Preoperative Tumor Texture Analysis on MRI for High-Risk Disease Prediction in Endometrial Cancer: A Hypothesis-Generating Study
Abstract
1. Introduction
2. Materials and Methods
2.1. Study Design and Population Selection
2.2. MR Imaging
2.3. Image Analysis
2.4. Statistical Analysis
- (1)
- Features reproducibility and univariate analysis. For the univariate analysis, the features space dimensionality was reduced by a Pearson correlation test by setting a correlation threshold of 0.90 in order to remove collinear features. In addition to features correlation analysis, features reproducibility analysis was carried out in order to identify features strongly dependent on slight variations in the contouring and thus less reproducible. This features reproducibility assessment was done via intraclass correlation coefficient (ICC) analysis. Based on the 95% confidence interval of the ICC estimate, values less than 0.5, between 0.5 and 0.75, between 0.75 and 0.9, and greater than 0.90 are indicative of poor, moderate, good, and excellent reliability, respectively. Features with poor reliability were excluded from the subsequent steps of the analysis. After having selected the contour-stable features and reduced the dimensionality of feature space, the remaining features were tested for association with the outcome using the Wilcoxon–Mann–Whitney test against the considered binary outcome (i.e., MI > 50%; LVSI positive; low risk class), setting the significance level to a p-value < 0.05. The number of significant test results was then compared to the expected number of type I errors to account for multiple testing [19].
- (2)
- Features outcome and predictive models. Logistic regression models were trained and tested to identify radiomics signatures able to predict each considered clinical outcome. The models were trained starting from features significant at the univariate analysis and further refined through cross-validation AIC-based stepwise selection and logistic least absolute shrinkage and selection operator (LASSO) selection, with respect to each considered clinical outcome variable. The area under the curve (AUC) of the receiver operator characteristic (ROC) was used to evaluate the predictive accuracy of the radiomics models developed. The sample performance metrics were estimated from cross-validation ROC AUC curves and classification matrix statistics on the testing set (sensitivity, specificity, positive predictive value, negative predictive value, accuracy) and assessed on the external dataset. For the LASSO radiomic signatures derived in the training cohort, optimal cutoffs were identified from the ROC curves using the Youden Index.
3. Results
4. Discussion
5. Conclusions
Author Contributions
Funding
Institutional Review Board Statement
Informed Consent Statement
Data Availability Statement
Conflicts of Interest
References
- Gillies, R.J.; Kinahan, P.E.; Hricak, H. Radiomics: Images Are More than Pictures. They Are Data. Radiology 2016, 278, 563–577. [Google Scholar] [CrossRef]
- Sung, H.; Ferlay, J.; Siegel, R.L.; Laversanne, M.; Soerjomataram, I.; Jemal, A.; Bray, F. Global Cancer Statistics 2020: GLOBOCAN Estimates of Incidence and Mortality Worldwide for 36 Cancers in 185 Countries. CA Cancer J. Clin. 2021, 71, 209–249. [Google Scholar] [CrossRef] [PubMed]
- Amant, F.; Mirza, M.R.; Koskas, M.; Creutzberg, C.L. Cancer of the corpus uteri. Int. J. Gynaecol. Obstet. 2018, 143 (Suppl. S2), 37–50. [Google Scholar] [CrossRef] [PubMed]
- Colombo, N.; Creutzberg, C.; Amant, F.; Bosse, T.; González-Martín, A.; Ledermann, J.; Marth, C.; Nout, R.; Querleu, D.; Mirza, M.R.; et al. ESMO-ESGO-ESTRO Consensus Conference on Endometrial Cancer: Diagnosis, Treatment and Follow-up. Int. J. Gynecol. Cancer 2016, 26, 2–30. [Google Scholar] [CrossRef]
- Concin, N.; Matias-Guiu, X.; Vergote, I.; Cibula, D.; Raza Mirza, M.; Marnitz, S.; Ledermann, J.; Bosse, T.; Chargari, C.; Fagotti, A.; et al. ESGO/ESTRO/ESP Guidelines for the Management of patients with Endometrial Carcinoma. Int. J. Gynecol. Cancer 2021, 31, 12–39. [Google Scholar] [CrossRef]
- Raffone, A.; Catena, U.; Travaglino, A.; Masciullo, V.; Spadola, S.; Corte, L.D.; Piermattei, A.; Insabato, L.; Zannoni, G.F.; Scambia, G. Mismatch repair-deficiency specifically predicts recurrence of atypical endometrial hyperplasia and early endometrial carcinoma after conservative treatment: A multi-center study. Gynecol. Oncol. 2021, 161, 795–801. [Google Scholar] [CrossRef] [PubMed]
- Di Spiezio Sardo, A.; De Angelis, M.C.; Della Corte, L.; Carugno, J.; Zizolfi, B.; Guadagno, E.; Gencarelli, A.; Cecchi, E.; Simoncini, T.; Bifulco, G.; et al. Should endometrial biopsy under direct hysteroscopic visualization using the grasp technique become the new gold standard for the preoperative evaluation of the patient with endometrial cancer? Gynecol. Oncol. 2020, 158, 347–353. [Google Scholar] [CrossRef]
- Luomaranta, A.; Leminen, A.; Loukovaara, M. Magnetic resonance imaging in the assessment of high-risk features of endometrial carcinoma: A meta-analysis. Int. J. Gynecol. Cancer 2015, 25, 837–842. [Google Scholar] [CrossRef]
- Shur, J.D.; Doran, S.J.; Kumar, S.; Ap Dafydd, D.; Downey, K.; O’Connor, J.P.B.; Papanikolaou, N.; Messiou, C.; Koh, D.-M.; Orton, M.R. Radiomics in Oncology: A Practical Guide. Radiographics 2001, 41, 1717–1732. [Google Scholar] [CrossRef]
- Ren, J.; Li, Y.; Yang, J.-J.; Zhao, J.; Xiang, Y.; Xia, C.; Cao, Y.; Chen, B.; Guan, H.; Qi, Y.-F.; et al. MRI-based radiomics analysis improves preoperative diagnostic performance for the depth of stromal invasion in patients with early stage cervical cancer. Insights Imaging 2022, 13, 17. [Google Scholar] [CrossRef]
- Zheng, R.-R.; Cai, M.-T.; Lan, L.; Huang, X.W.; Yang, Y.J.; Powell, M.; Lin, F. An MRI-based radiomics signature and clinical characteristics for survival prediction in early-stage cervical cancer. Br. J. Radiol. 2022, 95, 20210838. [Google Scholar] [CrossRef] [PubMed]
- Ueno, Y.; Forghani, B.; Forghani, R.; Dohan, A.; Zeng, X.Z.; Chamming’s, F.; Arseneau, J.; Fu, L.; Gilbert, L.; Gallix, B.; et al. Endometrial Carcinoma: MR Imaging-based Texture Model for Preoperative Risk Stratification-A Preliminary Analysis. Radiology 2017, 284, 748–757. [Google Scholar] [CrossRef] [PubMed]
- Yan, B.C.; Li, Y.; Ma, F.H.; Feng, F.; Sun, M.H.; Lin, G.W.; Zhang, G.F.; Qiang, J.W. Preoperative Assessment for High-Risk Endometrial Cancer by Developing an MRI- and Clinical-Based Radiomics Nomogram: A Multicenter Study. J. Magn. Reson. Imaging 2020, 52, 1872–1882. [Google Scholar] [CrossRef]
- Lecointre, L.; Dana, J.; Lodi, M.; Akladios, C.; Gallix, B. Artificial intelligence-based radiomics models in endometrial cancer: A systematic review. Eur. J. Surg. Oncol. 2021, 47, 2734–2741. [Google Scholar] [CrossRef] [PubMed]
- Dinapoli, N.; Alitto, A.R.; Vallati, M.; Gatta, R.; Autorino, R.; Boldrini, L.; Damiani, A.; Valentini, V. Moddicom: A complete and easily accessible library for prognostic evaluations relying on image features. Annu. Int. Conf. IEEE Eng. Med. Biol. Soc. 2015, 2015, 771–774. [Google Scholar] [PubMed]
- Zwanenburg, A.; Vallières, M.; Abdalah, M.A.; Aerts, H.J.W.L.; Andrearczyk, V.; Apte, A.; Ashrafinia, S.; Bakas, S.; Beukinga, R.J.; Boellaard, R.; et al. The Image Biomarker Standardization Initiative: Standardized Quantitative Radiomics for High-Throughput Image-based Phenotyping. Radiology 2020, 295, 328–338. [Google Scholar] [CrossRef]
- Peduzzi, P.; Concato, J.; Kemper, E.; Holford, T.R.; Feinstein, A.R. A simulation study of the number of events per variable in logistic regression analysis. J. Clin. Epidemiol. 1996, 49, 1373–1379. [Google Scholar] [CrossRef]
- Moons, K.G.M.; Altman, D.G.; Reitsma, J.B.; Ioannidis, J.P.A.; Macaskill, P.; Steyerberg, E.W.; Vickers, A.J.; Ransohoff, D.F.; Collins, G.S. Transparent Reporting of a multivariable prediction model for Individual Prognosis or Diagnosis (TRIPOD): Explanation and elaboration. Ann. Intern. Med. 2015, 162, W1–W73. [Google Scholar] [CrossRef]
- Chen, T.G. XGBoost: A scalable tree boosting system. In Proceedings of the ACM SIGKDD International Conference on Knowledge Discovery and Data Mining, San Francisco, CA, USA, 13 August 2016. [Google Scholar]
- Alcazar, J.L.; Gaston, B.; Navarro, B.; Salas, R.; Aranda, J.; Guerriero, S. Transvaginal ultrasound versus magnetic resonance imaging for preoperative assessment of myometrial infiltration in patients with endometrial cancer: A systematic review and meta-analysis. J. Gynecol. Oncol. 2017, 28, e86. [Google Scholar] [CrossRef]
- Haldorsen, I.S.; Husby, J.A.; Werner, H.M.J.; Magnussen, I.J.; Rørvik, J.; Helland, H.; Trovik, J.; Salvesen, Ø.O.; Espeland, A.; Salvesen, H.B. Standard 1.5-T MRI of endometrial carcinomas: Modest agreement between radiologists. Eur. Radiol. 2012, 22, 1601–1611. [Google Scholar] [CrossRef]
- Rodríguez-Ortega, A.; Alegre, A.; Lago, V.; Carot-Sierra, J.M.; Ten-Esteve, A.; Montoliu, G.; Domingo, S.; Alberich-Bayarri, Á.; Martí-Bonmatí, L. Machine Learning-Based Integration of Prognostic Magnetic Resonance Imaging Biomarkers for Myometrial Invasion Stratification in Endometrial Cancer. J. Magn. Reson. Imaging 2021, 54, 987–995. [Google Scholar] [CrossRef] [PubMed]
- Ytre-Hauge, S.; Dybvik, J.A.; Lundervold, A.; Salvesen, Ø.O.; Krakstad, C.; Fasmer, K.E.; Werner, H.M.; Ganeshan, B.; Høivik, E.; Bjørge, L.; et al. Preoperative tumor texture analysis on MRI predicts high-risk disease and reduced survival in endometrial cancer. J. Magn. Reson. Imaging 2018, 48, 1637–1647. [Google Scholar] [CrossRef] [PubMed]
- Han, Y.; Xu, H.; Ming, Y.; Liu, Q.; Huang, C.; Xu, J.; Zhang, J.; Li, Y. Predicting myometrial invasion in endometrial cancer based on whole-uterine magnetic resonance radiomics. J. Cancer Res. Ther. 2020, 16, 1648–1655. [Google Scholar] [PubMed]
- Fasmer, K.E.; Hodneland, E.; Dybvik, J.A.; Wagner-Larsen, K.; Trovik, J.; Salvesen, Ø.; Krakstad, C.; Haldorsen, I.H. Whole-Volume Tumor MRI Radiomics for Prognostic Modeling in Endometrial Cancer. J. Magn. Reson. Imaging 2021, 53, 928–937. [Google Scholar] [CrossRef]
- Stanzione, A.; Cuocolo, R.; Del Grosso, R.; Nardiello, A.; Romeo, V.; Travaglino, A.; Raffone, A.; Bifulco, G.; Zullo, F.; Insabato, L.; et al. Deep Myometrial Infiltration of Endometrial Cancer on MRI: A Radiomics-Powered Machine Learning Pilot Study. Acad. Radiol. 2021, 28, 737–744. [Google Scholar] [CrossRef]
- Manganaro, L.; Nicolino, G.M.; Dolciami, M.; Martorana, F.; Stathis, A.; Colombo, I.; Rizzo, S. Radiomics in cervical and endometrial cancer. Br. J. Radiol. 2021, 94, 20201314. [Google Scholar] [CrossRef]
- Xu, X.; Li, H.; Wang, S.; Fang, M.; Zhong, L.; Fan, W.; Dong, D.; Tian, J.; Zhao, X. Multiplanar MRI-Based Predictive Model for Preoperative Assessment of Lymph Node Metastasis in Endometrial Cancer. Front. Oncol. 2019, 9, 1007. [Google Scholar] [CrossRef]
- Bereby-Kahane, M.; Dautry, R.; Matzner-Lober, E.; Cornelis, F.; Sebbag-Sfez, D.; Place, V.; Mezzadri, M.; Soyer, P.; Dohan, A. Prediction of tumor grade and lymphovascular space invasion in endometrial adenocarcinoma with MR imaging-based radiomic analysis. Diagn. Interv. Imaging 2020, 101, 401–411. [Google Scholar] [CrossRef]
- Yan, B.C.; Li, Y.; Ma, F.H.; Zhang, G.F.; Feng, F.; Sun, M.H.; Lin, G.W.; Qiang, J.W. Radiologists with MRI-based radiomics aids to predict the pelvic lymph node metastasis in endometrial cancer: A multicenter study. Eur. Radiol. 2021, 31, 411–422. [Google Scholar] [CrossRef]
- Lefebvre, T.L.; Ueno, Y.; Dohan, A.; Chatterjee, A.; Vallières, M.; Winter-Reinhold, E.; Saif, S.; Levesque, I.R.; Zeng, X.Z.; Forghani, R.; et al. Development and Validation of Multiparametric MRI–based Radiomics Models for Preoperative Risk Stratification of Endometrial Cancer. Radiology 2022, 305, 375–386. [Google Scholar] [CrossRef]
- Mainenti, P.P.; Stanzione, A.; Cuocolo, R.; Del Grosso, R.; Danzi, R.; Romeo, V.; Raffone, A.; Sardo, A.D.; Giordano, E.; Travaglino, A.; et al. MRI radiomics: A machine learning approach for the risk stratification of endometrial cancer patients. Eur. J. Radiol. 2022, 149, 110226. [Google Scholar] [CrossRef] [PubMed]
- Liu, D.; Yang, L.; Du, D.; Zheng, T.; Liu, L.; Wang, Z.; Du, J.; Dong, Y.; Yi, H.; Cui, Y. Multi-Parameter MR Radiomics Based Model to Predict 5-Year Progression-Free Survival in Endometrial Cancer. Front. Oncol. 2022, 12, 813069. [Google Scholar] [CrossRef] [PubMed]
- Hodneland, E.; Dybvik, J.A.; Wagner-Larsen, K.S.; Šoltészová, V.; Munthe-Kaas, A.Z.; Fasmer, K.E.; Krakstad, C.; Lundervold, A.; Lundervold, A.S.; Salvesen, Ø.; et al. Automated segmentation of endometrial cancer on MR images using deep learning. Sci. Rep. 2021, 11, 179. [Google Scholar] [CrossRef] [PubMed]
- Kurata, Y.; Nishio, M.; Moribata, Y.; Kido, A.; Himoto, Y.; Otani, S.; Fujimoto, K.; Yakami, M.; Minamiguchi, S.; Mandai, M.; et al. Automatic segmentation of uterine endometrial cancer on multi-sequence MRI using a convolutional neural network. Sci. Rep. 2021, 11, 14440. [Google Scholar] [CrossRef]
- Chen, J.; Gu, H.; Fan, W.; Wang, Y.; Chen, S.; Chen, X.; Wang, Z. MRI-Based Radiomic Model for Preoperative Risk stratification in Stage I Endometrial Cancer. J. Cancer 2021, 12, 726–734. [Google Scholar] [CrossRef] [PubMed]
- Cancer Genome Atlas Research Network; Kandoth, C.; Schultz, N.; Cherniack, A.D.; Akbani, R.; Liu, Y.; Shen, H.; Robertson, A.G.; Pashtan, I.; Shen, R.; et al. Integrated genomic characterization of endometrial carcinoma. Nature 2013, 497, 67–73. [Google Scholar] [PubMed]





| Parameter | Sequence | Acquisition Plane | Repetition Time/Echo Time (ms) | Matrix | Field of View (cm) | Sections: Number, Thickness (mm), Spacing (mm) | b Value (s/mm2) |
|---|---|---|---|---|---|---|---|
| T1-weighted | Spin-echo | Axial | 470/3 | 448 × 288 | 24 | 30; 4; 0.5 | |
| T2-weighted | Fast Recovery Fast spin echo | Axial, sagittal, oblique axial * | 4000–4500/85 | 384 × 256 | 24 | 30; 4; 0.5 | |
| Diffusion Weighted Imaging | Echo-planar imaging | Sagittal, oblique axial * | 5000/69 | 128 × 128 | 28 | 30; 4; 0.5 | 0, 800 |
| DCE T1-weighted imaging † | Three-dimensional gradient recalled echo | Sagittal, oblique axial * | 7/2 | 320 × 224 | 28 | 128; 3; |
| Training Set | Validation Set | ||
|---|---|---|---|
| n. patients | 98 | n. patients | 26 |
| Age—years (mean) | 62 | Age—years (mean) | 58 |
| Median tumor diameter (mm) (range) | 36 (3–95 mm) | Median tumor diameter (mm) (range) | 28 (15–60 mm) |
| Grading: | Grading: | ||
| G1 | 9 | G1 | 11 |
| G2 | 50 | G2 | 10 |
| G3 | 38 | G3 | 5 |
| Not available (NA) | 1 | Not available (NA) | 0 |
| Histology: | Histology: | ||
| Endometrioid | 79 | Endometrioid | 25 |
| Non-endometrioid (serous/clear cell) | 19 | Non-endometrioid (serous/clear cell) | 1 |
| Myometrial invasion: | Myometrial invasion: | ||
| <50% | 48 | <50% | 16 |
| ≥50% | 50 | ≥50% | 10 |
| Tumor diameter: | Tumor diameter: | ||
| <2 cm | 86 | <2 cm | 6 |
| 2 cm | 11 | 2 cm | 17 |
| NA | 1 | NA | 4 |
| LVSI: | LVSI: | ||
| No | 44 | No | 14 |
| Yes | 43 | Yes | 6 |
| NA | 11 | NA | 6 |
| Cervical stromal invasion: | Cervical stromal invasion: | ||
| No | 71 | No | 20 |
| Yes | 27 | Yes | 6 |
| Nodal metastases: | Nodal metastases: | ||
| No | 52 | No | 22 |
| Yes | 22 | Yes | 4 |
| NA | 24 | ||
| Adnexal involvement: | Adnexal involvement: | ||
| No | 88 | No | 22 |
| Yes | 10 | Yes | 4 |
| Vaginal/parametrial involvement: | Vaginal/parametrial involvement: | ||
| No | 94 | No | 24 |
| Yes | 4 | Yes | 2 |
| FIGO staging: | FIGO staging: | ||
| IA | 40 | IA | 13 |
| IB | 20 | IB | 3 |
| II | 8 | II | 2 |
| IIIA | 4 | IIIA | 1 |
| IIIB | 4 | IIIB | 1 |
| IIIC | 20 | IIIC | 5 |
| IVA | 0 | IVA | 0 |
| IVB | 2 | IVB | 1 |
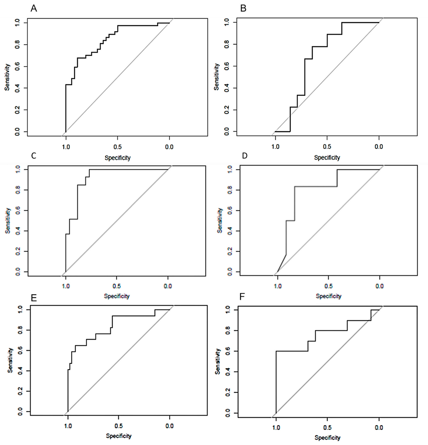
| Radiomics Models | Training Set | Validation Set | ||||||||||
|---|---|---|---|---|---|---|---|---|---|---|---|---|
| Sensitivity (%) | Specificity (%) | PPV (%) | NPV (%) | Accuracy (95% CI) | AUC | Sensitivity (%) | Specificity (%) | PPV (%) | NPV (%) | Accuracy (95% CI) | AUC | |
| DMI prediction | 0.67 | 0.89 | 0.86 | 0.72 | 0.78 (0.67–0.86) | 0.85 | 0.66 | 0.71 | 0.60 | 0.76 | 0.69 (0.47–0.86) | 0.68 |
| LVSI prediction | 1.00 | 0.77 | 0.81 | 1.00 | 0.89 (0.77–0.95) | 0.92 | 0.83 | 0.83 | 0.71 | 0.90 | 0.83 (0.58–0.96) | 0.81 |
| Low-risk discrimination | 0.64 | 0.93 | 0.73 | 0.89 | 0.86 (0.76–0.93 | 0.84 | 0.60 | 1.00 | 1.00 | 0.76 | 0.82 (0.61–0.95) | 0.76 |
| Authors | Year | Study Design | Number of Patients | Imaging Technique | Software | Main Conclusions |
|---|---|---|---|---|---|---|
| Ueno et al. [12] | 2017 | Retrospective | 137 | T2-WI, diffusion-weighted imaging (DWI), Apparent diffusion coefficient (ADC) and T1-W post contrast images | TexRAD | Texture features (TF) associated with DMI, LVSI, and high-grade tumor |
| Stanzione et al. [26] | 2020 | Retrospective | 54 | T2-WI | PyRadiomics | Radiomics model increased radiologist performance for DMI detection |
| Y. Han et al. [24] | 2020 | 163 | T2-WI and DWI | PyRadiomics | Whole-uterine MRI radiomic features show potential in predicting DMI | |
| Ytre-Huage et al. [23] | 2018 | Prospective | 180 | ADC | TexRAD | TF independently predicted DMI, high-risk histological subtype and reduced survival |
| Fasmer et al. [25] | 2021 | Retrospective | 138 | T1-W post-contrast images | Python | Medium-to-high AUCs for prediction of DMI, lymphnode (LN) metastasis, FIGO stage, and poor outcome |
| Xu et al. [28] | 2019 | Retrospective | 200 | T2-WI and T1-W post-contrast images | Python | Model based on radiomic and clinical features showed good discrimination of positive LN, especially for normal-sized LN |
| Bereby-Kahane et al. [29] | 2020 | Retrospective | 73 | T2-WI and ADC | TexRAD | TF is of limited value to predict high grade and LVSI |
| Yan et al. [30] | 2021 | Retrospective | 622 | T2-WI, DWI, ADC, and T1-W post contrast images | Pyradiomics | Higher diagnostic performance for radiomics model than for radiologists alone to assess pelvic LN status |
| Yan et al. [13] | 2020 | Retrospective | 717 | T2-WI, DWI, ADC, and T1-W post contrast images | Pyradiomics | Radiomics nomogram shows good performance in risk prediction |
| T. L. Lefebvre et al. [31] | 2022 | Retrospective | 157 | T2-WI, DWI, and T1-W post contrast images | Pyradiomics | Three-dimensional radiomics stratify patients according to FIGO stage, high grade, DMI, LVSI |
| P.P. Mainenti et al. [32] | 2022 | Retrospective | 133 | T2-WI | PyRadiomics | Whole-lesion radiomics showed encouraging results for the identification of low-risk patients |
| D. Liu et al. [33] | 2022 | Retrospective | 202 | T2WI, ADC and T1-W post contrast images | PyRadiomics | Model incorporating clinical and radiomic findings predict 5-year survival |
Publisher’s Note: MDPI stays neutral with regard to jurisdictional claims in published maps and institutional affiliations. |
© 2022 by the authors. Licensee MDPI, Basel, Switzerland. This article is an open access article distributed under the terms and conditions of the Creative Commons Attribution (CC BY) license (https://creativecommons.org/licenses/by/4.0/).
Share and Cite
Miccò, M.; Gui, B.; Russo, L.; Boldrini, L.; Lenkowicz, J.; Cicogna, S.; Cosentino, F.; Restaino, G.; Avesani, G.; Panico, C.; et al. Preoperative Tumor Texture Analysis on MRI for High-Risk Disease Prediction in Endometrial Cancer: A Hypothesis-Generating Study. J. Pers. Med. 2022, 12, 1854. https://doi.org/10.3390/jpm12111854
Miccò M, Gui B, Russo L, Boldrini L, Lenkowicz J, Cicogna S, Cosentino F, Restaino G, Avesani G, Panico C, et al. Preoperative Tumor Texture Analysis on MRI for High-Risk Disease Prediction in Endometrial Cancer: A Hypothesis-Generating Study. Journal of Personalized Medicine. 2022; 12(11):1854. https://doi.org/10.3390/jpm12111854
Chicago/Turabian StyleMiccò, Maura, Benedetta Gui, Luca Russo, Luca Boldrini, Jacopo Lenkowicz, Stefania Cicogna, Francesco Cosentino, Gennaro Restaino, Giacomo Avesani, Camilla Panico, and et al. 2022. "Preoperative Tumor Texture Analysis on MRI for High-Risk Disease Prediction in Endometrial Cancer: A Hypothesis-Generating Study" Journal of Personalized Medicine 12, no. 11: 1854. https://doi.org/10.3390/jpm12111854
APA StyleMiccò, M., Gui, B., Russo, L., Boldrini, L., Lenkowicz, J., Cicogna, S., Cosentino, F., Restaino, G., Avesani, G., Panico, C., Moro, F., Ciccarone, F., Macchia, G., Valentini, V., Scambia, G., Manfredi, R., & Fanfani, F. (2022). Preoperative Tumor Texture Analysis on MRI for High-Risk Disease Prediction in Endometrial Cancer: A Hypothesis-Generating Study. Journal of Personalized Medicine, 12(11), 1854. https://doi.org/10.3390/jpm12111854

