Clinical Characteristics of Patients with Pyogenic Vertebral Osteomyelitis and Concurrent Infections and Their Clinical Outcomes
Abstract
:1. Introduction
2. Patients and Methods
2.1. Study Design and Ethics
2.2. Definitions and Evaluation of Cconcurrent Infections in Patients with PVO
- (1)
- Cardiac infection: Infective endocarditis was diagnosed using the modified Duke criteria [9].
- (2)
- Pneumonia: Pneumonia was diagnosed in patients with at least one respiratory symptom and one of the following signs: rales and/or crepitation on auscultation, at least one sign of infection in the absence of antibiotic therapy, presence of pulmonary infiltrate on radiological imaging, or positive sputum culture [3].
- (3)
- Intra-abdominal infection: Based on a previous study [10], intra-abdominal infections, including single-organ infections, peritonitis, and abdominal abscesses were considered. Additionally, infectious enterocolitis was considered in patients with diarrhea; those showing leukocytes in stool samples; pathogen-positive stool cultures for Salmonella, Shigella, Yersinia, Campylobacter, and pathogenic Escherichia coli; and those showing a positive Clostridium difficile stool assay [3].
- (4)
- UTI: This only included patients with symptomatic UTI characterized by bacteriuria (urinary pathogens with ≥105 colony-forming units/mL) in the presence of genitourinary symptoms [11].
- (5)
- Septic arthritis or osteomyelitis of the extremities: Septic arthritis was diagnosed if the synovial fluid leukocyte count was >50,000 cells/μL or in the presence of a positive synovial fluid culture [12], whereas osteomyelitis was diagnosed based on typical radiological and magnetic resonance imaging (MRI) findings or positive culture results [13,14,15].
- (6)
- Central nervous system infection: This was diagnosed by cerebrospinal-fluid-confirmed bacterial meningomyelitis and abscess formation in the brain and spinal cord using MRI [16].
2.3. Covariates and Treatment Outcomes
2.4. Statistical Methods
3. Results
3.1. Comparison of Baseline Characteristics
3.2. Comparison of Infection Profiles
3.3. Comparison of Treatment Profiles
3.4. Association between Concurrent Infections and Clinical Outcomes in the Whole Cohort
3.5. Association between Individual Concurrent Infections and Clinical Outcomes: Subgroup Analysis
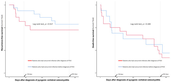
3.6. One-Year Recurrence and Mortality Rates of Patients with Concurrent Infections: Subgroup Analysis According to the Timing of Diagnosis
4. Discussion and Conclusions
Supplementary Materials
Author Contributions
Funding
Institutional Review Board Statement
Informed Consent Statement
Data Availability Statement
Conflicts of Interest
References
- Mylona, E.; Samarkos, M.; Kakalou, E.; Fanourgiakis, P.; Skoutelis, A. In Pyogenic vertebral osteomyelitis: A systematic review of clinical characteristics. Semin. Arthritis Rheum. 2017, 39, 10–17. [Google Scholar] [CrossRef] [PubMed]
- Jean, M.; Irisson, J.; Gras, G.; Bouchand, F.; Simo, D.; Duran, C.; Perronne, C.; Mulleman, D.; Bernard, L.; Dinh, A. Diagnostic delay of pyogenic vertebral osteomyelitis and its associated factors. Scand. J. Rheumatol. 2017, 46, 64–68. [Google Scholar] [CrossRef] [PubMed]
- Kim, J.; Kang, H.S.; Kim, J.W.; Kim, S.W.; Oh, J.-K.; Kim, Y.-W.; Park, M.S.; Kim, T.-H. Treatment outcomes in patients with pyogenic vertebral osteomyelitis who have cirrhosis. Sci. Rep. 2019, 9, 15223. [Google Scholar] [CrossRef] [PubMed]
- Lee, S.H.; Kim, J.; Kim, T.-H. Treatment guideline for patients with native culture-negative pyogenic vertebral osteomyelitis. Clin. Orthop. Relat. Res. 2022, 480, 124–136. [Google Scholar] [CrossRef] [PubMed]
- Lee, J.H.; Kim, J.; Kim, T.-H. Clinical outcomes in older patients aged over 75 years who underwent early surgical treatment for pyogenic vertebral osteomyelitis. J. Clin. Med. 2021, 10, 5451. [Google Scholar] [CrossRef] [PubMed]
- Kim, J.; Ryu, H.; Kim, S.W.; Oh, J.K.; Kim, T.-H. Prediction of recurrence in pyogenic vertebral osteomyelitis by artificial neural network using time-series data of c-reactive protein: A retrospective cohort study of 704 patients. Spine 2021, 46, 1207–1217. [Google Scholar] [CrossRef] [PubMed]
- Kim, J.; Lee, S.; Jung, J.; Kim, S.; Oh, J.; Park, M.; Chang, H.; Kim, T.-H. The outcome following spinal instrumentation in haemodialyzed patients with pyogenic spondylodiscitis. Bone Jt. J. 2019, 101, 75–82. [Google Scholar] [CrossRef] [PubMed]
- Kim, J.; Lee, J.H.; Kim, S.W.; Oh, J.-K.; Kim, Y.-W.; Kim, T.-H. Outcomes of additional instrumentation in elderly patients with pyogenic vertebral osteomyelitis and previous spinal instrumentation. Spine J. 2019, 19, 1498–1511. [Google Scholar] [CrossRef] [PubMed]
- Li, J.S.; Sexton, D.J.; Mick, N.; Nettles, R.; Fowler, V.G., Jr.; Ryan, T.; Bashore, T.; Corey, G.R. Proposed modifications to the duke criteria for the diagnosis of infective endocarditis. Clin. Infect. Dis. 2000, 30, 633–638. [Google Scholar] [CrossRef] [PubMed]
- Menichetti, F.; Sganga, G. Definition and classification of intra-abdominal infections. J. Chemother. 2009, 21, 3–4. [Google Scholar] [CrossRef] [PubMed]
- Rowe, T.A.; Juthani-Mehta, M. Diagnosis and management of urinary tract infection in older adults. Infect Dis. Clin. N. Am. 2014, 28, 75–89. [Google Scholar] [CrossRef] [PubMed] [Green Version]
- High, K.P.; Bradley, S.F.; Gravenstein, S.; Mehr, D.R.; Quagliarello, V.J.; Richards, C.; Yoshikawa, T.T. Clinical practice guideline for the evaluation of fever and infection in older adult residents of long-term care facilities: 2008 update by the infectious diseases society of america. Clin. Infect. Dis. 2009, 48, 149–171. [Google Scholar] [CrossRef] [PubMed] [Green Version]
- Simpfendorfer, C.S. Radiologic approach to musculoskeletal infections. Infect. Dis. Clin. 2017, 31, 299–324. [Google Scholar] [CrossRef] [PubMed]
- Schmitt, S.K. Osteomyelitis. Infect. Dis. Clin 2017, 31, 325–338. [Google Scholar] [CrossRef] [PubMed]
- Miller, J.M.; Binnicker, M.J.; Campbell, S.; Carroll, K.C.; Chapin, K.C.; Gilligan, P.H.; Gonzalez, M.D.; Jerris, R.C.; Kehl, S.C.; Patel, R.J. A guide to utilization of the microbiology laboratory for diagnosis of infectious diseases: 2018 update by the infectious diseases society of america and the american society for microbiology. Clin. Infect. Dis. 2018, 67, e22–e121. [Google Scholar] [CrossRef] [PubMed] [Green Version]
- LaPenna, P.A.; Roos, K.L. Bacterial infections of the central nervous system. Semin. Neurol. 2019, 39, 334–342. [Google Scholar] [CrossRef] [PubMed] [Green Version]
- Charlson, M.E.; Pompei, P.; Ales, K.L.; MacKenzie, C.R. A new method of classifying prognostic comorbidity in longitudinal studies: Development and validation. J. Chronic Dis. 1987, 40, 373–383. [Google Scholar] [CrossRef]
- Pola, E.; Autore, G.; Formica, V.; Pambianco, V.; Colangelo, D.; Cauda, R.; Fantoni, M. New classification for the treatment of pyogenic spondylodiscitis: Validation study on a population of 250 patients with a follow-up of 2 years. Eur. Spine J. 2017, 26, 479–488. [Google Scholar] [CrossRef] [PubMed]
- Alexandraki, I.; Palacio, C. Gram-negative versus gram-positive bacteremia: What is more alarmin (g)? Crit. Care 2010, 14, 161. [Google Scholar] [CrossRef] [PubMed]
- Park, K.-H.; Cho, O.-H.; Lee, J.H.; Park, J.S.; Ryu, K.N.; Park, S.Y.; Lee, Y.-M.; Chong, Y.P.; Kim, S.-H.; Lee, S.-O. Optimal duration of antibiotic therapy in patients with hematogenous vertebral osteomyelitis at low risk and high risk of recurrence. Clin. Infect. Dis. 2016, 62, 1262–1269. [Google Scholar] [CrossRef] [PubMed] [Green Version]






| Variables | Patients with Concurrent Infection | Patients without Concurrent Infection | p-Value | |
|---|---|---|---|---|
| Number of patients | 175 | 520 | ||
| Age | 72.5 ± 9.7 | 68.1 ± 10.5 | <0.001 | |
| Sex ratio (F:M) | 89:86 | 279:241 | 0.521 | |
| BMI (kg/m2) | 24.5 ± 3.8 | 25.1 ± 3.3 | 0.090 | |
| Follow-up days | 1536 ± 1192 | 2384 ± 1094 | ||
| Charlson Comorbidity Index score | 3.0 ± 2.6 | 2.1 ± 2.1 | <0.001 | |
| Cerebrovascular disease | 37 (21) | 97 (19) | 0.470 | |
| Coronary artery disease | 46 (26) | 103 (20) | 0.071 | |
| Chronic obstructive pulmonary disease | 26 (15) | 51 (10) | 0.066 | |
| Liver disease | 48 (27) | 84 (16) | 0.001 | |
| Mild liver disease | 13 (7) | 59 (11) | ||
| Moderate to severe liver disease | 35 (20) | 25 (5) | ||
| End-stage renal disease | 28 (16) | 54 (10) | 0.046 | |
| Diabetes | 93 (53) | 226 (43) | 0.026 | |
| Uncomplicated | 54 (31) | 191 (37) | ||
| Complicated | 39 (22) | 35 (7) | ||
| Smoking | Nonsmoker | 96 (55) | 311 (60) | 0.292 |
| Exit smoker | 67 (38) | 166 (32) | ||
| Current smoker | 12 (7) | 43 (8) | ||
| White blood cell (×109/L) | Initial | 12457 ± 3772 | 11833 ± 4373 | 0.070 |
| Erythrocyte sedimentation rate (ESR, mm/h) | Initial | 68 ± 19 | 71 ± 18 | 0.105 |
| C-reactive protein (CRP, mg/L) | Initial | 72 ± 28 | 70 ± 22 | 0.275 |
| Variables | Patients with Concurrent Infection | Patients without Concurrent Infection | p-Value | |
|---|---|---|---|---|
| Bacteremia/septicemia | 113 (65) | 252 (48) | <0.001 | |
| Causative organisms of PVO | Staphylococcus aureus | 78 (45) | 266 (51) | <0.001 |
| Methicillin resistant | 11 (6) | 124 (24) | ||
| Methicillin sensitive | 67 (38) | 142 (27) | ||
| Other gram-positive bacteria | 32 (18) | 161 (31) | ||
| Gram-negative bacteria | 54 (31) | 84 (16) | ||
| Others or mixed | 11 (6) | 9 (2) | ||
| Primary region | Single | 148 (85) | 490 (94) | <0.001 |
| Mainly cervical | 20 (11) | 52 (10) | ||
| Mainly thoracic | 54 (31) | 164 (32) | ||
| Mainly lumbosacrum | 74 (42) | 274 (53) | ||
| Multiple | 27 (15) | 30 (6) | ||
| Presence of abscess | Epidural abscess | 129 (74) | 379 (73) | 0.830 |
| Abscess anterior to epidural space | 92 (53) | 263 (51) | 0.648 | |
| Abscess posterior to epidural space | 83 (47) | 306 (59) | 0.008 | |
| Number of infected vertebral bodies | Within 2 vertebral bodies | 129 (74) | 408 (78) | 0.195 |
| Over 3 vertebral bodies | 46 (26) | 112 (22) | ||
| American Spinal Injury Association Scale grade | A | 0 (0) | 1 (0) | <0.001 |
| B | 1 (1) | 26 (5) | ||
| C | 28 (16) | 101 (19) | ||
| D | 50 (29) | 220 (42) | ||
| E | 96 (55) | 172 (33) | ||
| Severity of infection by Pola et al. | Type A | 14 (8) | 23 (4) | 0.114 |
| Type B | 32 (18) | 118 (23) | ||
| Type C | 129 (74) | 379 (73) | ||
| Variables | Patients with Concurrent Infection | Patients without Concurrent Infection | p-Value | |
|---|---|---|---|---|
| Surgical treatment | Overall surgery | 48 (27) | 211 (41) | 0.002 |
| Early instrumentation (within 6 weeks) | 38 (22) | 165 (32) | 0.012 | |
| Pedicle or lateral mass screw | 35 (20) | 158 (30) | ||
| Cage | 11 (6) | 21 (4) | ||
| Plate | 6 (3) | 11 (2) | ||
| Complications associated to long-term use of antibiotics | Intravenous catheter-related infection | 10 (6) | 16 (3) | 0.112 |
| Neutropenia | 7 (4) | 31 (6) | 0.324 | |
| Surgery related complications | Overall reoperation | 12 (7) | 21(4) | 0.129 |
| Implant failure | 5 (3) | 14 (3) | 0.908 | |
| Duration of antibiotics (days) | 45 ± 16 | 53 ± 17 | <0.001 | |
| Hospital stay (days) | 55 ± 20 | 62 ± 19 | <0.001 | |
| Recurrence | Occurrence | 24 (14) | 72(14) | 0.965 |
| Mortality | 90-day mortality | 29 (17) | 12 (2) | <0.001 |
| 1-year mortality | 40 (23) | 32 (6) | <0.001 | |
| Groups | Outcome | Types of Concurrent Infection | Univariable | Multivariable | ||||
|---|---|---|---|---|---|---|---|---|
| Odds Ratios | 95% Confidence Interval | p-Value | Odds Ratios | 95% Confidence Interval | p-Value | |||
| All groups | Recurrence | 0.99 | (0.60–1.63) | 0.965 | 0.49 | (0.26–0.94) | 0.030 | |
| Mortality | ||||||||
| 90-day mortality | 8.41 | (4.19–16.90) | <0.001 | 7.70 | (2.82–21.03) | <0.001 | ||
| 1-year mortality | 4.52 | (2.73–7.47) | <0.001 | 4.10 | (1.96–8.59) | <0.001 | ||
| Subgroups 1 | Recurrence | Multiple concurrent infection | 3.58 | (1.72–7.46) | 0.001 | 3.38 | (1.31–8.72) | 0.011 |
| Septic arthritis/osteomyelitis of the extremities | 0.75 | (0.26–2.15) | 0.589 | 0.97 | (0.29–3.20) | 0.961 | ||
| Urinary tract infection | 2.13 | (1.10–4.15) | 0.026 | 1.54 | (0.71–3.33) | 0.277 | ||
| Intra-abdominal infection | 2.09 | (0.91–4.77) | 0.081 | 1.04 | (0.40–2.67) | 0.938 | ||
| Pneumonia | 0.96 | (0.39–2.33) | 0.923 | 0.40 | (0.14–1.11) | 0.078 | ||
| Central nervous system infection | 1.10 | (0.32–3.84) | 0.876 | 1.50 | (0.37–6.06) | 0.566 | ||
| Cardiac infection | 1.18 | (0.34–4.11) | 0.800 | 0.74 | (0.17–3.13) | 0.680 | ||
| 90-day Mortality | Multiple concurrent infection | 13.34 | (6.09–29.19) | <0.001 | 9.42 | (3.28–27.06) | <0.001 | |
| Septic arthritis/osteomyelitis of the extremities | 2.70 | (0.99–7.34) | 0.052 | 3.90 | (0.95–15.95) | 0.059 | ||
| Urinary tract infection | 1.31 | (0.45–3.81) | 0.625 | 0.84 | (0.25–2.83) | 0.777 | ||
| Intra-abdominal infection | 4.97 | (2.02–12.27) | <0.001 | 2.91 | (0.94–8.97) | 0.063 | ||
| Pneumonia | 6.69 | (3.09–14.47) | <0.001 | 2.06 | (0.73–5.86) | 0.174 | ||
| Central nervous system infection | 16.44 | (6.36–42.50) | <0.001 | 27.50 | (6.65–113.65) | <0.001 | ||
| Cardiac infection | 4.61 | (1.46–14.57) | 0.009 | 6.17 | (1.38–27.50) | 0.017 | ||
| 1-year mortality | Multiple concurrent infection | 6.02 | (2.89–12.56) | <0.001 | 3.22 | (1.20–8.62) | 0.020 | |
| Septic arthritis/osteomyelitis of the extremities | 1.74 | (0.70–4.32) | 0.235 | 2.08 | (0.57–7.54) | 0.266 | ||
| Urinary tract infection | 1.32 | (5.73–3.04) | 0.515 | 0.83 | (0.29–2.36) | 0.727 | ||
| Intra-abdominal infection | 3.57 | (1.59–8.01) | 0.002 | 2.27 | (0.78–6.66) | 0.134 | ||
| Pneumonia | 4.61 | (2.32–9.16) | <0.001 | 1.60 | (0.60–4.25) | 0.346 | ||
| Central nervous system infection | 12.30 | (4.91–30.85) | <0.001 | 14.05 | (4.14–47.70) | <0.001 | ||
| Cardiac infection | 2.38 | (0.77–7.39) | 0.132 | 2.83 | (0.71–11.30) | 0.142 | ||
| Types of Concurrent Infections | Number of Patients | Before the PVO Diagnosis | After the PVO Diagnosis | Variance Inflation Factor |
|---|---|---|---|---|
| Septic arthritis/osteomyelitis of the extremities | 37 | 16 (43) | 21 (57) | 1.16 |
| Urinary tract infection | 54 | 26 (48) | 28 (52) | 1.40 |
| Intra-abdominal infection | 33 | 20 (61) | 13 (39) | 1.27 |
| Pneumonia | 45 | 28 (62) | 17 (38) | 1.14 |
| Central nervous system infection | 20 | 12 (60) | 8 (40) | 1.15 |
| Cardiac infection | 19 | 14 (74) | 5 (26) | 1.22 |
| etc. | 14 | 11 (79) | 3 (21) | 1.18 |
| Multiple concurrent infection | 35 | - | - | 2.31 |
| Overall single concurrent infection | 140 | 80 (57) | 60 (43) | - |
Publisher’s Note: MDPI stays neutral with regard to jurisdictional claims in published maps and institutional affiliations. |
© 2022 by the authors. Licensee MDPI, Basel, Switzerland. This article is an open access article distributed under the terms and conditions of the Creative Commons Attribution (CC BY) license (https://creativecommons.org/licenses/by/4.0/).
Share and Cite
Kim, D.; Kim, J.; Kim, T. Clinical Characteristics of Patients with Pyogenic Vertebral Osteomyelitis and Concurrent Infections and Their Clinical Outcomes. J. Pers. Med. 2022, 12, 541. https://doi.org/10.3390/jpm12040541
Kim D, Kim J, Kim T. Clinical Characteristics of Patients with Pyogenic Vertebral Osteomyelitis and Concurrent Infections and Their Clinical Outcomes. Journal of Personalized Medicine. 2022; 12(4):541. https://doi.org/10.3390/jpm12040541
Chicago/Turabian StyleKim, Donghyun, Jihye Kim, and Taehwan Kim. 2022. "Clinical Characteristics of Patients with Pyogenic Vertebral Osteomyelitis and Concurrent Infections and Their Clinical Outcomes" Journal of Personalized Medicine 12, no. 4: 541. https://doi.org/10.3390/jpm12040541
APA StyleKim, D., Kim, J., & Kim, T. (2022). Clinical Characteristics of Patients with Pyogenic Vertebral Osteomyelitis and Concurrent Infections and Their Clinical Outcomes. Journal of Personalized Medicine, 12(4), 541. https://doi.org/10.3390/jpm12040541

