Is Frailty Associated with Worse Outcomes After Major Liver Surgery? An Observational Case–Control Study
Abstract
1. Introduction
2. Materials and Methods
2.1. Design and Setting
2.2. Inclusion and Exclusion Criteria
2.3. Data Analysis
3. Results
3.1. Patients’ Characteristics
3.2. Postoperative Outcomes
3.3. Major Liver Resections
3.4. Index Disease
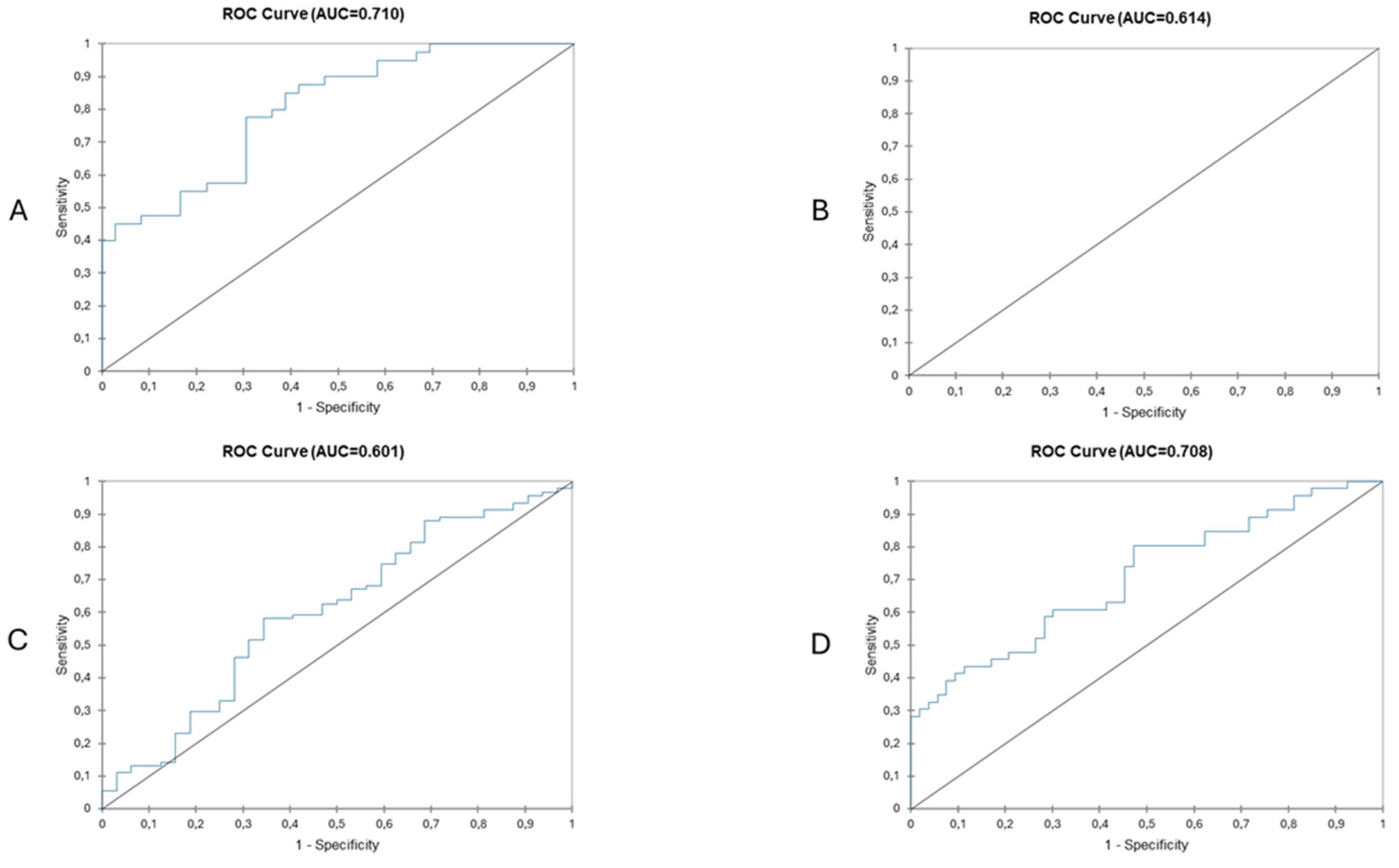
3.5. Predicting Posthepatectomy Liver Failure in Frail Patients
4. Discussion
5. Conclusions
Author Contributions
Funding
Institutional Review Board Statement
Informed Consent Statement
Data Availability Statement
Conflicts of Interest
References
- van Keulen, A.-M.; Buettner, S.; Besselink, M.G.; Busch, O.R.; van Gulik, T.M.; Ijzermans, J.N.; de Jonge, J.; Polak, W.G.; Swijnenburg, R.-J.; Erdmann, J.I.; et al. Primary and secondary liver failure after major liver resection for perihilar cholangiocarcinoma. Surgery 2021, 170, 1024–1030. [Google Scholar] [CrossRef] [PubMed]
- Lunca, S.; Morarasu, S.; Rouet, K.; Ivanov, A.A.; Morarasu, B.C.; Roata, C.E.; Clancy, C.; Dimofte, G.-M. Frailty Increases Morbidity and Mortality in Patients Undergoing Oncological Liver Resections: A Systematic Review and Meta-analysis. Ann. Surg. Oncol. 2024, 31, 6514–6525. [Google Scholar] [CrossRef] [PubMed] [PubMed Central]
- Koh, Y.X.; Tan, H.J.; Liew, Y.X. Liver Resection for Nonalcoholic Fatty Liver Disease-Associated Hepatocellular Carcinoma. J. Am. Coll. Surg. 2019, 229, 467–478.e1. [Google Scholar] [CrossRef] [PubMed]
- Zacharias, T.; Ferreira, N. Nutritional risk screening 2002 and ASA score predict mortality after elective liver resection for malignancy. Arch. Med. Sci. 2002, 13, 361–369. [Google Scholar] [CrossRef] [PubMed] [PubMed Central]
- van Keulen, A.-M.; Büttner, S.; Erdmann, J.I.; Hagendoorn, J.; Hoogwater, F.J.; Ijzermans, J.N.; Neumann, U.P.; Polak, W.G.; De Jonge, J.; Olthof, P.B.; et al. Major complications and mortality after resection of intrahepatic cholangiocarcinoma: A systematic review and meta-analysis. Surgery 2023, 173, 973–982. [Google Scholar] [CrossRef] [PubMed]
- Vaghiri, S.; Lehwald-Tywuschik, N.; Prassas, D.; Safi, S.A.; Kalmuk, S.; Knoefel, W.T.; Dizdar, L.; Alexander, A. Predictive factors of 90-day mortality after curative hepatic resection for hepatocellular carcinoma: A western single-center observational study. Langenbecks Arch. Surg. 2024, 409, 149. [Google Scholar] [CrossRef] [PubMed] [PubMed Central]
- Gill, T.M.; Vander Wyk, B.; Leo-Summers, L.; Murphy, T.E.; Becher, R.D. Population-Based Estimates of 1-Year Mortality After Major Surgery Among Community-Living Older US Adults. JAMA Surg. 2022, 157, e225155, Erratum in: JAMA Surg. 2023, 158, 331. [Google Scholar] [CrossRef] [PubMed] [PubMed Central]
- Clegg, A.; Young, J.; Iliffe, S.; Rikkert, M.O.; Rockwood, K. Frailty in elderly people. Lancet 2013, 381, 752–762. [Google Scholar] [CrossRef] [PubMed] [PubMed Central]
- Audisio, R.A.; van Leeuwen, B.L. Beyond “Age”: Frailty Assessment Strategies Improve Care of Older Patients with Cancer. Ann. Surg. Oncol. 2015, 22, 3774–3775. [Google Scholar] [CrossRef] [PubMed]
- Shinall, M.C.; Arya, S.; Youk, A.; Varley, P.; Shah, R.; Massarweh, N.N.; Shireman, P.K.; Johanning, J.M.; Brown, A.J.; Christie, N.A.; et al. Association of Preoperative Patient Frailty and Operative Stress With Postoperative Mortality. JAMA Surg. 2020, 155, e194620. [Google Scholar] [CrossRef] [PubMed] [PubMed Central]
- Subramaniam, S.; Aalberg, J.J.; Soriano, R.P.; Divino, C.M. New 5-Factor Modified Frailty Index Using American College of Surgeons NSQIP Data. J. Am. Coll. Surg. 2018, 226, 173–181.e8. [Google Scholar] [CrossRef] [PubMed]
- Okada, S.; Inoue, Y.; Adachi, T.; Ito, S.; Adachi, T.; Soyama, A.; Kobayashi, K.; Hidaka, M.; Kanetaka, K.; Eguchi, S. Five-item Modified Frailty Index in Elderly Patients Undergoing Laparoscopic Colorectal Surgery Predicts Postoperative Complications. Cancer Diagn. Progn. 2024, 4, 729–734. [Google Scholar] [CrossRef] [PubMed] [PubMed Central]
- Vandenbroucke, J.P.; Von Elm, E.; Altman, D.G.; Gøtzsche, P.C.; Mulrow, C.D.; Pocock, S.J.; Poole, C.; Schlesselman, J.J.; Egger, M.; Strobe Initiative. Strengthening the Reporting of Observational Studies in Epidemiology (STROBE): Explanation and elaboration. PLoS Med. 2007, 4, e297. [Google Scholar] [CrossRef] [PubMed] [PubMed Central]
- Morarasu, S.; Clancy, C.; Gorgun, E.; Yilmaz, S.; Ivanecz, A.; Kawakatsu, S.; Musina, A.M.; Velenciuc, N.; Roata, C.E.; Dimofte, G.M.; et al. Laparoscopic versus open resection of primary colorectal cancers and synchronous liver metastasis: A systematic review and meta-analysis. Int. J. Color. Dis. 2023, 38, 90. [Google Scholar] [CrossRef] [PubMed] [PubMed Central]
- Simiras, C.; Morarasu, S.; Simiras, D.-M.; Iacob, S.; Ong, W.L.; Musina, A.M.; Velenciuc, N.; Roata, C.E.; Lunca, S.; Dimofte, G.-M. Predictive and Prognostic Role of Neutrophil to Lymphocyte Ratio in Rectal Cancer: A Case Control Study with Propensity Score Analysis. Chirurgia 2023, 118, 399–409. [Google Scholar] [CrossRef] [PubMed]
- Ong, W.L.; Morarasu, S.; Lunca, S.; Pruna, R.M.; Roata, C.E.; Dimofte, G.M. Impact of Clostridium difficile Infection Versus Colonization on Postoperative Outcomes After Oncological Colorectal Surgery: An Observational Single-Center Study With Propensity Score Analysis. J. Surg. Oncol. 2024, 28, 439–446. [Google Scholar] [CrossRef] [PubMed]
- Yamada, S.; Shimada, M.; Morine, Y.; Imura, S.; Ikemoto, T.; Arakawa, Y.; Saito, Y.; Yoshikawa, M.; Miyazaki, K. Significance of Frailty in Prognosis After Hepatectomy for Elderly Patients with Hepatocellular Carcinoma. Ann. Surg. Oncol. 2021, 28, 439–446. [Google Scholar] [CrossRef] [PubMed]
- McKechnie, T.; Bao, T.; Fabbro, M.; Ruo, L.; Serrano, P.E. Frailty as a Predictor of Postoperative Morbidity and Mortality Following Liver Resection. Am. Surg. 2021, 87, 648–654. [Google Scholar] [CrossRef] [PubMed]
- Maegawa, F.B.; Ahmad, M.; Aguirre, K.; Elhanafi, S.; Chiba, S.; Philipovskiy, A.; Tyroch, A.H.; Konstantinidis, I.T. The impact of minimally invasive surgery and frailty on post-hepatectomy outcomes. HPB 2022, 24, 1577–1584. [Google Scholar] [CrossRef] [PubMed]
- Leigh, N.; Williams, G.A.; Strasberg, S.M.; Fields, R.C.; Hawkins, W.G.; Hammill, C.W.; Sanford, D.E. Increased Morbidity and Mortality After Hepatectomy for Colorectal Liver Metastases in Frail Patients is Largely Driven by Worse Outcomes After Minor Hepatectomy: It’s Not “Just a Wedge”. Ann. Surg. Oncol. 2022, 29, 5476–5485. [Google Scholar] [CrossRef] [PubMed]
- McNelis, J.; Castaldi, M. “The National Surgery Quality Improvement Project” (NSQIP): A new tool to increase patient safety and cost efficiency in a surgical intensive care unit. Patient Saf. Surg. 2014, 8, 19. [Google Scholar] [CrossRef] [PubMed] [PubMed Central]





| NF (mFI 0) n (%)/Mean (SD) | F (mFI ≥ 1) n (%)/Mean (SD) | p Value | |
|---|---|---|---|
| Total | 90 (100%) | 140 (100%) | |
| Gender (males) | 50 (55.5%) | 89 (63.5%) | p = 0.269 |
| Age, mean (SD) | 57.3 (9.6) | 66.4 (8.2) | p < 0.0001 (MD = 1.04) |
| BMI | 25.0 (4.0) | 27.2 (4.3) | p = 0.0001 (MD = 0.53) |
| mFI | |||
| 0 | 90 (100%) | 0 | |
| 1 | 0 | 75 (53.5) | |
| 2 | 0 | 46 (32.8) | |
| 3 | 0 | 15 (10.7) | |
| 4 | 0 | 2 (1.4) | |
| Comorbidities | |||
| ALD | 5 (5.5) | 12 (8.5) | p = 0.449 |
| Viral hepatitis | 17 (18.8) | 62 (44.2) | p = 0.0001 |
| Cirrhosis | 10 (11.1) | 47 (33.5) | p = 0.0001 |
| Diabetes | 3 (3.3) | 50 (35.7) | p < 0.00001 |
| CHF | 0 | 31 (22.1) | p < 0.00001 |
| COPD | 1 (1.1) | 19 (13.5) | p = 0.0006 |
| CKD | 4 (4.4) | 32 (22.8) | p = 0.0001 |
| Smoking | 24 (26.6) | 43 (30.7) | p = 0.554 |
| Neoadjuvant RT | 0 | 5 (3.5) | p = 0.159 |
| Neoadjuvant CHT | 28 (31.1) | 28 (20) | p = 0.060 |
| Neoadjuvant RCHT | 16 (17.7) | 13 (9.2) | p = 0.068 |
| ASA 2 | 30 (33.3) | 22 (15.7) | p = 0.002 |
| ASA 3 | 53 (58.8) | 102 (72.8) | p = 0.031 |
| Preoperative blood tests | |||
| Total bilirubin (mg/dL) | 0.8 (0.7) | 0.7 (0.3) | p = 0.137 |
| Albumin (g/dL) | 4.5 (0.5) | 4.4 (0.6) | p = 0.190 |
| INR | 1.05 (0.1) | 1.06 (0.1) | p = 0.460 |
| PLT (mmc) × 103 | 239 (110) | 201 (82) | p = 0.003 |
| AST | 37.3 (26.3) | 39.2 (22.8) | p = 0.562 |
| ALT | 36 (29.8) | 38.6 (27.4) | p = 0.498 |
| Operative factors | |||
| Major hepatectomy | 37 (41.1) | 42 (30) | p = 0.089 |
| No. of liver lesions (≥2) | 25 (27.7) | 44 (31.4) | p = 0.658 |
| Operative time (min) | 263 (120) | 224 (86) | p = 0.004 (MD = 0.39) |
| Blood loss (mL) | 709 (629) | 608 (709) | p = 0.272 |
| NF (mFI 0) n (%)/Mean (SD) | F (mFI ≥ 1) n (%)/Mean (SD) | p Value | |
|---|---|---|---|
| Total | 90 (100%) | 140 (100%) | |
| Morbidity | 12 (13.3) | 34 (24.2) | p = 0.04 |
| Clavien–Dindo III–V | 7 (7.7) | 13 (9.28) | p = 0.812 |
| Surgical complications | |||
| Bile leak | 2 (2.2) | 0 | p = 0.152 |
| PHLF | 1 (1.1) | 5 (3.5) | p = 0.408 |
| Bleeding/hematoma | 0 | 4 (2.8) | p = 0.157 |
| IAC | 4 (4.4) | 6 (4.2) | p = 1 |
| SSI | 0 | 2 (1.4) | p = 0.521 |
| HAI | 6 (6.6) | 26 (18.5) | p = 0.011 |
| Medical complications | |||
| DVT/PE | 2 (2.2) | 1 (0.7) | p = 0.562 |
| HAP | 3 (3.3) | 8 (5.7) | p = 0.534 |
| Cardiac | 2 (2.2) | 6 (4.2) | p = 0.486 |
| AKI | 6 (6.6) | 11 (7.8) | p = 0.801 |
| MODS | 0 | 5 (3.5) | p = 0.159 |
| Reintervention | 1 (1.1) | 5 (3.5) | p = 0.408 |
| LOS | 12.8 (5.3) | 13.5 (5.7) | p = 0.351 |
| Length of ICU stay | 2.7 (2.6) | 3.3 (4.5) | p = 0.252 |
| 30-day mortality | 1 (1.1) | 6 (4.2) | p = 0.251 |
| Variable | DF | Chi-Square (LR) | Pr > LR |
|---|---|---|---|
| Morbidity | 1 | 0.453 | 0.501 |
| Clavien–Dindo III–V | 1 | 0.065 | 0.501 |
| Surgical complications | |||
| Bile leak | 1 | 2.637 | 0.104 |
| PHLF | 1 | 6.793 | 0.009 |
| Bleeding/hematoma | 1 | 9.541 | 0.002 |
| IAC | 1 | 0.452 | 0.501 |
| SSI | 1 | 3.788 | 0.052 |
| HAI | 1 | 2.533 | 0.112 |
| Medical complications | |||
| DVT/PE | 1 | 3.754 | 0.053 |
| HAP | 1 | 2.086 | 0.149 |
| Cardiac | 1 | 0.000 | 1.000 |
| AKI | 1 | 0.758 | 0.384 |
| MODS | 1 | 0.457 | 0.499 |
| Reintervention | 2 | 0.620 | 0.733 |
| LOS | 1 | 2.323 | 0.127 |
| Length of ICU stay | 1 | 8.666 | 0.003 |
| 30-day mortality | 1 | 0.015 | 0.904 |
| Variable | mFI = 1 | mFI ≥ 2 | ||
|---|---|---|---|---|
| Chi-Square (LR) | Pr > LR | Chi-Square (LR) | Pr > LR | |
| Morbidity | 2.103 | 0.147 | 2.761 | 0.097 |
| CD 3–4 | 0.001 | 0.982 | 2.890 | 0.089 |
| PHLF | 5.776 | 0.016 | 7.730 | 0.005 |
| Bleeding | 3.797 | 0.051 | 5.052 | 0.025 |
| Variable | DF | Chi-Square (LR) | Pr > LR |
|---|---|---|---|
| Morbidity | 1 | 0.296 | 0.586 |
| Clavien–Dindo III–V | 1 | 0.326 | 0.568 |
| Surgical complications | |||
| Bile leak | 1 | 1.696 | 0.193 |
| PHLF | 1 | 0.000 | 1.000 |
| Bleeding/hematoma | 1 | 3.242 | 0.072 |
| IAC | 1 | 0.121 | 0.728 |
| SSI | 1 | 1.512 | 0.219 |
| HAI | 1 | 0.104 | 0.747 |
| Medical complications | |||
| DVT/PE | 1 | 1.345 | 0.561 |
| HAP | 1 | 1.228 | 0.268 |
| Cardiac | 1 | 0.000 | 1.000 |
| AKI | 1 | 0.444 | 0.505 |
| MODS | 1 | 0.000 | 1.000 |
| Reintervention | 2 | 0.175 | 0.916 |
| LOS | 1 | 2.684 | 0.101 |
| Length of ICU stay | 1 | 2.281 | 0.131 |
| 30-day mortality | 1 | 0.000 | 1.000 |
| Variable | DF | Chi-Square (LR) | Pr > LR |
|---|---|---|---|
| Index disease | 1 | 1.216 | 0.270 |
| Frailty status | 3 | 2.238 | 0.524 |
| Gender | 1 | 1.815 | 0.178 |
| Viral hepatitis | 1 | 3.050 | 0.081 |
Disclaimer/Publisher’s Note: The statements, opinions and data contained in all publications are solely those of the individual author(s) and contributor(s) and not of MDPI and/or the editor(s). MDPI and/or the editor(s) disclaim responsibility for any injury to people or property resulting from any ideas, methods, instructions or products referred to in the content. |
© 2025 by the authors. Licensee MDPI, Basel, Switzerland. This article is an open access article distributed under the terms and conditions of the Creative Commons Attribution (CC BY) license (https://creativecommons.org/licenses/by/4.0/).
Share and Cite
Lunca, S.; Morarasu, S.; Ivanov, A.A.; Clancy, C.; O’Brien, L.; Zaharia, R.; Musina, A.M.; Roata, C.E.; Dimofte, G.M. Is Frailty Associated with Worse Outcomes After Major Liver Surgery? An Observational Case–Control Study. Diagnostics 2025, 15, 512. https://doi.org/10.3390/diagnostics15050512
Lunca S, Morarasu S, Ivanov AA, Clancy C, O’Brien L, Zaharia R, Musina AM, Roata CE, Dimofte GM. Is Frailty Associated with Worse Outcomes After Major Liver Surgery? An Observational Case–Control Study. Diagnostics. 2025; 15(5):512. https://doi.org/10.3390/diagnostics15050512
Chicago/Turabian StyleLunca, Sorinel, Stefan Morarasu, Andreea Antonina Ivanov, Cillian Clancy, Luke O’Brien, Raluca Zaharia, Ana Maria Musina, Cristian Ene Roata, and Gabriel Mihail Dimofte. 2025. "Is Frailty Associated with Worse Outcomes After Major Liver Surgery? An Observational Case–Control Study" Diagnostics 15, no. 5: 512. https://doi.org/10.3390/diagnostics15050512
APA StyleLunca, S., Morarasu, S., Ivanov, A. A., Clancy, C., O’Brien, L., Zaharia, R., Musina, A. M., Roata, C. E., & Dimofte, G. M. (2025). Is Frailty Associated with Worse Outcomes After Major Liver Surgery? An Observational Case–Control Study. Diagnostics, 15(5), 512. https://doi.org/10.3390/diagnostics15050512

