Impact of Information Loss on Reconstruction Quality in Microwave Tomography for Medical Imaging
Abstract
:1. Introduction
2. Materials and Methods
2.1. Overview of Our MWT System
2.1.1. Experimental System
2.1.2. The DBIM-TwiST Algorithm
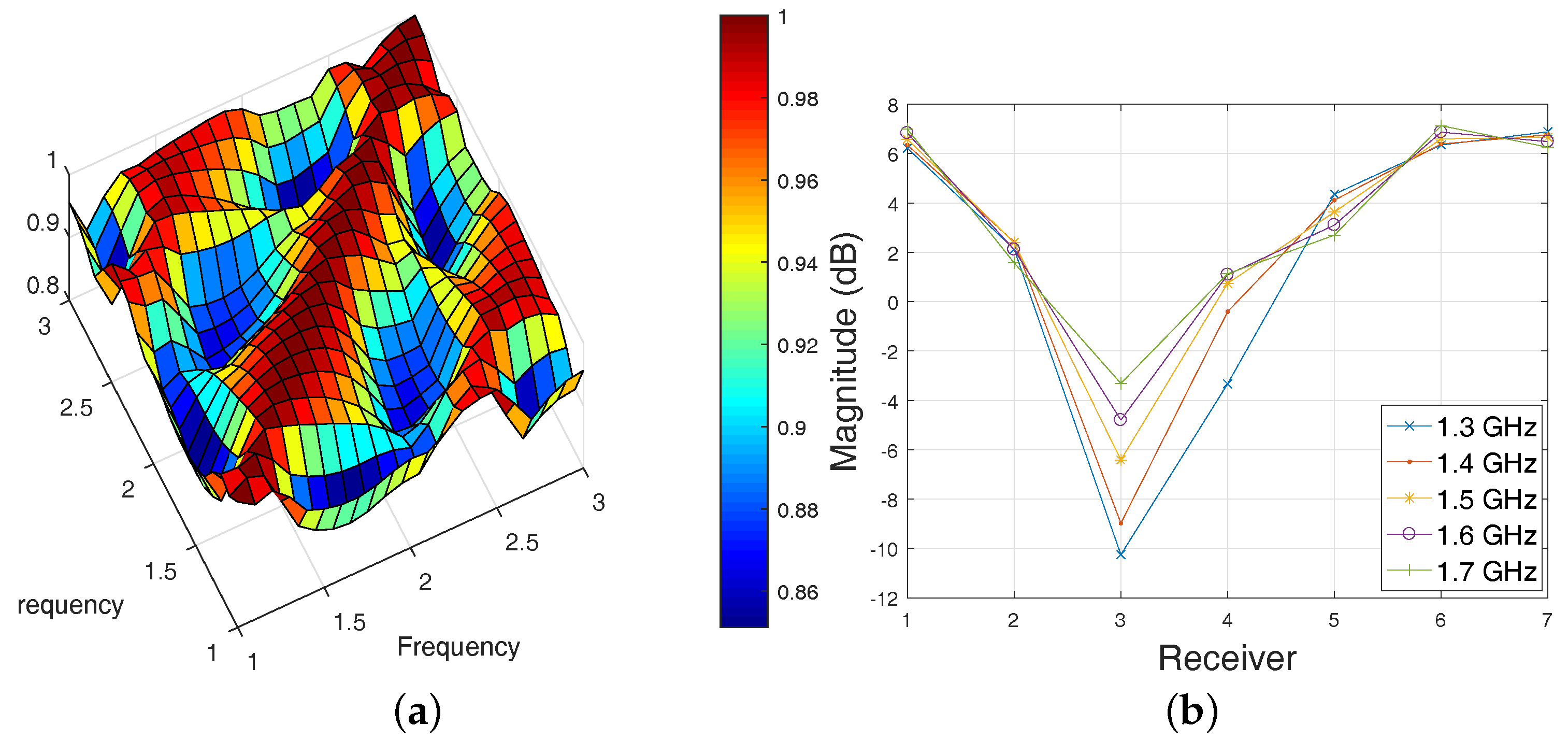
2.2. Information Loss in MWT Reconstructions
2.2.1. Simulation Models
2.2.2. Calibration
2.2.3. Representative Reconstruction Results
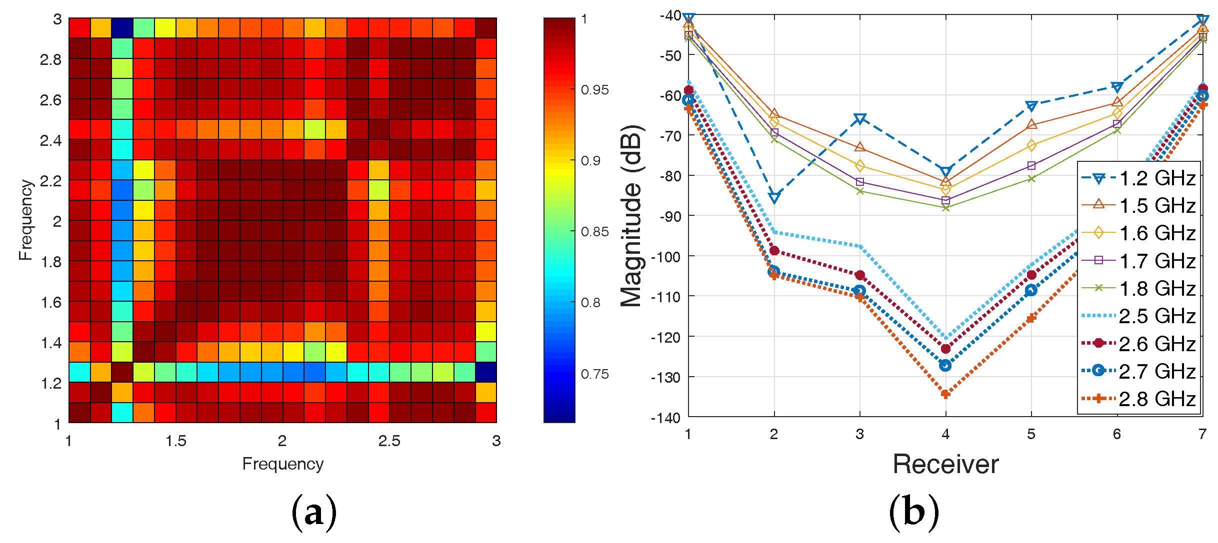
2.3. Improving Reconstructions by Frequency Selection
3. Results
3.1. Application to Simulated Data
3.2. Application to Experimental Data from a Two-Layer Cylindrical Phantom
4. Discussion
Author Contributions
Funding
Acknowledgments
Conflicts of Interest
References
- Semenov, S. Microwave tomography: Review of the progress towards clinical applications. Philos. Trans. A Math. Phys. Eng. Sci. 2009, 367, 3021–3042. [Google Scholar] [CrossRef] [PubMed]
- Gilmore, C.; Abubakar, A.; Hu, W. Microwave biomedical data inversion using the finite-difference contrast source inversion method. IEEE Trans. Antennas Propag. 2009, 57, 1528–1538. [Google Scholar] [CrossRef]
- Scapaticci, R.; Catapano, I.; Crocco, L. Wavelet-based adaptive multiresolution inversion for quantitative microwave imaging of breast tissues. IEEE Trans. Antennas Propag. 2012, 60, 3717–3726. [Google Scholar] [CrossRef]
- Meaney, P.M.; Fanning, M.W.; Raynolds, T.; Fox, C.J.; Fang, Q.; Kogel, C.A.; Poplack, S.P.; Paulsen, K.D. Initial clinical experience with microwave breast imaging in women with normal mammography. Acad. Radiol. 2007, 14, 207–218. [Google Scholar] [CrossRef] [PubMed]
- Shea, J.D.; Kosmas, P.; Hagness, S.C.; Van Veen, B.D. Three-dimensional microwave imaging of realistic numerical breast phantoms via a multiple-frequency inverse scattering technique. Med. Phys. 2010, 37, 4210–4226. [Google Scholar] [CrossRef] [PubMed]
- Kosmas, P.; Shea, J.D.; Van Veen, B.D.; Hagness, S.C. Three-dimensional microwave imaging of realistic breast phantoms via an inexact Gauss-Newton algorithm. In Proceedings of the 2008 IEEE Antennas and Propagation Society International Symposium, San Diego, CA, USA, 5–11 July 2008; pp. 1–4. [Google Scholar]
- Meaney, P.M.; Fanning, M.W.; Li, D.; Poplack, S.P.; Paulsen, K.D. A clinical prototype for active microwave imaging of the breast. IEEE Trans. Microw. Theory Tech. 2000, 48, 1841–1853. [Google Scholar]
- Semenov, S.Y.; Svenson, R.H.; Boulyshev, A.E.; Souvorov, A.E.; Borisov, V.Y.; Sizov, Y.; Starostin, A.N.; Dezern, K.R.; Tatsis, G.P.; Baranov, V.Y. Microwave tomography: Two-dimensional system for biological imaging. IEEE Trans. Biomed. Eng. 1996, 43, 869–877. [Google Scholar] [CrossRef] [PubMed]
- Gilmore, C.; Mojabi, P.; Zakaria, A.; Ostadrahimi, M.; Kaye, C.; Noghanian, S.; Shafai, L.; Pistorius, S.; LoVetri, J. A wideband microwave tomography system with a novel frequency selection procedure. IEEE Trans. Biomed. Eng. 2010, 57, 894–904. [Google Scholar] [CrossRef] [PubMed]
- Yu, C.; Yuan, M.; Stang, J.; Bresslour, E.; George, R.T.; Ybarra, G.A.; Joines, W.T.; Liu, Q.H. Active microwave imaging II: 3-D system prototype and image reconstruction from experimental data. IEEE Trans. Microw. Theory Tech. 2008, 56, 991–1000. [Google Scholar]
- Zeng, X.; Fhager, A.; He, Z.; Persson, M.; Linner, P.; Zirath, H. Development of a time domain microwave system for medical diagnostics. IEEE Trans. Instrum. Meas. 2014, 63, 2931–2939. [Google Scholar] [CrossRef]
- Miao, Z.; Kosmas, P. Microwave breast imaging based on an optimized two-step iterative shrinkage/thresholding method. In Proceedings of the 2015 9th European Conference of Antennas and Propag (EuCAP), Lisbon, Portugal, 13–17 April 2015; pp. 1–4. [Google Scholar]
- Miao, Z.; Kosmas, P. Multiple-frequency DBIM-TwIST algorithm for microwave breast imaging. IEEE Trans. Antennas Propag. 2017, 65, 2507–2516. [Google Scholar] [CrossRef]
- Bioucas-Dias, J.; Figueiredo, M. A new TwIST: Two-Step iterative shrinkage/thresholding algorithms for image restoration. IEEE Trans. Image Process. 2007, 16, 2992–3004. [Google Scholar] [CrossRef] [PubMed]
- Azghani, M.; Kosmas, P.; Marvasti, M. Microwave medical imaging based on sparsity and an iterative method with adaptive thresholding. IEEE Trans. Med. Imag. 2015, 34, 357–365. [Google Scholar] [CrossRef] [PubMed]
- Ahsan, S.; Guo, Z.; Miao, Z.; Sotiriou, I.; Koutsoupidou, M.; Kallos, T.G.P.; Kosmas, P. Design and experimental validation of a wideband microwave tomography system employing the DBIM-TwIST algorithm. Sensors. under preparation.
- Chew, W.; Lin, J. A frequency-hopping approach for microwave imaging of large inhomogeneous bodies. Microwave Guided Wave Lett. 1995, 5, 439–441. [Google Scholar] [CrossRef]
- Stefania, R.; Loreto, D.D.; Mario, B.O.; Ilaria, C.; Lorenzo, C.; Rosaria, S.M.; Rita, M. Dielectric characterization study of liquid-based materials for mimicking breast tissues. Microwave Opt. Technol. Lett. 2011, 53, 1276–1280. [Google Scholar]
- Bindu, G.; Lonappan, A.; Thomas, V.; Aanandan, C.K.; Mathew, K.T. Dielectric studies of corn syrup for applications in microwave breast imaging. Prog. Electromagn. Res. 2006, 59, 175–186. [Google Scholar] [CrossRef]
- Meaney, P.M.; Paulsen, K.D.; Pogue, B.W.; Miga, M.I. Microwave image reconstruction utilizing log-magnitude and unwrapped phase to improve high-contrast object recovery. IEEE Trans. Med. Imaging 2001, 20, 104–116. [Google Scholar] [CrossRef] [PubMed]
- Masson, L.; McNeill, G.; Tomany, J.; Simpson, J.; Peace, H.; Wei, L.; Grubb, D.; Bolton-Smith, C. Statistical approaches for assessing the relative validity of a food-frequency questionnaire: Use of correlation coefficients and the kappa statistic. Public Health Nutr. 2003, 6, 313–321. [Google Scholar] [CrossRef] [PubMed]
- Jolliffe, I.T. Discarding variables in a principal component analysis. I: Artificial data. J. R. Stat. Soc. Ser. C Appl. Stat. 1972, 21, 160–173. [Google Scholar] [CrossRef]









| Medium | ||||
|---|---|---|---|---|
| Triton | 3.512 | 2.582 | 0.0655 | 5.3505 × 10−11 |
| 80% Glycerine | 4.75 | 30 | 0.3779 | 1.2346 × 10−10 |
| 92% Corn syrup | 4.124 | 12.01 | 0.3405 | 1.6667 × 10−10 |
| Cylinder | 3.5 | 0 | 0.055 | 0 |
| Pure Water | 78 | 0 | 1.59 | 0 |
© 2018 by the authors. Licensee MDPI, Basel, Switzerland. This article is an open access article distributed under the terms and conditions of the Creative Commons Attribution (CC BY) license (http://creativecommons.org/licenses/by/4.0/).
Share and Cite
Miao, Z.; Kosmas, P.; Ahsan, S. Impact of Information Loss on Reconstruction Quality in Microwave Tomography for Medical Imaging. Diagnostics 2018, 8, 52. https://doi.org/10.3390/diagnostics8030052
Miao Z, Kosmas P, Ahsan S. Impact of Information Loss on Reconstruction Quality in Microwave Tomography for Medical Imaging. Diagnostics. 2018; 8(3):52. https://doi.org/10.3390/diagnostics8030052
Chicago/Turabian StyleMiao, Zhenzhuang, Panagiotis Kosmas, and Syed Ahsan. 2018. "Impact of Information Loss on Reconstruction Quality in Microwave Tomography for Medical Imaging" Diagnostics 8, no. 3: 52. https://doi.org/10.3390/diagnostics8030052
APA StyleMiao, Z., Kosmas, P., & Ahsan, S. (2018). Impact of Information Loss on Reconstruction Quality in Microwave Tomography for Medical Imaging. Diagnostics, 8(3), 52. https://doi.org/10.3390/diagnostics8030052

