Chronic Lymphocytic Leukemia: Investigation of Survival and Prognostic Factors with Drug-Related Remission
Abstract
1. Introduction
2. Materials and Methods
2.1. Study Design and Sample Information
2.2. Data Collection and Study Variables
2.3. CLL Diagnosis and Scoring Systems
2.4. Statistical Analysis
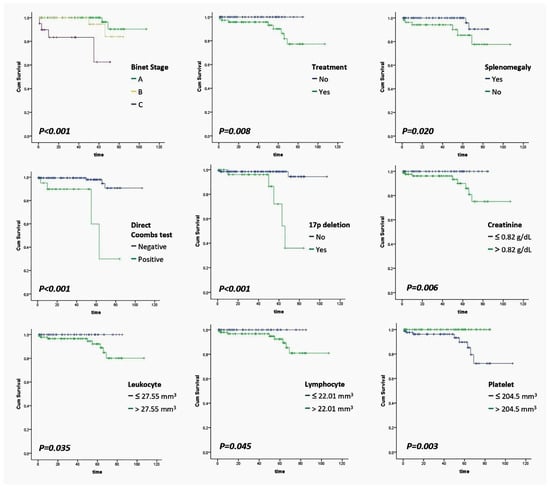
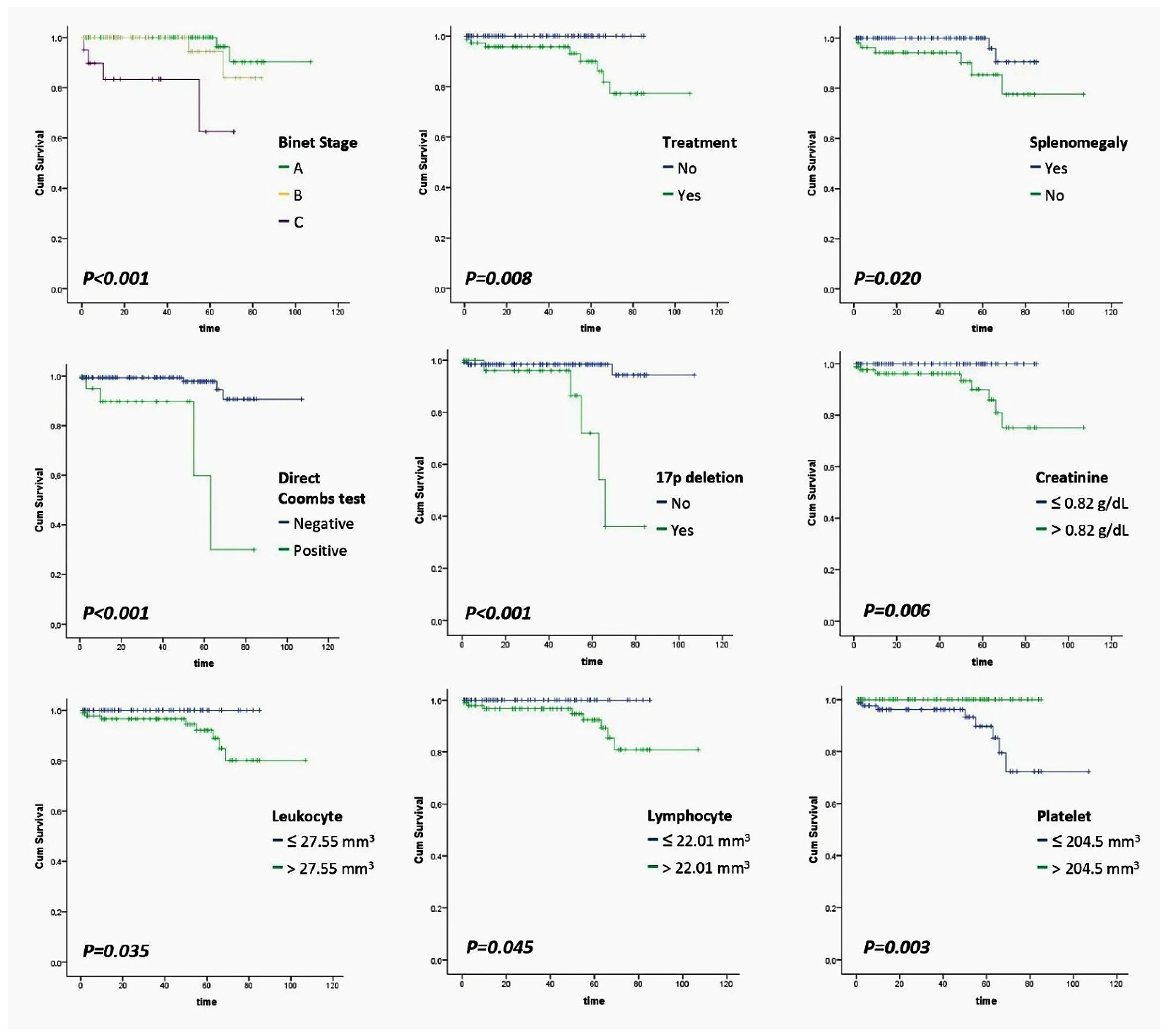
3. Results
4. Discussion
5. Conclusions
Limitations
Author Contributions
Funding
Institutional Review Board Statement
Informed Consent Statement
Data Availability Statement
Acknowledgments
Conflicts of Interest
References
- Chiorazzi, N.; Chen, S.-S.; Rai, K.R. Chronic Lymphocytic Leukemia. Cold Spring Harb. Perspect. Med. 2021, 11, a035220. [Google Scholar] [CrossRef] [PubMed]
- Urso, A.; Cavazzini, F.; Ballardini, M.P.; Gambara, S.; Consolo, S.; Rigolin, G.M.; Cuneo, A. First-Line Treatment of Older Patients with CLL: A New Approach in the Chemo-Free Era. Cancers 2023, 15, 3859. [Google Scholar] [CrossRef] [PubMed]
- Shadman, M. Diagnosis and Treatment of Chronic Lymphocytic Leukemia. JAMA 2023, 329, 918. [Google Scholar] [CrossRef] [PubMed]
- Yang, S.; Varghese, A.M.; Sood, N.; Chiattone, C.; Akinola, N.O.; Huang, X.; Gale, R.P. Ethnic and Geographic Diversity of Chronic Lymphocytic Leukaemia. Leukemia 2021, 35, 433–439. [Google Scholar] [CrossRef]
- Eichhorst, B.; Robak, T.; Montserrat, E.; Ghia, P.; Niemann, C.U.; Kater, A.P.; Gregor, M.; Cymbalista, F.; Buske, C.; Hillmen, P.; et al. Chronic Lymphocytic Leukaemia: ESMO Clinical Practice Guidelines for Diagnosis, Treatment and Follow-Up. Ann. Oncol. 2021, 32, 23–33. [Google Scholar] [CrossRef]
- Mazzucconi, M.G.; Fazi, P.; Bernasconi, S.; De Rossi, G.; Leone, G.; Gugliotta, L.; Vianelli, N.; Avvisati, G.; Rodeghiero, F.; Amendola, A.; et al. Therapy with High-Dose Dexamethasone (HD-DXM) in Previously Untreated Patients Affected by Idiopathic Thrombocytopenic Purpura: A GIMEMA Experience. Blood 2007, 109, 1401–1407. [Google Scholar] [CrossRef]
- Coggon, D.; Ntani, G.; Harris, E.C.; Jayakody, N.; Palmer, K.T. Soft Tissue Sarcoma, Non-Hodgkin’s Lymphoma and Chronic Lymphocytic Leukaemia in Workers Exposed to Phenoxy Herbicides: Extended Follow-up of a UK Cohort. Occup. Environ. Med. 2015, 72, 435–441. [Google Scholar] [CrossRef]
- Debord, C.; Wuillème, S.; Eveillard, M.; Theisen, O.; Godon, C.; Le Bris, Y.; Béné, M.C. Flow Cytometry in the Diagnosis of Mature B-cell Lymphoproliferative Disorders. Int. J. Lab. Hematol. 2020, 42, 113–120. [Google Scholar] [CrossRef]
- Quinquenel, A.; Aurran-Schleinitz, T.; Clavert, A.; Cymbalista, F.; Dartigeas, C.; Davi, F.; de Guibert, S.; Delmer, A.; Dilhuydy, M.; Feugier, P.; et al. Diagnosis and Treatment of Chronic Lymphocytic Leukemia: Recommendations of the French CLL Study Group (FILO). HemaSphere 2020, 4, e473. [Google Scholar] [CrossRef]
- Kröber, A.; Seiler, T.; Benner, A.; Bullinger, L.; Brückle, E.; Lichter, P.; Döhner, H.; Stilgenbauer, S. V(H) Mutation Status, CD38 Expression Level, Genomic Aberrations, and Survival in Chronic Lymphocytic Leukemia. Blood 2002, 100, 1410–1416. [Google Scholar] [CrossRef]
- Wierda, W.G.; Byrd, J.C.; Abramson, J.S.; Bilgrami, S.F.; Bociek, G.; Brander, D.; Brown, J.; Chanan-Khan, A.A.; Chavez, J.C.; Coutre, S.E.; et al. Chronic Lymphocytic Leukemia/Small Lymphocytic Lymphoma, Version 4.2020, NCCN Clinical Practice Guidelines in Oncology. J. Natl. Compr. Cancer Netw. 2020, 18, 185–217. [Google Scholar] [CrossRef] [PubMed]
- Chen, C.; Puvvada, S. Prognostic Factors for Chronic Lymphocytic Leukemia. Curr. Hematol. Malig. Rep. 2016, 11, 37–42. [Google Scholar] [CrossRef] [PubMed]
- Scarfò, L.; Ferreri, A.J.M.; Ghia, P. Chronic Lymphocytic Leukaemia. Crit. Rev. Oncol. Hematol. 2016, 104, 169–182. [Google Scholar] [CrossRef] [PubMed]
- Rai, K.; Sawitsky, A.; Cronkite, E.; Chanana, A.; Levy, R.; Pasternack, B. Clinical Staging of Chronic Lymphocytic Leukemia. Blood 1975, 46, 219–234. [Google Scholar] [CrossRef]
- Hallek, M.; Al-Sawaf, O. Chronic Lymphocytic Leukemia: 2022 Update on Diagnostic and Therapeutic Procedures. Am. J. Hematol. 2021, 96, 1679–1705. [Google Scholar] [CrossRef]
- Binet, J.L.; Auquier, A.; Dighiero, G.; Chastang, C.; Piguet, H.; Goasguen, J.; Vaugier, G.; Potron, G.; Colona, P.; Oberling, F.; et al. A New Prognostic Classification of Chronic Lymphocytic Leukemia Derived from a Multivariate Survival Analysis. Cancer 1981, 48, 198–206. [Google Scholar] [CrossRef]
- Yun, X.; Zhang, Y.; Wang, X. Recent Progress of Prognostic Biomarkers and Risk Scoring Systems in Chronic Lymphocytic Leukemia. Biomark. Res. 2020, 8, 40. [Google Scholar] [CrossRef]
- Hoechstetter, M.A.; Busch, R.; Eichhorst, B.; Bühler, A.; Winkler, D.; Bahlo, J.; Robrecht, S.; Eckart, M.J.; Vehling-Kaiser, U.; Jacobs, G.; et al. Prognostic Model for Newly Diagnosed CLL Patients in Binet Stage A: Results of the Multicenter, Prospective CLL1 Trial of the German CLL Study Group. Leukemia 2020, 34, 1038–1051. [Google Scholar] [CrossRef]
- Alrawashdh, N.; Sweasy, J.; Erstad, B.; McBride, A.; Persky, D.O.; Abraham, I. Survival Trends in Chronic Lymphocytic Leukemia across Treatment Eras: US SEER Database Analysis (1985–2017). Ann. Hematol. 2021, 100, 2501–2512. [Google Scholar] [CrossRef]
- Fürstenau, M.; Hopfinger, G.; Robrecht, S.; Fink, A.-M.; Al-Sawaf, O.; Langerbeins, P.; Cramer, P.; Tresckow, J.V.; Maurer, C.; Kutsch, N.; et al. Influence of Obesity and Gender on Treatment Outcomes in Patients with Chronic Lymphocytic Leukemia (CLL) Undergoing Rituximab-Based Chemoimmunotherapy. Leukemia 2020, 34, 1177–1181. [Google Scholar] [CrossRef]
- Seftel, M.D.; Demers, A.A.; Banerji, V.; Gibson, S.B.; Morales, C.; Musto, G.; Pitz, M.W.; Johnston, J.B. High Incidence of Chronic Lymphocytic Leukemia (CLL) Diagnosed by Immunophenotyping: A Population-Based Canadian Cohort. Leuk. Res. 2009, 33, 1463–1468. [Google Scholar] [CrossRef] [PubMed]
- Akaba, K.; Enang, O.; Igwilo, H.; Eduve, V.; Akaba, E.; Cletus, O.; Oshatuyi, O. Demographic Pattern of Chronic Lymphocytic Leukemia in a Tertiary Hospital in Calabar, South-South Nigeria. Ann. Afr. Med. 2020, 19, 203. [Google Scholar] [CrossRef]
- Catovsky, D.; Wade, R.; Else, M. The Clinical Significance of Patients’ Sex in Chronic Lymphocytic Leukemia. Haematologica 2014, 99, 1088–1094. [Google Scholar] [CrossRef]
- Huang, S.J.; Gerrie, A.S.; Young, S.; Tucker, T.; Bruyère, H.; Hrynchak, M.; Galbraith, P.; Al Tourah, A.J.; Dueck, G.; Noble, M.C.; et al. Impact of Age and Treatment Institution Type on Outcomes of Patients Treated for Chronic Lymphocytic Leukemia in British Columbia, Canada. Leuk. Res. 2021, 103, 106538. [Google Scholar] [CrossRef]
- Weide, R.; Feiten, S.; Chakupurakal, G.; Friesenhahn, V.; Kleboth, K.; Köppler, H.; Lutschkin, J.; van Roye, C.; Thomalla, J.; Heymanns, J. Survival Improvement of Patients with Chronic Lymphocytic Leukemia (CLL) in Routine Care 1995–2017. Leuk. Lymphoma 2020, 61, 557–566. [Google Scholar] [CrossRef]
- Basabaeen, A.A.; Abdelgader, E.A.; Babekir, E.A.; Abdelateif, N.M.; Osman Abdelrahim, S.; Altayeb, O.A.; Fadul, E.A.; Osman, H.A.; Bamusa, S.A.; Khider Ibrahim, I. Characteristics of Chronic Lymphocytic Leukemia in Sudanese Patients. Asian Pac. J. Cancer Care 2022, 7, 467–474. [Google Scholar] [CrossRef]
- Naeim, F.; Rao, P.N.; Grody, W.W. Hematopathology: Morphology, Immunophenotype, Cytogenetics, and Molecular Approaches, 1st ed.; Academic Press Inc.: Cambridge, MA, USA, 2008; ISBN 978-0123706072. [Google Scholar]
- Van Bockstaele, F.; Verhasselt, B.; Philippé, J. Prognostic Markers in Chronic Lymphocytic Leukemia: A Comprehensive Review. Blood Rev. 2009, 23, 25–47. [Google Scholar] [CrossRef]
- Basabaeen, A.A.; Abdelgader, E.A.; Babekir, E.A.; Eltayeb, N.H.; Altayeb, O.A.; Fadul, E.A.; Bahashwan, O.S.; Ibrahim, I.K. Clinical Presentation and Hematological Profile among Young and Old Chronic Lymphocytic Leukemia Patients in Sudan. BMC Res. Notes 2019, 12, 202. [Google Scholar] [CrossRef]
- Sriphatphiriyakun, T.; Auewarakul, C.U. Clinical Presentation and Outcome of Thai Patients with Chronic Lymphocytic Leukemia: Retrospective Analysis of 184 Cases. Asian Pac. J. Allergy Immunol. 2005, 23, 197–203. [Google Scholar]
- Salawu, L.; Bolarinwa, R.A.; Durosinmi, M.A. Chronic Lymphocytic Leukaemia: A-Twenty-Years Experience and Problems in Ile-Ife, South-Western Nigeria. Afr. Health Sci. 2010, 10, 187–192. [Google Scholar]
- Puiggros, A.; Blanco, G.; Espinet, B. Genetic Abnormalities in Chronic Lymphocytic Leukemia: Where We Are and Where We Go. Biomed. Res. Int. 2014, 2014, 435983. [Google Scholar] [CrossRef] [PubMed]
- Döhner, H.; Stilgenbauer, S.; Benner, A.; Leupolt, E.; Kröber, A.; Bullinger, L.; Döhner, K.; Bentz, M.; Lichter, P. Genomic Aberrations and Survival in Chronic Lymphocytic Leukemia. N. Engl. J. Med. 2000, 343, 1910–1916. [Google Scholar] [CrossRef] [PubMed]
- Roos-Weil, D.; Nguyen-Khac, F.; Chevret, S.; Touzeau, C.; Roux, C.; Lejeune, J.; Cosson, A.; Mathis, S.; Feugier, P.; Leprêtre, S.; et al. Mutational and Cytogenetic Analyses of 188 CLL Patients with Trisomy 12: A Retrospective Study from the French Innovative Leukemia Organization (FILO) Working Group. Genes Chromosom. Cancer 2018, 57, 533–540. [Google Scholar] [CrossRef]
- Abruzzo, L.V.; Herling, C.D.; Calin, G.A.; Oakes, C.; Barron, L.L.; Banks, H.E.; Katju, V.; Keating, M.J.; Coombes, K.R. Trisomy 12 Chronic Lymphocytic Leukemia Expresses a Unique Set of Activated and Targetable Pathways. Haematologica 2018, 103, 2069–2078. [Google Scholar] [CrossRef]
- Nabhan, C.; Raca, G.; Wang, Y.L. Predicting Prognosis in Chronic Lymphocytic Leukemia in the Contemporary Era. JAMA Oncol. 2015, 1, 965. [Google Scholar] [CrossRef]
- Strati, P.; Abruzzo, L.V.; Wierda, W.G.; O’Brien, S.; Ferrajoli, A.; Keating, M.J. Second Cancers and Richter Transformation Are the Leading Causes of Death in Patients with Trisomy 12 Chronic Lymphocytic Leukemia. Clin. Lymphoma Myeloma Leuk. 2015, 15, 420–427. [Google Scholar] [CrossRef]
- Yu, L.; Kim, H.T.; Kasar, S.N.; Benien, P.; Du, W.; Hoang, K.; Aw, A.; Tesar, B.; Improgo, R.; Fernandes, S.M.; et al. Survival of Del17p CLL Depends on Genomic Complexity and Somatic Mutation. Clin. Cancer Res. 2017, 23, 735–745. [Google Scholar] [CrossRef]
- Zenz, T.; Eichhorst, B.; Busch, R.; Denzel, T.; Häbe, S.; Winkler, D.; Bühler, A.; Edelmann, J.; Bergmann, M.; Hopfinger, G.; et al. TP53 Mutation and Survival in Chronic Lymphocyticleukemia. J. Clin. Oncol. 2010, 28, 4473–4479. [Google Scholar] [CrossRef]
- Gogia, A.; Kumar, L.; Sharma, A.; Gupta, R.; Rani, L. Incidence and Outcome of Chronic Lymphocytic Leukemia with Deletion 17p: An Indian Experience; Challenges and Opportunities. Ann. Oncol. 2019, 30, v814. [Google Scholar] [CrossRef]
- Schlosser, P.; Schiwitza, A.; Klaus, J.; Hieke-Schulz, S.; Szic, K.S.V.; Duyster, J.; Trepel, M.; Zirlik, K.; Schumacher, M.; Claus, R. Conditional Survival to Assess Prognosis in Patients with Chronic Lymphocytic Leukemia. Ann. Hematol. 2024, 103, 1613–1622. [Google Scholar] [CrossRef]
- Mato, A.R.; Tang, B.; Azmi, S.; Yang, K.; Zhang, X.; Stern, J.C.; Hedrick, E.; Huang, J.; Sharman, J.P. A Clinical Practice Comparison of Patients with Chronic Lymphocytic Leukemia with and without Deletion 17p Receiving First-Line Treatment with Ibrutinib. Haematologica 2022, 107, 2630–2640. [Google Scholar] [CrossRef]
- Grever, M.R.; Lucas, D.M.; Dewald, G.W.; Neuberg, D.S.; Reed, J.C.; Kitada, S.; Flinn, I.W.; Tallman, M.S.; Appelbaum, F.R.; Larson, R.A.; et al. Comprehensive Assessment of Genetic and Molecular Features Predicting Outcome in Patients with Chronic Lymphocytic Leukemia: Results from the US Intergroup Phase III Trial E2997. J. Clin. Oncol. 2007, 25, 799–804. [Google Scholar] [CrossRef] [PubMed]
- Markovtseva, M.V.; Zguralskaya, E.N. Chronic Lymphocytic Leukemia Prediction Using Data Mining Methods. Kachestvennaya Klin. Prakt. = Good Clin. Pract. 2022, 3, 31–34. [Google Scholar] [CrossRef]
- Vardell, V.; Ermann, D.A.; Shah, H.; Fitzgerald, L.; Hu, B.; Stephens, D.M. Survival Outcomes in Patients with Chronic Lymphocytic Leukemia Treated at Academic Centers. J. Clin. Oncol. 2022, 40, 7544. [Google Scholar] [CrossRef]
- Cancer Stat Facts: Leukemia—Chronic Lymphocytic Leukemia (CLL). Available online: https://seer.cancer.gov/statfacts/html/clyl.html (accessed on 1 February 2025).
- Baumann, T.; Delgado, J.; Santacruz, R.; Martinez-Trillos, A.; Royo, C.; Navarro, A.; Pinyol, M.; Rozman, M.; Pereira, A.; Villamor, N.; et al. Chronic Lymphocytic Leukemia in the Elderly: Clinico-Biological Features, Outcomes, and Proposal of a Prognostic Model. Haematologica 2014, 99, 1599–1604. [Google Scholar] [CrossRef]
- Vicente, E.P.; Cuellar-García, C.; Martinez, M.; Soler, A.; Mora, A.; Bosch, R.; Brunet, S.; Briones, J.; García, I.; Esquirol, A.; et al. Chronic Lymphocytic Leukemia: Clinical Stages Maintain Their Prognostic Significance over the Course of the Disease and Are Surrogates for Response to Therapy. Clin. Lymphoma Myeloma Leuk. 2018, 18, 737–742. [Google Scholar] [CrossRef]
- Faria, J.R.D.; Oliveira, J.S.R.D.; Faria, R.M.D.D.; Silva, M.R.R.; Goihman, S.; Yamamoto, M.; Kerbauy, J. Prognosis Related to Staging Systems for Chronic Lymphocytic Leukemia. Sao Paulo Med. J. 2000, 118, 83–88. [Google Scholar] [CrossRef]
- Mozaheb, Z.; NazarAbadi, M.H.H.; Aghaee, M.A. Chronic Lymphocytic Leukemia and Prognostic Factors. Asian Pac. J. Cancer Prev. 2012, 13, 3009–3013. [Google Scholar] [CrossRef]
- Moreno, C.; Delgado, J.; Byrd, J.C.; Zvagelsky, W.L.; Suzuki, S.; Hsu, E.; James, D.F.; Montserrat, E. Changes in Clinical Stage Identify Patients with CLL and Different Outcome within IwCLL Partial Response: RESONATE Study. Br. J. Haematol. 2019, 185, 148–150. [Google Scholar] [CrossRef]
- Molica; Mirabelli, R.; Levato, L.; Molica, M.; Mauro, F.R. Foà Clinical Relevance and Treatment of Nonautoimmune Anemia in Chronic Lymphocytic Leukemia. Cancer Manag. Res. 2011, 3, 211–217. [Google Scholar] [CrossRef]
- Silverman, J.A.; Franssen, E.; Buckstein, R.; Imrie, K.R. The Development of Marked Elevation in White Blood Cell Count Does Not Predict Inferior Outcome in Chronic Lymphocytic Leukemia. Leuk. Lymphoma 2002, 43, 1245–1251. [Google Scholar] [CrossRef] [PubMed]
- Shanafelt, T.D.; Rabe, K.G.; Hanson, C.A.; Call, T.G.; Schwager, S.; Parikh, S.A.; Nasr, S.H.; Leung, N. Renal Disease in Patients with Chronic Lymphocytic Leukemia (CLL). Blood 2013, 122, 5302. [Google Scholar] [CrossRef]
- Strati, P.; Nasr, S.H.; Leung, N.; Hanson, C.A.; Chaffee, K.G.; Schwager, S.M.; Achenbach, S.J.; Call, T.G.; Parikh, S.A.; Ding, W.; et al. Renal Complications in Chronic Lymphocytic Leukemia and Monoclonal B-Cell Lymphocytosis: The Mayo Clinic Experience. Haematologica 2015, 100, 1180–1188. [Google Scholar] [CrossRef]
- Kahl, B.S.; Giannopoulos, K.; Jurczak, W.; Šimkovič, M.; Shadman, M.; Österborg, A.; Laurenti, L.; Walker, P.; Opat, S.; Chan, H.; et al. CLL-137 SEQUOIA: Results of a Phase 3 Randomized Study of Zanubrutinib versus Bendamustine + Rituximab (BR) in Patients With Treatment-Naïve (TN) Chronic Lymphocytic Leukemia/Small Lymphocytic Lymphoma (CLL/SLL). Clin. Lymphoma Myeloma Leuk. 2022, 22, S269–S270. [Google Scholar] [CrossRef]
- Jaglowski, S.M.; Byrd, J.C. Rituximab in Chronic Lymphocytic Leukemia. Semin. Hematol. 2010, 47, 156–169. [Google Scholar] [CrossRef]
- Kleeberg, U.R.; Linde, H.; Günther, G.; Tessen, H.-W.; Kersting, M. Bendamustin-Rituximab Combination Is a Safe and Effective, Ambulatory Treatment for Elderly Patients with Chronic Lymphocytic Leukemia: Retrospective Real-World Analysis by Age from a German Registry and Review of the Literature. Anticancer Res. 2016, 36, 2827–2838. [Google Scholar]
- Burger, J.A.; Tedeschi, A.; Barr, P.M.; Robak, T.; Owen, C.; Ghia, P.; Bairey, O.; Hillmen, P.; Bartlett, N.L.; Li, J.; et al. Ibrutinib as Initial Therapy for Patients with Chronic Lymphocytic Leukemia. N. Engl. J. Med. 2015, 373, 2425–2437. [Google Scholar] [CrossRef]
- Brown, J.R. How I Treat CLL Patients with Ibrutinib. Blood 2018, 131, 379–386. [Google Scholar] [CrossRef]
- Abbas, S.A.; Zeeshan, R.; Sultan, S.; Irfan, S.M. Direct Coombs Test Positivity in B-Chronic Lymphoid Leukemia: A Marker of Advanced Clinical Disease. Asian Pac. J. Cancer Prev. 2015, 16, 6007–6010. [Google Scholar] [CrossRef]
- Ahmed, S.A.; Abdallah, G.E.; Aly, M.M.; Abdelsalam, E.M.N.; Mohammed Saleh, M.F. Revisiting Autoimmunity in Chronic Lymphocytic Leukemia: Prognostic Value of Positive Direct Antiglobulin Test in a Retrospective Study and Literature Review. J. Blood Med. 2021, 12, 225–234. [Google Scholar] [CrossRef]
- Xu, W.; Li, J.-Y.; Miao, K.-R.; Cao, X.; Liu, Q.; Fan, L.; Qiao, C.; Wu, Y.-J. The Negative Prognostic Significance of Positive Direct Antiglobulin Test in Chinese Patients with Chronic Lymphocytic Leukemia. Leuk. Lymphoma 2009, 50, 1482–1487. [Google Scholar] [CrossRef] [PubMed]

| Rai | Binet | ||||
|---|---|---|---|---|---|
| Low Risk | Stage 0 | Lymphocytosis | Low Risk | Stage A | <3 lymphoid areas |
| Intermediate Risk | Stage 1 | Lymphadenopathy | Intermediate Risk | Stage B | ≥3 lymphoid areas |
| Stage 2 | Spleen/liver enlarged | ||||
| High Risk | Stage 3 | Hemoglobin < 11 g/dL | High Risk | Stage C | Hemoglobin < 10 g/dL |
| Stage 4 | Platelets < 100,000 mm3 | Platelets < 100,000 mm3 | |||
| (n = 178) | Total |
|---|---|
| Age, mean ± SD (min–max) | 70.37 ± 11.49 (40–95) |
| Gender, n (%) (n = 178) Female Male | 82 (46.1) 96 (53.9) |
| Binet Score, n (%) (n = 176) A B C | 104 (59.1) 52 (29.5) 20 (11.4) |
| Rai Score, n (%) (n = 176) Low—0 Medium—1 Medium—2 High—3 High—4 | 91 (51.7) 15 (8.5) 42 (23.9) 21 (11.9) 7 (4.0) |
| Follow-up period, mean ± SD (min–max) | 37.73 ± 26.85 (1–107) |
| Treatment, n (%) (n = 175) Yes No | 73 (41.7) 102 (58.3) |
| Remission, n (%) (n = 73) Complete remission Partial remission No response | 31 (42.5) 36 (49.3) 6 (8.2) |
| Malignity, n (%) (n = 177) Yes No | 13 (7.3) 164 (92.7) |
| Splenomegaly, n (%) (n = 176) Yes No | 54 (30.7) 122 (69.3) |
| Lymph node involvement, n (%) (n = 176) Yes No | 66 (37.5) 110 (62.5) |
| D. Coombs, n (%) (n = 177) Positive Negative | 21 (11.9) 156 (88.1) |
| 17p deletion, n (%) (n = 165) Yes No | 31 (18.8) 134 (81.2) |
| Trisomy 12, n (%) (n = 165) Yes No | 10 (6.1) 155 (93.9) |
| 13q deletion, n (%) (n = 165) Yes No | 44 (26.7) 121 (73.3) |
| Prognosis (n = 178) Alive Deceased | 170 (95.5) 8 (4.5) |
| n = 178 | Mean ± SD |
|---|---|
| Hemoglobin (g/dL) | 12.70 ± 2.23 |
| Leukocyte (mm3) | 221.93 ± 88.35 |
| Neutrophil (mm3) | 8.18 ± 5.17 |
| Lymphocyte (mm3) | 44.32 ± 70.59 |
| Reticulocyte | 2.13 ± 7.37 |
| Platelet (mm3) | 213.10 ± 95.61 |
| IGG | 10.05 ± 4.76 |
| Sedimentation (mm/h) | 21.29 ± 20.68 |
| ALT (U/L) | 16.06 ± 9.56 |
| AST (U/L) | 18.37 ± 8.16 |
| LDH (U/L) | 221.93 ± 88.35 |
| Creatinine (g/dL) | 1.16 ± 4.07 |
| Albumin (g/dL) | 44.91 ± 3.74 |
| Uric Acid (mg/dL) | 9.16 ± 2.02 |
| Total Bilirubin (mg/dL) | 0.55 ± 0.36 |
| Direct Bilirubin (mg/dL) | 0.46 ± 3.14 |
| Total Protein (mg/dL) | 69.73 ± 5.92 |
| n (%) | Mortality | p * | ||
|---|---|---|---|---|
| No | Yes | |||
| Age | 69.5≥ | 73 (98.6) | 1 (1.4) | 0.088 |
| >69.5 | 97 (93.3) | 7 (6.7) | ||
| Gender | Female | 81 (98.8) | 1 (1.2) | 0.071 |
| Male | 89 (92.7) | 7 (7.3) | ||
| Binet Scores | A | 102 (98.1) | 2 (1.9) | 0.005 |
| B | 50 (96.2) | 2 (3.8) | ||
| C | 16 (80) | 4 (20) | ||
| Rai Scores | Low | 88 (97.8) | 2 (2.2) | 0.056 |
| Medium | 56 (96.6) | 2 (3.4) | ||
| High | 24 (85.7) | 4 (14.3) | ||
| Treatment | Yes | 65 (89) | 8 (11) | 0.001 |
| No | 102 (100) | 0 (0) | ||
| Remission | Complete | 30 (96.8) | 1 (3.2) | 0.192 |
| Partial | 30 (83.3) | 6 (16.7) | ||
| No response | 5 (83.3) | 1 (16.7) | ||
| Malignity | Yes | 11 (84.6) | 2 (15.4) | 0.109 |
| No | 158 (96.3) | 6 (3.7) | ||
| Splenomegaly | Yes | 48 (88.9) | 6 (11.1) | 0.011 |
| No | 120 (98.4) | 2 (1.6) | ||
| Lymph node involvement | Yes | 61 (92.4) | 5 (7.6) | 0.153 |
| No | 107 (97.3) | 3 (2.7) | ||
| Direct Coombs test | Positive | 17 (81.0) | 4 (19.0) | 0.008 |
| Negative | 152 (97.4) | 4 (2.6) | ||
| 17p deletion | Yes | 26 (83.9) | 5 (16.1) | 0.008 |
| No | 131 (97.8) | 3 (2.2) | ||
| Trisomy 12 | Yes | 10 (100.0) | 0 (0.0) | 0.461 |
| No | 147 (94.8) | 8 (5.2) | ||
| 13q deletion | Yes | 42 (95.5) | 2 (4.5) | 0.913 |
| No | 115 (95.0) | 6 (5.0) | ||
| Hemoglobin | 12.7≥ | 77 (92.8) | 6 (7.2) | 0.103 |
| >12.7 | 92 (97.9) | 2 (2.1) | ||
| Leukocyte | 27.55≥ | 83 (100.0) | 0 (0.0) | 0.007 |
| >27.55 | 86 (91.5) | 8 (8.5) | ||
| Platelet | 204.5≥ | 78 (90.7) | 8 (9.3) | 0.003 |
| >204.5 | 91 (100.0) | 0 (0.0) | ||
| Lymphocyte | 22.01≥ | 81 (100.0) | 0 (0.0) | 0.008 |
| >22.01 | 88 (91.7) | 8 (8.3) | ||
| Neutrophil | 4.43≥ | 88 (96.7) | 3 (3.3) | 0.487 |
| >4.43 | 81 (94.2) | 5 (5.8) | ||
| Sedimentation | 13.5≥ | 85 (95.5) | 4 (4.5) | 0.987 |
| >13.5 | 84 (95.5) | 4 (4.5) | ||
| ALT | 14.5≥ | 85 (94.4) | 5 (5.6) | 0.721 |
| >14.5 | 84 (96.6) | 3 (3.4) | ||
| AST | 16.5≥ | 80 (97.6) | 2 (2.4) | 0.289 |
| >16.5 | 89 (93.7) | 6 (6.3) | ||
| Creatinine | 0.82≥ | 89 (100.0) | 0 (0.0) | 0.003 |
| >0.82 | 80 (90.9) | 8 (9.1) | ||
| Albumin | 45.5≥ | 84 (94.4) | 5 (5.6) | 0.720 |
| >45.5 | 85 (96.6) | 3 (3.4) | ||
| LDH | 195≥ | 84 (97.7) | 2 (2.3) | 0.279 |
| >195 | 85 (93.4) | 6 (6.6) | ||
| Uric acid | 4.95≥ | 85 (97.7) | 2 (2.3) | 0.279 |
| >4.95 | 85 (93.4) | 6 (6.6) | ||
| Total Bilirubin | 0.48≥ | 90 (94.7) | 5 (5.3) | 0.725 |
| >0.48 | 80 (96.4) | 3 (3.6) | ||
| No | Age | Gender | Treatment | Remission | Prognosis |
|---|---|---|---|---|---|
| 1 | 73 | M | R, B | Complete | Alive |
| 2 | 70 | M | I | Complete | Alive |
| 3 | 78 | M | R, C, P, B, V | Partial | Alive |
| 4 | 80 | M | R, B | Complete | Alive |
| 5 | 84 | F | I | Partial | Deceased |
| 6 | 80 | F | I, IVIG | Partial | Alive |
| 7 | 86 | F | K | - | Alive |
| 8 | 75 | F | F | Complete | Alive |
| 9 | 85 | F | I | Complete | Alive |
| 10 | 72 | F | K, R, B, I | Partial | Alive |
| 11 | 76 | M | R, B | Complete | Alive |
| 12 | 57 | M | R, F, C | Complete | Alive |
| 13 | 58 | M | R, B | Complete | Alive |
| 14 | 84 | F | R, B | Partial | Alive |
| 15 | 58 | F | R, C, P | Complete | Alive |
| 16 | 83 | M | R, B | Complete | Alive |
| 17 | 76 | F | R, B | Partial | Alive |
| 18 | 71 | M | R, B | Complete | Alive |
| 19 | 62 | M | R-CHOP+R-ESHAP | Complete | Alive |
| 20 | 34 | M | R, F, C | Complete | Alive |
| 21 | 70 | F | R, C, P | Partial | Alive |
| 22 | 78 | F | R, B, I, V | Complete | Alive |
| 23 | 72 | M | R, B | Partial | Alive |
| 24 | 81 | F | R, B | Complete | Alive |
| 25 | 63 | M | R, B, I | Partial | Deceased |
| 26 | 76 | M | R, B | Partial | Alive |
| 27 | 83 | M | IVIG | Partial | Alive |
| 28 | 51 | M | R, B | Complete | Alive |
| 29 | 80 | M | R, B | Partial | Deceased |
| 30 | 63 | F | R, B, IVIG | Partial | Alive |
| 31 | 81 | M | R, B | Partial | Deceased |
| 32 | 94 | M | K | Partial | Alive |
| 33 | 88 | M | R, K, I | Partial | Deceased |
| 34 | 79 | M | R, B | Partial | Deceased |
| 35 | 78 | M | R, B | Complete | Alive |
| 36 | 70 | M | R, B | Complete | Deceased |
| 37 | 73 | M | IVIG | Partial | Alive |
| 38 | 65 | M | R, B | Complete | Alive |
| 39 | 84 | M | R, B, I, V | Partial | Alive |
| 40 | 81 | F | R, B, IVIG | Partial | Alive |
| 41 | 85 | M | R, K, M | Partial | Alive |
| 42 | 95 | M | R, B | Partial | Alive |
| 43 | 92 | M | I | Partial | Alive |
| 44 | 61 | M | R, B | Partial | Alive |
| 45 | 71 | F | IVIG | Partial | Alive |
| 46 | 78 | F | R, V | Partial | Alive |
| 47 | 73 | F | I | Complete | Alive |
| 48 | 70 | F | R, B | Partial | Alive |
| 49 | 66 | F | R, B | Partial | Alive |
| 50 | 88 | M | K | Partial | Alive |
| 51 | 64 | E | R, B | Partial | Alive |
| 52 | 84 | F | I | Complete | Alive |
| 53 | 56 | M | R-CHOP | Complete | Alive |
| 54 | 75 | M | R, B | Complete | Alive |
| 55 | 75 | F | K, I, V, IVIG | Complete | Alive |
| 56 | 65 | M | R, B | - | Alive |
| 57 | 80 | M | R, B, F, C | Partial | Alive |
| 58 | 85 | F | R, I | Complete | Alive |
| 59 | 67 | M | R, B | Partial | Alive |
| 60 | 65 | M | R, B | Partial | Alive |
| 61 | 70 | M | V | - | Alive |
| 62 | 65 | F | R, F, C, IVIG | Complete | Alive |
| 63 | 50 | F | R, B | Complete | Alive |
| 64 | 75 | F | I | Complete | Alive |
| 65 | 75 | M | R, V, CHOP | Complete | Alive |
| 66 | 76 | F | R, B | Complete | Alive |
| 67 | 65 | M | R, B | - | Alive |
| 68 | 61 | F | R, V, CHOP | Partial | Alive |
| 69 | 87 | M | I | Partial | Alive |
| 70 | 83 | F | R, K | Complete | Alive |
| 71 | 80 | M | R, K | Partial | Alive |
| 72 | 67 | F | R, K | - | Alive |
| 73 | 71 | M | R, B | - | Deceased |
| n (%) | Complete Remission | Partial Remission | No Response | p * | |
|---|---|---|---|---|---|
| Age | 69.5≥ | 9 (45.0) | 8 (40.0) | 3 (15.0) | 0.356 |
| >69.5 | 22 (41.5) | 28 (52.8) | 3 (5.7) | ||
| Gender | Female | 14 (48.3) | 13 (44.8) | 2 (6.9) | 0.711 |
| Male | 17 (38.6) | 23 (52.3) | 4 (9.1) | ||
| Binet Scores | A | 11 (44.0) | 14 (56.0) | 0 (0.0) | 0.026 |
| B | 18 (54.5) | 12 (36.4) | 3 (9.1) | ||
| C | 2 (13.3) | 10 (66.7) | 2 (20.0) | ||
| Rai Scores | Low | 7 (38.9) | 11 (61.1) | 0 (0.0) | 0.011 |
| Medium | 20 (60.6) | 11 (33.3) | 2 (6.1) | ||
| High | 4 (18.2) | 14 (63.3) | 4 (18.2) | ||
| Malignity | Yes | 3 (33.3) | 6 (66.7) | 0 (0.0) | 0.433 |
| No | 28 (43.8) | 30 (46.9) | 6 (9.4) | ||
| Splenomegaly | Yes | 16 (43.2) | 17 (45.9) | 4 (10.8) | 0.671 |
| No | 15 (41.7) | 19 (52.8) | 2 (5.6) | ||
| Lymph node involvement | Yes | 22 (48.9) | 19 (42.2) | 4 (8.9) | 0.301 |
| No | 9 (32.1) | 17 (60.7) | 2 (7.1) | ||
| Direct Coombs test | Positive | 5 (31.2) | 16 (66.7) | 3 (12.5) | 0.145 |
| Negative | 26 (45.6) | 17 (37.8) | 3 (6.7) | ||
| 17p deletion | Yes | 5 (20.8) | 4 (57.1) | 0 (0.0) | 0.021 |
| No | 25 (55.6) | 29 (46.8) | 6 (9.7) | ||
| Trisomy 12 | Yes | 3 (42.9) | 4 (57.1) | 0 (0.0) | 0.664 |
| No | 27 (43.5) | 29 (46.8) | 6 (9.7) | ||
| 13q deletion | Yes | 12 (44.4) | 12 (44.4) | 3 (11.1) | 0.813 |
| No | 18 (42.9) | 21 (50.0) | 3 (7.1) | ||
| Hemoglobin | 12.7≥ | 12 (24.0) | 33 (66.0) | 5 (10.0) | <0.001 |
| >12.7 | 19 (82.6) | 3 (13.0) | 1 (4.3) | ||
| Leukocyte | 27.55≥ | 7 (38.9) | 10 (55.6) | 1 (5.6) | 0.792 |
| >27.55 | 24 (43.6) | 26 (47.3) | 5 (9.1) | ||
| Platelet | 204.5≥ | 19 (40.4) | 22 (46.8) | 6 (12.8) | 0.164 |
| >204.5 | 12 (46.2) | 14 (53.8) | 0 (0.0) | ||
| Lymphocyte | 22.01≥ | 6 (37.5) | 9 (56.2) | 1 (6.2) | 0.812 |
| >22.01 | 25 (43.9) | 27 (47.4) | 5 (8.8) | ||
| Neutrophil | 4.43≥ | 13 (34.2) | 22 (57.9) | 3 (7.9) | 0.292 |
| >4.43 | 18 (51.4) | 14 (40.0) | 3 (8.6) | ||
| Sedimentation | 13.5≥ | 16 (44.4) | 16 (44.4) | 4 (11.1) | 0.568 |
| >13.5 | 15 (40.5) | 20 (54.1) | 2 (5.4) | ||
| ALT | 14.5≥ | 14 (31.8) | 26 (59.1) | 4 (9.1) | 0.074 |
| >14.5 | 17 (58.6) | 10 (34.5) | 2 (6.9) | ||
| AST | 16.5≥ | 10 (31.2) | 18 (56.2) | 4 (12.5) | 0.173 |
| >16.5 | 21 (51.2) | 18 (43.9) | 2 (4.9) | ||
| Creatinine | 0.82≥ | 15 (50.0) | 13 (43.3) | 2 (6.7) | 0.549 |
| >0.82 | 16 (37.2) | 23 (53.5) | 4 (9.3) | ||
| Albumin | 45.5≥ | 21 (43.8) | 22 (45.8) | 5 (10.4) | 0.543 |
| >45.5 | 10 (40.0) | 14 (56.0) | 1 (4.0) | ||
| LDH | 195≥ | 14 (45.2) | 13 (41.9) | 4 (12.9) | 0.346 |
| >195 | 17 (40.5) | 23 (54.8) | 2 (4.8) | ||
| Uric acid | 4.95≥ | 18 (56.2) | 11 (34.4) | 3 (9.4) | 0.074 |
| >4.95 | 13 (31.7) | 25 (61.0) | 3 (7.3) | ||
| Total Bilirubin | 0.48≥ | 17 (42.5) | 18 (45.0) | 5 (12.5) | 0.316 |
| >0.48 | 14 (42.4) | 18 (54.5) | 1 (3.0) | ||
| p | Odds Ratio (95% Confidence Limits) | ||
|---|---|---|---|
| Binet Scores | A | 0.252 0.319 | 1.000 |
| B | 2.997 (0.359–3.394) | ||
| C | 3.501 (0.298–4.117) | ||
| Treatment | Yes | 1.000 | |
| No | |||
| Splenomegaly | No | 0.473 | 1.000 |
| Yes | 2.170 (0.262–7.977) | ||
| Direct Coombs test | Negative | 0.161 | 1.000 |
| Positive | 6.672 (0.469–9.492) | ||
| 17p deletion | No | 0.280 | 1.000 |
| Yes | 3.060 (0.403–3.347) | ||
| Leukocyte | 27.55≥ | 0.984 | 1.000 |
| >27.55 | 1.108 (0.000–1.340) | ||
| Platelet | >204.5 | 0.798 | 1.000 |
| 204.5≥ | 0.010 (0.000–5.199) | ||
| Lymphocyte | 22.01≥ | 0.950 | 1.000 |
| >22.01 | 2.957 (0.000–6.591) | ||
| Creatinine | 0.82≥ | 0.863 | 1.000 |
| >0.82 | 2.956 (0.000–5.208) | ||
Disclaimer/Publisher’s Note: The statements, opinions and data contained in all publications are solely those of the individual author(s) and contributor(s) and not of MDPI and/or the editor(s). MDPI and/or the editor(s) disclaim responsibility for any injury to people or property resulting from any ideas, methods, instructions or products referred to in the content. |
© 2025 by the authors. Licensee MDPI, Basel, Switzerland. This article is an open access article distributed under the terms and conditions of the Creative Commons Attribution (CC BY) license (https://creativecommons.org/licenses/by/4.0/).
Share and Cite
Pektaş, G.; Gönül, E.; Öncü, Ş.; Becit Kızılkaya, M.; Sadi, G.; Pektaş, M.B. Chronic Lymphocytic Leukemia: Investigation of Survival and Prognostic Factors with Drug-Related Remission. Diagnostics 2025, 15, 728. https://doi.org/10.3390/diagnostics15060728
Pektaş G, Gönül E, Öncü Ş, Becit Kızılkaya M, Sadi G, Pektaş MB. Chronic Lymphocytic Leukemia: Investigation of Survival and Prognostic Factors with Drug-Related Remission. Diagnostics. 2025; 15(6):728. https://doi.org/10.3390/diagnostics15060728
Chicago/Turabian StylePektaş, Gökhan, Ercan Gönül, Şeyma Öncü, Merve Becit Kızılkaya, Gökhan Sadi, and Mehmet Bilgehan Pektaş. 2025. "Chronic Lymphocytic Leukemia: Investigation of Survival and Prognostic Factors with Drug-Related Remission" Diagnostics 15, no. 6: 728. https://doi.org/10.3390/diagnostics15060728
APA StylePektaş, G., Gönül, E., Öncü, Ş., Becit Kızılkaya, M., Sadi, G., & Pektaş, M. B. (2025). Chronic Lymphocytic Leukemia: Investigation of Survival and Prognostic Factors with Drug-Related Remission. Diagnostics, 15(6), 728. https://doi.org/10.3390/diagnostics15060728

