Differential Association of Selected Adipocytokines, Adiponectin, Leptin, Resistin, Visfatin and Chemerin, with the Pathogenesis and Progression of Type 2 Diabetes Mellitus (T2DM) in the Asir Region of Saudi Arabia: A Case Control Study
Abstract
:1. Introduction
2. Methodology
3. Results
4. Discussion
5. Conclusions
- ⇒
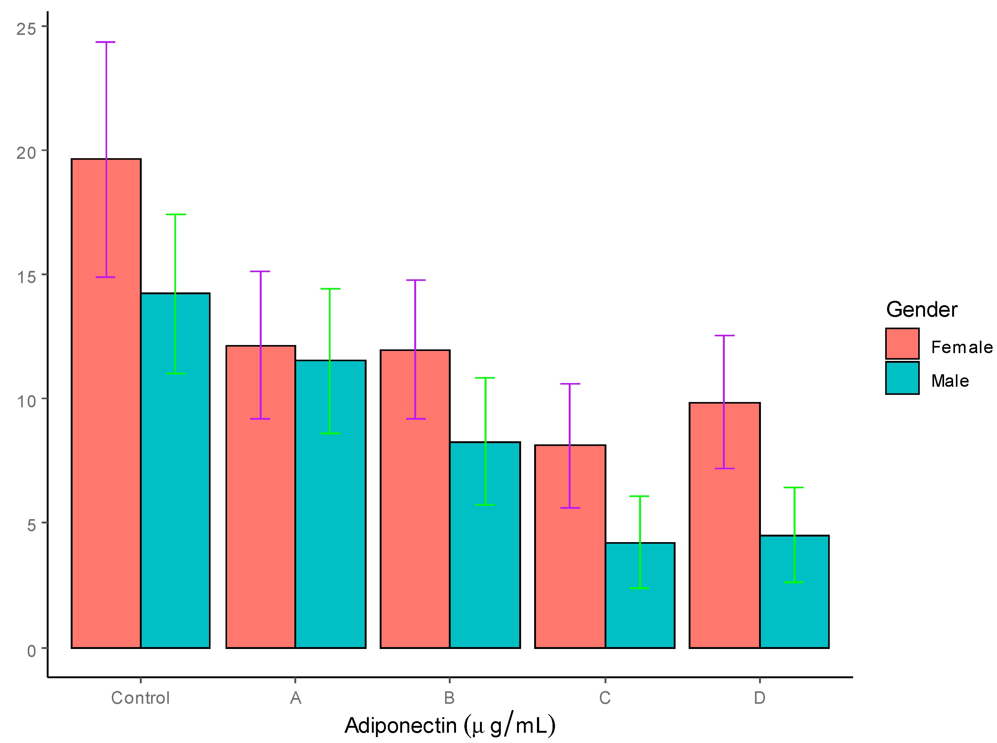
- Significantly decreased levels of serum adiponectin were found in the T2DM patients compared to the control group, with the decrease being more pronounced in the obese and severely obese T2DM patients.
- ⇒
- Significantly higher serum leptin was found in the females compared to the males in the controls as well as all four groups of T2DM patients. In the male T2DM patients, a progressive increase was observed in leptin levels with increasing BMI, although this only reached significantly altered levels in the obese and severely obese patients. The serum leptin levels were also significantly higher in the severely obese female patients compared to the controls, patients with normal BMI and overweight patients.
- ⇒
- The leptin–adiponectin ratio was significantly higher in the obese and severely obese patients compared to the controls, patients with normal BMI, and overweight patients in both genders.
- ⇒
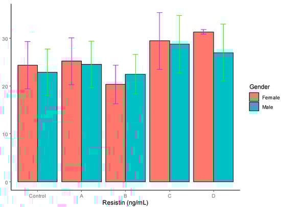
- No significant differences were noticed in the serum resistin levels between the males and females in the controls or in the the T2DM groups, irrespective of the BMI status of the T2DM patients.
- ⇒
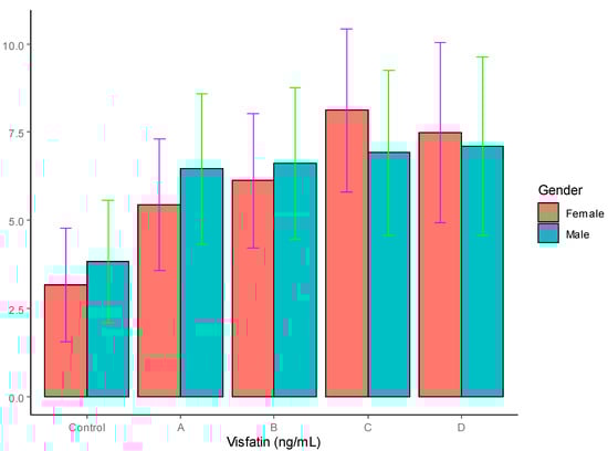
- No significant gender-based differences were identified in the visfatin levels; however, significantly higher levels of visfatin were observed in the T2DM patients irrespective of their level of obesity, although the highest values were observed in the obese and highly obese patients.
- ⇒
- No significant gender-based differences were recorded in the serum chemerin levels in the controls or in the T2DM patients, but in the T2DM patients, the chemerin levels showed a progressive increase in line with the increase in BMI, reaching highly significant levels in the obese and severely obese patients, respectively.
Author Contributions
Funding
Institutional Review Board Statement
Informed Consent Statement
Data Availability Statement
Acknowledgments
Conflicts of Interest
References
- Sun, H.; Saeedi, P.; Karuranga, S.; Pinkepank, M.; Ogurtsova, K.; Duncan, B.B.; Stein, C.; Basit, A.; Chan, J.C.; Mbanya, J.C.; et al. IDF Diabetes Atlas: Global, regional and country-level diabetes prevalence estimates for 2021 and projections for 2045. Diabetes Res. Clin. Pract. 2021, 183, 109119. [Google Scholar] [CrossRef] [PubMed]
- Atlas, D. International Diabetes Federation. In IDF Diabetes Atlas, 7th ed.; International Diabetes Federation: Brussels, Belgium, 2015. [Google Scholar]
- Forbes, J.M.; Cooper, M.E. Mechanisms of Diabetic Complications. Physiol. Rev. 2013, 93, 137–188. [Google Scholar] [CrossRef] [PubMed]
- Moin, A.S.M.; Butler, A.E. Alterations in Beta Cell Identity in Type 1 and Type 2 Diabetes. Curr. Diabetes Rep. 2019, 19, 83. [Google Scholar] [CrossRef] [PubMed] [Green Version]
- Qadir, M.I.; Ahmed, Z. lep Expression and Its Role in Obesity and Type-2 Diabetes. Crit. Rev. Eukaryot. Gene Expr. 2017, 27, 47–51. [Google Scholar] [CrossRef] [PubMed]
- Niu, G.; Li, J.; Wang, H.; Ren, Y.; Bai, J. Associations of A-FABP with Anthropometric and Metabolic Indices and Inflammatory Cytokines in Obese Patients with Newly Diagnosed Type 2 Diabetes. BioMed Res. Int. 2016, 2016, 9382092. [Google Scholar] [CrossRef] [PubMed]
- Urbanavičius, V.; Abalikšta, T.; Brimas, G.; Abraitienė, A.; Gogelienė, L.; Strupas, K. Comparison of Changes in Blood Glucose, Insulin Resistance Indices, and Adipokine Levels in Diabetic and Nondiabetic Subjects With Morbid Obesity After Laparoscopic Adjustable Gastric Banding. Medicina 2013, 49, 2–14. [Google Scholar] [CrossRef] [Green Version]
- Etemad, A.; Ramachandran, V.; Pishva, S.R.; Heidari, F.; Aziz, A.F.; Yusof, A.K.; Pei, C.P.; Ismail, P. Analysis of Gln223Agr polymorphism of Leptin Receptor Gene in type II diabetic mellitus subjects among Malaysians. Int. J. Mol. Sci. 2013, 14, 19230–19244. [Google Scholar] [CrossRef] [Green Version]
- Raghushaker, C.R.; Shashank, T.; Manista, A.; Sudeep, K.; Vivek, K. Evaluation of serum biomarkers [Leptin, Adiponectin, CRP, Oxidised-LDL] and lipid parameter in obese with type-2 diabetes mellitus: Risk to CVD. JARBS 2013, 5, 250–253. [Google Scholar]
- Al-Hamodi, Z.; Al-Habori, M.; Al-Meeri, A.; Saif-Ali, R. Association of adipokines, leptin/adiponectin ratio and C-reactive protein with obesity and type 2 diabetes mellitus. Diabetol. Metab. Syndr. 2014, 6, 99. [Google Scholar] [CrossRef] [Green Version]
- Picu, A.; Petcu, L.; Ştefan, S.; Mitu, M.; Lixandru, D.; Ionescu-Tîrgovişte, C.; Pîrcălăbioru, G.G.; Ciulu-Costinescu, F.; Bubulica, M.-V.; Chifiriuc, M.C. Markers of Oxidative Stress and Antioxidant Defense in Romanian Patients with Type 2 Diabetes Mellitus and Obesity. Molecules 2017, 22, 714. [Google Scholar] [CrossRef]
- Stępień, M.; Rosniak-Bak, K.; Paradowski, M.; Misztal, M.; Kujawski, K.; Banach, M.; Rysz, J. Waist circumference, ghrelin and selected adipose tissue-derived adipokines as predictors of insulin resistance in obese patients: Preliminary results. Med Sci. Monit. 2011, 17, PR13–PR18. [Google Scholar] [CrossRef] [PubMed] [Green Version]
- Højbjerre, L.; Sonne, M.P.; Alibegovic, A.C.; Nielsen, N.B.; Dela, F.; Vaag, A.; Bruun, J.M.; Stallknecht, B. Impact of Physical Inactivity on Adipose Tissue Low-Grade Inflammation in First-Degree Relatives of Type 2 Diabetic Patients. Diabetes Care 2011, 34, 2265–2272. [Google Scholar] [CrossRef] [PubMed] [Green Version]
- Bełtowski, J. Apelin and visfatin: Unique “beneficial” adipokines upregulated in obesity? Med. Sci. Monit. Int. Med. J. Exp. Clin. Res. 2006, 12, RA112–RA119. [Google Scholar]
- Muppala, S.; Konduru, S.K.; Merchant, N.; Ramsoondar, J.; Rampersad, C.K.; Rajitha, B.; Mukund, V.; Kancherla, J.; Hammond, A.; Barik, T.K.; et al. Adiponectin: Its role in obesity-associated colon and prostate cancers. Crit. Rev. Oncol. 2017, 116, 125–133. [Google Scholar] [CrossRef]
- Scicali, R.; Rosenbaum, D.; Di Pino, A.; Giral, P.; Cluzel, P.; Redheuil, A.; Piro, S.; Rabuazzo, A.M.; Purrello, F.; Bruckert, E.; et al. An increased waist-to-hip ratio is a key determinant of atherosclerotic burden in overweight subjects. Acta Diabetol. 2018, 55, 741–749. [Google Scholar] [CrossRef]
- Deng, L.; Zhao, X.; Chen, M.; Ji, H.; Zhang, Q.; Chen, R.; Wang, Y. Plasma adiponectin, visfatin, leptin, and resistin levels and the onset of colonic polyps in patients with prediabetes. BMC Endocr. Disord. 2020, 20, 63. [Google Scholar] [CrossRef]
- Coimbra, S.; Proença, J.; Santos-Silva, A.; Neuparth, M.J. Adiponectin, Leptin, and Chemerin in Elderly Patients with Type 2 Diabetes Mellitus: A Close Linkage with Obesity and Length of the Disease. BioMed Res. Int. 2014, 2014, 701915. [Google Scholar] [CrossRef]
- Gong, X.; You, L.; Li, F.; Chen, Q.; Chen, C.; Zhang, X.; Zhang, X.; Xuan, W.; Sun, K.; Lao, G.; et al. The association of adiponectin with risk of pre-diabetes and diabetes in different subgroups: Cluster analysis of a general population in south China. Endocr. Connect. 2021, 10, 1410–1419. [Google Scholar] [CrossRef]
- Al Qarni, A.A.; Joatar, F.E.; Das, N.; Awad, M.; Eltayeb, M.; Al-Zubair, A.G.; Ali, M.E.; Al Masaud, A.; Shire, A.M.; Gumaa, K.; et al. Association of plasma ghrelin levels with insulin resistance in type 2 diabetes mellitus among Saudi subjects. Endocrinol. Metab. 2017, 32, 230–240. [Google Scholar] [CrossRef]
- Karczewska-Kupczewska, M.; Nikołajuk, A.; Stefanowicz, M.; Matulewicz, N.; Kowalska, I.; Strączkowski, M. Serum and adipose tissue chemerin is differentially related to insulin sensitivity. Endocr. Connect. 2020, 9, 360–369. [Google Scholar] [CrossRef] [Green Version]
- Wang, L.K.; Wang, H.; Wu, X.L.; Shi, L.; Yang, R.M.; Wang, Y.C. Relationships among resistin, adiponectin, and leptin and microvascular complications in patients with type 2 diabetes mellitus. J. Int. Med. Res. 2020, 48, 300060519870407. [Google Scholar] [CrossRef] [PubMed]
- Adiyaman, S.C.; Ozer, M.; Saydam, B.O.; Akinci, B. The Role of Adiponectin in Maintaining Metabolic Homeostasis. Curr. Diabetes Rev. 2020, 16, 95–103. [Google Scholar] [CrossRef] [PubMed]
- Khoramipour, K.; Chamari, K.; Hekmatikar, A.A.; Ziyaiyan, A.; Taherkhani, S.; Elguindy, N.M.; Bragazzi, N.L. Adiponectin: Structure, physiological functions, role in diseases, and effects of nutrition. Nutrients 2021, 13, 1180. [Google Scholar] [CrossRef] [PubMed]
- Palei, A.C.; Spradley, F.T.; Granger, J.P. Chronic hyperleptinemia results in the development of hypertension in pregnant rats. Am. J. Physiol. Regul. Integr. Comp. Physiol. 2015, 308, R855–R861. [Google Scholar] [CrossRef] [PubMed] [Green Version]
- Yadav, A.; Jyoti, P.; Jain, S.K.; Bhattacharjee, J. Correlation of Adiponectin and Leptin with Insulin Resistance: A Pilot Study in Healthy North Indian Population. Indian J. Clin. Biochem. 2011, 26, 193–196. [Google Scholar] [CrossRef] [Green Version]
- Stern, J.H.; Rutkowski, J.M.; Scherer, P.E. Adiponectin, Leptin, and Fatty Acids in the Maintenance of Metabolic Homeostasis through Adipose Tissue Crosstalk. Cell Metab. 2016, 23, 770–784. [Google Scholar] [CrossRef] [Green Version]
- Jaganathan, R.; Ravindran, R.; Dhanasekaran, S. Emerging Role of Adipocytokines in Type 2 Diabetes as Mediators of Insulin Resistance and Cardiovascular Disease. Can. J. Diabetes 2018, 42, 446–456. [Google Scholar] [CrossRef]
- Weyer, C.; Funahashi, T.; Tanaka, S.; Hotta, K.; Matsuzawa, Y.; Pratley, R.E.; Tataranni, P.A. Hypoadiponectinemia in obesity and type 2 diabetes: Close association with insulin resistance and hyperinsulinemia. J. Clin. Endocrinol. Metab. 2001, 86, 1930–1935. [Google Scholar] [CrossRef]
- Li, S.; Shin, H.J.; Ding, E.L.; Van Dam, R.M. Adiponectin levels and risk of type 2 diabetes: A systematic review and meta-analysis. Jama 2009, 302, 179–188. [Google Scholar] [CrossRef] [Green Version]
- Lai, H.; Lin, N.; Xing, Z.; Weng, H.; Zhang, H. Association between the level of circulating adiponectin and prediabetes: A meta-analysis. J. Diabetes Investig. 2015, 6, 416–429. [Google Scholar] [CrossRef]
- Kong, S.E.; Kang, Y.E.; Joung, K.H.; Lee, J.H.; Kim, H.J.; Ku, B.J. Plasma adiponectin levels in elderly patients with prediabetes. Endocrinol. Metab. 2015, 30, 326–333. [Google Scholar] [CrossRef] [PubMed]
- Shand, B.I.; Scott, R.S.; Lewis, J.; Elder, P.A.; Frampton, C.M. Comparison of indices of insulin resistance with metabolic syndrome classifications to predict the development of impaired fasting glucose in overweight and obese subjects: A 3-year prospective study. Int. J. Obes. 2009, 33, 1274–1279. [Google Scholar] [CrossRef] [PubMed] [Green Version]
- Katsiki, N.; Mikhailidis, D.P.; Banach, M. Leptin, cardiovascular diseases and type 2 diabetes mellitus. Acta Pharmacol. Sin. 2018, 39, 1176–1188. [Google Scholar] [CrossRef] [PubMed] [Green Version]
- Stępień, M.; Stępień, A.; Wlazeł, R.N.; Paradowski, M.; Rizzo, M.; Banach, M.; Rysz, J. Predictors of insulin resistance in patients with obesity: A pilot study. Angiology 2014, 65, 22–30. [Google Scholar] [CrossRef]
- Stępień, M.; Wlazeł, R.N.; Paradowski, M.; Banach, M.; Rysz, M.; Misztal, M.; Rysz, J. Serum concentrations of adiponectin, leptin, resistin, ghrelin and insulin and their association with obesity indices in obese normo-and hypertensive patients—Pilot study. Arch. Med. Sci. AMS 2012, 8, 431. [Google Scholar] [CrossRef]
- Reinehr, T.; Woelfle, J.; Wiegand, S.; Karges, B.; Meissner, T.; Nagl, K.; Holl, R.W. Leptin but not adiponectin is related to type 2 diabetes mellitus in obese adolescents. Pediatr. Diabetes 2015, 17, 281–288. [Google Scholar] [CrossRef]
- Dietze, D.; Koenen, M.; Rohrig, K.; Horikoshi, H.; Hauner, H.; Eckel, J. Impairment of Insulin Signaling in Human Skeletal Muscle Cells by Co-Culture With Human Adipocytes. Diabetes 2002, 51, 2369–2376. [Google Scholar] [CrossRef] [Green Version]
- Minn, A.H.; Patterson, N.B.; Pack, S.; Hoffmann, S.C.; Gavrilova, O.; Vinson, C.; Harlan, D.M.; Shalev, A. Resistin is expressed in pan-creatic islets. Biochem. Biophys. Res. Commun. 2003, 310, 641–645. [Google Scholar] [CrossRef]
- Patel, L.; Buckels, A.C.; Kinghorn, I.J.; Murdock, P.R.; Holbrook, J.D.; Plumpton, C.; Macphee, C.H.; Smith, S.A. Resistin is expressed in human macrophages and directly regulated by PPARγ activators. Biochem. Biophys. Res. Commun. 2003, 300, 472–476. [Google Scholar] [CrossRef]
- Steppan, C.M.; Bailey, S.T.; Bhat, S.; Brown, E.J.; Banerjee, R.R.; Wright, C.M.; Patel, H.R.; Ahima, R.S.; Lazar, M.A. The hormone resistin links obesity to diabetes. Nature 2001, 409, 307–312. [Google Scholar] [CrossRef]
- Kaser, S.; Kaser, A.; Sandhofer, A.; Ebenbichler, C.F.; Tilg, H.; Patsch, J.R. Resistin messenger-RNA expression is increased by pro-inflammatory cytokines in vitro. Biochem. Biophys. Res. Commun. 2003, 309, 286–290. [Google Scholar] [CrossRef] [PubMed]
- Bokarewa, M.; Nagaev, I.; Dahlberg, L.; Smith, U.; Tarkowski, A. Resistin, an Adipokine with Potent Proinflammatory Properties. J. Immunol. 2005, 174, 5789–5795. [Google Scholar] [CrossRef] [PubMed]
- Park, H.K.; Ahima, R.S. Resistin in Rodents and Humans. Diabetes Metab. J. 2013, 37, 404–414. [Google Scholar] [CrossRef] [PubMed] [Green Version]
- Al-Harithy, R.N.; Al-Ghamdi, S. Serum resistin, adiposity and insulin resistance in Saudi women with type 2 diabetes mellitus. Ann. Saudi Med. 2005, 25, 283–287. [Google Scholar] [CrossRef] [PubMed]
- Hivert, M.-F.; Manning, A.K.; McAteer, J.B.; Dupuis, J.; Fox, C.S.; Cupples, L.A.; Meigs, J.B.; Florez, J.C. Association of Variants in RETN With Plasma Resistin Levels and Diabetes-Related Traits in the Framingham Offspring Study. Diabetes 2009, 58, 750–756. [Google Scholar] [CrossRef] [Green Version]
- Zaidi, S.I.Z.; Shirwany, T.A.K. Relationship of serum resistin with insulin resistance and obesity. J. Ayub Med. Coll. Abbottabad 2015, 27, 552–555. [Google Scholar]
- Gerber, M.; Boettner, A.; Seidel, B.; Lammert, A.; Bar, J.; Schuster, E.; Thiery, J.; Kiess, W.; Kratzsch, J. Serum Resistin Levels of Obese and Lean Children and Adolescents: Biochemical Analysis and Clinical Relevance. J. Clin. Endocrinol. Metab. 2005, 90, 4503–4509. [Google Scholar] [CrossRef] [Green Version]
- Bu, J.; Feng, Q.; Ran, J.; Li, Q.; Mei, G.; Zhang, Y. Visceral fat mass is always, but adipokines (adiponectin and resistin) are diversely associated with insulin resistance in Chinese type 2 diabetic and normoglycemic subjects. Diabetes Res. Clin. Pract. 2012, 96, 163–169. [Google Scholar] [CrossRef]
- Adeghate, E. Visfatin: Structure, Function and Relation to Diabetes Mellitus and Other Dysfunctions. Curr. Med. Chem. 2008, 15, 1851–1862. [Google Scholar] [CrossRef]
- Yu, P.-L.; Wang, C.; Li, W.; Zhang, F.-X. Visfatin Level and The Risk of Hypertension and Cerebrovascular Accident: A Systematic Review and Meta-Analysis. Horm. Metab. Res. 2019, 51, 220–229. [Google Scholar] [CrossRef] [Green Version]
- Fukuhara, A.; Matsuda, M.; Nishizawa, M.; Segawa, K.; Tanaka, M.; Kishimoto, K.; Matsuki, Y.; Murakami, M.; Ichisaka, T.; Murakami, H.; et al. Visfatin: A protein secreted by visceral fat that mimics the effects of insulin. Science 2005, 307, 426–430. [Google Scholar] [CrossRef] [PubMed]
- Heo, Y.J.; Choi, S.E.; Jeon, J.Y.; Han, S.J.; Kim, D.J.; Kang, Y.; Lee, K.W.; Kim, H.J. Visfatin induces inflammation and insulin resistance via the NF-κB and STAT3 signaling pathways in hepatocytes. J. Diabetes Res. 2019, 2019, 4021623. [Google Scholar] [CrossRef] [PubMed] [Green Version]
- Huo, Y.; Liu, S.; Feng, J.; Li, H.; Fan, Y.; Jin, Y.; Li, L. Role of visfatin in the pathogenesis of gestational diabetes mellitus and its relationship with insulin resistance. Zhonghua Fu Chan Ke Za Zhi 2014, 49, 584–587. [Google Scholar] [PubMed]
- Oki, K.; Yamane, K.; Kamei, N.; Nojima, H.; Kohno, N. Circulating visfatin level is correlated with inflammation, but not with insulin resistance. Clin. Endocrinol. 2007, 67, 796–800. [Google Scholar] [CrossRef] [Green Version]
- Jiang, Y.K.; Deng, H.Y.; Qiao, Z.Y.; Gong, F.X. Visfatin level and gestational diabetes mellitus: A systematic review and me-ta-analysis. Arch. Physiol. Biochem. 2021, 127, 468–478. [Google Scholar] [CrossRef]
- Ustebay, S.; Baykus, Y.; Deniz, R.; Ugur, K.; Yavuzkir, S.; Yardim, M.; Kalayci, M.; Çaglar, M.; Aydin, S. Chemerin and Dermcidin in Human Milk and Their Alteration in Gestational Diabetes. J. Hum. Lact. 2018, 35, 550–558. [Google Scholar] [CrossRef]
- Kennedy, A.; Davenport, A.P. International Union of Basic and Clinical Pharmacology CIII: Chemerin Receptors CMKLR1 (Chemerin1) and GPR1 (Chemerin2) Nomenclature, Pharmacology, and Function. Pharmacol. Rev. 2017, 70, 174–196. [Google Scholar] [CrossRef] [Green Version]
- Gutaj, P.; Sibiak, R.; Jankowski, M.; Awdi, K.; Bryl, R.; Mozdziak, P.; Kempisty, B.; Wender-Ozegowska, E. The Role of the Adipokines in the Most Common Gestational Complications. Int. J. Mol. Sci. 2020, 21, 9408. [Google Scholar] [CrossRef]
- De Gennaro, G.; Palla, G.; Battini, L.; Simoncini, T.; Del Prato, S.; Bertolotto, A.; Bianchi, C. The role of adipokines in the pathogenesis of gestational diabetes mellitus. Gynecol. Endocrinol. 2019, 35, 737–751. [Google Scholar] [CrossRef]
- Estienne, A.; Bongrani, A.; Reverchon, M.; Ramé, C.; Ducluzeau, P.-H.; Froment, P.; Dupont, J. Involvement of Novel Adipokines, Chemerin, Visfatin, Resistin and Apelin in Reproductive Functions in Normal and Pathological Conditions in Humans and Animal Models. Int. J. Mol. Sci. 2019, 20, 4431. [Google Scholar] [CrossRef] [Green Version]
- Zhou, Z.; Chen, H.; Ju, H.; Sun, M. Circulating chemerin levels and gestational diabetes mellitus: A systematic review and me-ta-analysis. Lipids Health Dis. 2018, 17, 169. [Google Scholar] [CrossRef] [PubMed] [Green Version]
- Adami, G.F.; Scopinaro, N.; Cordera, R. Adipokine Pattern After Bariatric Surgery: Beyond the Weight Loss. Obes. Surg. 2016, 26, 2793–2801. [Google Scholar] [CrossRef] [PubMed]
- Banerjee, J.; Dhas, Y.; Mishra, N. HOMA-Adiponectin Closely Associates with Cardiometabolic Risk Markers in Middle-Aged Indians with Metabolic Syndrome. Exp. Clin. Endocrinol. Diabetes 2020, 129, 449–456. [Google Scholar] [CrossRef]
- Susilowati, R.; Sulistyoningrum, D.C.; Witari, N.P.D.; Huriyati, E.; Luglio, H.F.; Julia, M. Sexual dimorphism in interleukin 17A and adipocytokines and their association with insulin resistance among obese adolescents in Yogyakarta, Indonesia. Asia Pac. J. Clin. Nutr. 2016, 25, S93–S101. [Google Scholar] [PubMed]
- Fioravanti, A.; Adamczyk, P.; Pascarelli, N.A.; Giannitti, C.; Urso, R.; Tołodziecki, M.; Ponikowska, I. Clinical and biochemical effects of a 3-week program of diet combined with spa therapy in obese and diabetic patients: A pilot open study. Int. J. Biometeorol. 2014, 59, 783–789. [Google Scholar] [CrossRef]
- Szpakowicz, A.; Szpakowicz, M.; Lapinska, M.; Paniczko, M.; Lawicki, S.; Raczkowski, A.; Kondraciuk, M.; Sawicka, E.; Chlabicz, M.; Kozuch, M.; et al. Serum Chemerin Concentration Is Associated with Proinflammatory Status in Chronic Coronary Syndrome. Biomolecules 2021, 11, 1149. [Google Scholar] [CrossRef]
- Yang, M.; Zhou, X.; Xu, J.; Yang, B.; Yu, J.; Gong, Q.; Zhang, X.; Sun, X.; Zhang, Q.; Xia, J.; et al. Association of serum chemerin and in-flammatory factors with type 2 diabetes macroangiopathy and waist-to-stature ratio. Bosn. J. Basic Med. Sci. 2019, 19, 328. [Google Scholar]
- Habib, S.S.; Eshki, A.; Altassan, B.; Fatani, D.; Helmi, H.; AlSaif, S. Relationship of serum novel adipokine chemerin levels with body composition, insulin resistance, dyslipidemia and diabesity in Saudi women. Eur. Rev. Med. Pharmacol. Sci. 2017, 21, 1296–1302. [Google Scholar]





| (a) | ||||||
| Group A | Group B | Group C | Group D | Controls | ||
| Number | 12 | 11 | 13 | 10 | 44 | |
| Parameter | ||||||
| Age in years (range) | 44 (29–52) | 46 (30–54) | 49 (29–63) | 46 (33–65) | 46 (28–62) | |
| WHR | 0.91 (0.85–0.1.04) | 0.92 (0.84–0.99) | 1.06 ** N (0.98–1.10) | 1.12 * M (1.04–1.18) | 0.86 (0.84–0.95) | |
| BMI (kg/m2) | 21.78 ± 2.10 | 27.26 ± 2.28 | 34.87 ± 3.16 * N | 46.54 ± 5.68 * XY | 21.78 ± 1.78 | |
| (b) | ||||||
| Group A | Group B | Group C | Group D | Controls | ||
| Number | 12 | 11 | 13 | 10 | 44 | |
| Parameter | ||||||
| Fasting glucose (mg/dL) | 112 (88–128) | 108 (92–135) | 113 (94–142) | 118 (101–146) | 92 (78–116) | |
| HbA1c (g/dL) | 7.5 ± 1.01 * | 7.9 ± 1.2 * | 8.6 ± 1.46 * M | 7.4 ± 0.98 * | 4.9 ± 0.88 | |
| Cholesterol-T | 206 (155–234) | 209 (142–226) | 211 (144–238) | 216 (153–246) | 186 (135–224) | |
| HDL-C (mg/dL) | 48 (36–62) | 52 (38–58) | 47 (34–60) | 44 (29–55) | 53 (38–63) | |
| LDL-C (mg/dL) | 94 ± 32.20 | 110 ± 29.42 | 117 ± 36.32 | 134 ± 32.34 | 94 ± 32.20 | |
| TG (mg/dL) | 116 (101–189) | 146 (98–220) | 145 (95–202) | 215 (112–228) | 104 (82–112) | |
| (a) | ||||||
| Group A | Group B | Group C | Group D | Controls | ||
| Number | 11 | 10 | 11 | 9 | 41 | |
| Parameter | ||||||
| Age | 45 (27–56) | 48 (29–55) | 47 (31–65) | 48 (29–64) | 48 (27–64) | |
| WHR | 0.94 (0.84–1.03) | 0.95 (0.82–1.02) | 1.05 (0.98–1.12) ** N | 1.08 (1.01–1.16) * M | 0.85 (0.78–0.96) | |
| BMI (kg/m2) | 21.32 ± 2.18 | 28.42 ± 2.32 | 33.98 ± 3.22 * N | 47.22 ± 4.88 * XY | 21.2 ± 1.66 | |
| (b) | ||||||
| Group A | Group B | Group C | Group D | Controls | ||
| Number | 11 | 10 | 11 | 9 | 41 | |
| Parameter | ||||||
| Fasting glucose(mg/dL) | 117 (92–131) | 111 (87–129) | 112 (92–139) | 121 (97–152) | 96 (82–114) | |
| HbA1c (g/dL) | 7.9 ± 1.14 * | 8.1 ± 1.08 * | 8.2 ± 1.38 * M | 8.1 ± 0.89 * | 4.5 ± 0.43 | |
| Cholesterol-T | 198 (149–229) | 208 (145–240) | 216 (156–232) | 223 (161–253) | 168 (132–224) | |
| HDL-C(mg/dL) | 52 (41–63) | 50 (40–60) | 44 (33–61) | 42 (31–57) | 56 (41–66) | |
| LDL-C(mg/dL) | 88 ± 26.34 | 108 ± 32.12 | 103 ± 29.28 | 121 ± 28.18 | 96 ± 28.22 | |
| TG (mg/dL) | 120 (98–172) | 138 (90–218) | 146 (102–225) | 186 (101–238) | 96 (88–124) | |
| Adiponectin (µg/mL) | Leptin (ng/mL) | Leptin:Adiponectin Ratio | |||||
|---|---|---|---|---|---|---|---|
| Gender | Males | Females | Males | Females | Males | Females | |
| Groups | |||||||
| Controls | 14.22 ± 3.21 | 19.62 ± 4.72 * | 5.42 ± 1.98 | 25.42 ± 5.78 | 0.38 | 1.29 | |
| A | 11.53 ± 2.90 | 12.15 ± 2.96 | 6.51 ± 2.32 | 21.44 ± 3.01 | 0.56 | 1.76 | |
| B | 8.26 ± 2.55 | 11.96 ± 2.79 | 7.78 ± 2.45 | 24.35 ± 2.99 | 0.94 | 2.04 | |
| C | 4.21 ± 1.85 * | 8.12 ± 2.48 * | 24.65 ± 5.62 * | 35.78 ± 6.05 | 5.85 | 4.41 | |
| D | 4.53 ± 1.92 * | 9.85 ± 2.67 * | 58.62 ± 7.82 ** | 98.60 ± 11.34 ** M | 12.95 ** M | 10.01 ** M | |
| Resistin(ng/mL) | Visfatin(ng/mL) | Chemerin (ng/mL) | |||||
|---|---|---|---|---|---|---|---|
| Gender | Females | Males | Females | Males | Females | ||
| Groups | |||||||
| Controls | 22.86 ± 4.88 | 24.32 ± 4.94 | 3.82 ± 1.74 | 3.16 ± 1.62 | 268.42 ± 54.23 | 262.13 ± 54.03 | |
| A | 24.54 ± 4.85 | 25.21 ± 4.90 | 6.45 ± 2.13 * | 5.44 ± 1.86 | 272.12 ± 54.69 | 267.72 ± 54.11 | |
| B | 22.45 ± 4.12 | 20.32 ± 4.04 | 6.62 ± 2.15 * | 6.12 ± 1.91 | 279.35 ± 55.12 | 275.32 ± 54.89 | |
| C | 28.76 ± 6.04 | 29.43 ± 5.98 | 6.92 ± 2.34 ** | 8.12 ± 2.32 ***# | 298.65 ± 56.34 * | 292.45 ± 55.12 * | |
| D | 26.98 ± 5.94 | 31.32 ± 0.45 | 7.1 ± 2.54 ** | 7.48 ± 2.56 **# | 323.43 ± 58.23 **# | 299.12 ± 57.03 ** | |
Publisher’s Note: MDPI stays neutral with regard to jurisdictional claims in published maps and institutional affiliations. |
© 2022 by the authors. Licensee MDPI, Basel, Switzerland. This article is an open access article distributed under the terms and conditions of the Creative Commons Attribution (CC BY) license (https://creativecommons.org/licenses/by/4.0/).
Share and Cite
Mir, M.M.; Mir, R.; Alghamdi, M.A.A.; Wani, J.I.; Sabah, Z.U.; Jeelani, M.; Marakala, V.; Sohail, S.K.; O’haj, M.; Alharthi, M.H.; et al. Differential Association of Selected Adipocytokines, Adiponectin, Leptin, Resistin, Visfatin and Chemerin, with the Pathogenesis and Progression of Type 2 Diabetes Mellitus (T2DM) in the Asir Region of Saudi Arabia: A Case Control Study. J. Pers. Med. 2022, 12, 735. https://doi.org/10.3390/jpm12050735
Mir MM, Mir R, Alghamdi MAA, Wani JI, Sabah ZU, Jeelani M, Marakala V, Sohail SK, O’haj M, Alharthi MH, et al. Differential Association of Selected Adipocytokines, Adiponectin, Leptin, Resistin, Visfatin and Chemerin, with the Pathogenesis and Progression of Type 2 Diabetes Mellitus (T2DM) in the Asir Region of Saudi Arabia: A Case Control Study. Journal of Personalized Medicine. 2022; 12(5):735. https://doi.org/10.3390/jpm12050735
Chicago/Turabian StyleMir, Mohammad Muzaffar, Rashid Mir, Mushabab Ayed Abdullah Alghamdi, Javed Iqbal Wani, Zia Ul Sabah, Mohammed Jeelani, Vijaya Marakala, Shahzada Khalid Sohail, Mohamed O’haj, Muffarah Hamid Alharthi, and et al. 2022. "Differential Association of Selected Adipocytokines, Adiponectin, Leptin, Resistin, Visfatin and Chemerin, with the Pathogenesis and Progression of Type 2 Diabetes Mellitus (T2DM) in the Asir Region of Saudi Arabia: A Case Control Study" Journal of Personalized Medicine 12, no. 5: 735. https://doi.org/10.3390/jpm12050735
APA StyleMir, M. M., Mir, R., Alghamdi, M. A. A., Wani, J. I., Sabah, Z. U., Jeelani, M., Marakala, V., Sohail, S. K., O’haj, M., Alharthi, M. H., & Alamri, M. M. S. (2022). Differential Association of Selected Adipocytokines, Adiponectin, Leptin, Resistin, Visfatin and Chemerin, with the Pathogenesis and Progression of Type 2 Diabetes Mellitus (T2DM) in the Asir Region of Saudi Arabia: A Case Control Study. Journal of Personalized Medicine, 12(5), 735. https://doi.org/10.3390/jpm12050735

