Evaluation of the Biolabo Turbidimetric Assay for Automated Determination of Haemoglobin A1c
Abstract
1. Introduction
2. Materials and Methods
2.1. Guidelines for the Evaluation Process
2.2. Analysers Description
2.3. Reagents and Control Materials
2.4. Patient Samples
2.5. Method Comparison
2.6. Imprecision Evaluation
2.7. Calculating the Probability of Risk of Misinterpretation
2.8. Software
2.9. Operating Temperature
3. Results
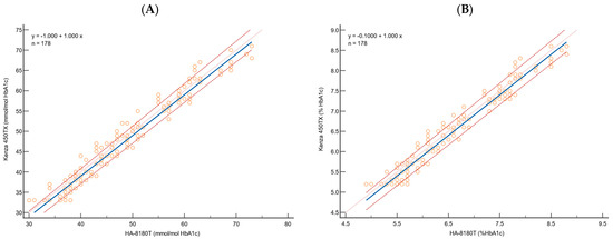
3.1. Comparability Testing
3.2. Imprecision Studies
3.3. Risk of Misinterpretation
4. Discussion
5. Conclusions
Supplementary Materials
Author Contributions
Funding
Institutional Review Board Statement
Informed Consent Statement
Data Availability Statement
Acknowledgments
Conflicts of Interest
References
- Dildar, S.; Imran, S.; Naz, F. Method Comparison of Particle Enhanced Immunoturbidimetry (PEIT) with High Performance Liquid Chromatography (HPLC) for Glycated Hemoglobin (HbA1c) Analysis. Clin. Diabetes Endocrinol. 2021, 7, 10. [Google Scholar] [CrossRef] [PubMed]
- Krishnamurti, U.; Steffes, M.W. Glycohemoglobin: A Primary Predictor of the Development or Reversal of Complications of Diabetes Mellitus. Clin. Chem. 2001, 47, 1157–1165. [Google Scholar] [CrossRef] [PubMed]
- International Diabetes Federation. IDF Diabetes Atlas 2021|IDF Diabetes Atlas; International Diabetes Federation: Brussels, Belgium, 2021. [Google Scholar]
- Sherwani, S.I.; Khan, H.A.; Ekhzaimy, A.; Masood, A.; Sakharkar, M.K. Significance of HbA1c Test in Diagnosis and Prognosis of Diabetic Patients. Biomark. Insights 2016, 11, 95–104. [Google Scholar] [CrossRef] [PubMed]
- Higgins, T. HbA1c for Screening and Diagnosis of Diabetes Mellitus. Endocrine 2013, 43, 266–273. [Google Scholar] [CrossRef]
- Sacks, D.B. A1C versus Glucose Testing: A Comparison. Diabetes Care 2011, 34, 518–523. [Google Scholar] [CrossRef]
- Nathan, D.M.; Kuenen, J.; Borg, R.; Zheng, H.; Schoenfeld, D.; Heine, R.J. A1c-Derived Average Glucose Study Group Translating the A1C Assay into Estimated Average Glucose Values. Diabetes Care 2008, 31, 1473–1478. [Google Scholar] [CrossRef]
- Sacks, D.B.; Arnold, M.; Bakris, G.L.; Bruns, D.E.; Horvath, A.R.; Lernmark, Å.; Metzger, B.E.; Nathan, D.M.; Kirkman, M.S. Guidelines and Recommendations for Laboratory Analysis in the Diagnosis and Management of Diabetes Mellitus. Diabetes Care 2023, 46, e151–e199. [Google Scholar] [CrossRef]
- Diabetes Control and Complications Trial Research Group; Nathan, D.M.; Genuth, S.; Lachin, J.; Cleary, P.; Crofford, O.; Davis, M.; Rand, L.; Siebert, C. The Effect of Intensive Treatment of Diabetes on the Development and Progression of Long-Term Complications in Insulin-Dependent Diabetes Mellitus. N. Engl. J. Med. 1993, 329, 977–986. [Google Scholar] [CrossRef]
- Reichard, P.; Nilsson, B.Y.; Rosenqvist, U. The Effect of Long-Term Intensified Insulin Treatment on the Development of Microvascular Complications of Diabetes Mellitus. N. Engl. J. Med. 1993, 329, 304–309. [Google Scholar] [CrossRef]
- Yapanis, M.; James, S.; Craig, M.E.; O’Neal, D.; Ekinci, E.I. Complications of Diabetes and Metrics of Glycemic Management Derived from Continuous Glucose Monitoring. J. Clin. Endocrinol. Metab. 2022, 107, e2221–e2236. [Google Scholar] [CrossRef]
- Su, Y.; Xia, C.; Zhang, H.; Gan, W.; Zhang, G.-Q.; Yang, Z.; Li, D. Emerging Biosensor Probes for Glycated Hemoglobin (HbA1c) Detection. Mikrochim. Acta 2024, 191, 300. [Google Scholar] [CrossRef] [PubMed]
- Marshall, S.M.; Barth, J.H. Standardization of HbA1c Measurements: A Consensus Statement. Ann. Clin. Biochem. 2000, 37 Pt 1, 45–46. [Google Scholar] [CrossRef] [PubMed]
- Manley, S. Haemoglobin A1c—A Marker for Complications of Type 2 Diabetes: The Experience from the UK Prospective Diabetes Study (UKPDS). Clin. Chem. Lab. Med. 2003, 41, 1182–1190. [Google Scholar] [CrossRef] [PubMed]
- American Diabetes Association 2. Classification and Diagnosis of Diabetes: Standards of Medical Care in Diabetes—2020. Diabetes Care 2019, 43, S14–S31. [Google Scholar] [CrossRef]
- Redondo, M.J.; Onengut-Gumuscu, S.; Gaulton, K.J. Genetics of Type 1 Diabetes. In Diabetes in America; Lawrence, J.M., Casagrande, S.S., Herman, W.H., Wexler, D.J., Cefalu, W.T., Eds.; National Institute of Diabetes and Digestive and Kidney Diseases (NIDDK): Bethesda, MD, USA, 2023. [Google Scholar]
- Lorenzo-Medina, M.; De-La-Iglesia, S.; Ropero, P.; Nogueira-Salgueiro, P.; Santana-Benitez, J. Effects of Hemoglobin Variants on Hemoglobin A1c Values Measured Using a High-Performance Liquid Chromatography Method. J. Diabetes Sci. Technol. 2014, 8, 1168–1176. [Google Scholar] [CrossRef]
- Laiteerapong, N.; John, P.M.; Nathan, A.G.; Huang, E.S. Public Health Implications of Recommendations to Individualize Glycemic Targets in Adults with Diabetes. Diabetes Care 2013, 36, 84–89. [Google Scholar] [CrossRef][Green Version]
- Selvin, E.; Steffes, M.W.; Zhu, H.; Matsushita, K.; Wagenknecht, L.; Pankow, J.; Coresh, J.; Brancati, F.L. Glycated Hemoglobin, Diabetes, and Cardiovascular Risk in Nondiabetic Adults. N. Engl. J. Med. 2010, 362, 800–811. [Google Scholar] [CrossRef]
- Genc, S.; Omer, B.; Aycan-Ustyol, E.; Ince, N.; Bal, F.; Gurdol, F. Evaluation of Turbidimetric Inhibition Immunoassay (TINIA) and HPLC Methods for Glycated Haemoglobin Determination. J. Clin. Lab. Anal. 2012, 26, 481–485. [Google Scholar] [CrossRef]
- Lenters-Westra, E.; Schindhelm, R.K.; Bilo, H.J.; Slingerland, R.J. Haemoglobin A1c: Historical Overview and Current Concepts. Diabetes Res. Clin. Pract. 2013, 99, 75–84. [Google Scholar] [CrossRef]
- Weykamp, C. HbA1c: A Review of Analytical and Clinical Aspects. Ann. Lab. Med. 2013, 33, 393–400. [Google Scholar] [CrossRef]
- Braga, F.; Dolci, A.; Montagnana, M.; Pagani, F.; Paleari, R.; Guidi, G.C.; Mosca, A.; Panteghini, M. Revaluation of Biological Variation of Glycated Hemoglobin (HbA(1c)) Using an Accurately Designed Protocol and an Assay Traceable to the IFCC Reference System. Clin. Chim. Acta 2011, 412, 1412–1416. [Google Scholar] [CrossRef] [PubMed]
- Little, R.R.; Rohlfing, C.; Sacks, D.B. The National Glycohemoglobin Standardization Program: Over 20 Years of Improving Hemoglobin A1c Measurement. Clin. Chem. 2019, 65, 839–848. [Google Scholar] [CrossRef] [PubMed]
- Standards of Medical Care for Patients with Diabetes Mellitus. American Diabetes Association. Diabetes Care 1994, 17, 616–623. [Google Scholar] [CrossRef] [PubMed]
- Jeppsson, J.-O.; Kobold, U.; Barr, J.; Finke, A.; Hoelzel, W.; Hoshino, T.; Miedema, K.; Mosca, A.; Mauri, P.; Paroni, R.; et al. Approved IFCC Reference Method for the Measurement of HbA1c in Human Blood. Clin. Chem. Lab. Med. 2002, 40, 78–89. [Google Scholar] [CrossRef] [PubMed]
- Hörber, S.; Achenbach, P.; Schleicher, E.; Peter, A. Harmonization of Immunoassays for Biomarkers in Diabetes Mellitus. Biotechnol. Adv. 2020, 39, 107359. [Google Scholar] [CrossRef]
- Phillips, P.J. HbA1c and Monitoring Glycaemia. Aust. Fam. Physician 2012, 41, 37–40. [Google Scholar]
- International Federation of Clinical Chemistry and Laboratory Medicine, IFCC Scientific Division; Mosca, A.; Goodall, I.; Hoshino, T.; Jeppsson, J.O.; John, W.G.; Little, R.R.; Miedema, K.; Myers, G.L.; Reinauer, H.; et al. Global Standardization of Glycated Hemoglobin Measurement: The Position of the IFCC Working Group. Clin. Chem. Lab. Med. 2007, 45, 1077–1080. [Google Scholar] [CrossRef]
- Heinemann, L.; Freckmann, G. Quality of HbA1c Measurement in the Practice: The German Perspective. J. Diabetes Sci. Technol. 2015, 9, 687–695. [Google Scholar] [CrossRef]
- Wang, M.; Hng, T.-M. HbA1c: More than Just a Number. Aust. J. Gen. Pract. 2021, 50, 628–632. [Google Scholar] [CrossRef]
- Grant, D.A.; Dunseath, G.J.; Churm, R.; Luzio, S.D. Comparison of a Point-of-Care Analyser for the Determination of HbA1c with HPLC Method. Pract. Lab. Med. 2017, 8, 26–29. [Google Scholar] [CrossRef][Green Version]
- Prabha, A.T. Comparison of the Analytical Techniques of Hba1c Estimation by Immunoturbidimetric and HPLC Methods in Diabetic and Pre-Diabetics Patients. Int. J. Clin. Biochem. Res. 2017, 4, 187–190. [Google Scholar]
- Metus, P.; Ruzzante, N.; Bonvicini, P.; Meneghetti, M.; Zaninotto, M.; Plebani, M. Immunoturbidimetric Assay of Glycated Hemoglobin. J. Clin. Lab. Anal. 1999, 13, 5–8. [Google Scholar] [CrossRef]
- EP05 A3: Evaluating Quantitative Measurement Precision. Available online: https://clsi.org/standards/products/method-evaluation/documents/ep05/ (accessed on 31 January 2025).
- Budd, J.R. EP09-A3: Measurement Procedure Comparison and Bias Estimation Using Patient Samples; Approved Guideline, 3rd ed.; Clinical and Laboratory: Wayne, PA, USA, 2018. [Google Scholar]
- EP21 Ed2: TAE Evaluation for Quantitative Measurement. Available online: https://clsi.org/standards/products/method-evaluation/documents/ep21/ (accessed on 11 January 2025).
- Theodorsson, E.; Magnusson, B. Full Method Validation in Clinical Chemistry. Accred Qual. Assur. 2017, 22, 235–246. [Google Scholar] [CrossRef][Green Version]
- Bland, J.M.; Altman, D.G. Statistical Methods for Assessing Agreement between Two Methods of Clinical Measurement. Lancet 1986, 1, 307–310. [Google Scholar] [CrossRef]
- Passing, H. Bablok, null A New Biometrical Procedure for Testing the Equality of Measurements from Two Different Analytical Methods. Application of Linear Regression Procedures for Method Comparison Studies in Clinical Chemistry, Part I. J. Clin. Chem. Clin. Biochem. 1983, 21, 709–720. [Google Scholar] [CrossRef]
- Lin, L.I. A Concordance Correlation Coefficient to Evaluate Reproducibility. Biometrics 1989, 45, 255–268. [Google Scholar] [CrossRef]
- Weykamp, C.; Siebelder, C.; Lenters, E.; Slingerland, R.; English, E. The Risk of Clinical Misinterpretation of HbA1c: Modelling the Impact of Biological Variation and Analytical Performance on HbA1c Used for Diagnosis and Monitoring of Diabetes. Clin. Chim. Acta 2023, 548, 117495. [Google Scholar] [CrossRef]
- EFLM Biological Variation. Available online: https://biologicalvariation.eu/ (accessed on 31 January 2025).
- Goodall, I. HbA1c Standardisation Destination--Global IFCC Standardisation. How, Why, Where and When—A Tortuous Pathway from Kit Manufacturers, via Inter-Laboratory Lyophilized and Whole Blood Comparisons to Designated National Comparison Schemes. Clin. Biochem. Rev. 2005, 26, 5–19. [Google Scholar]
- Harris, E.K. Some Theory of Reference Values. II. Comparison of Some Statistical Models of Intraindividual Variation in Blood Constituents. Clin. Chem. 1976, 22, 1343–1350. [Google Scholar] [CrossRef]





| HbA1c Application | Clinical Interpretation Error Category | Equations for Calculating Z-Values |
|---|---|---|
| Diagnosis | Underdiagnosis | |
| Overdiagnosis | ||
| Monitoring | Undertreatment | |
| Overtreatment |
| Parameter | HA-8180T a (Range) | K450TX a (Range) | Slope (95% CI) | Intercept (95% CI) | Correlation Coefficient b (95% CI) | CUSUM Test c |
|---|---|---|---|---|---|---|
| HbA1c NGSP (%) | 6.4 (4.9 to 8.8) | 6.4 (5.2 to 8.6) | 1.00 (1.00 to 1.04) | −0.10 (−0.33 to −0.1) | 0.976 (0.967 to 0.982) | 0.27 |
| HbA1c IFCC (mmol/mol) | 47 (30.0 to 73.0) | 46.5 (33.0 to 71.0) | 1.00 (1.00 to 1.04) | −1.00 (−2.91 to −1.00) | 0.979 (0.971 to 0.984) | 0.08 |
| Parameter | Pearson Correlation Coefficient (ρ) | Bias Correction Factor (Cb) | Concordance Coefficient (ρc) (95% CI) | Strength of Agreement a |
|---|---|---|---|---|
| HbA1c NGSP (%) | 0.9767 | 0.9973 | 0.9741 (0.9653 to 0.9806) | substantial |
| HbA1c IFCC (mmol/mol) | 0.9777 | 0.9975 | 0.9753 0.9670 to 0.9816 | substantial |
| Parameter | Decision Limit | Modelled Kenza 450TX (Bootstrap 95% CI) | Difference (Bootstrap 95% CI) | Relative Difference (Bootstrap 95% CI) |
|---|---|---|---|---|
| HbA1c NGSP (%) | 5.7 | 5.60 (5.57 to 5.64) | −0.10 (−0.13 to −0.06) | −1.75% (−2.24 to −1.08%) |
| 6.4 | 6.30 (6.29 to 6.35) | −0.10 (−0.10 to −0.05) | −1.56% (−1.61 to −0.78%) | |
| 7.0 | 6.90 (6.90 to 6.97) | −0.10 (−0.10 to −0.03) | −1.43% (−1.43 to −0.49%) | |
| 8.0 | 7.90 (7.90 to 8.00) | −0.10 (−0.10 to −0.005) | −1.25% (−1.25 to 0.062%) | |
| HbA1c IFCC (mmol/mol) | 39.0 | 38.00 (37.45 to 38.10) | −1.00 (−1.55 to −0.90) | −2.56% (−3.97 to −2.31%) |
| 47.0 | 46.00 (45.50 to 46.45) | −1.00 (−1.50 to −0.55) | −2.13% (−3.19 to −1.17%) | |
| 53.0 | 52.00 (51.59 to 52.74) | −1.00 (−1.41 to −0.25) | −1.89% (−2.67 to −0.48%) | |
| 64.0 | 63.00 (62.96 to 64.27) | −1.00 (−1.03 to −0.27) | −1.56% (−1.62 to 0.43%) |
| Bias (95% CI) | Lower P2.5 (95% CI) | Low ATE Limit (Interpretation) | Upper P97.5 (95% CI) | High ATE Limit (Interpretation) | |
|---|---|---|---|---|---|
| HbA1c NGSP (%) | −0.07 (−0.10 to −0.04) | −0.40 (−0.46 to 0.40) | −0.46% (passed) | 0.31 (0.30 to 0.40) | 0.46% (passed) |
| HbA1c IFCC (mmol/mol) | −0.74 (−1.01 to −0.40) | −4.00 (−5.00 to −4.00) | −5 mmol/mol (passed) | 4.00 (3.58 to 4.00) | 5 mmol/mol (passed) |
| Level | Mean | CVr (%) | CVday (%) | CVwl (%) | |
|---|---|---|---|---|---|
| HbA1c NGSP (%) | Low | 5.4 | 0.89 | 0.90 | 1.26 |
| Medium | 9.1 | 0.68 | 1.46 | 1.61 | |
| High | 12.4 | 1.39 | 1.45 | 2.00 | |
| HbA1c IFCC (mmol/mol) | Low | 35 | 1.5 | 1.5 | 2.1 |
| Medium | 76 | 0.9 | 1.9 | 2.1 | |
| High | 112 | 1.7 | 1.8 | 2.4 |
Disclaimer/Publisher’s Note: The statements, opinions and data contained in all publications are solely those of the individual author(s) and contributor(s) and not of MDPI and/or the editor(s). MDPI and/or the editor(s) disclaim responsibility for any injury to people or property resulting from any ideas, methods, instructions or products referred to in the content. |
© 2025 by the authors. Licensee MDPI, Basel, Switzerland. This article is an open access article distributed under the terms and conditions of the Creative Commons Attribution (CC BY) license (https://creativecommons.org/licenses/by/4.0/).
Share and Cite
Fagnani, L.; De Angelis, S.; Bellio, P.; Frascaria, P.; Tennina, R.; Alloggia, G.; Gentile, F.; Piccirilli, A.; Perilli, M.; Celenza, G. Evaluation of the Biolabo Turbidimetric Assay for Automated Determination of Haemoglobin A1c. Diagnostics 2025, 15, 969. https://doi.org/10.3390/diagnostics15080969
Fagnani L, De Angelis S, Bellio P, Frascaria P, Tennina R, Alloggia G, Gentile F, Piccirilli A, Perilli M, Celenza G. Evaluation of the Biolabo Turbidimetric Assay for Automated Determination of Haemoglobin A1c. Diagnostics. 2025; 15(8):969. https://doi.org/10.3390/diagnostics15080969
Chicago/Turabian StyleFagnani, Lorenza, Simonetta De Angelis, Pierangelo Bellio, Patrizia Frascaria, Rita Tennina, Giovanni Alloggia, Francesco Gentile, Alessandra Piccirilli, Mariagrazia Perilli, and Giuseppe Celenza. 2025. "Evaluation of the Biolabo Turbidimetric Assay for Automated Determination of Haemoglobin A1c" Diagnostics 15, no. 8: 969. https://doi.org/10.3390/diagnostics15080969
APA StyleFagnani, L., De Angelis, S., Bellio, P., Frascaria, P., Tennina, R., Alloggia, G., Gentile, F., Piccirilli, A., Perilli, M., & Celenza, G. (2025). Evaluation of the Biolabo Turbidimetric Assay for Automated Determination of Haemoglobin A1c. Diagnostics, 15(8), 969. https://doi.org/10.3390/diagnostics15080969

