The Effect of Neutrophil-to-Lymphocyte Ratio on Prognosis in Malignant Ovarian Germ Cell Tumors
Abstract
1. Introduction
2. Materials and Methods
2.1. Study Design and Study Population Selection
2.2. Outcomes
2.3. Statistical Analysis
3. Results
3.1. Characteristics of the Cohort
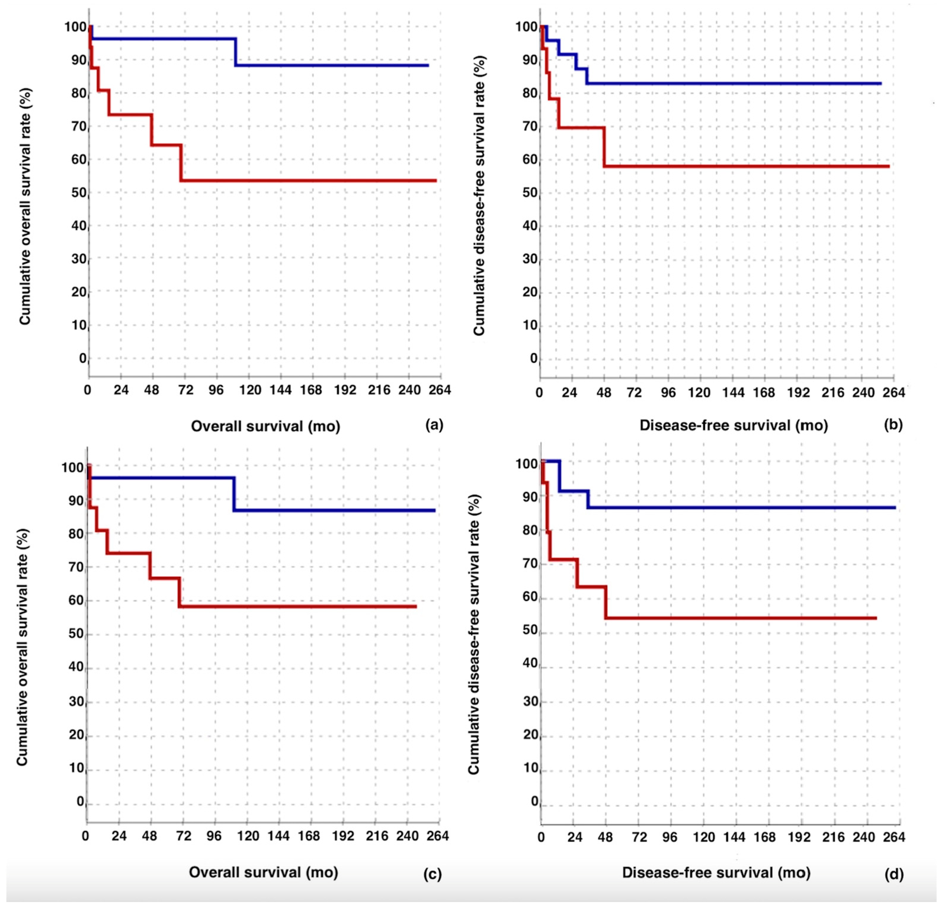
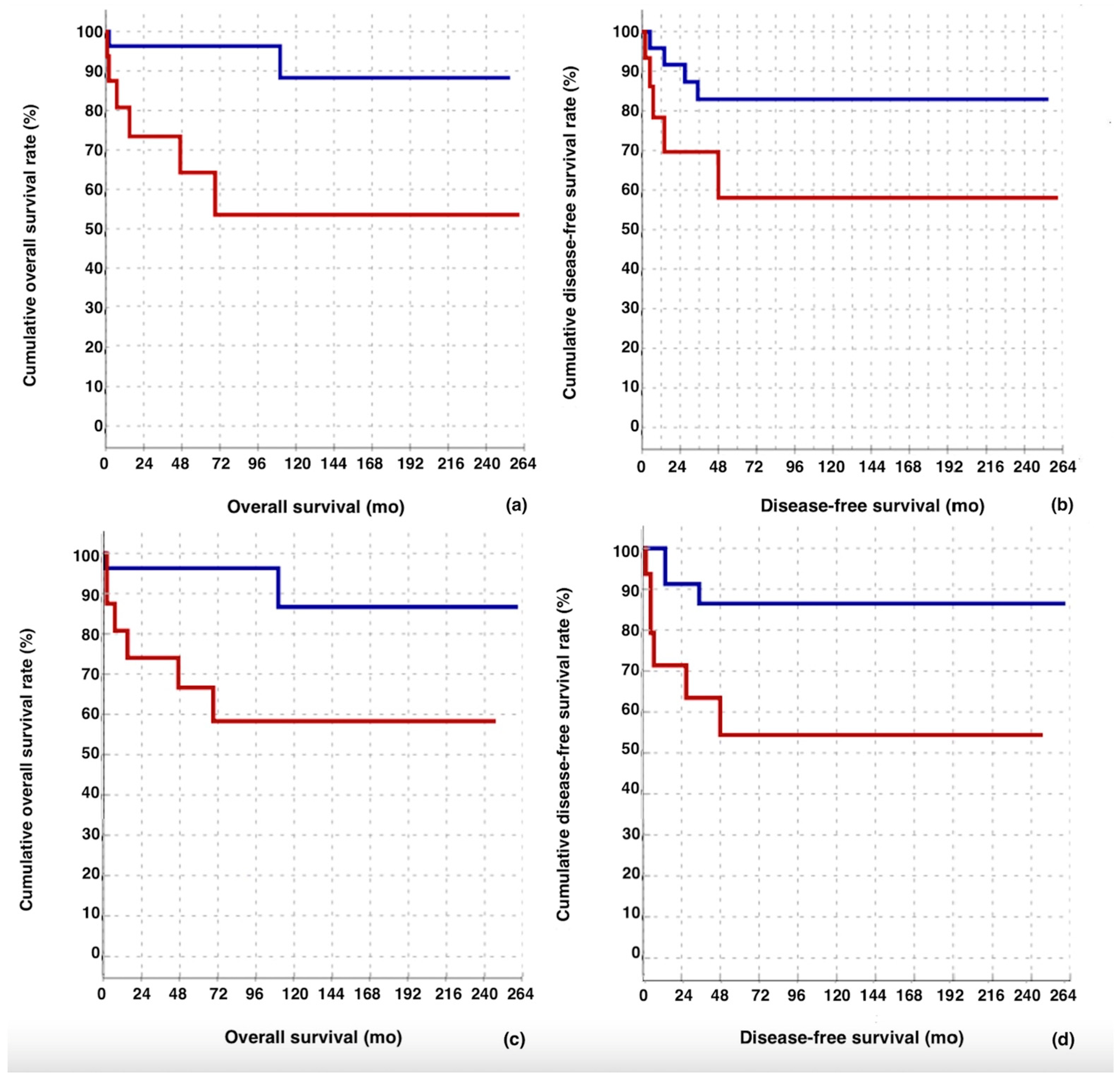
3.2. Determination of NLR Cut-Off Value for Predicting Survival During the Follow-Up Period
3.3. Evaluation of Factors Affecting Overall Survival
3.4. Evaluation of Factors Affecting Disease-Free Survival
3.5. Comparison Between Variables Based on Neutrophil-to-Lymphocyte Ratio Cut-Off Value
3.6. The Difference in NLR Values over Time and in Comparison with Patients Who Died and Those with Recurrence
4. Discussion
5. Conclusions
Supplementary Materials
Author Contributions
Funding
Institutional Review Board Statement
Informed Consent Statement
Data Availability Statement
Conflicts of Interest
References
- Smith, H.O.; Berwick, M.; Verschraegen, C.F.; Wiggins, C.; Lansing, L.; Muller, C.Y.; Qualls, C.R. Incidence and Survival Rates for Female Malignant Germ Cell Tumors. Obstet. Gynecol. 2006, 107, 1075–1085. [Google Scholar] [CrossRef] [PubMed]
- Arora, R.S.; Alston, R.D.; Eden, T.O.B.; Geraci, M.; Birch, J.M. Comparative Incidence Patterns and Trends of Gonadal and Extragonadal Germ Cell Tumors in England, 1979 to 2003. Cancer 2012, 118, 4290–4297. [Google Scholar] [CrossRef] [PubMed]
- Talerman, A. Germ Cell Tumors of the Ovary. In Blaustein’s Pathology of the Female Genital Tract; Kurman, R.J., Ed.; Springer: New York, NY, USA, 2002; p. 1391. [Google Scholar]
- Royal College of Obstetricians & Gynaecologists Management of Female Malignant Ovarian Germ Cell Tumours Scientific Impact Paper No. 52. Available online: https://www.rcog.org.uk/media/spph3igq/sip_52.pdf (accessed on 13 February 2025).
- Birbas, E.; Kanavos, T.; Gkrozou, F.; Skentou, C.; Daniilidis, A.; Vatopoulou, A. Ovarian Masses in Children and Adolescents: A Review of the Literature with Emphasis on the Diagnostic Approach. Children 2023, 10, 1114. [Google Scholar] [CrossRef] [PubMed]
- Murugaesu, N.; Schmid, P.; Dancey, G.; Agarwal, R.; Holden, L.; McNeish, I.; Savage, P.M.; Newlands, E.S.; Rustin, G.J.S.; Seckl, M.J. Malignant Ovarian Germ Cell Tumors: Identification of Novel Prognostic Markers and Long-Term Outcome After Multimodality Treatment. J. Clin. Oncol. 2006, 24, 4862–4866. [Google Scholar] [CrossRef]
- Cho, H.; Hur, H.W.; Kim, S.W.; Kim, S.H.; Kim, J.H.; Kim, Y.T.; Lee, K. Pre-Treatment Neutrophil to Lymphocyte Ratio Is Elevated in Epithelial Ovarian Cancer and Predicts Survival after Treatment. Cancer Immunol. Immunother. 2009, 58, 15–23. [Google Scholar] [CrossRef]
- El Bairi, K.; Al Jarroudi, O.; Afqir, S. Inexpensive Systemic Inflammatory Biomarkers in Ovarian Cancer: An Umbrella Systematic Review of 17 Prognostic Meta-Analyses. Front. Oncol. 2021, 11, 694821. [Google Scholar] [CrossRef]
- Kusumanto, Y.H.; Dam, W.A.; Hospers, G.A.P.; Meijer, C.; Mulder, N.H. Platelets and Granulocytes, in Particular the Neutrophils, Form Important Compartments for Circulating Vascular Endothelial Growth Factor. Angiogenesis 2003, 6, 283–287. [Google Scholar] [CrossRef]
- Chen, Y.; Ouyang, Y.; Li, Z.; Wang, X.; Ma, J. S100A8 and S100A9 in Cancer. Biochim. Biophys. Acta (BBA)—Rev. Cancer 2023, 1878, 188891. [Google Scholar] [CrossRef]
- Gebhardt, C.; Németh, J.; Angel, P.; Hess, J. S100A8 and S100A9 in Inflammation and Cancer. Biochem. Pharmacol. 2006, 72, 1622–1631. [Google Scholar] [CrossRef]
- Srikrishna, G. S100A8 and S100A9: New Insights into Their Roles in Malignancy. J. Innate Immun. 2012, 4, 31–40. [Google Scholar] [CrossRef]
- Roxburgh, C.S.; McMillan, D.C. Role of Systemic Inflammatory Response in Predicting Survival in Patients with Primary Operable Cancer. Future Oncol. 2010, 6, 149–163. [Google Scholar] [CrossRef] [PubMed]
- Xiong, S.; Dong, L.; Cheng, L. Neutrophils in Cancer Carcinogenesis and Metastasis. J. Hematol. Oncol. 2021, 14, 173. [Google Scholar] [CrossRef]
- Lee, W.; Ko, S.Y.; Mohamed, M.S.; Kenny, H.A.; Lengyel, E.; Naora, H. Neutrophils Facilitate Ovarian Cancer Premetastatic Niche Formation in the Omentum. J. Exp. Med. 2019, 216, 176–194. [Google Scholar] [CrossRef]
- Jia, D.; Nagaoka, Y.; Katsumata, M.; Orsulic, S. Inflammation Is a Key Contributor to Ovarian Cancer Cell Seeding. Sci. Rep. 2018, 8, 12394. [Google Scholar] [CrossRef]
- Yoshida, M.; Taguchi, A.; Kawana, K.; Adachi, K.; Kawata, A.; Ogishima, J.; Nakamura, H.; Fujimoto, A.; Sato, M.; Inoue, T.; et al. Modification of the Tumor Microenvironment in KRAS or C-MYC-Induced Ovarian Cancer-Associated Peritonitis. PLoS ONE 2016, 11, e0160330. [Google Scholar] [CrossRef] [PubMed]
- Powell, D.; Lou, M.; Barros Becker, F.; Huttenlocher, A. Cxcr1 Mediates Recruitment of Neutrophils and Supports Proliferation of Tumor-Initiating Astrocytes in Vivo. Sci. Rep. 2018, 8, 13285. [Google Scholar] [CrossRef]
- Tajmul, M.; Parween, F.; Singh, L.; Mathur, S.R.; Sharma, J.B.; Kumar, S.; Sharma, D.N.; Yadav, S. Identification and Validation of Salivary Proteomic Signatures for Non-Invasive Detection of Ovarian Cancer. Int. J. Biol. Macromol. 2018, 108, 503–514. [Google Scholar] [CrossRef] [PubMed]
- Gondo, T.; Nakashima, J.; Ohno, Y.; Choichiro, O.; Horiguchi, Y.; Namiki, K.; Yoshioka, K.; Ohori, M.; Hatano, T.; Tachibana, M. Prognostic Value of Neutrophil-to-Lymphocyte Ratio and Establishment of Novel Preoperative Risk Stratification Model in Bladder Cancer Patients Treated With Radical Cystectomy. Urology 2012, 79, 1085–1091. [Google Scholar] [CrossRef]
- Azab, B.; Shah, N.; Radbel, J.; Tan, P.; Bhatt, V.; Vonfrolio, S.; Habeshy, A.; Picon, A.; Bloom, S. Pretreatment Neutrophil/Lymphocyte Ratio Is Superior to Platelet/Lymphocyte Ratio as a Predictor of Long-Term Mortality in Breast Cancer Patients. Med. Oncol. 2013, 30, 432. [Google Scholar] [CrossRef]
- Ozdemir, Y.; Akin, M.L.; Sucullu, I.; Balta, A.Z.; Yucel, E. Pretreatment Neutrophil/Lymphocyte Ratio as a Prognostic Aid in Colorectal Cancer. Asian Pac. J. Cancer Prev. 2014, 15, 2647–2650. [Google Scholar] [CrossRef]
- Williams, K.A.; Labidi-Galy, S.I.; Terry, K.L.; Vitonis, A.F.; Welch, W.R.; Goodman, A.; Cramer, D.W. Prognostic Significance and Predictors of the Neutrophil-to-Lymphocyte Ratio in Ovarian Cancer. Gynecol. Oncol. 2014, 132, 542–550. [Google Scholar] [CrossRef] [PubMed]
- Mizunuma, M.; Yokoyama, Y.; Futagami, M.; Aoki, M.; Takai, Y.; Mizunuma, H. The Pretreatment Neutrophil-to-Lymphocyte Ratio Predicts Therapeutic Response to Radiation Therapy and Concurrent Chemoradiation Therapy in Uterine Cervical Cancer. Int. J. Clin. Oncol. 2015, 20, 989–996. [Google Scholar] [CrossRef] [PubMed]
- Abu-Shawer, O.; Abu-Shawer, M.; Hirmas, N.; Alhouri, A.; Massad, A.; Alsibai, B.; Sultan, H.; Hammo, H.; Souleiman, M.; Shebli, Y.; et al. Hematologic Markers of Distant Metastases and Poor Prognosis in Gynecological Cancers. BMC Cancer 2019, 19, 141. [Google Scholar] [CrossRef] [PubMed]
- Ni, L.; Tao, J.; Xu, J.; Yuan, X.; Long, Y.; Yu, N.; Wu, R.; Zhang, Y. Prognostic Values of Pretreatment Neutrophil-to-Lymphocyte and Platelet-to-Lymphocyte Ratios in Endometrial Cancer: A Systematic Review and Meta-Analysis. Arch. Gynecol. Obstet. 2020, 301, 251–261. [Google Scholar] [CrossRef]
- Ethier, J.-L.; Desautels, D.N.; Templeton, A.J.; Oza, A.; Amir, E.; Lheureux, S. Is the Neutrophil-to-Lymphocyte Ratio Prognostic of Survival Outcomes in Gynecologic Cancers? A Systematic Review and Meta-Analysis. Gynecol. Oncol. 2017, 145, 584–594. [Google Scholar] [CrossRef]
- Yin, X.; Wu, L.; Yang, H.; Yang, H. Prognostic Significance of Neutrophil–Lymphocyte Ratio (NLR) in Patients with Ovarian Cancer. Medicine 2019, 98, e17475. [Google Scholar] [CrossRef]
- Bakacak, M.; Serin, S.; Ercan, O.; Kostu, B.; Bostanci, M.S.; Bakacak, Z.; Kiran, H.; Kiran, G. Utility of Preoperative Neutrophil-to-Lymphocyte and Platelet-to-Lymphocyte Ratios to Distinguish Malignant from Benign Ovarian Masses. J. Turk. Ger. Gynecol. Assoc. 2016, 17, 21–25. [Google Scholar] [CrossRef]
- Berek, J.S.; Renz, M.; Kehoe, S.; Kumar, L.; Friedlander, M. Cancer of the Ovary, Fallopian Tube, and Peritoneum: 2021 Update. Int. J. Gynecol. Obstet. 2021, 155, 61–85. [Google Scholar] [CrossRef] [PubMed]
- Saglik Bakanligi ÖLÜM BİLDİRİM SİSTEMİ. Available online: https://obs.saglik.gov.tr/Account/Login (accessed on 7 February 2025).
- National Library of Medicine Disease-Free Survival. Available online: https://www.ncbi.nlm.nih.gov/mesh/?term=disease-free+survival (accessed on 13 February 2025).
- National Cancer Institute Overall Survival. Available online: https://www.cancer.gov/publications/dictionaries/cancer-terms/def/overall-survival (accessed on 13 February 2025).
- Nemoto, T.; Endo, S.; Isohata, N.; Takayanagi, D.; Nemoto, D.; Aizawa, M.; Utano, K.; Togashi, K. Change in the Neutrophil-to-lymphocyte Ratio during Chemotherapy May Predict Prognosis in Patients with Advanced or Metastatic Colorectal Cancer. Mol. Clin. Oncol. 2021, 14, 107. [Google Scholar] [CrossRef]
- Jankovich, M.; Jankovichova, T.; Ondrus, D.; Breza, J. Neutrophil-to-Lymphocyte Ratio as a Predictor of Preoperative Tumor Staging in Testicular Germ Cell Tumors. Bratisl. Med. J. 2017, 118, 510–512. [Google Scholar] [CrossRef]
- Seyidova, Y.; Seyfettinoğlu, S.; Küçükgöz Güleç, Ü.; Khatib, G.; Güzel, A.B.; Gümürdülü, D.; Paydaş, S.; Vardar, M.A. The Effect of Clinicopathological Features on Prognosis in Malignant Ovarian Germ Cell Tumors. Cukurova Med. J. 2023, 48, 54–63. [Google Scholar] [CrossRef]
- Ayhan, A.; Tuncer, Z.S.; Yanik, F.; Bükülmez, O.; Yanik, A.; Küçükali, T. Malignant Germ Cell Tumors of the Ovary: Hacettepe Hospital Experience. Acta Obstet. Gynecol. Scand. 1995, 74, 384–390. [Google Scholar] [CrossRef] [PubMed]
- Guo, H.; Chen, H.; Wang, W.; Chen, L. Clinicopathological Features, Prognostic Factors, Survival Trends, and Treatment of Malignant Ovarian Germ Cell Tumors: A SEER Database Analysis. Oncol. Res. Treat. 2021, 44, 145–153. [Google Scholar] [CrossRef] [PubMed]
- Yasui, S.; Takata, T.; Kamitani, Y.; Mae, Y.; Kurumi, H.; Ikebuchi, Y.; Yoshida, A.; Kawaguchi, K.; Yashima, K.; Isomoto, H. Neutrophil-to-Lymphocyte Ratio Is a Useful Marker for Predicting Histological Types of Early Gastric Cancer. J. Clin. Med. 2021, 10, 791. [Google Scholar] [CrossRef]
- Ahmed, N.; Stenvers, K.L. Getting to Know Ovarian Cancer Ascites: Opportunities for Targeted Therapy-Based Translational Research. Front. Oncol. 2013, 3, 256. [Google Scholar] [CrossRef]
- Kumar, S.; Shah, J.P.; Bryant, C.S.; Imudia, A.N.; Cote, M.L.; Ali-fehmi, R.; Malone, J.M.; Morris, R.T. The Prevalence and Prognostic Impact of Lymph Node Metastasis in Malignant Germ Cell Tumors of the Ovary. Gynecol. Oncol. 2008, 110, 125–132. [Google Scholar] [CrossRef]
- Mahdi, H.; Swensen, R.E.; Hanna, R.; Kumar, S.; Ali-Fehmi, R.; Semaan, A.; Tamimi, H.; Morris, R.T.; Munkarah, A.R. Prognostic Impact of Lymphadenectomy in Clinically Early Stage Malignant Germ Cell Tumour of the Ovary. Br. J. Cancer 2011, 105, 493–497. [Google Scholar] [CrossRef]
- Lee, C.W.; Song, M.J.; Park, S.T.; Ki, E.Y.; Lee, S.J.; Lee, K.H.; Ryu, K.S.; Park, J.S.; Hur, S.Y. Residual Tumor after the Salvage Surgery Is the Major Risk Factors for Primary Treatment Failure in Malignant Ovarian Germ Cell Tumors: A Retrospective Study of Single Institution. World J. Surg. Oncol. 2011, 9, 123. [Google Scholar] [CrossRef]
- Nasioudis, D.; Chapman-Davis, E.; Frey, M.K.; Caputo, T.A.; Witkin, S.S.; Holcomb, K. Prognostic Significance of Residual Disease in Advanced Stage Malignant Ovarian Germ Cell Tumors. Int. J. Gynecol. Cancer 2019, 29, 554–559. [Google Scholar] [CrossRef]
- Salhi, H.; Mansouri, H.; Ayadi, M.A.; Achouri, L.; Zemni, I.; Rahal, K. EPV200/#432 Clinical and Survival Outcomes of Pure Dysgerminoma of Ovary: A Single Institutional Experience of 31 Patients. Int. J. Gynecol. Cancer 2021, 31, A108–A109. [Google Scholar]



| Variables | n (%) or Mean ± SD (n = 44) | ||
|---|---|---|---|
| Subtype of malign germ cell tumor | Dysgerminoma | 13 (29.5%) | |
| Mixed Germ Cell Tumor | 8 (18.2%) | ||
| Yolk Sac | 8 (18.2%) | ||
| Immature Teratoma | Grade I | 2 (4.5%) | |
| Grade II | 5 (11.4%) | ||
| Grade III | 2 (4.5%) | ||
| Embryonal Carcinomas | 1 (2.3%) | ||
| SCC Arising in Background of Teratoma | 3 (6.8%) | ||
| Malignant Struma Ovarii | 2 (4.5%) | ||
| LVSI | (−) | 14 (31.8%) | |
| (+) | 30 (68.2%) | ||
| Presence of capsule invasion | (−) | 13 (29.5%) | |
| (+) | 31 (70.5%) | ||
| Initial tumor size (cm) | 17.4 ± 7.3 | ||
| Presence of necrosis | (−) | 9 (20.5%) | |
| (+) | 35 (79.5%) | ||
| Presence of ascites | (−) | 14 (31.8%) | |
| (+) | 30 (68.2%) | ||
| FIGO Stage | Stage 1 | Stage 1A | 9 (20.5%) |
| Stage 1C | 12 (27.3%) | ||
| Stage 2 | Stage 2A | 1 (2.3%) | |
| Stage 2B | 4 (9.1%) | ||
| Stage 2C | 1 (2.3%) | ||
| Stage 3 | Stage 3A | 2 (4.5%) | |
| Stage 3B | 2 (4.5%) | ||
| Stage 3C | 11 (25.0%) | ||
| Stage 4 | 2 (4.5%) | ||
| Chemotherapy | (−) | 18 (40.9%) | |
| (+) | BEP | 24 (54.5%) | |
| Etoposide Cisplatin | 1 (2.3%) | ||
| Carboplatin Paclitaxel | 1 (2.3%) | ||
| Number of chemotherapy cycles (n = 26) | II | 2 (4.5%) | |
| III | 13 (29.5%) | ||
| IV | 7 (15.9%) | ||
| VI | 4 (9.1%) | ||
| Chemotherapy side effects | (−) | 39 (88.6%) | |
| (+) | Febrile Neutropenia | 1 (2.3%) | |
| Pancytopenia + Febrile Neutropenia + Esophageal Candida | 1 (2.3%) | ||
| Paraneoplastic Dermatomyositis | 1 (2.3%) | ||
| Right Hemiplegia | 1 (2.3%) | ||
| Thrombocytopenia | 1 (2.3%) | ||
| Metastasis | (−) | 19 (43.2%) | |
| (+) | 25 (56.8%) | ||
| Recurrence | (−) | 35 (79.5%) | |
| (+) | 9 (20.5%) | ||
| Death | (−) | 36 (81.8%) | |
| (+) | Covid | 1 (2.3%) | |
| Febrile Neutropenia | 1 (2.3%) | ||
| Sepsis | 3 (6.8%) | ||
| Sepsis + Pulmonary Embolism | 1 (2.3%) | ||
| Respiratory Failure | 2 (4.5%) | ||
| Follow-up duration (mo) | 86.3 ± 76.4 | ||
| Overall Survival | Disease-Free Survival | |||||
|---|---|---|---|---|---|---|
| Univariate Model | ||||||
| HR | 95% CI | p | HR | 95% CI | p | |
| Age (years) | 1.038 | 0.092–1.087 | 0.109 | 1.075 | 1.017–1.136 | 0.010 |
| Weight (cm) | 1.048 | 1.003–1.095 | 0.037 | 1.013 | 0.958–1.071 | 0.656 |
| BMI | 1.109 | 0.999–1.231 | 0.052 | 1.017 | 0.875–1.181 | 0.830 |
| Pregnancy | 5.319 | 0.632–44.77 | 0.124 | 3.819 | 0.476–30.641 | 0.207 |
| Presence of comorbidity | 5.754 | 1.326–24.962 | 0.019 | 0.043 | 0.000–>100 | 0.563 |
| Initial tumor size (cm) | 1.075 | 0.983–1.175 | 0.113 | 1.005 | 0.913–1.107 | 0.919 |
| Residual tumor | 19.185 | 4.336–84.879 | <0.001 | 5.073 | 0.999–25.765 | 0.050 |
| Residual tumor size (cm) | 0.956 | 0.755–1.209 | 0.704 | 0.674 | 0.326–1.392 | 0.287 |
| FIGO Stage | 2.340 | 1.092–5.012 | 0.029 | 2.110 | 1.081–4.120 | 0.029 |
| Dysgerminoma-Non-dysgerminoma | 44.633 | 0.109–>100 | 0.216 | 4.956 | 0.618–39.761 | 0.132 |
| Pathology subtype | 1.317 | 0.904–1.920 | 0.152 | 1.216 | 0.839–1.762 | 0.302 |
| Lymphadenectomy | 0.276 | 0.034–2.260 | 0.230 | 0.550 | 0.114–2.652 | 0.457 |
| Lymph node involvement | 1.117 | 0.223–5.599 | 0.893 | 0.485 | 0.060–3.886 | 0.495 |
| LVSI | 2.875 | 0.353–23.404 | 0.324 | 3.376 | 0.422–27.023 | 0.252 |
| Capsule invasion | 1.193 | 0.240–5.920 | 0.829 | 1.567 | 0.325–7.551 | 0.575 |
| Presence of necrosis | 1.202 | 0.146–9.934 | 0.864 | 0.692 | 0.143–3.342 | 0.647 |
| Presence of ascites | 34.474 | 0.050–>100 | 0.288 | 1.448 | 0.299–7.012 | 0.646 |
| Chemotherapy | 0.512 | 0.126–2.071 | 0.348 | 0.421 | 0.112–1.577 | 0.199 |
| Chemotherapy regimen | 3.654 | 0.372–35.856 | 0.266 | 3.322 | 0.343–32.137 | 0.300 |
| BEP regimen | 0.375 | 0.089–1.584 | 0.182 | 0.305 | 0.076–1.225 | 0.094 |
| Number of chemotherapy cycles | 0.907 | 0.641–1.284 | 0.583 | 0.793 | 0.557–1.128 | 0.196 |
| Chemotherapy side effects | 4.712 | 1.115–19.914 | 0.035 | 2.317 | 0.481–11.175 | 0.295 |
| Recurrence | 3.729 | 0.931–14.929 | 0.063 | - | - | - |
| Metastasis | 5.385 | 0.662–43.825 | 0.115 | 3.101 | 0.643–14.949 | 0.158 |
| Overall Survival | Disease-free Survival | |||||
| Multivariate Model | ||||||
| HR | 95% CI | p | HR | 95% CI | p | |
| Age | - | - | - | 1.067 | 1.008–1.129 | 0.025 |
| Presence of comorbidity | 33.666 | 1.457–777.850 | 0.028 | - | - | - |
| Residual tumor | 51.847 | 4.196–640.676 | 0.002 | - | - | - |
| Mean ± SD | Overall Survival | Disease-Free Survival | ||||||
|---|---|---|---|---|---|---|---|---|
| Univariate Model | ||||||||
| HR | % 95 CI | p | HR | % 95 CI | p | |||
| Hb (g/dL) | Postop | 10.7 ± 1.2 | 0.981 | 0.553–1.741 | 0.948 | 0.484 | 0.278–0.841 | 0.010 |
| Post-CT | 11.4 ± 1.5 | 0.405 | 0.197–0.833 | 0.014 | 0.539 | 0.291–1.000 | 0.050 | |
| Htc (%) | Postop | 32.2 ± 3.2 | 0.944 | 0.773–1.154 | 0.575 | 0.813 | 0.688–0.960 | 0.015 |
| Post-CT | 34.1 ± 4.1 | 0.753 | 0.590–0.960 | 0.022 | 0.799 | 0.640–0.997 | 0.047 | |
| Neutrophil (×103/µL) | Preop | 5609.5 ± 2677.1 | 1.000 | 1.000–1.000 | 0.001 | 1.000 | 1.000–1.000 | 0.888 |
| Lymphocyte (×103/µL) | Post-CT | 1433.8 ± 432.3 | 0.997 | 0.995–1.000 | 0.047 | 0.998 | 0.995–1.000 | 0.098 |
| WBC (×103/µL) | Preop | 7941.1 ± 3431.2 | 1.000 | 1.000–1.000 | 0.003 | 1.000 | 1.000–1.000 | 0.824 |
| Beta-hCG (mIU/mL) | Post-CT | 0.8 ± 1 | 2.028 | 1.078–3.817 | 0.028 | 1.911 | 1.123–3.250 | 0.017 |
| NLR | Preop | 3.5 ± 1.7 | 1.639 | 1.226–2.191 | 0.001 | 1.211 | 0.755–1.940 | 0.427 |
| CEA (ug/L) | Preop | 3.2 ± 4.8 | 1.095 | 0.982–1.221 | 0.102 | 1.188 | 1.019–1.385 | 0.028 |
| Postop | 4.3 ± 10.7 | 1.036 | 1.002–1.071 | 0.039 | 1.090 | 0.994–1.196 | 0.068 | |
| Ca 125 (U/mL) | Preop | 222.2 ± 297.1 | 1.001 | 1.000–1.003 | 0.028 | 1.002 | 1.000–1.003 | 0.029 |
| Post-CT | 15.3 ± 10.2 | 1.125 | 1.007–1.256 | 0.037 | 1.101 | 1.010–1.200 | 0.029 | |
| Ca 15-3 (U/mL) | Post-CT | 19.4 ± 9.8 | 1.077 | 0.993–1.169 | 0.074 | 1.104 | 1.003–1.215 | 0.042 |
| AFP (ng/mL) | Preop | 3966.9 ± 7002 | 1.000 | 1.000–1.000 | 0.010 | 1.000 | 1.000–1.000 | 0.562 |
| Postop | 458.2 ± 895 | 1.001 | 1.000–1.001 | 0.004 | 1.001 | 1.000–1.001 | 0.009 | |
| Post-CT | 5.1 ± 8 | 1.064 | 1.004–1.128 | 0.038 | 1.054 | 0.997–1.114 | 0.063 | |
| Overall survival | Disease-free survival | |||||||
| Multivariate Model | ||||||||
| HR | % 95 CI | p | HR | % 95 CI | p | |||
| Hb (g/dL) | Preop | - | - | - | - | - | - | |
| Postop | - | - | - | 0.517 | 0.290–0.922 | 0.025 | ||
| Post-CT | - | - | - | - | - | - | ||
| AFP (ng/mL) | Preop | - | - | - | - | - | - | |
| Postop | 1.002 | 1.001–1.003 | 0.004 | - | - | - | ||
| Post-CT | - | - | - | - | - | - | ||
| Median Survival (mo) | 95% CI | p | Median Disease-Free Survival (mo) | 95% CI | p | ||
|---|---|---|---|---|---|---|---|
| NLR | <3.69 | 234.0 | 206.2–261.8 | 0.010 | 215.0 | 179.2–250.8 | 0.094 |
| ≥3.69 | 153.2 | 87.6–218.8 | 159.3 | 88.8–229.7 | |||
| Total | 207.2 | 173.9–240.6 | 199.6 | 164.6–234.5 | |||
| FIGO Stage | Early (I–II) | 236.8 | 204.7–269.0 | 0.028 | 228.7 | 194.6–262.8 | 0.023 |
| Late (III–IV) | 155.0 | 97.8–212.2 | 142.3 | 79.2–205.3 | |||
| Total | 207.2 | 173.9–240.6 | 199.6 | 164.6–234.5 | |||
| Recurrence (−) (n = 35) | Recurrence (+) (n = 9) | p | Death (−) (n = 36) | Death (+) (n = 8) | p | ||
|---|---|---|---|---|---|---|---|
| n (%) or Mean ± SD | n (%) or Mean ± SD | ||||||
| NLR | Preop | 3.49 ± 1.81 | 3.60 ± 1.33 | 0.590 * | 3.13 ± 1.12 | 5.25 ± 2.73 | 0.009 * |
| Postop | 5.50 ± 4.50 | 7.55 ± 7.48 | 0.494 * | 5.58 ± 4.42 | 7.44 ± 8.10 | 0.726 * | |
| Post-CT | 2.05 ± 0.93 | 2.02 ± 1.15 | 0.770 * | 2.03 ± 0.92 | 2.13 ± 1.17 | 0.649 * | |
| Change Over Time | |||||||
| Preop/Postop | 2.01 ± 4.84 | 3.94 ± 8.04 | 0.673 * | 2.45 ± 4.75 | 2.20 ± 8.88 | 0.315 * | |
| Intragroup change p | 0.035 ** | 0.314 ** | 0.003 ** | 0.779 ** | |||
| Preop/Post-CT | −1.34 ± 1.12 | −2.17 ± 1.71 | 0.380 * | −1.32 ± 1.12 | −2.24 ± 1.66 | 0.269 * | |
| Intragroup change p | 0.001 ** | 0.043 ** | 0.001 ** | 0.043 ** | |||
| Postop/Post-CT | −2.61 ± 3.89 | −4.82 ± 8.26 | 0.974 * | −2.83 ± 3.79 | −3.93 ± 8.70 | 0.313 * | |
| Intragroup change p | 0.002 ** | 0.225 ** | 0.471 ** | 0.686 ** | |||
Disclaimer/Publisher’s Note: The statements, opinions and data contained in all publications are solely those of the individual author(s) and contributor(s) and not of MDPI and/or the editor(s). MDPI and/or the editor(s) disclaim responsibility for any injury to people or property resulting from any ideas, methods, instructions or products referred to in the content. |
© 2025 by the authors. Licensee MDPI, Basel, Switzerland. This article is an open access article distributed under the terms and conditions of the Creative Commons Attribution (CC BY) license (https://creativecommons.org/licenses/by/4.0/).
Share and Cite
Arslan, Y.; Ozcivit Erkan, I.B.; Aytekin, A.M.; Turker Saricoban, C.; Acikgoz, A.S.; Bese, T.; Kuru, O. The Effect of Neutrophil-to-Lymphocyte Ratio on Prognosis in Malignant Ovarian Germ Cell Tumors. Diagnostics 2025, 15, 1040. https://doi.org/10.3390/diagnostics15081040
Arslan Y, Ozcivit Erkan IB, Aytekin AM, Turker Saricoban C, Acikgoz AS, Bese T, Kuru O. The Effect of Neutrophil-to-Lymphocyte Ratio on Prognosis in Malignant Ovarian Germ Cell Tumors. Diagnostics. 2025; 15(8):1040. https://doi.org/10.3390/diagnostics15081040
Chicago/Turabian StyleArslan, Yagmur, Ipek Betul Ozcivit Erkan, Atacem Mert Aytekin, Cansu Turker Saricoban, Abdullah Serdar Acikgoz, Tugan Bese, and Oguzhan Kuru. 2025. "The Effect of Neutrophil-to-Lymphocyte Ratio on Prognosis in Malignant Ovarian Germ Cell Tumors" Diagnostics 15, no. 8: 1040. https://doi.org/10.3390/diagnostics15081040
APA StyleArslan, Y., Ozcivit Erkan, I. B., Aytekin, A. M., Turker Saricoban, C., Acikgoz, A. S., Bese, T., & Kuru, O. (2025). The Effect of Neutrophil-to-Lymphocyte Ratio on Prognosis in Malignant Ovarian Germ Cell Tumors. Diagnostics, 15(8), 1040. https://doi.org/10.3390/diagnostics15081040

