Abstract
Lung cancer is one of the most invasive cancers affecting over a million of the population. Non-small cell lung cancer (NSCLC) constitutes up to 85% of all lung cancer cases, and therefore, it is essential to identify predictive biomarkers of NSCLC for therapeutic purposes. Here we use a network theoretical approach to investigate the complex behavior of the NSCLC gene-regulatory interactions. We have used eight NSCLC microarray datasets GSE19188, GSE118370, GSE10072, GSE101929, GSE7670, GSE33532, GSE31547, and GSE31210 and meta-analyzed them to find differentially expressed genes (DEGs) and further constructed a protein–protein interaction (PPI) network. We analyzed its topological properties and identified significant modules of the PPI network using cytoscape network analyzer and MCODE plug-in. From the PPI network, top ten genes of each of the six topological properties like closeness centrality, maximal clique centrality (MCC), Maximum Neighborhood Component (MNC), radiality, EPC (Edge Percolated Component) and bottleneck were considered for key regulator identification. We further compared them with top ten hub genes (those with the highest degrees) to find key regulator (KR) genes. We found that two genes, CDK1 and HSP90AA1, were common in the analysis suggesting a significant regulatory role of CDK1 and HSP90AA1 in non-small cell lung cancer. Our study using a network theoretical approach, as a summary, suggests CDK1 and HSP90AA1 as key regulator genes in complex NSCLC network.
1. Introduction
Lung Cancer is one of the most invasive cancer types causing more than 1.38 million deaths worldwide [1]. Non-Small Cell Lung Cancer (NSCLC) is a kind of epithelial lung cancer. It is markedly different from Small Cell Lung Carcinoma (SCLC), and accounts for about 85% of all lung cancer cases [2]. NSCLCs can be further sub-categorized into adenocarcinoma (32–40%), squamous cell carcinoma (25–30%), and large cell carcinoma (8–16%) based on the type of lung cells undergoing uncontrolled proliferation [3]. In adenocarcinomas, cells that secrete mucus proliferate uncontrollably. This type of cancer occurs mainly among non-smokers [4]. It is more common in women than in men and has a higher probability of occurring in younger people, among other types of lung cancers. It is usually found in the outer parts of the lung; thus, it is likely to be detected before it metastasizes [5].
On the other hand, in squamous cell carcinoma, flat squamous cells that line the inside of the airways in the lungs undergo proliferation. Here, the tumor is usually found in the central part of the lungs, near the bronchi. In large cell carcinoma, the tumor can grow in any part of the lung [6]. It grows and spreads very fast, making it harder to treat. Other subtypes of NSCLCs, such as adeno squamous carcinoma and sarcomatoid carcinoma, are relatively less common.
Out of various reasons, smoking history is highly correlated to the pathogenesis of lung cancer [7]. It is, so far, the most crucial risk factor for lung cancer. Cigarette smoke contains more than 6000 components, most of which result in DNA damage [7,8]. Moreover, other sources of lung cancer include subjection to passive smoke, radon, exposure to materials such as soot, beryllium, nickel, chromium, asbestos, or tar, genetic predisposition to lung cancer, and air pollution [9,10].
DNA damage appears to be the primary reason for pathogenesis in multiple different cancers at the genomic level, let alone NSCLC cases. Even though the DNA repair system can repair most of the damage, frequent exposure to smoke and other causative factors makes it vulnerable [11]. Additionally, epigenetic gene silencing of DNA repair genes can happen during incompletely finished repair sites formed during DNA double-strand breaks or other DNA damage repair [12,13]. The epigenetic gene silencing of DNA repair genes plays a crucial role in molecular pathogenesis of NSCLC. At minimum, nine DNA repair genes that usually function in DNA repair pathways are often suppressed by promoter hypermethylation in NSCLC. They are namely NEIL1, WRN, MGMT, ATM, MLH1, MSH2, BRCA1, BRCA2, and XRCC5 [14,15,16,17,18,19,20]. FEN1, a component of the DNA repair pathway, is expressed at an increased level due to hypomethylation at its promoter region in NSCLC [21]. The complex molecular underpinning of NSCLC is yet to be fully understood for better treatment approaches and drug target identification.
There are not many full-proof treatment options available. Current treatment options include surgical intervention at the early stages like radical mastectomy. Cisplatin-based chemotherapy coupled with radiotherapy has been the go-to treatment with the advancement in the cancer stages and onset of metastasis. However, the multimodal approach is taken in certain cases, where third generation cytotoxic and cytostatic agents such as anti-VGFR and anti-EGFR drugs are prescribed [22].
Thus, further research into recognizing new players, drugs, and combinatorial therapies is necessary to expand the clinical interest to a broader patient population and better outcomes in NSCLC. This study utilizes a network theoretical approach to unveil the complexity of non-small cell lung cancer.
2. Materials and Methods
2.1. Data Collection
Non-small cell lung cancer data sets were retrieved from Gene Expression Omnibus (GEO), NCBI (GEO, https://www.ncbi.nlm.nih.gov/geo/, accessed on 13 September 2020). A total of eight datasets, GSE19188 (65 control and 91 cancer patients’ samples), GSE118370 (six control and six cancer patients’ samples), GSE10072 (49 control and 58 cancer patients’ samples), GSE101929 (34 control and 32 cancer patients’ samples), GSE7670 (27 control and 27 cancer patients’ samples), GSE33532 (20 control and 80 cancer patients’ samples), GSE31547 (20 control and 30 cancer patients’ samples), GSE31210 (20 control and 226 cancer patients’ samples), were taken into this study. The description of datasets and controls and patient numbers are described in Table 1.
Table 1.
List of datasets used in the meta-analysis.
2.2. Meta-Analysis of the Datasets
The summary of the methodology of the integrated analysis of this study is provided in Figure 1. Meta-analysis of the datasets was conducted using the codes obtained from ImaGEO server R.4.0.2 [32]. The codes received from ImaGEO were further modified using quantile normalization between arrays. The meta-analysis was conducted using the max p value method with Benjamini Hochberg F.D.R. value less than 0.05 as significant. The DEGs between cases and control were identified using the R limma package, with a |log2FC| > 0.1 and an adjusted p-value < 0.05.
Figure 1.
Systematic workflow of the methodology.
2.3. Gene Ontology Analysis
The GO annotation and KEGG pathway enrichment details of the DEGs reported previously were obtained from two different databases, the Database for Annotation Visualization and Integrated Discovery (DAVID; https://david.ncifcrf.gov/) and g: Profiler (https://biit.cs.ut.ee/gprofiler/gost). Statistical significance was attributed to findings with a p-value less than 0.05 for ontology terms retrieved from DAVID. For g: Profiler web server Benjamini Hochberg FDR (FDR < 0.05) was used to find significant ontology terms [33]. (The final ontology analysis was carried with g: Profiler (https://biit.cs.ut.ee/gprofiler/gost) and plotted). Both the servers were accessed on 15 September 2020.
2.4. PPI Network Construction
Network analysis is critical for providing information about the regulatory roles of the genes by utilizing protein–protein interaction data [34]. The study of the PPI network of DEGs was carried out using STRING database (http://string-db.org/ accessed on 13 September 2020) [35]. The differentially expressed genes (DEGs) were submitted to the STRING database for PPI network construction. Furthermore, the network generated was uploaded to the Cytoscape software for gene network visualization and downstream analysis for key regulator identification using various plug-ins like CytoHubba, CytoNCA, etc.
2.5. Network Analysis
The analysis of the topological properties of the network was carried out using the Cytohubba plug-in network analyzer in Cytoscape 3.7. Another plug-in, CytoNCA, was used to calculate the EigenVector values. Modules of the primary network were computed using the “leading eigenvector method” algorithm using the “igraph” package in R.4.0.2 [36]. Additionally, using default parameters (degree cutoff 2, node score cutoff 2, K-core 2, and max depth = 100), the MCODE plug-in of Cytoscape was used to define possible functional modules in the PPI network [37].
2.6. Key Regulator Gene Identification
ACytoscape plug-in, Cytohubba was used for identifying key regulator genes (KR) based on several topological properties. The top-ten genes with the highest closeness centrality, Bottleneck, MCC (Maximal Clique Centrality), MNC (Maximum Neighborhood Component), radiality, EPC (Edge Percolated Component) were used to extract key regulator genes. Furthermore, top modules were identified using MCODE, a Cytoscape plug-in (MCODE score ≥ 5). Commons gene for the above mentioned six topological properties were traced to top ten hub genes (genes with maximum degrees) to ensure their reliability as key regulators of the NSCLC gene regulatory network.
2.7. Survival Plot Analysis of the Driver Gene
The GEPIA data tool (http://gepia.cancer-pku.cn/, accessed on 15 September 2020) enables researchers to examine functional genomic datasets for associations between genomic and phenotypic variables. This tool was used to see whether the expression of key genes was linked to the survival of NSCLC patients from the TCGA data. The lung cancer patients were divided into two classes based on median gene expression values. Their overall survivals (OSs) were evaluated using the Kaplan–Meier approach with a log-rank test for obtaining the survival plot of the key regulator or driver gene. We validated the key genes with a box plot, analyzed the pathological stage and transcript per million. The p < 0.05 was considered statistically significant. The protein expression pattern of key genes in tumor and normal tissues was validated using the Human Protein Atlas (HPA) database (https://www.proteinatlas.org/, accessed on 8 January 2022).
3. Results
3.1. Identification of Differentially Expressed Genes and Meta-Analysis
Meta-analysis was performed using the ImaGeo server with eight microarray datasets of non-small cell lung cancer that yielded 4535 genes (Supplementary File S1). This meta-analysis was carried out using Wilkinson’s method or maximum p-value method, which is the most restrictive one and is used to identify most robust genes [38]. It considers the maximum p-value across the datasets, max (p1, p2, …, pi, pk), which is distributed as beta (k,1) under the null hypothesis [32,39]. After meta-analysis, the fold change of a gene is calculated as the average of fold changes of that gene across all studies. Therefore, the fold change of each gene gets reduced after meta-analysis as compared to its fold changes in individual datasets. We considered an adjusted p-value less than 0.05 and an arbitrary threshold of and to denote up and downregulated genes. After the analysis between NSCLC (non-small cell lung cancer) and NC (non-cancer) cohorts, a total of 2700 differentially expressed genes were identified, including 1842 genes as upregulated and 858 genes downregulated.
The volcano plot shows an overview of differentially expressed genes. (Figure 2A). The top 30 upregulated and downregulated DEGs based on fold changes are shown in Figure 2B.
Figure 2.
(A) Volcano plot distribution highlighting 2700 meta-DEGs between normal and tumor samples. The red and cyan colored points denote the up (1842) and downregulated (858) meta-DEGs. All the black colored points denote non-significant genes. The x and y axes represent the log2FC and −log10 p-value, respectively. (B) The heatmap denotes the gene expression of top-30 downregulated and upregulated and DEGs based on fold changes. DEGs identification with the volcano plot in a microarray represented the top DEGs in lung cancer cases and controls. The top DEGs follow the logFC value and p-value criterion.
3.2. Gene Ontology Analysis of Differentially Expressed Genes
The g: Profiler server was used for the functional and pathway enrichment analysis of selected DEGs. The ontology terms are categorized as the biological process (BP), cellular component (CC), molecular function (MF) and KEGG pathways. The results were considered statistically significant if Benjamini Hochberg FDR was lesser than 0.05. The top 30 GO terms of the upregulated and downregulated DEGs are compiled in Supplementary File S2 and File S3, respectively.
The bubble plot demonstrates that the top most upregulated genes are mainly involved in the metabolic process, organic substance metabolic process, and cellular metabolic process (Figure 3A). Furthermore, the top-most upregulated genes are present in the intracellular organelle, membrane-bound organelle, etc. (Figure 3B). The top-most upregulated genes are involved in protein binding, organic cycle compound binding, etc. as evident from their molecular functions (Figure 3C). Apart from these, the top-most upregulated genes are involved in the metabolic and disease pathways, like Alzheimer’s disease pathway, Huntington disease pathway, etc. (Figure 3D). In Biological Processes section for the top downregulated genes, it is shown that they are involved in the multicellular organismal process, developmental process, localization process, etc., (Figure 4A).
Figure 3.
Gene enrichment analyses of upregulated DEGs: (A) The upregulated DEGs’ top30 enriched GO terms with logFC > |0.1| for each of the biological processes (BP). (B) The upregulated DEGs’ top30 enriched GO cellular component (CC). (C) The upregulated DEGs’ top-30 enriched GO molecular function (MF). (D) The upregulated DEGs’ top30 enriched GO KEGG pathway (KP). Gene Ratio is defined as the ratio between intersection size and query size. The number refers to interaction size, i.e., the number of genes corresponding to an ontology term and Gene Ratio denotes ratio between intersection and query size.
Figure 4.
The gene enrichment analysis (A) The downregulated DEGs’ top30 enriched GO terms with logFC > |0.1| for each of the biological processes (BP). (B) The downregulated DEGs’ top30 enriched GO cellular component (CC). (C) The downregulated DEGs’ top 30enriched GO molecular function (MF). (D) The downregulated DEGs’ top30 enriched GO KEGG pathway (KP). Gene Ratio is defined as the ratio between intersection size and query size. The number refers to interaction size, i.e., the number of genes corresponding to an ontology term.
The downregulated genes are present in the cytoplasm, cell periphery, plasma membrane, etc., as shown in the cellular component (CC) section of the ontology terms. (Figure 4B) and the top-most downregulated gene are involved in protein binding, anion binding, enzyme binding as shown in their molecular functions (Figure 4C). Furthermore, KEGG pathway analysis shows the top downregulated genes are involved in cancer pathways, MAPK kinase signaling pathway, Ras signaling pathway, etc., (Figure 4D).
3.3. Protein–Protein Interaction Network Construction and Downstream Analysis
In our analysis, a total of 2700 DEGs were submitted to STRING for the construction and analysis of the network. The network analysis shows that the protein–protein interaction network has 2637 interacting nodes and 31,349 edges (Figure 5A). Further analysis of this network was executed using Cytoscape. After analyzing, we found the top-10 hub genes (genes with highest degrees), GAPDH, IL6, CDK1, HSP90AA1, EGF, PTEN, CASP3, HSPA8, CDC20, and PLK1 as per the decreasing order of degree values. Also, we found top 10 bottleneck genes EIF4A1, HSPA8, GNL3, SPN, CDK1, ZEB1, HSP90AA1, EPRS, TARS2, and DICER1. as per the decreasing order of highest bottleneck score (Figure 5B,C and Supplementary File S4).
Figure 5.
(A) Protein–protein network of DEGs. Blue color node showing upregulated genes and yellow color node showing downregulated genes of non-small cell lung cancer vs. normal. (B) Top-10 hub, and (C) bottleneck genes of PPI network retrieved from significant modules (dark color showing higher value in analysis, all are upregulated except the blue which represents downregulated genes) (D,E) Top-two modules after integrated analysis of PPI network (D) Modules 1 (E) Module 2. Node showing genes, lines denoted interaction between genes.
A total of 65 modules were identified using the MCODE (Molecular Complex Detection) plug-in of the Cytoscape tool, out of which five cluster-significant modules (Modules with MCODE score ≥ 5 were considered as significant modules) were screened from the PPI network. Modules A had 68 nodes and 2078 edges with a 62.03 MCODE score, modules B had 161 nodes and 2417 edges with 30.213 MCODE scores, modules C had 31 nodes and 291 edges with 19.4 MCODE scores, modules D had 36 nodes and 308 edges with 17.6 MCODE score, modules E was having 19 nodes and 150 edges with 16.66 MCODE scores, etc. The list of MCODE scores and network parameters are given in Supplementary File S5 and the details of top twenty genes with highest degree, betweenness centrality, closeness centrality and eigen vector values are given in Supplementary File S6. (Figure 5D,E).
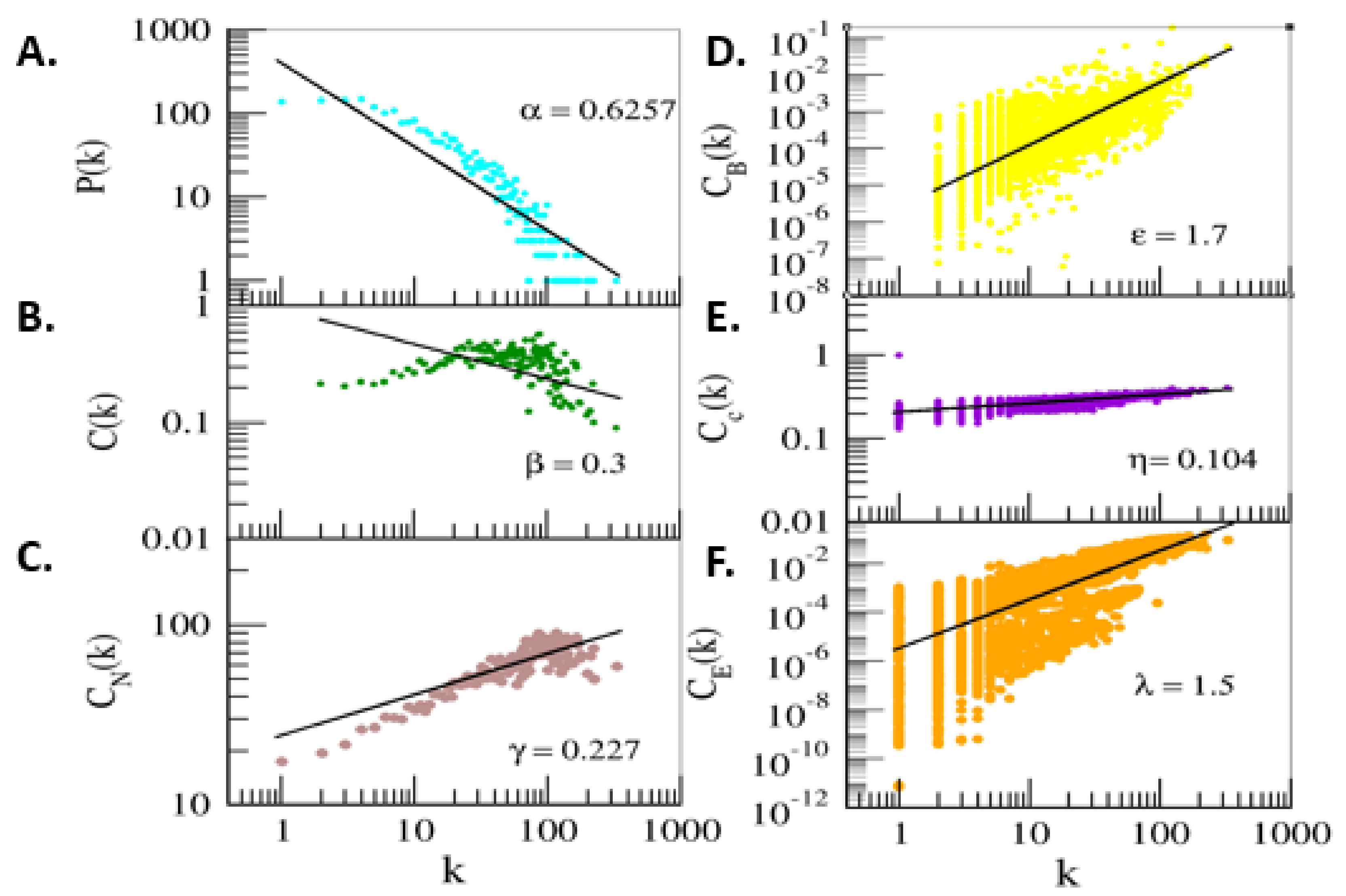
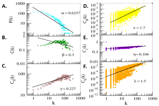
The topological properties of this network, probability of degree distribution P(k), neighborhood connectivity CN (k), and clustering coefficient C(k), follow power-law characteristics as a function of k (Equation (1)). The negative value in of connectivity parameter shows disassortive nature of the network, and possibility of rich-club formation among the leading hubs. However, the roles of the leading hubs are still significant in regulating the NSCLC network.
Node degree distribution, clustering coefficient, and neighborhood connectivity were found to follow the hierarchical structure of the network. Centrality values, betweenness (, closeness (, and eigenvector ( supported the network’s hierarchical nature. The positive value of exponents of these centrality parameters, shown in Equation (2), indicate the strong regulatory role of the leading hubs in the NSCLC network (Equation (2)). All six distributions of topological properties were fitted with power laws y = A0xA1 (Figure 6).
Figure 6.
Topological properties of the network. (A) Probability of node degree distribution as function of degree k. (B) Clustering coefficient as function of degree k (C) Neighborhood connectivity as function of degree k. (D)Betweenness centrality as function of degree k. (E) Closeness centrality as function of degree k. (F) Eigenvector value as function of degree k.
3.4. Key Regulator Gene Identification
To identify key regulators in the PPI network, top ten genes from each of the six topological properties were taken to compare with each other. After analyzing the topological properties (closeness centrality, maximal clique centrality (MCC), Maximum Neighborhood Component (MNC), radiality, EPC (Edge Percolated Component and bottleneck), and tracing them to top ten hub genes (genes with top ten degrees) CDK1 (Cyclin-dependent kinase 1) and HSP90AA1 (heat shock protein 90 alpha family class A member 1) were found common for all topological properties. This suggests significant regulatory roles of CDK1 and HSP90AA1 in non-small cell lung cancer. Figure 7A shows the upset plot for all six topological properties and degree and genes common to them. The first bar shows two genes CDK1 and HSP90AA1 are common to all six topological properties and degree. Common genes between any two topological properties are shown as heatmap (Figure 7B). As an extension to this we also checked top twenty genes having highest degree, betweenness centrality, closeness centrality, and eigen vector. The common genes for each pair are shown in Figure 7C.
Figure 7.
(A) Identifying common genes among seven topological properties. The first bar in the upset plot denotes two genes CDK1 and HSP90AA1 are common among top ten genes of each of the seven topological parameters. (B) Mutual intersections of each of the seven topological properties are shown as heat maps. (C) Intersections among top twenty genes having highest degree, betweenness centrality, closeness centrality and eigenvector values. (D) regulatory network of top 20 hub genes (top twenty genes ranked by degrees). (E) p-values are used to color a bar graph of enriched terms for a regulatory network of top-20 hub genes.
Most of the hub genes in the network like GAPDH, IL6, CDK1, PTEN, etc. are either associated with non-small cell lung cancer itself or other forms of cancers. Therefore, we further checked the protein-protein interaction network and ontology terms of top twenty hub genes. We created a small network of these top 20 hub genes to check their interactions (Figure 7D). Further we analyzed the enrichment of the genes involved in the network. Top ten ontology terms for each of biological processes, cellular component, molecular function and KEGG pathways of these genes are given in Figure 7E and Supplementary File S6. We noted that p53 signaling pathway (KEGG:04115), FOXO signaling pathway (KEGG:04068), cyclin B1-CDK1 complex (GO:0097125), regulation of cell cycle (GO:0051726), histone deacetylase binding (GO:0042826) were some of the significant pathways for these top 20 hub genes.
3.5. Survival Plot Analysis of the Driver Gene
The mRNA expression of CDK1 and HSP90AA1 were found significantly connected with overall survival through the GEPIA online software (Figure 8A and Figure 9A). The survival plot of both CDK1 (CDC2) and HSP90AA1 genes were obtained from the GEPIA tool and were analyzed. Higher expression of both the genes CDK1 and HSP90AA1 was found to be related to poor overall survival. The Kaplan Meier (KM) plot also showed that CDK1 and HSP90AA1 expression were significantly associated with OS (Figure 8B and Figure 9B).
Figure 8.
The survival, expressional and pathological analysis of CDK1. (A) Survival plot for CDK1 obtained from GEPIA (gepia.cancer-pku.cn). (B) Survival plot of CDK1 (CDC2) from KM-Plotter. (C) Expression profile of CDK1 in normal (grey) and tumor (red) samples of LUAD and LUSC datasets. (p < 0.05) (D) Pathological stage condition for CDK1 genes using LUAD and LUSC datasets. (E) Expression of CDK1 gene based on RNA-seq data from the TCGA database assessed by TPM (Transcripts per million) from GEPIA. One * (star) signifies p value less than 0.05. It is updated in the text.
Figure 9.
The survival, expressional and pathological analysis of HSP90AA1. (A) Survival plot for HSP90AA1 obtained from GEPIA (gepia.cancer-pku.cn). (B) Survival plot of HSP90AA1 from KM-Plotter. (C) Expression profile of HSP90AA1 in normal (grey) and tumor (red) samples of LUAD and LUSC datasets (p < 0.05) (D) Pathological stage condition for HSP90AA1 genes using LUAD and LUSC datasets. (E) Expression of HSP90AA1 gene based on RNA-seq data from the TCGA database assessed by TPM (Transcripts per million) from GEPIA. (Survival analysis is done in GEPIA using log-rank test (Mantel–Cox test), for the hypothesis evaluation.) One * (star) signifies p value less than 0.05. It is updated in the text. One * (star) signifies p value less than 0.05. It is updated in the text.
Moreover, the GEPIA tool was used to validate the expression of CDK1 and HSP90AA1 gene expression between lung cancer and control tissue in the LUAD and LUSC cohort from TGCA data. The mRNA expression of both genes CDK1 and HSP90AA1 were significantly upregulated in both the datasets, LUAD and LUSC, between lung cancer and non-cancer patients (Figure 8C and Figure 9C). Further, the relationship between the expression of CDK1, HSP90AA1, and tumor stage (pathological stage plot) in lung cancer patients was evaluated using GEPIA. The data revealed that CDK1 expression levels showed a strong association with the stage of tumor in lung cancer patients as well as HSP90AA1 also showed a strong association with the stage of tumor in lung cancer patients (Figure 8D and Figure 9D).
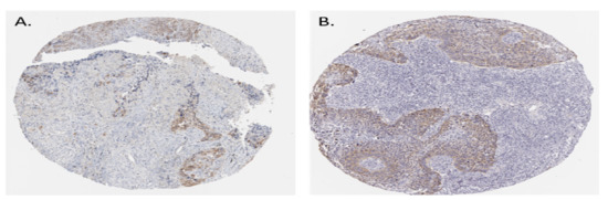
The TPM’s (transcripts per million) analysis of RNA-seq data from GEPIA with default parameters revealed that CDK1 and HSP90AA1 were overexpressed in both dataset LUAD and LUSC. (Figure 8E and Figure 9E). We then analyzed the protein expression patterns of these CDK1 and HSP90AA1 in NSCLC tissues by using the HPA database (Figure 10).
Figure 10.
Histological images of CDK1 and HSP90AA1 in squamous cell carcinoma. (A) The sample is from Male, age 54 (HPA003387), Lung (T-28000) Squamous cell carcinoma, NOS (M-80703), Patient id: 1727 and for HSP90AA1 (B) The sample is from Male, age 68 (CAB002058), Lung (T-28000) Squamous cell carcinoma, NOS (M-80703), Patient id: 1048.
4. Discussion
Non-Small Cell Lung Cancer (NSCLC) is highly malignant with only 5-year survival rate [40,41] and significant percentage of cancer-related deaths [42]. Network analysis and functional enrichment are well known techniques to find novel significant regulatory genes for any biological network [43,44,45,46,47,48,49,50]. In our study we tried to identify potent biomarkers, by analyzing the DEGs between lung cancer and normal lung tissue samples of 550 Lung Cancer patients in a total of eight datasets from Gene Expression Omnibus (GEO). According to our functional enrichment analysis, the cell cycle, metabolic pathways, pathways in cancer, and the MAPK signaling pathway were found to be well associated to the pathogenesis of NSCLC. This study revealed two significant genes, CDK1 and HSP90AA1, as key regulators of NSCLC. It was found that the expression of both CDK1 and HSP90AA1 were upregulated in NSCLC, and the expression of both genes was validated in LUAD and LUSC cohort independently. Also, CDK1 and HSP90AA1 were linked to overall survival in a Kaplan–Meier study (OS).
CDKs (cyclin-dependent kinases) are crucial proteins that regulate the cell cycle [51]. However, the cell cycle is an essential and strictly controlled mechanism that controls cell proliferation and cell growth and any deviation from normal cell cycle regulation results in uncontrolled proliferation and cancer [52]. Malignancy is indicated by the absence of cell-cycle regulation [53]. Several therapeutic approaches have been developed to regulate the cell cycle in cancers [54]. CDK1 is the catalytic subunit of a protein kinase complex that triggers cell division. The transformation from the G1 to the S phase of the cell cycle and G2 to mitotic phase of the cell cycle is regulated by CDK1 [51]. CDK1 activity is dysregulated frequently in various cancers. The latest data reveals that CDK1 is a promising diagnostic and prognostic biomarker and a target for lung cancer since it participates in cell cycle progression and dysregulation [55]. A previous study suggested that targeting the CDK1 has reduced apoptotic resistance in colorectal cancer [56]. Another study showed that protein phosphatase1alpha mobilization of CDK1 mediated by a positive feedback loop had been shown to drive androgen receptors in prostate cancer [57]. The study also speculated that accumulated cytoplasmic Cdk1 is correlated with the growth and survival rate of epithelial ovarian cancer [58]. Kubo et al. observed that the prognosis of stage I and stage II non-small cell lung cancer are found to be dependent on cyclin-dependent kinases [59]. Another study showed that lung carcinogenesis is promoted by the activation of the GP130/STAT3 signaling pathway iron-dependent activity of CDK1 [60]. It was reported by Shi et al. that predictive and prognostic values of CDK1 and MAD2L1 have been described in lung adenocarcinoma as higher expression of CDK1 is correlated to poor survival and higher chances of cancer recurrences [61]. A Cdc2/Cdk1 inhibitor, purvalanol A, has been shown to enhance the cytotoxic effects of taxol by Op18/stathmin in in-vitro NSCLC [62].
Furthermore, Dinaciclib has been shown to downregulate lung cancer proliferation by inhibiting cyclin-dependent kinases 1 and 2. In contrast, Cucurbitacin-D-induced upregulation of CDK1 mRNA level has been shown to arrest the proliferation of non-small cell lung cancer [63,64]. Therefore, Li et al. and his co-worker concluded that CDK1 appears as a prognostic biomarker and therapeutic target in lung cancer [65]. Nevertheless, further characterization of CDK1 as a biomarker of NSCLC is essential for the better treatment of lung cancer. Our study uses a network theoretical approach to decipher the complex architecture of the NSCLC network. It identifies CDK1 as a potential biomarker and therapeutic target in the progression of non-small cell lung cancer.
Heat-associated protein 90, such as heat shock protein (HSP90), is a well-known and universal protein. HSP90 consists of a flexible homodimer, and its molecular structure consists of three regions: the N-terminal domain, the middle domain, and the C-terminal domain. The gene of HSP90AA1 (commonly known as HSP90) is situated on the chromosomes 14q32.2 [66]. In current cancer therapy, HSP90 is the center of attraction for its ability to inhibit multiple signaling pathways simultaneously [67]. A study reported by prominent scientists that IPI 504, a potent HSP90 inhibitor, has shown therapeutic response in patients with NSCLC, especially those with anaplastic lymphoma kinase gene rearrangements [68]. HSP90 has been highly expressed in multiple cancer like lung, ovarian, endometrial, and pancreatic cancer, additionally oropharyngeal squamous cell carcinoma (OSCC) and various myeloma [69,70,71,72]. The latest study revealed that high HSP90 expression was a poor prognosis marker in different cancers such as lung cancer, melanoma, esophageal cancer, bladder cancer, and leukemia [73,74,75,76]. Apart from these, HSP90 has been confirmed to play a role in a variety of cancers as well as overexpression of HSP90 has been suggested to improve carcinogenesis and influence patient prognosis [77,78,79,80,81]. The study found that the presence or absence of HSP90 expression affects the OS rate of NSCLC patients. Another study found that HSP90AA1 protein product HSP90α is thought to play a key role in tumor invasion and migration regulation [82,83]. Our study can conclude that high HSP90AA1 mRNA expression is associated with a poorer prognosis of OS in all NSCLC patients. Current research suggested that HSP90 could be a critical drug target for the treatment of NSCLC. For example, mitochondrial HSP90 network repression can be an effective treatment for refractory tumors [84] as well as the introduction of HSP90 inhibitor 17AAG prevents epidermal hyperplasia and OSCC [85]. HSP90AA1 affects the patient’s reaction with systemic lupus erythematosus to glucocorticoids and the lipopolysaccharide-induced inflammatory response, including tumor necrosis factor secretion by monocytes, according to previously published findings [86]. Moreover, the role of HSP90AA1 in cancer pathogenesis is a hot topic of research right now. According to a previous study, high HSP90AA1 expression was an independent factor correlated with mortality in breast cancer patients (triple-negative and human epidermal growth factor receptor 2-negative/estrogen receptor-positive subtypes) [87].
5. Conclusions
In conclusion, our study identified multiple important genes, including CDK1 and HSP90AA1 which showed differential expression in non-small cell lung cancer patients compared to control through DEG analysis and network building. Our integrated analysis suggested that CDK1 and HSP90AA1 could be significant potential biomarkers for the diagnosis and prognosis of NSCLC. Both CDK1 and HSP90AA1 could be potential therapeutic drug targets in lung cancer treatment. However, some drawbacks to the current research are needed to be addressed. Moreover, the current findings were extracted by applying bioinformatics techniques, therefore efficient experimental research is required to fully understand the underlying molecular mechanisms in future.
Supplementary Materials
The following supporting information can be downloaded at: https://www.mdpi.com/article/10.3390/jpm12030393/s1, Supplementary File S1: Meta-analyzed data of all datasets; Supplementary File S2: Gene enrichment analysis of upregulated DEGs in lung datasets; Supplementary File S3: Gene enrichment analysis of down regulated DEGs in lung datasets; Supplementary File S4: Top-ten topological properties of genes; Supplementary File S5: The details of modules identified by MCODE; Supplementary File S6: List of top twenty genes according to rank of topological properties.
Author Contributions
M.Z.M. conceived the model. N.B., A.K.R. and M.Z.M. conducted numerical experiments. N.B. and M.Z.M. prepared figures of the numerical results. N.B., A.K.R. and M.Z.M. analyzed and interpreted the simulation results and wrote the manuscript. A.K.R. and M.Z.M. jointly supervised the study. N.B., A.K.R., S.G., S.S., A.S., M.B., A.M., S.A.B., A.H.A., M.F.A., S.H., A.K.R. and M.Z.M. read and approved the final draft. M.Z.M supervised. All authors have read and agreed to the published version of the manuscript.
Funding
M.Z.M. acknowledges financial assistance from the Department of Health Research, Ministry of Health and Family Welfare, Government of India under the Young Scientist scheme (Sanction File No. R.12014/01/2018-HR, FTS No. 3146887). AKR acknowledges financial assistance from NHLBI and Fogarty International Centre (FIC), USA grant D43TW009345 and Ref. No./IoE/2021/12/F.R.P. grant University of Delhi, India. The authors would like to extend their sincere appreciation to Taif University Researchers Supporting Project Number (TURSP-2020/208), Taif University, Saudi Arabia.
Institutional Review Board Statement
This is not applicable for our study.
Informed Consent Statement
This is not applicable for our study.
Data Availability Statement
The GSE files are publicly available. The codes can be shared upon reasonable requests to the corresponding author Md. Zubbair Malik.
Acknowledgments
We acknowledge Jordi Martorell-Marugán (Genyo Bioinformatics Unit) for his immense support for every query despite his busy schedule.
Conflicts of Interest
The authors declare no competing interests.
References
- Jemal, A.; Siegel, R.; Ward, E.; Hao, Y.; Xu, J.; Murray, T.; Thun, M.J. Cancer Statistics, 2008. CA Cancer J. Clin. 2008, 58, 71–96. [Google Scholar] [CrossRef]
- Molina, J.R.; Yang, P.; Cassivi, S.D.; Schild, S.E.; Adjei, A.A. Non-Small Cell Lung Cancer: Epidemiology, Risk Factors, Treatment, and Survivorship. Mayo. Clin. Proc. 2008, 83, 584–594. [Google Scholar] [CrossRef]
- Chansky, K.; Detterbeck, F.C.; Nicholson, A.G.; Rusch, V.W.; Vallières, E.; Groome, P.; Kennedy, C.; Krasnik, M.; Peake, M.; Shemanski, L.; et al. The IASLC Lung Cancer Staging Project: External Validation of the Revision of the TNM Stage Groupings in the Eighth Edition of the TNM Classification of Lung Cancer. J. Thorac. Oncol. 2017, 12, 1109–1121. [Google Scholar] [CrossRef] [PubMed]
- Subramanian, J.; Govindan, R. Lung Cancer in Never Smokers: A Review. J Clin. Oncol. 2007, 25, 561–570. [Google Scholar] [CrossRef] [PubMed]
- Mitchell, E.D.; Pickwell-Smith, B.; Macleod, U. Risk Factors for Emergency Presentation with Lung and Colorectal Cancers: A Systematic Review. BMJ Open 2015, 5, e006965. [Google Scholar] [CrossRef] [PubMed]
- Popper, H.H. Progression and Metastasis of Lung Cancer. Cancer Metastasis Rev. 2016, 35, 75–91. [Google Scholar] [CrossRef] [PubMed]
- Kenfield, S.A.; Stampfer, M.J.; Rosner, B.A.; Colditz, G.A. Smoking and Smoking Cessation in Relation to Mortality in Women. JAMA 2008, 299, 2037–2047. [Google Scholar] [CrossRef] [PubMed]
- Liu, X.; Conner, H.; Kobayashi, T.; Kim, H.; Wen, F.; Abe, S.; Fang, Q.; Wang, X.; Hashimoto, M.; Bitterman, P.; et al. Cigarette Smoke Extract Induces DNA Damage but Not Apoptosis in Human Bronchial Epithelial Cells. Am. J. Respir. Cell Mol. Biol. 2005, 33, 121–129. [Google Scholar] [CrossRef] [PubMed]
- Coultas, D.B.; Samet, J.M. Occupational Lung Cancer. Clin. Chest Med. 1992, 13, 341–354. [Google Scholar] [CrossRef]
- Edling, C.; Kling, H.; Axelson, O. Radon in Homes--A Possible Cause of Lung Cancer. Scand. J. Work. Environ. Health 1984, 10, 25–34. [Google Scholar] [CrossRef] [PubMed]
- Kastan, M.B. DNA Damage Responses: Mechanisms and Roles in Human Disease: 2007 G.H.A. Clowes Memorial Award Lecture. Mol. Cancer Res. 2008, 6, 517–524. [Google Scholar] [CrossRef] [PubMed]
- O’Hagan, H.M.; Mohammad, H.P.; Baylin, S.B. Double Strand Breaks Can Initiate Gene Silencing and SIRT1-Dependent Onset of DNA Methylation in an Exogenous Promoter CpG Island. PLoS Genet. 2008, 4, e1000155. [Google Scholar] [CrossRef] [PubMed]
- Cuozzo, C.; Porcellini, A.; Angrisano, T.; Morano, A.; Lee, B.; Pardo, A.D.; Messina, S.; Iuliano, R.; Fusco, A.; Santillo, M.R.; et al. DNA Damage, Homology-Directed Repair, and DNA Methylation. PLoS Genet. 2007, 3, e110. [Google Scholar] [CrossRef] [PubMed]
- Do, H.; Wong, N.C.; Murone, C.; John, T.; Solomon, B.; Mitchell, P.L.; Dobrovic, A. A Critical Re-Assessment of DNA Repair Gene Promoter Methylation in Non-Small Cell Lung Carcinoma. Sci. Rep. 2014, 4, 4186. [Google Scholar] [CrossRef] [PubMed]
- Agrelo, R.; Cheng, W.H.; Setien, F.; Ropero, S.; Espada, J.; Fraga, M.F.; Herranz, M.; Paz, M.F.; Sanchez-Cespedes, M.; Artiga, M.J.; et al. Epigenetic Inactivation of the Premature Aging Werner Syndrome Gene in Human Cancer. Proc Natl. Acad. Sci. USA 2006, 103, 8822–8827. [Google Scholar] [CrossRef]
- Wolf, P.; Hu, Y.C.; Doffek, K.; Sidransky, D.; Ahrendt, S.A. O(6)-Methylguanine-DNA Methyltransferase Promoter Hypermethylation Shifts the p53 Mutational Spectrum in Non-Small Cell Lung Cancer. Cancer Res. 2001, 61, 8113–8117. [Google Scholar] [PubMed]
- Ekim, M.; Caner, V.; Büyükpınarbaşılı, N.; Tepeli, E.; Elmas, L.; Bağcı, G. Determination of O⁶-Methylguanine DNA Methyltransferase Promoter Methylation in Non-Small Cell Lung Cancer. Genet. Test Mol. Biomark. 2011, 15, 357–360. [Google Scholar] [CrossRef] [PubMed]
- Safar, A.M.; Spencer, H.; Su, X.; Coffey, M.; Cooney, C.; Ratnasinghe, L.D.; Hutchins, L.F.; Fan, C.-Y. Methylation Profiling of Archived Non–Small Cell Lung Cancer: A Promising Prognostic System. Clin. Cancer Res. 2005, 11, 4400–4405. [Google Scholar] [CrossRef] [PubMed]
- Gomes, A.; Reis-Silva, M.; Alarcão, A.; Couceiro, P.; Sousa, V.; Carvalho, L. Promoter Hypermethylation of DNA Repair Genes MLH1 and MSH2 in Adenocarcinomas and Squamous Cell Carcinomas of the Lung. Rev. Port. Pneumol. 2014, 20, 20–30. [Google Scholar] [CrossRef] [PubMed]
- Lee, M.-N.; Tseng, R.-C.; Hsu, H.-S.; Chen, J.-Y.; Tzao, C.; Ho, W.L.; Wang, Y.-C. Epigenetic Inactivation of the Chromosomal Stability Control Genes BRCA1, BRCA2, and XRCC5 in Non–Small Cell Lung Cancer. Clin. Cancer Res. 2007, 13, 832–838. [Google Scholar] [CrossRef] [PubMed]
- Nikolova, T.; Christmann, M.; Kaina, B. FEN1 is Overexpressed in Testis, Lung, and Brain Tumors. Anticancer Res. 2009, 29, 2453–2459. [Google Scholar]
- Zarogoulidis, K.; Zarogoulidis, P.; Darwiche, K.; Boutsikou, E.; Machairiotis, N.; Tsakiridis, K.; Katsikogiannis, N.; Kougioumtzi, I.; Karapantzos, I.; Huang, H.; et al. Treatment of Non-Small Cell Lung Cancer (NSCLC). J. Thorac. Dis. 2013, 5 (Suppl. 4), S389–S396. [Google Scholar] [PubMed]
- Hou, J.; Aerts, J.; den Hamer, B.; van Ijcken, W.; den Bakker, M.; Riegman, P.; Van Der Leest, C.; Van Der Spek, P.; Foekens, J.A.; Hoogsteden, H.C.; et al. Gene Expression-Based Classification of Non-Small Cell Lung Carcinomas and Survival Prediction. PLoS ONE 2010, 5, e10312. [Google Scholar] [CrossRef] [PubMed]
- Xu, L.; Lu, C.; Huang, Y.; Zhou, J.; Wang, X.; Liu, C.; Chen, J.; Le, A.H. SPINK1 promotes cell growth and metastasis of lung adenocarcinoma and acts as a novel prognostic biomarker. BMB Rep. 2018, 51, 648–653. [Google Scholar] [CrossRef]
- Landi, M.T.; Dracheva, T.; Rotunno, M.; Figueroa, J.D.; Liu, H.; Dasgupta, A.; Mann, F.E.; Fukuoka, J.; Hames, M.; Bergen, A.; et al. Gene Expression Signature of Cigarette Smoking and Its Role in Lung Adenocarcinoma Development and Survival. PLoS ONE 2008, 3, e1651. [Google Scholar] [CrossRef]
- Mitchell, K.A.; Zingone, A.; Toulabi, L.; Boeckelman, J.; Ryan, B.M. Comparative Transcriptome Profiling Reveals Coding and Noncoding RNA Differences in NSCLC from African Americans and European Americans. Clin. Cancer Res. 2017, 23, 7412–7425. [Google Scholar] [CrossRef] [PubMed]
- Su, L.-J.; Chang, C.-W.; Wu, Y.-C.; Chen, K.-C.; Lin, C.-J.; Liang, S.-C.; Lin, C.-H.; Whang-Peng, J.; Hsu, S.-L.; Chen, C.-H.; et al. Selection of DDX5 as a novel internal control for Q-RT-PCR from microarray data using a block bootstrap re-sampling scheme. BMC Genom. 2007, 8, 140. [Google Scholar] [CrossRef] [PubMed]
- Chen, C.H.; Lai, J.M.; Chou, T.Y.; Chen, C.Y.; Su, L.-J.; Lee, Y.-C.; Cheng, T.-S.; Hong, Y.-R.; Chou, C.-K.; Jacqueline, W.-P.; et al. VEGFA upregulates FLJ10540 and modulates migration and invasion of lung cancer via PI3K/AKT pathway. PLoS ONE 2009, 4, e5052. [Google Scholar] [CrossRef] [PubMed]
- Michael, M.; Anton, B.; Xu, E.C.; Schnabel, P.; Warth, A.; Hoffmann, H.; Dienemann, H.; Riedlinger, J.; Bodenmueller, H.; Zolg, W.; et al. Intra-tumor Heterogeneity of Gene Expression Profiles in Early Stage Non-Small Cell Lung Cancer. J. Bioinform. Res. Stud. 2014, 1, 1. [Google Scholar]
- Okayama, H.; Kohno, T.; Ishii, Y.; Shimada, Y.; Shiraishi, K.; Iwakawa, R.; Furuta, K.; Tsuta, K.; Shibata, T.; Yamamoto, S.; et al. Identification of Genes Upregulated in ALK-Positive and EGFR/KRAS/ALK-Negative Lung Adenocarcinomas. Cancer Res. 2012, 72, 100–111. [Google Scholar] [CrossRef] [PubMed]
- Yamauchi, M.; Yamaguchi, R.; Nakata, A.; Kohno, T.; Nagasaki, M.; Shimamura, T.; Imoto, S.; Saito, A.; Ueno, K.; Hatanaka, Y.; et al. Epidermal Growth Factor Receptor Tyrosine Kinase Defines Critical Prognostic Genes of Stage I Lung Adenocarcinoma. PLoS ONE 2012, 7, e43923. [Google Scholar] [CrossRef] [PubMed]
- Toro-Domínguez, D.; García, J.A.V.; Martorell-Marugán, J.; Román-Montoya, Y.; Alarcón-Riquelme, M.E.; Carmona-Sáez, P. A Survey of Gene Expression Meta-Analysis: Methods and Applications. Brief. Bioinform. 2020, 22, 1694–1705. [Google Scholar] [CrossRef] [PubMed]
- Raudvere, U.; Kolberg, L.; Kuzmin, I.; Arak, T.; Adler, P.; Peterson, H.; Vilo, J. g:Profiler: A Web Server for Functional Enrichment Analysis and Conversions of Gene Lists (2019 update). Nucleic Acids Res. 2019, 47, W191–W198. [Google Scholar] [CrossRef]
- Stelzl, U.; Worm, U.; Lalowski, M.; Haenig, C.; Brembeck, F.H.; Goehler, H.; Stroedicke, M.; Zenkner, M.; Schoenherr, A.; Koeppen, S.; et al. A Human Protein-Protein Interaction Network: A Resource for Annotating the Proteome. Cell 2005, 122, 957–968. [Google Scholar] [CrossRef] [PubMed]
- Von Mering, C.; Huynen, M.; Jaeggi, D.; Schmidt, S.; Bork, P.; Snel, B. STRING: A Database of Predicted Functional Associations between Proteins. Nucleic Acids Res. 2003, 31, 258–261. [Google Scholar] [CrossRef] [PubMed]
- Newman, M.E.J. Modularity and Community Structure in Networks. Proc. Natl. Acad. Sci. USA 2006, 103, 8577–8582. [Google Scholar] [CrossRef]
- Bandettini, W.P.; Kellman, P.; Mancini, C.; Booker, O.J.; Vasu, S.; Leung, S.W.; Wilson, J.R.; Shanbhag, S.M.; Chen, M.Y.; Arai, A.E. MultiContrast Delayed Enhancement (MCODE) Improves Detection of Subendocardial Myocardial Infarction by Late Gadolinium Enhancement Cardiovascular Magnetic Resonance: A Clinical Validation Study. J. Cardiovasc. Magn. Reson. 2012, 14, 83. [Google Scholar] [CrossRef] [PubMed]
- Heard, N.A.; Rubin-Delanchy, P. Choosing between Methods of Combining p-Values. Biometrika 2018, 105, 239–246. [Google Scholar] [CrossRef]
- Li, J.; Tseng, G.C. An Adaptively Weighted Statistic for Detecting Differential Gene Expression when Combining Multiple Transcriptomic Studies. Ann. Appl. Stat. 2011, 5, 994–1019. [Google Scholar] [CrossRef]
- Minna, J.D.; Roth, J.A.; Gazdar, A.F. Focus on Lung Cancer. Cancer Cell 2002, 1, 49–52. [Google Scholar] [CrossRef]
- Lukas, R.V.; Gondi, V.; Kamson, D.O.; Kumthekar, P.; Salgia, R. State-of-the-Art Considerations in Small Cell Lung Cancer Brain Metastases. Oncotarget 2017, 8, 71223–71233. [Google Scholar] [CrossRef]
- Zhao, Y.; Ye, X.; Chen, R.; Gao, Q.; Zhao, D.; Ling, C.; Qian, Y.; Xu, C.; Tao, M.; Xie, Y. Sirtuin 7 Promotes Non-Small Cell Lung Cancer Progression by Facilitating G1/S Phase and Epithelial-Mesenchymal Transition and Activating AKT and ERK1/2 Signaling. Oncol. Rep. 2020, 44, 959–972. [Google Scholar] [CrossRef] [PubMed]
- Mangangcha, I.R.; Malik, M.Z.; Küçük, Ö.; Ali, S.; Singh, R.K.B. Kinless hubs are potential target genes in prostate cancer network. Genomics 2020, 112, 6. [Google Scholar]
- Zubbair, M.; Keilash, C.; Shahnawaz, A.; Romana, I.; Brojen, S. Methodology of predicting key regulators in ovarian cancer network: A network theoretical approach. BMC Cancer 2019, 19, 1129. [Google Scholar]
- Irengbam, R.M.; Zubbair, M.; Ömer, K.; Shakir, A.; Singh, R.K.B. Identification of key regulators in Prostate cancer from gene expression datasets of patients. Sci. Rep. 2019, 9, 16420. [Google Scholar]
- Zubbair, M.; Shahnawaz, A.; Singh, S.S.; Ishrat, R.; Singh, R.K.B. Dynamical states, possibilities and propagation of stress signal. Sci. Rep. 2017, 7, 40596. [Google Scholar]
- Malik, Z.; Alam, J.; Ishrat, R.; Agarwal, S.M.; Singh, R.K.B. Control of apoptosis by SMAR1. Mol. BioSyst. 2017, 13, 350–362. [Google Scholar] [CrossRef] [PubMed]
- Shahnawaz, A.; Malik, Z.; Shyamchand, S.S.; Chirom, K.; Ishrat, R.; Singh, R.K.B. Exploring novel key regulators in breast cancer network. PLoS ONE 2018, 13, e0198525. [Google Scholar]
- Anam, F.; Safia, T.; Ahmed, M.M.; Alam, A.; Ali, S.; Malik, Z.; Ali, S.; Ishrat, R. Assessment of the key regulatory genes and their Enterology for Turner Syndrome employing network approach. Sci. Rep. 2018, 8, 10091. [Google Scholar]
- Aftab, A.; Nikhat, I.; Ahmed, M.M.; Tazyeen, S.; Tamkeen, N.; Farooqui, A.; Malik, Z. Romana Ishrat. Identification and Classification of Differentially Expressed Genes and Network Meta-Analysis Reveals Potential Molecular Signatures Associated with Tuberculosis. Front. Genet. 2019, 10, 932. [Google Scholar]
- Malumbres, M.; Barbacid, M. Cell Cycle, CDKs and Cancer: A Changing Paradigm. Nat. Rev. Cancer. 2009, 9, 153–166. [Google Scholar] [CrossRef] [PubMed]
- Matera, R.; Saif, M.W. New Therapeutic Directions for Advanced Pancreatic Cancer: Cell Cycle Inhibitors, Stromal Modifiers and Conjugated Therapies. Expert Opin. Emerg. Drugs 2017, 22, 223–233. [Google Scholar] [CrossRef] [PubMed]
- Dominguez-Brauer, C.; Thu, K.L.; Mason, J.M.; Blaser, H.; Bray, M.R.; Mak, T.W. Targeting Mitosis in Cancer: Emerging Strategies. Mol. Cell 2015, 60, 524–536. [Google Scholar] [CrossRef] [PubMed]
- He, Y.-C.; He, L.; Khoshaba, R.; Lu, F.-G.; Cai, C.; Zhou, F.-L.; Liao, D.-F.; Cao, D. Curcumin Nicotinate Selectively Induces Cancer Cell Apoptosis and Cycle Arrest through a P53-Mediated Mechanism. Molecules 2019, 24, 4179. [Google Scholar] [CrossRef] [PubMed]
- Zhang, L.; Peng, R.; Sun, Y.; Wang, J.; Chong, X.; Zhang, Z. Identification of Key Genes in Non-Small Cell Lung Cancer by Bioinformatics Analysis. PeerJ 2019, 7, e8215. [Google Scholar] [CrossRef] [PubMed]
- Zhang, P.; Kawakami, H.; Liu, W.; Zeng, X.; Strebhardt, K.; Tao, K.; Huang, S.; Sinicrope, F.A. Targeting CDK1 and MEK/ERK Overcomes Apoptotic Resistance in BRAF-Mutant Human Colorectal Cancer. Mol. Cancer Res. 2017, 16, 378–389. [Google Scholar] [CrossRef]
- Liu, X.; Gao, Y.; Ye, H.; Gerrin, S.; Ma, F.; Wu, Y.; Zhang, T.; Russo, J.; Cai, C.; Yuan, X.; et al. Positive Feedback Loop Mediated by Protein Phosphatase 1α Mobilization of P-TEFb and Basal CDK1 Drives Androgen Receptor in Prostate Cancer. Nucleic Acids Res. 2017, 45, 3738–3751. [Google Scholar] [CrossRef][Green Version]
- Yang, W.; Cho, H.; Shin, H.-Y.; Chung, J.-Y.; Kang, E.S.; Lee, E.-J.; Kim, J.-H. Accumulation of Cytoplasmic Cdk1 is Associated with Cancer Growth and Survival Rate in Epithelial Ovarian Cancer. Oncotarget 2016, 7, 49481–49497. [Google Scholar] [CrossRef]
- Kubo, H.; Suzuki, T.; Matsushima, T.; Ishihara, H.; Uchino, K.; Suzuki, S.; Tada, S.; Yoshimura, M.; Kondo, T. Cyclin-Dependent Kinase-Specific Activity Predicts the Prognosis of Stage I and Stage II Non-Small Cell Lung Cancer. BMC Cancer 2014, 14, 755. [Google Scholar] [CrossRef]
- Kuang, Y.; Guo, W.; Ling, J.; Xu, D.; Liao, Y.; Zhao, H.; Du, X.; Wang, H.; Xu, M.; Song, H.; et al. Iron-Dependent CDK1 Activity Promotes Lung Carcinogenesis Via Activation of the GP130/STAT3 Signaling Pathway. Cell Death Dis. 2019, 10, 297. [Google Scholar] [CrossRef]
- Shi, Y.-X.; Zhu, T.; Zou, T.; Zhuo, W.; Chen, Y.-X.; Huang, M.-S.; Zheng, W.; Wang, C.-J.; Li, X.; Mao, X.-Y.; et al. Prognostic and Predictive Values of CDK1 and MAD2L1 in Lung Adenocarcinoma. Oncotarget 2016, 7, 85235–85243. [Google Scholar] [CrossRef] [PubMed]
- Chen, X.; Liao, Y.; Long, D.; Yu, T.; Shen, F.; Lin, X. The Cdc2/Cdk1 Inhibitor, Purvalanol A, Enhances the Cytotoxic Effects of Taxol through Op18/Sathmin in Non-Small Cell Lung Cancer Cells in Vitro. Int. J. Mol. Med. 2017, 40, 235–242. [Google Scholar] [CrossRef] [PubMed]
- Danilov, A.V.; Hu, S.; Orr, B.; Godek, K.; Mustachio, L.M.; Sekula, D.; Liu, X.; Kawakami, M.; Johnson, F.M.; Compton, D.A.; et al. Dinaciclib Induces Anaphase Catastrophe in Lung Cancer Cells via Inhibition of Cyclin-Dependent Kinases 1 and 2. Mol. Cancer Ther. 2016, 15, 2758–2766. [Google Scholar] [CrossRef] [PubMed]
- Jacquot, C.; Rousseau, B.; Carbonnelle, D.; Chinou, I.; Malleter, M.; Tomasoni, C.; Roussakis, C. Cucurbitacin-D-induced CDK1 mRNA Up-Regulation Causes Proliferation Arrest of a Non-Small Cell Lung Carcinoma Cell Line (NSCLC-N6). Anticancer Res. 2014, 34, 4797–4806. [Google Scholar] [PubMed]
- Li, M.; He, F.; Zhang, Z.; Xiang, Z.; Hu, D. CDK1 Serves as a Potential Prognostic Biomarker and Target for Lung Cancer. J. Int. Med. Res. 2020, 48. [Google Scholar] [CrossRef] [PubMed]
- Ruiz, M.I.G.; Floor, K.; Roepman, P.; Rodriguez, J.A.; Meijer, G.A.; Mooi, W.J.; Jassem, E.; Niklinski, J.; Muley, T.; van Zandwijk, N.; et al. Integration of Gene Dosage and Gene Expression in Non-Small Cell Lung Cancer, Identification of HSP90 as Potential Target. PLoS ONE 2008, 3, e0001722. [Google Scholar] [CrossRef]
- Workman, P.; Burrows, F.; Neckers, L.; Rosen, N. Drugging the Cancer Chaperone HSP90: Combinatorial Therapeutic Exploitation of Oncogene Addiction and Tumor Stress. Ann. N. Y. Acad. Sci. 2007, 1113, 202–216. [Google Scholar] [CrossRef]
- Sequist, L.V.; Gettinger, S.; Senzer, N.N.; Martins, R.G.; Jänne, P.A.; Lilenbaum, R.; Gray, J.E.; Iafrate, A.J.; Katayama, R.; Hafeez, N.; et al. Activity of IPI-504, a Novel Heat-Shock Protein 90 Inhibitor, in Patients with Molecularly Defined Non-Small-Cell Lung Cancer. J. Clin. Oncol. 2010, 28, 4953–4960. [Google Scholar] [CrossRef]
- Burrows, F.; Zhang, H.; Kamal, A. Hsp90 Activation and Cell Cycle Regulation. Cell Cycle 2004, 3, 1530–1536. [Google Scholar] [CrossRef]
- Kolosenko, I.; Grander, D.; Tamm, K. IL-6 Activated JAK/STAT3 Pathway and Sensitivity to Hsp90 Inhibitors in Multiple Myeloma. Curr. Med. Chem. 2014, 21, 3042–3047. [Google Scholar] [CrossRef]
- Patel, K.; Wen, J.; Magliocca, K.; Muller, S.; Liu, Y.; Chen, Z.G.; Saba, N.; Diaz, R. Heat Shock Protein 90 (HSP90) is Overexpressed in p16-Negative Oropharyngeal Squamous Cell Carcinoma, and Its inhibition in Vitro Potentiates the Effects of Chemoradiation. Cancer Chemother. Pharmacol. 2014, 74, 1015–1022. [Google Scholar] [CrossRef] [PubMed]
- Shi, Y.; Liu, X.; Lou, J.; Han, X.; Zhang, L.; Wang, Q.; Li, B.; Dong, M.; Zhang, Y. Plasma Levels of Heat Shock Protein 90 Alpha Associated with Lung Cancer Development and Treatment Responses. Clin. Cancer Res. 2014, 20, 6016–6022. [Google Scholar] [CrossRef] [PubMed]
- Huang, T.; Chen, S.; Han, H.; Li, H.; Huang, Z.; Zhang, J.; Yin, Q.; Wang, X.; Ma, X.; Dai, P.; et al. Expression of Hsp90α and Cyclin B1 Were Related to Prognosis of Esophageal Squamous Cell Carcinoma and Keratin Pearl Formation. Int. J. Clin. Exp. Pathol. 2014, 7, 1544–1552. [Google Scholar] [PubMed]
- Tian, W.-L.; He, F.; Fu, X.; Lin, J.-T.; Tang, P.; Huang, Y.-M.; Guo, R.; Sun, L. High Expression of Heat Shock Protein 90 Alpha and its Significance in Human Acute Leukemia Cells. Gene 2014, 542, 122–128. [Google Scholar] [CrossRef]
- McCarthy, M.M.; Pick, E.; Kluger, Y.; Gould-Rothberg, B.; Lazova, R.; Camp, R.L.; Rimm, D.L.; Kluger, H.M. HSP90 as a Marker of Progression in Melanoma. Ann. Oncol. 2007, 19, 590–594. [Google Scholar] [CrossRef]
- Záčková, M.; Moučková, D.; Lopotová, T.; Ondračková, Z.; Klamová, H.; Moravcová, J. Hsp90-a Potential Prognostic Marker in CML. Blood Cells Mol. Dis. 2013, 50, 184–189. [Google Scholar] [CrossRef]
- Calderwood, S.K.; Neckers, L. Hsp90 in Cancer: Transcriptional Roles in the Nucleus. Adv. Cancer Res. 2016, 129, 89–106. [Google Scholar]
- Zhang, B.; Wang, J.; Huang, Z.; Wei, P.; Liu, Y.; Hao, J.; Zhao, L.; Zhang, F.; Tu, Y.; Wei, T. Aberrantly Upregulated TRAP1 is Required for Tumorigenesis of Breast Cancer. Oncotarget 2015, 6, 44495–44508. [Google Scholar] [CrossRef]
- Palmieri, C.; Mancini, M.; Benazzi, C.; Della Salda, L. Heat Shock Protein 90 is Associated with Hyperplasia and Neoplastic Transformation of Canine Prostatic Epithelial Cells. J. Comp. Pathol. 2014, 150, 393–398. [Google Scholar] [CrossRef]
- Badowska-Kozakiewicz, A.M.; Malicka, E. Immunohistochemical Evaluation of Expression of Heat Shock Proteins HSP70 and HSP90 in Mammary Gland Neoplasms in Bitches. Pol. J. Veter.-Sci. 2012, 15, 209–214. [Google Scholar] [CrossRef]
- Lee, J.H.; Kang, K.W.; Kim, J.-E.; Hwang, S.W.; Park, J.H.; Kim, S.-H.; Ji, J.H.; Kim, T.G.; Nam, H.-Y.; Roh, M.S.; et al. Differential Expression of Heat Shock Protein 90 Isoforms in Small Cell Lung Cancer. Int. J. Clin. Exp. Pathol. 2015, 8, 9487–9493. [Google Scholar] [PubMed]
- Wong, D.S.; Jay, D.G. Emerging Roles of Extracellular Hsp90 in Cancer. Adv. Cancer Res. 2016, 129, 141–163. [Google Scholar] [PubMed]
- Sims, J.D.; McCready, J.; Jay, D.G. Extracellular Heat Shock Protein (Hsp)70 and Hsp90α Assist in Matrix Metalloproteinase-2 Activation and Breast Cancer Cell Migration and Invasion. PLoS ONE 2011, 6, e18848. [Google Scholar] [CrossRef] [PubMed]
- Siegelin, M.D. Inhibition of the mitochondrial Hsp90 chaperone network: A Novel, Efficient Treatment Strategy for Cancer? Cancer Lett. 2013, 333, 133–146. [Google Scholar] [CrossRef] [PubMed]
- Singh, A.; Singh, A.; Sand, J.M.; Bauer, S.J.; Hafeez, B.B.; Meske, L.; Verma, A.K. Topically Applied Hsp90 Inhibitor 17AAG Inhibits UVR-Induced Cutaneous Squamous Cell Carcinomas. J. Investig. Dermatol. 2015, 135, 1098–1107. [Google Scholar] [CrossRef]
- Zou, Y.-F.; Xu, J.-H.; Gu, Y.-Y.; Pan, F.-M.; Tao, J.-H.; Wang, D.-G.; Xu, S.-Q.; Xiao, H.; Chen, P.-L.; Liu, S.; et al. Single Nucleotide Polymorphisms of HSP90AA1 Gene Influence Response of SLE Patients to Glucocorticoids Treatment. SpringerPlus 2016, 5, 222. [Google Scholar] [CrossRef]
- Cheng, Q.; Chang, J.T.; Geradts, J.; Neckers, L.M.; Haystead, T.; Spector, N.L.; Lyerly, H.K. Amplification and High-Level Expression of Heat Shock Protein 90 Marks Aggressive Phenotypes of Human Epidermal Growth Factor Receptor 2 Negative Breast Cancer. Breast Cancer Res. 2012, 14, R62. [Google Scholar] [CrossRef]
Publisher’s Note: MDPI stays neutral with regard to jurisdictional claims in published maps and institutional affiliations. |
© 2022 by the authors. Licensee MDPI, Basel, Switzerland. This article is an open access article distributed under the terms and conditions of the Creative Commons Attribution (CC BY) license (https://creativecommons.org/licenses/by/4.0/).









