google Scholar] [CrossRef]
- Anzai, H.; Hata, K.; Kishikawa, J.; Ishii, H.; Yasuda, K.; Otani, K.; Nishikawa, T.; Tanaka, T.; Kiyomatsu, T.; Kawai, K.; et al. Appendiceal orifice inflammation is associated with proximal extension of disease in patients with ulcerative colitis. Colorectal Dis. 2016, 18, O278–O282. [Google Scholar] [CrossRef]
- Bakman, Y.; Katz, J.; Shepela, C. Clinical significance of isolated peri-appendiceal lesions in patients with left sided ulcerative colitis. Gastroenterol. Res. 2011, 4, 58. [Google Scholar] [CrossRef][Green Version]
- Byeon, J.-S.; Yang, S.-K.; Myung, S.-J.; Pyo, S.I.; Park, H.J.; Kim, Y.M.; Lee, Y.J.; Hong, S.S.; Kim, K.-J.; Lee, G.H.; et al. Clinical course of distal ulcerative colitis in relation to appendiceal orifice inflammation status. Inflamm. Bowel Dis. 2005, 11, 366–371. [Google Scholar] [CrossRef]
- D’Haens, G.; Geboes, K.; Peeters, M.; Baert, F.; Ectors, N.; Rutgeerts, P. Patchy cecal inflammation associated with distal ulcerative colitis: A prospective endoscopic study. Am. J. Gastroenterol. 1997, 92, 1275–1279. [Google Scholar]
- Matsumoto, T.; Nakamura, S.; Shimizu, M.; Iida, M. Significance of appendiceal involvement in patients with ulcerative colitis. Gastrointest. Endosc. 2002, 55, 180–185. [Google Scholar] [CrossRef] [PubMed]
- Rubin, D.T.; Rothe, J.A. The peri-appendiceal red patch in ulcerative colitis: Review of the University of Chicago experience. Dig. Dis. Sci. 2010, 55, 3495–3501. [Google Scholar] [CrossRef] [PubMed]
- E Naves, J.; Lorenzo-Zúñiga, V.; Marín, L.; Mañosa, M.; Oller, B.; Moreno, V.; Zabana, Y.; Boix, J.; Cabré, E.; Domènech, E. Long-term outcome of patients with distal ulcerative colitis and inflammation of the appendiceal orifice. J. Gastrointest. Liver Dis. 2011, 20, 355–358. [Google Scholar]
- Andersson, R.; Olaison, G.; Tysk, C.; Ekbom, A. Appendectomy and protection against ulcerative colitis. N. Engl. J. Med. 2001, 344, 808–814. [Google Scholar] [CrossRef] [PubMed]
- Rutgeerts, P.; D’Haens, G.; Hiele, M.; Geboes, K.; Vantrappen, G. Appendectomy protects against ulcerative colitis. Gastroenterology 1994, 106, 1251–1253. [Google Scholar] [CrossRef]
- Yamagishi, N.; Iizuka, B.-E.; Nakamura, T.; Suzuki, S.; Hayashi, N. Clinical and colonoscopic investigation of skipped periappendiceal lesions in ulcerative colitis. Scand. J. Gastroenterol. 2002, 37, 177–182. [Google Scholar] [CrossRef]
- Colombel, J.F.; Rutgeerts, P.; Reinisch, W.; Esser, D.; Wang, Y.; Lang, Y.; Marano, C.W.; Strauss, R.; Oddens, B.J.; Feagan, B.G.; et al. Early mucosal healing with infliximab is associated with improved long-term clinical outcomes in ulcerative colitis. Gastroenterology 2011, 141, 1194–1201. [Google Scholar] [CrossRef]
- Ardizzone, S.; Cassinotti, A.; Duca, P.; Mazzali, C.; Penati, C.; Manes, G.; Marmo, R.; Massari, A.; Molteni, P.; Maconi, G.; et al. Mucosal healing predicts late outcomes after the first course of corticosteroids for newly diagnosed ulcerative colitis. Clin. Gastroenterol. Hepatol. 2011, 9, 483–489. [Google Scholar] [CrossRef]
- Rutter, M.D.; Saunders, B.P.; Wilkinson, K.H.; Rumbles, S.; Schofield, G.; A Kamm, M.; Williams, C.B.; Price, A.B.; Talbot, I.C.; Forbes, A. Cancer surveillance in longstanding ulcerative colitis: Endoscopic appearances help predict cancer risk. Gut 2004, 53, 1813–1816. [Google Scholar] [CrossRef]
- Casellas, F.; de Acosta, M.B.; Iglesias, M.; Robles, V.; Nos, P.; Aguas, M.; Riestra, S.; de Francisco, R.; Papo, M.; Borruel, N. Mucosal healing restores normal health and quality of life in patients with inflammatory bowel disease. Eur. J. Gastroenterol. Hepatol. 2012, 24, 762–769. [Google Scholar] [CrossRef]
- Zahn, A.; Hinz, U.; Karner, M.; Ehehalt, R.; Stremmel, W. Health-related quality of life correlates with clinical and endoscopic activity indexes but not with demographic features in patients with ulcerative colitis. Inflamm. Bowel Dis. 2006, 12, 1058–1067. [Google Scholar] [CrossRef] [PubMed]
- Boal Carvalho, P.; Dias de Castro, F.; Rosa, B.; Moreira, M.J.; Cotter, J. Mucosal healing in ulcerative colitis–when zero is better. J. Crohns Colitis 2016, 10, 20–25. [Google Scholar] [CrossRef] [PubMed]
- Nakarai, A.; Kato, J.; Hiraoka, S.; Inokuchi, T.; Takei, D.; Moritou, Y.; Akita, M.; Takahashi, S.; Hori, K.; Harada, K.; et al. Prognosis of ulcerative colitis differs between patients with complete and partial mucosal healing, which can be predicted from the platelet count. World J. Gastroenterol. WIJG 2014, 20, 18367. [Google Scholar] [CrossRef]
- Shah, S.C.; Colombel, J.-F.; Sands, B.E.; Narula, N. Mucosal healing is associated with improved long-term outcomes of patients with ulcerative colitis: A systematic review and meta-analysis. Clin. Gastroenterol. Hepatol. 2016, 14, 1245–1255. [Google Scholar] [CrossRef]
- Ye, B.D.; Travis, S. Improving the quality of care for inflammatory bowel disease. Intest. Res. 2019, 17, 45. [Google Scholar] [CrossRef] [PubMed]
- Barreiro-de Acosta, M.; Vallejo, N.; de la Iglesia, D.; Uribarri, L.; Bastón, I.; Ferreiro-Iglesias, R.; Lorenzo, A.; Domínguez-Muñoz, J.E. Evaluation of the risk of relapse in ulcerative colitis according to the degree of mucosal healing (Mayo 0 vs. 1): A longitudinal cohort study. J. Crohns Colitis 2016, 10, 13–19. [Google Scholar] [CrossRef]
- Yoon, H.; Jangi, S.; Dulai, P.S.; Boland, B.S.; Prokop, L.J.; Jairath, V.; Feagan, B.G.; Sandborn, W.J.; Singh, S. Incremental benefit of achieving endoscopic and histologic remission in patients with ulcerative colitis: A systematic review and meta-analysis. Gastroenterology 2020, 159, 1262–1275. [Google Scholar] [CrossRef]
- Ozaki, R.; Kobayashi, T.; Okabayashi, S.; Nakano, M.; Morinaga, S.; Hara, A.; Ohbu, M.; Matsuoka, K.; Toyonaga, T.; Saito, E.; et al. Histological risk factors to predict clinical relapse in ulcerative colitis with endoscopically normal mucosa. J. Crohns Colitis 2018, 12, 1288–1294. [Google Scholar] [CrossRef]
- Narang, V.; Kaur, R.; Garg, B.; Mahajan, R.; Midha, V.; Sood, N.; Sood, A. Association of endoscopic and histological remission with clinical course in patients of ulcerative colitis. Intest. Res. 2018, 16, 55. [Google Scholar] [CrossRef]
- Jangi, S.; Yoon, H.; Dulai, P.S.; Valasek, M.; Boland, B.S.; Jairath, V.; Feagan, B.G.; Sandborn, W.J.; Singh, S. Predictors and outcomes of histological remission in ulcerative colitis treated to endoscopic healing. Aliment. Pharmacol. Ther. 2020, 52, 1008–1016. [Google Scholar] [CrossRef]
- Yvellez, O.V.; Rai, V.; Sossenheimer, P.H.; Hart, J.; Turner, J.R.; Weber, C.; El Jurdi, K.; Rubin, D.T. Cumulative histologic inflammation predicts colorectal neoplasia in ulcerative colitis: A validation study. Inflamm. Bowel Dis. 2021, 27, 203–206. [Google Scholar] [CrossRef] [PubMed]

| Total | AOI Group | Non-AOI Group | p | |
|---|---|---|---|---|
| (n = 318) | (n = 140) | (n = 178) | ||
| Age, years (median, IQR) | 36 (25–51) | 36 (24–50) | 36 (26–51) | 0.802 |
| Age, Montreal classification (n, %) | 0.952 | |||
| A1 | 9 (2.8) | 4 (2.9) | 5 (2.8) | |
| A2 | 174 (54.7) | 78 (55.7) | 96 (53.9) | |
| A3 | 135 (42.5) | 58 (41.4) | 77 (43.3) | |
| Sex, male (n, %) | 192 (60.4) | 89(63.6) | 103 (57.9) | 0.302 |
| Disease extent, at diagnosis (n, %) | 0.809 | |||
| E1 | 134 (42.2) | 60 (42.9) | 74 (41.6) | |
| E2 | 99 (31.1) | 41 (29.3) | 58 (32.6) | |
| E3 | 85 (26.7) | 39 (27.9) | 46 (25.8) | |
| EIM (n, %) | 23 (7.2) | 9 (6.4) | 14 (7.9) | 0.623 |
| MES, at diagnosis (n, %) | 0.464 | |||
| 2 | 253 (79.6) | 114 (81.4) | 139 (78.1) | |
| 3 | 65 (20.4) | 26 (18.6) | 39 (21.9) | |
| Use of medications (n, %) | ||||
| Systemic steroids | 202 (63.5) | 85 (60.7) | 117 (65.7) | 0.356 |
| Immunomodulators | 116 (36.5) | 49 (35.0) | 67 (37.6) | 0.627 |
| Biologics | 54 (17.0) | 23 (16.4) | 31 (17.4) | 0.816 |
| Follow-up duration, months (median, IQR) | 52 (26–102) | 59 (34–96) | 50 (23–111) | 0.105 |
| Univariate | Multivariate | |||
|---|---|---|---|---|
| HR (95% CI) | p | HR (95% CI) | p | |
| Age, Montreal Classification | - | - | ||
| A1 | Reference | |||
| A2 | 1.320 (0.414–4.206) | 0.638 | ||
| A3 | 1.326 (0.415–4.243) | 0.634 | ||
| Sex | - | - | ||
| Male | Reference | |||
| Female | 0.805 (0.565–1.145) | 0.805 | ||
| AOI | ||||
| No | Reference | Reference | ||
| Yes | 0.698 (0.492–0.989) | 0.043 | 0.656 (0.462–0.932) | 0.019 |
| Disease extent, at diagnosis | - | - | ||
| E1 | Reference | |||
| E2 | 0.826 (0.552–1.234) | 0.35 | ||
| E3 | 0.855 (0.560–1.307) | 0.47 | ||
| EIM | - | - | ||
| No | Reference | |||
| Yes | 0.861 (0.473–1.570) | 0.626 | ||
| MES, at diagnosis | - | - | ||
| 2 | Reference | |||
| 3 | 0.807 (0.525–1.241) | 0.33 | ||
| Use of medications | ||||
| Systemic steroids | 0.559 (0.394–0.794) | 0.001 | 0.556 (0.370–0.837) | 0.005 |
| Immunomodulators | 0.720 (0.502–1.032) | 0.073 | 0.919 (0.606–1.395) | 0.692 |
| Biologics | 0.852 (0.547–1.328) | 0.48 | - | - |
Publisher’s Note: MDPI stays neutral with regard to jurisdictional claims in published maps and institutional affiliations. |
© 2022 by the authors. Licensee MDPI, Basel, Switzerland. This article is an open access article distributed under the terms and conditions of the Creative Commons Attribution (CC BY) license (https://creativecommons.org/licenses/by/4.0/).
Share and Cite
Oh, C.K.; Lee, H.H.; Kim, J.S.; Lee, B.-I.; Cho, Y.-S. Appendiceal Orifice Inflammation Is Associated with Lower Rate of Complete Endoscopic Remission in Patients with Ulcerative Colitis. J. Pers. Med. 2022, 12, 748. https://doi.org/10.3390/jpm12050748
Oh CK, Lee HH, Kim JS, Lee B-I, Cho Y-S. Appendiceal Orifice Inflammation Is Associated with Lower Rate of Complete Endoscopic Remission in Patients with Ulcerative Colitis. Journal of Personalized Medicine. 2022; 12(5):748. https://doi.org/10.3390/jpm12050748
Chicago/Turabian StyleOh, Chang Kyo, Han Hee Lee, Jin Su Kim, Bo-In Lee, and Young-Seok Cho. 2022. "Appendiceal Orifice Inflammation Is Associated with Lower Rate of Complete Endoscopic Remission in Patients with Ulcerative Colitis" Journal of Personalized Medicine 12, no. 5: 748. https://doi.org/10.3390/jpm12050748
APA StyleOh, C. K., Lee, H. H., Kim, J. S., Lee, B.-I., & Cho, Y.-S. (2022). Appendiceal Orifice Inflammation Is Associated with Lower Rate of Complete Endoscopic Remission in Patients with Ulcerative Colitis. Journal of Personalized Medicine, 12(5), 748. https://doi.org/10.3390/jpm12050748

