Establishment and Temporal Validation of Next-Generation Reference Intervals for Routine Hematological Parameters Using Large-Scale Data
Abstract
1. Introduction
2. Materials and Methods
2.1. Study Design and Data Sources
2.2. Data Cleaning
2.2.1. Record Linkage
2.2.2. De-Duplication Strategy
2.2.3. Variables and Units
2.3. Analytical Platform
2.4. Quality Control
2.5. Statistical Analysis and Modeling
3. Results
3.1. Baseline Characteristics of the Training and Validation Datasets
3.2. Establishment of Next-Generation Reference Interval Models for Hematological Parameters
3.3. Validation of Next-Generation Reference Intervals
4. Discussion
5. Conclusions
Supplementary Materials
Author Contributions
Funding
Institutional Review Board Statement
Informed Consent Statement
Data Availability Statement
Acknowledgments
Conflicts of Interest
Abbreviations
| RIs | Reference Intervals |
| NGRIs | Next-Generation Reference Intervals |
| GAMLSS | Generalized Additive Models for Location, Scale and Shape |
| BCCG | Box–Cox Cole and Green Distribution |
| RBC | Red Blood Cell Count |
| WBC | White Blood Cell Count |
| HGB | Hemoglobin |
| HCT | Hematocrit |
| MCV | Mean Corpuscular Volume |
| MCH | Mean Corpuscular Hemoglobin |
| MCHC | Mean Corpuscular Hemoglobin Concentration |
| PLT | Platelet Count |
| BMI | Body Mass Index |
| SBP | Systolic Blood Pressure |
| DBP | Diastolic Blood Pressure |
| IQR | Interquartile Range |
References
- Jones, G.R.D.; Haeckel, R.; Loh, T.P.; Sikaris, K.; Streichert, T.; Katayev, A.; Barth, J.H.; Ozarda, Y. Indirect methods for reference interval determination—Review and recommendations. Clin. Chem. Lab. Med. 2018, 57, 20–29. [Google Scholar] [CrossRef] [PubMed]
- Ozarda, Y.; Sikaris, K.; Streichert, T.; Macri, J. Distinguishing reference intervals and clinical decision limits—A review by the IFCC Committee on Reference Intervals and Decision Limits. Crit. Rev. Clin. Lab. Sci. 2018, 55, 420–431. [Google Scholar] [CrossRef] [PubMed]
- Ma, C.; Wang, X.; Wu, J.; Cheng, X.; Xia, L.; Xue, F.; Qiu, L. Real-world big-data studies in laboratory medicine: Current status, application, and future considerations. Clin. Biochem. 2020, 84, 21–30. [Google Scholar] [CrossRef]
- Ma, C.; Yu, Z.; Qiu, L. Development of next-generation reference interval models to establish reference intervals based on medical data: Current status, algorithms and future consideration. Crit. Rev. Clin. Lab. Sci. 2024, 61, 298–316. [Google Scholar] [CrossRef] [PubMed]
- Guan, L.; Ma, C.; Lin, L.; Qiu, L. Establishment of discrete reference interval and next-generation reference interval for copper and zinc during pregnancy using real-world data. Heliyon 2024, 10, e33856. [Google Scholar] [CrossRef]
- Ma, C.; Li, L.; Wang, X.; Hou, L.; Xia, L.; Yin, Y.; Cheng, X.; Qiu, L. Establishment of Reference Interval and Aging Model of Homocysteine Using Real-World Data. Front. Cardiovasc. Med. 2022, 9, 846685. [Google Scholar] [CrossRef]
- Wilson, S.M.; Bohn, M.K.; Madsen, A.; Hundhausen, T.; Adeli, K. LMS-based continuous reference percentiles for 14 laboratory parameters in the CALIPER cohort of healthy children and adolescents. Clin. Chem. Lab. Med. 2023, 61, 1105–1115. [Google Scholar] [CrossRef]
- Asgari, S.; Higgins, V.; McCudden, C.; Adeli, K. Continuous reference intervals for 38 biochemical markers in healthy children and adolescents: Comparisons to traditionally partitioned reference intervals. Clin. Biochem. 2019, 73, 82–89. [Google Scholar] [CrossRef]
- Zierk, J.; Arzideh, F.; Haeckel, R.; Rascher, W.; Rauh, M.; Metzler, M. Indirect determination of pediatric blood count reference intervals. Clin. Chem. Lab. Med. 2013, 51, 863–872. [Google Scholar] [CrossRef]
- Zierk, J.; Arzideh, F.; Rechenauer, T.; Haeckel, R.; Rascher, W.; Metzler, M.; Rauh, M. Age- and sex-specific dynamics in 22 hematologic and biochemical analytes from birth to adolescence. Clin. Chem. 2015, 61, 964–973. [Google Scholar] [CrossRef]
- Weidhofer, C.; Meyer, E.; Ristl, R.; Wiedemann, H.; Cadamuro, J.; Kipman, U.; Zierk, J.; Male, C.; Quehenberger, P.; Haschke-Becher, E.; et al. Dynamic reference intervals for coagulation parameters from infancy to adolescence. Clin. Chim. Acta 2018, 482, 124–135. [Google Scholar] [CrossRef] [PubMed]
- Zierk, J.; Arzideh, F.; Haeckel, R.; Cario, H.; Frühwald, M.C.; Groß, H.J.; Gscheidmeier, T.; Hoffmann, R.; Krebs, A.; Lichtinghagen, R.; et al. Pediatric reference intervals for alkaline phosphatase. Clin. Chem. Lab. Med. 2017, 55, 102–110. [Google Scholar] [CrossRef] [PubMed]
- Wosniok, W.; Haeckel, R. A new indirect estimation of reference intervals: Truncated minimum chi-square (TMC) approach. Clin. Chem. Lab. Med. 2019, 57, 1933–1947. [Google Scholar] [CrossRef] [PubMed]
- Haeckel, R.; Wosniok, W.; Torge, A.; Junker, R. Age- and sex-dependent reference intervals for uric acid estimated by the truncated minimum chi-square (TMC) approach, a new indirect method. J. Lab. Med. 2020, 44, 157–163. [Google Scholar] [CrossRef]
- Ammer, T.; Schützenmeister, A.; Prokosch, H.U.; Rauh, M.; Rank, C.M.; Zierk, J. A pipeline for the fully automated estimation of continuous reference intervals using real-world data. Sci. Rep. 2023, 13, 13440. [Google Scholar] [CrossRef]
- R Core Team. R: A Language and Environment for Statistical Computing; R Foundation for Statistical Computing: Vienna, Austria, 2024; Available online: https://www.R-project.org/ (accessed on 20 February 2026).
- Wickham, H.; François, R.; Henry, L.; Müller, K.; Vaughan, D. dplyr: A Grammar of Data Manipulation. R Package Version 1.1.4. 2023. Available online: https://CRAN.R-project.org/package=dplyr (accessed on 20 February 2026).
- Wickham, H.; Vaughan, D.; Girlich, M. tidyr: Tidy Messy Data. R Package Version 1.3.1. 2024. Available online: https://CRAN.R-project.org/package=tidyr (accessed on 20 February 2026).
- Wickham, H. stringr: Simple, Consistent Wrappers for Common String Operations. R Package Version 1.6.0. 2025. Available online: https://CRAN.R-project.org/package=stringr (accessed on 20 February 2026).
- Grolemund, G.; Wickham, H. Dates and Times Made Easy with lubridate. J. Stat. Softw. 2011, 40, 1–25. [Google Scholar] [CrossRef]
- Wickham, H.; Hester, J.; Bryan, J. readr: Read Rectangular Text Data. R Package Version 2.1.5. 2024. Available online: https://CRAN.R-project.org/package=readr (accessed on 20 February 2026).
- Wickham, H.; Bryan, J. readxl: Read Excel Files. R Package Version 1.4.5. 2025. Available online: https://CRAN.R-project.org/package=readxl (accessed on 20 February 2026).
- Wickham, H.; Henry, L. purrr: Functional Programming Tools. R Package Version 1.2.0. 2025. Available online: https://CRAN.R-project.org/package=purrr (accessed on 20 February 2026).
- Rigby, R.A.; Stasinopoulos, D.M. Generalized additive models for location, scale and shape (with discussion). J. R. Stat. Soc. Ser. C Appl. Stat. 2005, 54, 507–554. [Google Scholar] [CrossRef]
- Stasinopoulos, M.; Rigby, R. gamlss.dist: Distributions for Generalized Additive Models for Location Scale and Shape. R Package Version 6.1-1. 2023. Available online: https://CRAN.R-project.org/package=gamlss.dist (accessed on 20 February 2026).
- Stasinopoulos, M.; Rigby, R. gamlss.add: Extra Additive Terms for Generalized Additive Models for Location Scale and Shape. R Package Version 5.1-14. 2025. Available online: https://CRAN.R-project.org/package=gamlss.add (accessed on 20 February 2026).
- Wood, S.N.; Pya, N.; Saefken, B. Smoothing parameter and model selection for general smooth models (with discussion). J. Am. Stat. Assoc. 2016, 111, 1548–1575. [Google Scholar] [CrossRef]
- Wood, S.N. Thin plate regression splines. J. R. Stat. Soc. Ser. B Stat. Methodol. 2003, 65, 95–114. [Google Scholar] [CrossRef]
- Wood, S.N. Generalized Additive Models: An Introduction with R, 2nd ed.; Chapman and Hall/CRC: Boca Raton, FL, USA, 2017. [Google Scholar]
- Wickham, H. ggplot2: Elegant Graphics for Data Analysis; Springer: New York, NY, USA, 2016; Available online: https://ggplot2.tidyverse.org (accessed on 20 February 2026).
- Wickham, H.; Pedersen, T.L.; Seidel, D. scales: Scale Functions for Visualization. R Package Version 1.4.0. 2025. Available online: https://CRAN.R-project.org/package=scales (accessed on 20 February 2026).
- Murphy, W.G. The sex difference in haemoglobin levels in adults—Mechanisms, causes, and consequences. Blood Rev. 2014, 28, 41–47. [Google Scholar] [CrossRef]
- Bachman, E.; Feng, R.; Travison, T.; Li, M.; Olbina, G.; Ostland, V.; Ulloor, J.; Zhang, A.; Basaria, S.; Ganz, T.; et al. Testosterone suppresses hepcidin in men: A potential mechanism for testosterone-induced erythrocytosis. J. Clin. Endocrinol. Metab. 2010, 95, 4743–4747. [Google Scholar] [CrossRef]
- Guralnik, J.M.; Eisenstaedt, R.S.; Ferrucci, L.; Klein, H.G.; Woodman, R.C. Prevalence of anemia in persons 65 years and older in the United States: Evidence for a high rate of unexplained anemia. Blood 2004, 104, 2263–2268. [Google Scholar] [CrossRef] [PubMed]
- Santoro, N.; Roeca, C.; Peters, B.A.; Neal-Perry, G. The Menopause Transition: Signs, Symptoms, and Management Options. J. Clin. Endocrinol. Metab. 2021, 106, 1–15. [Google Scholar] [CrossRef] [PubMed]
- Zierk, J.; Arzideh, F.; Kapsner, L.A.; Prokosch, H.U.; Metzler, M.; Rauh, M. Reference Interval Estimation from Mixed Distributions using Truncation Points and the Kolmogorov-Smirnov Distance (kosmic). Sci. Rep. 2020, 10, 1704. [Google Scholar] [CrossRef] [PubMed]
- Ammer, T.; Schützenmeister, A.; Prokosch, H.U.; Rauh, M.; Rank, C.M.; Zierk, J. refineR: A Novel Algorithm for Reference Interval Estimation from Real-World Data. Sci. Rep. 2021, 11, 16023. [Google Scholar] [CrossRef]



| Characteristic | Training Dataset | Validation Dataset 1 | Validation Dataset 2 | Validation Dataset 3 | Validation Dataset 4 | Validation Dataset 5 |
|---|---|---|---|---|---|---|
| N | 47,093 | 17,896 | 9234 | 14,571 | 13,426 | 14,837 |
| Age (Year) | 35 (30, 44) | 35 (30–43) | 36 (30–43) | 35 (30–42) | 36 (30–43) | 36 (30–43) |
| Gender (Male%) | 32.2 | 40.1 | 40.3 | 39.0 | 38.5 | 37.4 |
| Gender (Female%) | 67.8 | 59.9 | 59.7 | 61.0 | 61.5 | 62.6 |
| BMI (kg/m2) | 21.6 (20.3, 22.8) | 21.8 (20.4–22.9) | 21.8 (20.4–22.9) | 21.7 (20.4–22.9) | 21.7 (20.3–22.9) | 21.7 (20.3–22.9) |
| SBP (mmHg) | 110 (102, 119) | 111.0 (105.0–120.0) | 110.0 (105.0–118.0) | 109.0 (104.0–117.0) | 110.0 (104.0–117.0) | 110.0 (105.0–118.0) |
| DBP (mmHg) | 69 (63.0–75.0) | 69.0 (64.0–75.0) | 70.0 (65.0–75.0) | 69.0 (64.0–74.0) | 69.0 (64.0–74.0) | 69.0 (64.0–74.0) |
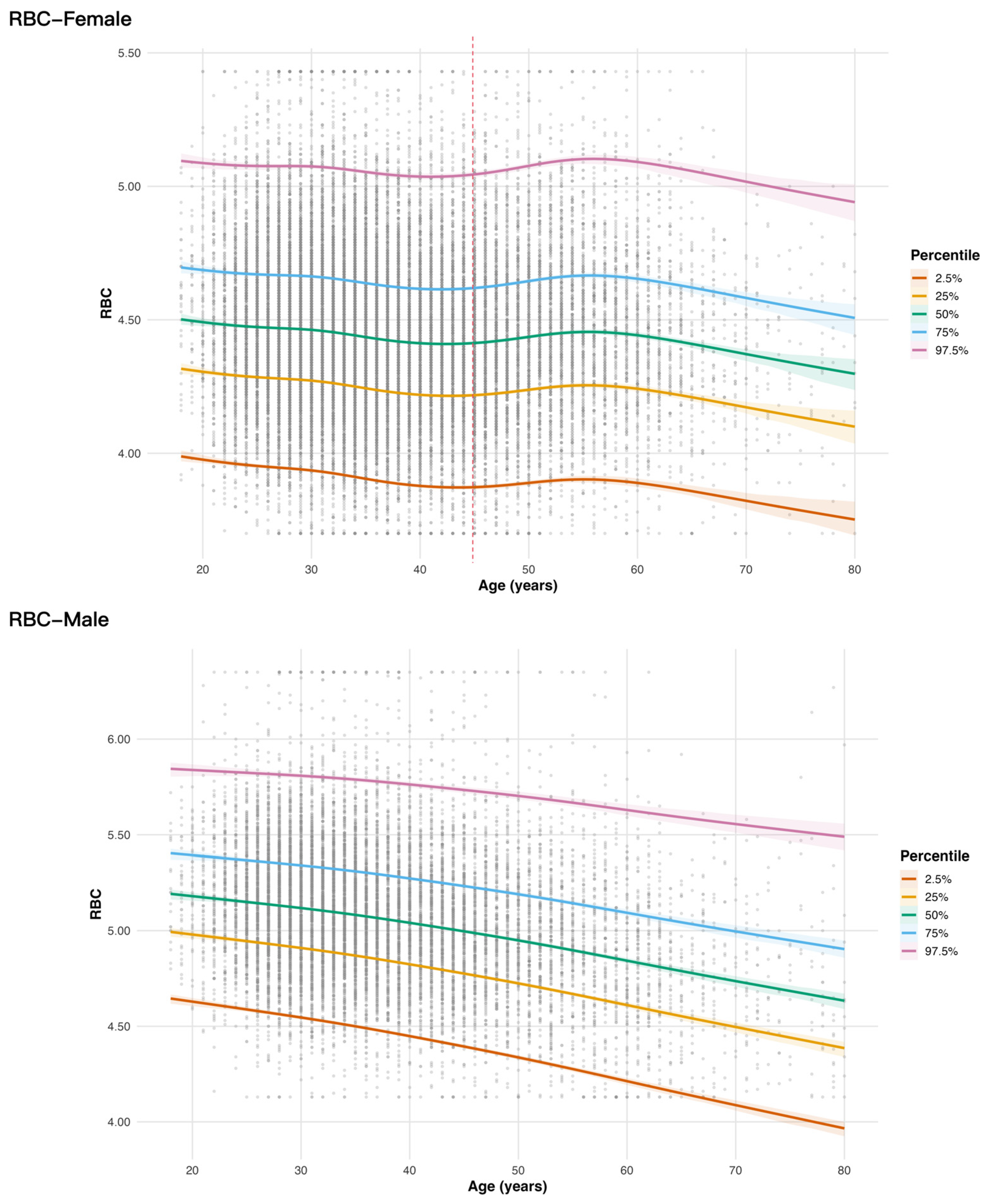
| Age | Female | Male | ||||||||
|---|---|---|---|---|---|---|---|---|---|---|
| Q2.5 | Q25 | Q50 | Q75 | Q97.5 | Q2.5 | Q25 | Q50 | Q75 | Q97.5 | |
| 18 | 3.99 [3.97–4.01] | 4.32 [4.30–4.34] | 4.50 [4.48–4.52] | 4.70 [4.67–4.72] | 5.10 [5.07–5.12] | 4.65 [4.62–4.67] | 4.99 [4.97–5.01] | 5.19 [5.16–5.22] | 5.40 [5.37–5.43] | 5.84 [5.80–5.88] |
| 19 | 3.98 [3.97–4.00] | 4.31 [4.29–4.33] | 4.50 [4.48–4.51] | 4.69 [4.67–4.71] | 5.09 [5.07–5.12] | 4.64 [4.61–4.66] | 4.99 [4.96–5.01] | 5.19 [5.16–5.21] | 5.40 [5.37–5.42] | 5.84 [5.80–5.87] |
| 20 | 3.98 [3.96–3.99] | 4.31 [4.29–4.32] | 4.49 [4.48–4.51] | 4.69 [4.67–4.70] | 5.09 [5.07–5.11] | 4.63 [4.61–4.65] | 4.98 [4.96–5.00] | 5.18 [5.16–5.20] | 5.39 [5.37–5.41] | 5.84 [5.81–5.87] |
| 21 | 3.97 [3.96–3.98] | 4.30 [4.29–4.31] | 4.49 [4.47–4.50] | 4.68 [4.67–4.70] | 5.08 [5.07–5.10] | 4.62 [4.60–4.64] | 4.97 [4.96–4.99] | 5.17 [5.15–5.19] | 5.39 [5.37–5.41] | 5.84 [5.81–5.86] |
| 22 | 3.97 [3.96–3.98] | 4.30 [4.29–4.30] | 4.48 [4.47–4.49] | 4.68 [4.67–4.69] | 5.08 [5.06–5.10] | 4.61 [4.59–4.63] | 4.97 [4.95–4.98] | 5.17 [5.15–5.18] | 5.38 [5.36–5.40] | 5.83 [5.81–5.86] |
| 23 | 3.96 [3.95–3.97] | 4.29 [4.28–4.30] | 4.48 [4.47–4.49] | 4.67 [4.67–4.68] | 5.08 [5.06–5.09] | 4.60 [4.59–4.62] | 4.96 [4.95–4.97] | 5.16 [5.15–5.17] | 5.38 [5.36–5.39] | 5.83 [5.81–5.85] |
| 24 | 3.96 [3.95–3.97] | 4.29 [4.28–4.30] | 4.48 [4.47–4.48] | 4.67 [4.66–4.68] | 5.08 [5.06–5.09] | 4.60 [4.58–4.61] | 4.95 [4.94–4.96] | 5.16 [5.14–5.17] | 5.37 [5.36–5.39] | 5.83 [5.81–5.85] |
| 25 | 3.95 [3.94–3.96] | 4.29 [4.28–4.29] | 4.47 [4.47–4.48] | 4.67 [4.66–4.68] | 5.08 [5.06–5.09] | 4.59 [4.58–4.60] | 4.95 [4.94–4.96] | 5.15 [5.14–5.16] | 5.37 [5.36–5.38] | 5.82 [5.81–5.84] |
| 26 | 3.95 [3.94–3.96] | 4.28 [4.28–4.29] | 4.47 [4.47–4.48] | 4.67 [4.66–4.67] | 5.08 [5.06–5.09] | 4.58 [4.57–4.59] | 4.94 [4.93–4.95] | 5.14 [5.14–5.15] | 5.36 [5.35–5.37] | 5.82 [5.80–5.84] |
| 27 | 3.95 [3.94–3.95] | 4.28 [4.28–4.28] | 4.47 [4.46–4.47] | 4.67 [4.66–4.67] | 5.08 [5.06–5.08] | 4.57 [4.56–4.58] | 4.93 [4.92–4.94] | 5.14 [5.13–5.15] | 5.36 [5.35–5.36] | 5.82 [5.80–5.83] |
| 28 | 3.94 [3.94–3.95] | 4.28 [4.27–4.28] | 4.47 [4.46–4.47] | 4.67 [4.66–4.67] | 5.08 [5.07–5.09] | 4.56 [4.55–4.57] | 4.92 [4.92–4.93] | 5.13 [5.13–5.14] | 5.35 [5.34–5.36] | 5.81 [5.80–5.83] |
| 29 | 3.94 [3.93–3.95] | 4.28 [4.27–4.28] | 4.47 [4.46–4.47] | 4.66 [4.66–4.67] | 5.08 [5.07–5.08] | 4.55 [4.54–4.56] | 4.92 [4.91–4.92] | 5.12 [5.12–5.13] | 5.35 [5.34–5.35] | 5.81 [5.80–5.83] |
| 30 | 3.94 [3.93–3.94] | 4.27 [4.27–4.28] | 4.46 [4.46–4.47] | 4.66 [4.66–4.67] | 5.07 [5.07–5.08] | 4.55 [4.54–4.56] | 4.91 [4.90–4.91] | 5.12 [5.11–5.12] | 5.34 [5.34–5.35] | 5.81 [5.79–5.82] |
| 31 | 3.93 [3.92–3.94] | 4.27 [4.26–4.27] | 4.46 [4.45–4.46] | 4.66 [4.65–4.67] | 5.07 [5.06–5.08] | 4.54 [4.53–4.55] | 4.90 [4.90–4.91] | 5.11 [5.11–5.12] | 5.34 [5.33–5.34] | 5.80 [5.79–5.82] |
| 32 | 3.93 [3.92–3.93] | 4.26 [4.26–4.27] | 4.45 [4.45–4.46] | 4.65 [4.65–4.66] | 5.07 [5.06–5.08] | 4.53 [4.52–4.54] | 4.89 [4.89–4.90] | 5.10 [5.10–5.11] | 5.33 [5.32–5.34] | 5.80 [5.79–5.81] |
| 33 | 3.92 [3.91–3.92] | 4.26 [4.25–4.26] | 4.45 [4.44–4.45] | 4.65 [4.64–4.65] | 5.06 [5.06–5.07] | 4.52 [4.51–4.53] | 4.89 [4.88–4.89] | 5.10 [5.09–5.10] | 5.32 [5.32–5.33] | 5.80 [5.78–5.81] |
| 34 | 3.91 [3.91–3.92] | 4.25 [4.25–4.25] | 4.44 [4.44–4.45] | 4.64 [4.64–4.65] | 5.06 [5.05–5.07] | 4.51 [4.50–4.52] | 4.88 [4.87–4.88] | 5.09 [5.08–5.10] | 5.32 [5.31–5.32] | 5.79 [5.78–5.81] |
| 35 | 3.90 [3.90–3.91] | 4.24 [4.24–4.25] | 4.44 [4.43–4.44] | 4.64 [4.63–4.64] | 5.05 [5.05–5.06] | 4.50 [4.49–4.51] | 4.87 [4.86–4.88] | 5.08 [5.08–5.09] | 5.31 [5.30–5.32] | 5.79 [5.78–5.80] |
| 36 | 3.90 [3.89–3.90] | 4.24 [4.23–4.24] | 4.43 [4.42–4.43] | 4.63 [4.63–4.64] | 5.05 [5.04–5.06] | 4.49 [4.48–4.50] | 4.86 [4.85–4.87] | 5.07 [5.07–5.08] | 5.30 [5.30–5.31] | 5.78 [5.77–5.80] |
| 37 | 3.89 [3.88–3.90] | 4.23 [4.23–4.24] | 4.42 [4.42–4.43] | 4.63 [4.62–4.63] | 5.04 [5.03–5.06] | 4.48 [4.47–4.49] | 4.85 [4.84–4.86] | 5.07 [5.06–5.07] | 5.30 [5.29–5.30] | 5.78 [5.77–5.79] |
| 38 | 3.89 [3.88–3.89] | 4.23 [4.22–4.23] | 4.42 [4.41–4.42] | 4.62 [4.62–4.63] | 5.04 [5.03–5.05] | 4.47 [4.46–4.48] | 4.84 [4.84–4.85] | 5.06 [5.05–5.06] | 5.29 [5.28–5.30] | 5.77 [5.76–5.79] |
| 39 | 3.88 [3.87–3.89] | 4.22 [4.22–4.23] | 4.42 [4.41–4.42] | 4.62 [4.61–4.62] | 5.04 [5.03–5.05] | 4.46 [4.45–4.47] | 4.83 [4.83–4.84] | 5.05 [5.04–5.06] | 5.28 [5.27–5.29] | 5.77 [5.75–5.78] |
| 40 | 3.88 [3.87–3.88] | 4.22 [4.21–4.22] | 4.41 [4.41–4.42] | 4.62 [4.61–4.62] | 5.04 [5.03–5.05] | 4.45 [4.44–4.46] | 4.82 [4.82–4.83] | 5.04 [5.03–5.05] | 5.27 [5.26–5.28] | 5.76 [5.75–5.78] |
| 41 | 3.88 [3.87–3.88] | 4.22 [4.21–4.22] | 4.41 [4.40–4.42] | 4.61 [4.61–4.62] | 5.04 [5.03–5.05] | 4.44 [4.43–4.45] | 4.81 [4.81–4.82] | 5.03 [5.02–5.04] | 5.27 [5.26–5.27] | 5.76 [5.74–5.77] |
| 42 | 3.87 [3.87–3.88] | 4.22 [4.21–4.22] | 4.41 [4.40–4.42] | 4.61 [4.61–4.62] | 5.04 [5.03–5.05] | 4.43 [4.42–4.44] | 4.81 [4.80–4.81] | 5.02 [5.02–5.03] | 5.26 [5.25–5.27] | 5.75 [5.74–5.77] |
| 43 | 3.87 [3.86–3.88] | 4.22 [4.21–4.22] | 4.41 [4.40–4.42] | 4.61 [4.61–4.62] | 5.04 [5.03–5.05] | 4.42 [4.41–4.43] | 4.80 [4.79–4.80] | 5.01 [5.01–5.02] | 5.25 [5.24–5.26] | 5.75 [5.73–5.76] |
| 44 | 3.87 [3.86–3.88] | 4.22 [4.21–4.22] | 4.41 [4.41–4.42] | 4.62 [4.61–4.62] | 5.04 [5.03–5.05] | 4.41 [4.39–4.41] | 4.79 [4.78–4.79] | 5.01 [5.00–5.01] | 5.24 [5.23–5.25] | 5.74 [5.72–5.76] |
| 45 | 3.87 [3.86–3.88] | 4.22 [4.21–4.22] | 4.41 [4.41–4.42] | 4.62 [4.61–4.63] | 5.04 [5.03–5.06] | 4.39 [4.38–4.40] | 4.78 [4.77–4.78] | 5.00 [4.99–5.00] | 5.23 [5.23–5.24] | 5.73 [5.72–5.75] |
| 46 | 3.87 [3.87–3.88] | 4.22 [4.21–4.23] | 4.42 [4.41–4.42] | 4.62 [4.62–4.63] | 5.05 [5.04–5.06] | 4.38 [4.37–4.39] | 4.77 [4.76–4.77] | 4.99 [4.98–5.00] | 5.22 [5.22–5.23] | 5.73 [5.71–5.75] |
| 47 | 3.88 [3.87–3.89] | 4.22 [4.22–4.23] | 4.42 [4.41–4.43] | 4.63 [4.62–4.64] | 5.06 [5.04–5.07] | 4.37 [4.36–4.38] | 4.76 [4.75–4.76] | 4.98 [4.97–4.99] | 5.22 [5.21–5.23] | 5.72 [5.70–5.74] |
| 48 | 3.88 [3.87–3.89] | 4.23 [4.22–4.23] | 4.43 [4.42–4.43] | 4.63 [4.63–4.64] | 5.06 [5.05–5.07] | 4.36 [4.35–4.37] | 4.75 [4.74–4.75] | 4.97 [4.96–4.98] | 5.21 [5.20–5.22] | 5.72 [5.70–5.74] |
| 49 | 3.88 [3.87–3.89] | 4.23 [4.23–4.24] | 4.43 [4.42–4.44] | 4.64 [4.63–4.65] | 5.07 [5.06–5.08] | 4.35 [4.34–4.36] | 4.73 [4.73–4.74] | 4.96 [4.95–4.97] | 5.20 [5.19–5.21] | 5.71 [5.69–5.73] |
| 50 | 3.89 [3.88–3.90] | 4.24 [4.23–4.24] | 4.44 [4.43–4.44] | 4.65 [4.64–4.65] | 5.08 [5.06–5.09] | 4.34 [4.32–4.35] | 4.72 [4.72–4.73] | 4.95 [4.94–4.96] | 5.19 [5.18–5.20] | 5.70 [5.69–5.72] |
| 51 | 3.89 [3.88–3.90] | 4.24 [4.24–4.25] | 4.44 [4.43–4.45] | 4.65 [4.64–4.66] | 5.08 [5.07–5.09] | 4.33 [4.31–4.34] | 4.71 [4.70–4.72] | 4.94 [4.93–4.95] | 5.18 [5.17–5.19] | 5.70 [5.68–5.72] |
| 52 | 3.90 [3.89–3.91] | 4.25 [4.24–4.26] | 4.45 [4.44–4.45] | 4.66 [4.65–4.67] | 5.09 [5.08–5.10] | 4.31 [4.30–4.33] | 4.70 [4.69–4.71] | 4.93 [4.92–4.94] | 5.17 [5.16–5.18] | 5.69 [5.67–5.71] |
| 53 | 3.90 [3.89–3.91] | 4.25 [4.24–4.26] | 4.45 [4.44–4.46] | 4.66 [4.65–4.67] | 5.10 [5.08–5.11] | 4.30 [4.29–4.31] | 4.69 [4.68–4.70] | 4.92 [4.91–4.93] | 5.16 [5.15–5.17] | 5.68 [5.66–5.70] |
| 54 | 3.90 [3.89–3.91] | 4.25 [4.24–4.26] | 4.45 [4.44–4.46] | 4.66 [4.65–4.67] | 5.10 [5.08–5.11] | 4.29 [4.28–4.30] | 4.68 [4.67–4.69] | 4.91 [4.90–4.92] | 5.15 [5.14–5.17] | 5.67 [5.66–5.70] |
| 55 | 3.90 [3.89–3.92] | 4.25 [4.25–4.26] | 4.45 [4.45–4.46] | 4.67 [4.65–4.68] | 5.10 [5.08–5.12] | 4.28 [4.26–4.29] | 4.67 [4.66–4.68] | 4.90 [4.89–4.91] | 5.14 [5.13–5.16] | 5.67 [5.65–5.69] |
| 56 | 3.90 [3.89–3.92] | 4.25 [4.24–4.26] | 4.45 [4.45–4.46] | 4.67 [4.66–4.68] | 5.10 [5.08–5.12] | 4.26 [4.25–4.28] | 4.66 [4.65–4.67] | 4.89 [4.88–4.90] | 5.13 [5.12–5.15] | 5.66 [5.64–5.68] |
| 57 | 3.90 [3.89–3.91] | 4.25 [4.24–4.26] | 4.45 [4.44–4.46] | 4.66 [4.65–4.68] | 5.10 [5.08–5.12] | 4.25 [4.24–4.27] | 4.65 [4.63–4.66] | 4.88 [4.86–4.89] | 5.12 [5.11–5.14] | 5.65 [5.63–5.68] |
| 58 | 3.90 [3.88–3.91] | 4.25 [4.24–4.26] | 4.45 [4.44–4.46] | 4.66 [4.65–4.67] | 5.10 [5.08–5.12] | 4.24 [4.22–4.25] | 4.63 [4.62–4.65] | 4.86 [4.85–4.88] | 5.11 [5.10–5.13] | 5.64 [5.62–5.67] |
| 59 | 3.89 [3.88–3.91] | 4.25 [4.24–4.26] | 4.45 [4.44–4.46] | 4.66 [4.65–4.67] | 5.10 [5.07–5.11] | 4.23 [4.21–4.24] | 4.62 [4.61–4.64] | 4.85 [4.84–4.87] | 5.10 [5.09–5.12] | 5.64 [5.61–5.67] |
| 60 | 3.89 [3.87–3.91] | 4.24 [4.23–4.25] | 4.44 [4.43–4.45] | 4.65 [4.64–4.67] | 5.09 [5.07–5.11] | 4.21 [4.19–4.23] | 4.61 [4.60–4.62] | 4.84 [4.83–4.86] | 5.09 [5.08–5.11] | 5.63 [5.60–5.66] |
| 61 | 3.88 [3.87–3.90] | 4.24 [4.23–4.25] | 4.44 [4.43–4.45] | 4.65 [4.63–4.66] | 5.09 [5.06–5.11] | 4.20 [4.18–4.22] | 4.60 [4.58–4.61] | 4.83 [4.81–4.85] | 5.08 [5.07–5.10] | 5.62 [5.59–5.65] |
| 62 | 3.88 [3.86–3.90] | 4.23 [4.22–4.24] | 4.43 [4.42–4.44] | 4.64 [4.63–4.66] | 5.08 [5.05–5.10] | 4.19 [4.17–4.21] | 4.59 [4.57–4.60] | 4.82 [4.80–4.84] | 5.07 [5.05–5.09] | 5.61 [5.58–5.65] |
| 63 | 3.87 [3.86–3.89] | 4.22 [4.21–4.24] | 4.42 [4.41–4.44] | 4.64 [4.62–4.65] | 5.07 [5.04–5.10] | 4.17 [4.15–4.19] | 4.58 [4.56–4.59] | 4.81 [4.79–4.83] | 5.06 [5.04–5.09] | 5.61 [5.57–5.64] |
| 64 | 3.87 [3.85–3.89] | 4.22 [4.20–4.23] | 4.42 [4.40–4.43] | 4.63 [4.61–4.64] | 5.07 [5.03–5.09] | 4.16 [4.14–4.18] | 4.56 [4.54–4.58] | 4.80 [4.78–4.82] | 5.05 [5.03–5.08] | 5.60 [5.56–5.64] |
| 65 | 3.86 [3.84–3.88] | 4.21 [4.20–4.22] | 4.41 [4.39–4.42] | 4.62 [4.60–4.64] | 5.06 [5.02–5.08] | 4.15 [4.13–4.17] | 4.55 [4.53–4.57] | 4.79 [4.77–4.81] | 5.04 [5.02–5.07] | 5.59 [5.56–5.63] |
| 66 | 3.85 [3.83–3.87] | 4.20 [4.19–4.22] | 4.40 [4.39–4.42] | 4.61 [4.59–4.63] | 5.05 [5.01–5.08] | 4.14 [4.11–4.16] | 4.54 [4.52–4.56] | 4.78 [4.75–4.80] | 5.03 [5.01–5.06] | 5.58 [5.55–5.63] |
| 67 | 3.84 [3.82–3.87] | 4.20 [4.18–4.21] | 4.39 [4.38–4.41] | 4.61 [4.58–4.62] | 5.04 [5.00–5.07] | 4.12 [4.10–4.15] | 4.53 [4.51–4.55] | 4.77 [4.74–4.79] | 5.02 [5.00–5.05] | 5.58 [5.54–5.62] |
| 68 | 3.84 [3.81–3.86] | 4.19 [4.17–4.21] | 4.39 [4.36–4.40] | 4.60 [4.57–4.62] | 5.03 [5.00–5.06] | 4.11 [4.09–4.13] | 4.52 [4.49–4.54] | 4.76 [4.73–4.78] | 5.01 [4.98–5.04] | 5.57 [5.53–5.62] |
| 69 | 3.83 [3.80–3.86] | 4.18 [4.16–4.20] | 4.38 [4.35–4.40] | 4.59 [4.56–4.61] | 5.03 [4.99–5.06] | 4.10 [4.07–4.12] | 4.51 [4.48–4.53] | 4.75 [4.72–4.77] | 5.01 [4.97–5.04] | 5.56 [5.52–5.61] |
| 70 | 3.82 [3.79–3.85] | 4.17 [4.15–4.19] | 4.37 [4.35–4.39] | 4.58 [4.55–4.60] | 5.02 [4.98–5.05] | 4.09 [4.06–4.11] | 4.50 [4.47–4.52] | 4.74 [4.71–4.76] | 5.00 [4.96–5.03] | 5.56 [5.51–5.60] |
| 71 | 3.81 [3.78–3.85] | 4.16 [4.14–4.19] | 4.36 [4.34–4.38] | 4.57 [4.54–4.60] | 5.01 [4.97–5.04] | 4.08 [4.04–4.10] | 4.48 [4.45–4.51] | 4.73 [4.70–4.75] | 4.99 [4.95–5.02] | 5.55 [5.50–5.60] |
| 72 | 3.81 [3.77–3.84] | 4.16 [4.13–4.19] | 4.36 [4.33–4.38] | 4.57 [4.53–4.59] | 5.00 [4.96–5.04] | 4.06 [4.03–4.09] | 4.47 [4.44–4.50] | 4.72 [4.68–4.74] | 4.98 [4.94–5.01] | 5.54 [5.49–5.59] |
| 73 | 3.80 [3.76–3.84] | 4.15 [4.12–4.18] | 4.35 [4.32–4.37] | 4.56 [4.52–4.59] | 4.99 [4.95–5.03] | 4.05 [4.02–4.08] | 4.46 [4.43–4.49] | 4.71 [4.67–4.73] | 4.97 [4.94–5.00] | 5.54 [5.48–5.59] |
| 74 | 3.79 [3.75–3.84] | 4.14 [4.11–4.18] | 4.34 [4.30–4.37] | 4.55 [4.51–4.58] | 4.99 [4.94–5.03] | 4.04 [4.00–4.07] | 4.45 [4.42–4.48] | 4.69 [4.66–4.72] | 4.96 [4.93–5.00] | 5.53 [5.47–5.59] |
| 75 | 3.79 [3.75–3.83] | 4.14 [4.10–4.17] | 4.33 [4.29–4.37] | 4.54 [4.50–4.58] | 4.98 [4.92–5.02] | 4.03 [3.99–4.06] | 4.44 [4.41–4.47] | 4.68 [4.65–4.71] | 4.95 [4.92–4.99] | 5.52 [5.46–5.58] |
| 76 | 3.78 [3.74–3.83] | 4.13 [4.08–4.17] | 4.33 [4.28–4.37] | 4.54 [4.49–4.57] | 4.97 [4.91–5.02] | 4.01 [3.98–4.04] | 4.43 [4.39–4.46] | 4.67 [4.64–4.70] | 4.94 [4.91–4.98] | 5.52 [5.45–5.58] |
| 77 | 3.77 [3.73–3.83] | 4.12 [4.07–4.17] | 4.32 [4.27–4.36] | 4.53 [4.48–4.57] | 4.96 [4.90–5.01] | 4.00 [3.97–4.03] | 4.42 [4.38–4.45] | 4.66 [4.63–4.70] | 4.93 [4.89–4.97] | 5.51 [5.45–5.57] |
| 78 | 3.77 [3.71–3.82] | 4.11 [4.06–4.16] | 4.31 [4.26–4.36] | 4.52 [4.46–4.56] | 4.96 [4.89–5.01] | 3.99 [3.95–4.02] | 4.41 [4.37–4.44] | 4.65 [4.62–4.69] | 4.92 [4.88–4.96] | 5.50 [5.44–5.57] |
| 79 | 3.76 [3.70–3.82] | 4.11 [4.05–4.16] | 4.30 [4.25–4.35] | 4.51 [4.45–4.56] | 4.95 [4.88–5.01] | 3.98 [3.94–4.01] | 4.40 [4.35–4.43] | 4.64 [4.60–4.68] | 4.91 [4.87–4.96] | 5.50 [5.43–5.56] |
| 80 | 3.75 [3.69–3.82] | 4.10 [4.04–4.16] | 4.30 [4.24–4.35] | 4.51 [4.44–4.56] | 4.94 [4.87–5.01] | 3.97 [3.92–4.00] | 4.39 [4.34–4.42] | 4.63 [4.59–4.67] | 4.90 [4.86–4.95] | 5.49 [5.42–5.56] |
| Year | Group | NRI | n | Total | Percent (%) |
|---|---|---|---|---|---|
| 2019 | Female | L | 377 | 10712 | 3.52 |
| 2019 | Female | N | 10105 | 10712 | 94.33 |
| 2019 | Female | U | 230 | 10712 | 2.15 |
| 2019 | Male | L | 229 | 7184 | 3.19 |
| 2019 | Male | N | 6823 | 7184 | 94.97 |
| 2019 | Male | U | 132 | 7184 | 1.84 |
| 2020 | Female | L | 208 | 5512 | 3.77 |
| 2020 | Female | N | 5199 | 5512 | 94.32 |
| 2020 | Female | U | 105 | 5512 | 1.90 |
| 2020 | Male | L | 157 | 3722 | 4.22 |
| 2020 | Male | N | 3501 | 3722 | 94.06 |
| 2020 | Male | U | 64 | 3722 | 1.72 |
| 2021 | Female | L | 244 | 8883 | 2.75 |
| 2021 | Female | N | 8440 | 8883 | 95.01 |
| 2021 | Female | U | 199 | 8883 | 2.24 |
| 2021 | Male | L | 178 | 5688 | 3.13 |
| 2021 | Male | N | 5404 | 5688 | 95.01 |
| 2021 | Male | U | 106 | 5688 | 1.86 |
| 2022 | Female | L | 216 | 8259 | 2.62 |
| 2022 | Female | N | 7837 | 8259 | 94.89 |
| 2022 | Female | U | 206 | 8259 | 2.49 |
| 2022 | Male | L | 121 | 5167 | 2.34 |
| 2022 | Male | N | 4924 | 5167 | 95.30 |
| 2022 | Male | U | 122 | 5167 | 2.36 |
| 2023 | Female | L | 317 | 9283 | 3.41 |
| 2023 | Female | N | 8737 | 9283 | 94.12 |
| 2023 | Female | U | 229 | 9283 | 2.47 |
| 2023 | Male | L | 184 | 5554 | 3.31 |
| 2023 | Male | N | 5209 | 5554 | 93.79 |
| 2023 | Male | U | 161 | 5554 | 2.90 |
Disclaimer/Publisher’s Note: The statements, opinions and data contained in all publications are solely those of the individual author(s) and contributor(s) and not of MDPI and/or the editor(s). MDPI and/or the editor(s) disclaim responsibility for any injury to people or property resulting from any ideas, methods, instructions or products referred to in the content. |
© 2026 by the authors. Licensee MDPI, Basel, Switzerland. This article is an open access article distributed under the terms and conditions of the Creative Commons Attribution (CC BY) license.
Share and Cite
Ma, C.; Guan, L.; Chen, Q.; Cheng, R.; Wu, W.; Qiu, L. Establishment and Temporal Validation of Next-Generation Reference Intervals for Routine Hematological Parameters Using Large-Scale Data. Diagnostics 2026, 16, 944. https://doi.org/10.3390/diagnostics16060944
Ma C, Guan L, Chen Q, Cheng R, Wu W, Qiu L. Establishment and Temporal Validation of Next-Generation Reference Intervals for Routine Hematological Parameters Using Large-Scale Data. Diagnostics. 2026; 16(6):944. https://doi.org/10.3390/diagnostics16060944
Chicago/Turabian StyleMa, Chaochao, Lihua Guan, Qian Chen, Rongrong Cheng, Wei Wu, and Ling Qiu. 2026. "Establishment and Temporal Validation of Next-Generation Reference Intervals for Routine Hematological Parameters Using Large-Scale Data" Diagnostics 16, no. 6: 944. https://doi.org/10.3390/diagnostics16060944
APA StyleMa, C., Guan, L., Chen, Q., Cheng, R., Wu, W., & Qiu, L. (2026). Establishment and Temporal Validation of Next-Generation Reference Intervals for Routine Hematological Parameters Using Large-Scale Data. Diagnostics, 16(6), 944. https://doi.org/10.3390/diagnostics16060944
