Abstract
Background: Although the cure rates of classical Hodgkin Lymphoma (cHL) are as high as 90% using the current treatment protocols, the prognosis is poor for primary refractory patients. Thus, a biomarker that can predict patients with early progression at the time of diagnosis is an unmet clinical need. Endothelial activation and stress index (EASIX) and its variant modified EASIX (mEASIX) is a scoring system currently used for the prediction of prognosis in hematologic malignancies. This study aimed to investigate the prognostic value of the mEASIX score in newly diagnosed cHL patients. Methods: Data from 206 patients who underwent positron emission tomography (PET)-guided doxorubicin, bleomycin, vinblastine, and dacarbazine (ABVD) therapy for cHL between January 2007 and November 2023 were retrospectively analyzed. The prognostic value of the mEASIX score was evaluated using the receiver operating characteristic (ROC) analysis, Cox regression analysis, and the Kaplan–Meier method, and then compared with standard risk assessment methods. Results: The median age at diagnosis was 33 years, and the rate of patients in the advanced stage was 67%. ROC analysis determined an optimal mEASIX score cut-off of 17.28, categorizing patients into mEASIXhigh (47%) and mEASIXlow (53%) groups. The 5-year progression-free survival (PFS) (60% vs. 84.3%) and overall survival (OS) (79.6% vs. 95.8%) were significantly lower in the mEASIXhigh group (p < 0.001). Additionally, multivariate analysis showed that the independent variables affecting PFS included the nodular sclerosing subtype (HR: 0.4), bone marrow involvement (HR: 2.6), and elevated mEASIX (HR: 3.1). Independent variables, which had an effect on OS included elevated mEASIX (HR:3.8) and higher IPS-3 scores (HR:1.9). Furthermore, a higher mEASIX score (≥17.28) was identified as an independent variable indicating primary refractory disease (OR: 6.5). Conclusions: mEASIX is a powerful and easy-to-access marker for the detection of primary refractory disease and prognosis in newly diagnosed cHL cases.
1. Introduction
Hodgkin Lymphoma (HL) is a B-cell malignancy accounting for approximately 10% of all lymphoma cases and 5% of lymphoma-related mortalities [1]. Incidence increases in younger adults and those above 55 years of age and has a bimodal distribution [2,3]. Approximately 95% of all HL cases are diagnosed as classical Hodgkin Lymphoma(cHL) and 5% as nodular lymphocyte predominant B-cell lymphoma (NLPBL) [4,5]. Although cure rates are as high as 80–90% with the advancement in HL treatment, approximately 5–10% of cases persist as primary refractory disease, and 10–30% of patients experience early onset or late relapses [6,7,8]. Owing to the standard of care autologous hematopoietic stem cell transplantation, cure rates remain at 30–50% especially in primary refractory disease [9].
Combined chemoradiotherapy (CMT) in the early stages and positron emission tomography (PET)/computed tomography (CT)-guided treatment approaches in the advanced stages are the most commonly used treatment modalities in HL [10,11]. International prognostic score-7 (IPS-7) and IPS-3 have been extensively used to select the treatment protocol and determine the disease risk at treatment onset [12,13]. Nevertheless, IPS-7 and IPS-3 have proven to be inadequate in predicting recurrence/primer refractory disease [13,14,15]. Interim PET/CT (PET2) is superior to standard risk assessment methods, especially in advanced disease [16]; however, recurrence or progression is detected in approximately 18–24% of PET2-negative patients even in PET/CT-guided therapy studies. This indicates that negative PET2 results alone are not sufficient for risk assessment [8,17,18].
Endothelial activation and stress index (EASIX) is used as a scoring tool for endothelial damage and inflammatory response [19]. EASIX is calculated with the formula (creatinine [mg/dL] × Lactate Dehydrogenase (LDH) [U/L]/platelets [×109/L]) [20]. Endothelial dysfunction and damage also impact the glomerular endothelium, contributing to renal failure and increased creatinine levels [21]. During endothelial damage, there is an increase in LDH secretion [22], coagulation cascade activation and platelet counts decrease due to endothelial activation [23]. The initial studies of the EASIX score focused on veno-occlusive disease (VOD) and acute graft-versus-host disease (aGVHD), both of which are severe complications of allogeneic stem cell transplantation characterized by significant endothelial damage. In these studies, a higher EASIX score was correlated with an increased rate of aGVHD and VOD [24,25]. The modified EASIX score (mEASIX) replaces creatinine in the standard EASIX score with C-Reactive Protein (CRP), serving as a marker for inflammation severity and endothelial damage [26]. High EASIX and mEASIX scores are associated with poor prognosis in patients with COVID-19 infection, and these scores have also been recognized as prognostic markers in advanced liver failure [27,28]. Furthermore, an increasing number of studies have suggested that EASIX could be used as a prognostic marker in cases with low-risk myelodysplastic syndrome, multiple myeloma, and diffuse large B-cell lymphoma (DLBCL) [29,30,31,32].
There is a requirement for simple, easy-to-access markers for patients with HL, which would reflect the pathogenesis of the disease to predict cases that may develop early relapse or progression upon standard PET/CT-guided therapies. Furthermore, there are a few studies that have investigated the early detection of primary refractory disease. The present study aimed to investigate the predictive effect of mEASIX score at the time of diagnosis on primary refractory disease and its prognostic significance in cHL patients on doxorubicin-bleomycin-vinblastine-dacarbazine (ABVD)-based therapy.
2. Materials and Methods
2.1. Patients and Clinical Information
This study included patients aged 18 years and older, who were followed up between January 2007 and November 2023 due to cHL at the Hematology Clinic of Bursa Uludag University Faculty of Medicine. Only the patients who received at least 1 cycle of ABVD-based chemotherapy for cHL were included in the study. Patients with NLPBL, those that tested positive for HIV, those that had concurrent solid organ malignancy, those with HL who received only curative radiotherapy, those left to palliative follow-up, and those whose treatment was started in another center were excluded. The flow-chart of the patients is presented in Figure 1.
Figure 1.
Flow-chart of the study.
Demographics, comorbidities, clinicopathologic features, laboratory parameters, imaging, pathology results, treatment modalities, and treatment responses were retrospectively retrieved from patient files and the hospital information system. All patients were evaluated by PET/CT or CT at the time of diagnosis and staged by the standard Ann Arbor system (Cotswolds-modified) [33]. Moreover, bulky lesions were defined as mediastinal masses exceeding 1/3 of the maximum intrathoracic diameter and nodal or extranodal masses over 7.5 cm. Based on the German Hodgkin Study Group (GHSG) definition, Stage 3, 4, and Stage 2B patients with extranodal involvement or bulky lesions were categorized as advanced stage. Early-stage patients were categorized into risk groups based on the GHSG criteria. The patients’ IPS-7 and IPS-3 scores were calculated in light of the original study [12,13]. For the advanced-stage patients, 0–2 points were considered as low risk, 3–4 as moderate risk, and 5–7 as high risk based on the IPS-7 score; moreover, 0 points were considered as low risk, 1–2 as moderate risk, and 3 as high risk according to the IPS-3 score. The EASIX score was calculated using the following formula: Lactate dehydrogenase (LDH) [U/L] × Creatinine [mg/dL]/platelet count [109/L]. The mEASIX score was calculated using the following formula: LDH [U/L] × CRP [mg/L]/platelet count [109/L] [20,26,27].
PET2 and end-of-treatment PET/CT were used for response assessment, and results were analyzed using the Deauville 5-point scale (Deauville 5PS). A Deauville 5PS score of 1–3 was considered a complete response, 4 as a partial response, and 5 as a no-response/progression. PET2 and end-of-treatment PET/CT evaluations were performed at the same center. All patients included in the analysis received PET/CT-guided ABVD protocol. Throughout the ABVD-based treatment, patients did not receive any additional immunosuppressive therapy. Early-stage patients were evaluated with PET2, and patients with complete PET2 response were treated with a maximum of 2 more cycles of ABVD and with consolidation radiotherapy based on the occurrence of bulky lesions/risk scale at the time of diagnosis. Furthermore, advanced PET2-negative patients underwent 4 cycles of doxorubicin- vinblastine-dacarbazine (AVD). Patients with PET2 partial response (Deauville 4) received 2–4 cycles of escalated-BEACOPP (bleomycin, etoposide, doxorubicin, cyclophosphamide, vincristine, procarbazine, and prednisone) protocol depending on whether they were in an early or advanced stage. Patients who progressed during treatment or relapsed within 3 months despite complete response at the end of treatment were deemed to have primary refractory disease [34].
2.2. Statistical Analysis
Overall survival (OS) was defined as the time from diagnosis until the last follow-up or mortality due to any cause. Progression-free survival (PFS) was calculated from the time of diagnosis to the last follow-up, relapse, disease progression, or mortality due to any cause, whichever occurred first. Descriptive statistics were presented as counts and percentages for categorical variables. Furthermore, for continuous variables, means, and standard deviations were reported when data distribution was normal, otherwise, medians and minimum–maximum values were used. Student’s t-test or Mann–Whitney U test was used to compare continuous variables between the two groups, depending on whether the normal distribution hypothesis was met or not. Categorical variables were compared using the Chi-squared test. The optimal cut-off point for the mEASIX score was determined using receiver operating characteristic (ROC) curve analysis to predict disease progression or mortality. Survival curves were designed based on the Kaplan–Meier method and compared using the log-rank test. The Cox proportional hazard regression model was used for univariate and multivariate analyses for PFS and OS. Cox proportional hazard regression model with the Backward LR method was used for multivariate analysis, including factors with a p-value of less than 0.2 in univariate analysis. A p-value of less than 0.05 was considered statistically significant for multivariate analysis. Furthermore, binary logistic regression was used to analyze variables, which predicted primary refractory disease. Binary logistic regression with the Backward LR method was used for multivariate analysis, including factors with a p-value of less than 0.2 in univariate analysis. A p-value of less than 0.05 was considered statistically significant for multivariate analysis. The Statistical Package for the Social Sciences (SPSS) Version 29.0 (IBM Corp, Armonk, NY, USA) was used for all analyses.
3. Results
3.1. General Patients Characteristics
Demographic data and clinicopathologic features of 206 patients included in the study are presented in Table 1. The median age at diagnosis was 33 years, and 52.9% of the patients were men. The most common pathologic subtype was nodular sclerosis (60.7%); moreover, 54.9% of patients had B symptoms, and 10.7% of the study group had bulky lesions at the time of diagnosis. The rate of advanced-stage patients was 67%. The majority of advanced-stage patients (93.7%) were at low risk according to IPS-7, whereas the same rate was 34.1% based on IPS-3. Most patients were at moderate risk according to the IPS-3 score. The rate of patients treated with a chemoradiotherapy combination was 22.3% with a complete response rate of 82% at the end of treatment. The primary refractory disease rate was 11.2% and recurrence was observed in 27 patients during follow-up.
Table 1.
General Patients Characteristics.
ROC curve analysis aimed to find the cut-off value of the mEASIX score to predict mortality, as depicted in Figure 2. Analysis results revealed that the cut-off value was 17.28, and the power of this value in predicting PFS, OS, and the presence of primary refractory disease is shown in Table 2. Patients with an mEASIX of <17.28 were categorized as mEASIXlow, and those with an mEASIX of ≥17.28 were categorized as mEASIXhigh.
Figure 2.
ROC Curve Analysis of mEASIX score.
Table 2.
Predictive power of mEASIX in differentiating survival outcome and refractory disease.
Patient characteristics by the mEASIX score are presented in Table 3. There was no significant difference between the two groups by age, sex, and pathologic subtype distribution. The occurrence of B symptoms and bone marrow involvement at the time of diagnosis were significantly higher in the mEASIXhigh group (p < 0.001, p = 0.009). Moreover, the rate of advanced-stage disease was 91.8% in the mEASIXhigh group and 45% in the mEASIXlow group; this difference was statistically significant (p < 0.001). In the mEASIXlow group, all the patients were in the low-risk based on the IPS-7 score, whereas this rate was approximately 90% in the mEASIXhigh group. There was no significant intergroup difference by IPS-3 risk score. The LDH, erythrocyte sedimentation rate and CRP levels correlated with disease activity were significantly higher in the mEASIXhigh group (p < 0.001), whereas lymphocyte count, serum albumin, and hemoglobin levels were significantly lower (p < 0.001). The presence of primary refractory disease (19.6% vs. 3.7%), recurrence (17.6% vs. 9.2%), and incomplete response rate (28.8% vs. 8.3%) were significantly higher in the mEASIXhigh group (p < 0.001, p = 0.021, p = 0.001).
Table 3.
Characteristics of Patients Based on mEASIX Score.
3.2. Univariate and Multivariate Analyses for Treatment Response and Survival Outcomes
The results of logistic regression analysis to predict primary refractory disease at the start of treatment are given in Table 4. Multivariate analysis indicated that bone marrow involvement at the time of diagnosis and elevated mEASIX (≥17.28) were the independent variables, which predicted primary refractory disease (p = 0.010, p = 0.004).
Table 4.
Univariate and Multivariate Logistic Regression Analysis for Predicting Primary Refractory Cases.
Cox proportional regression analysis results, which reviewed the factors with an effect on PFS and OS, are presented in Table 5 and Table 6. Multivariate analysis results revealed that the nodular sclerosing subtype was associated with decreased risk of progression, and bone marrow involvement and higher mEASIX score (≥17.28 vs. <17.28) increased the risk of progression by approximately three-fold (HR:2.6, HR:3.1, p = 0.008, p < 0.001). Similarly, a higher mEASIX score increased the risk of all-cause mortality by approximately four-fold (HR:3.8, p = 0.004), whereas a higher IPS-3 score increased the risk of mortality by approximately two-fold (HR:1.94, p = 0.038). Age at diagnosis, stage, hemogram parameters at diagnosis, biochemical markers, and IPS-7 score were not significant for PFS and OS, as revealed by multivariate analysis.
Table 5.
Univariate and Multivariate Cox Regression Analysis for Progression Free Survival.
Table 6.
Univariate and Multivariate Cox Regression Analysis for Overall Survival.
3.3. Survival Outcomes
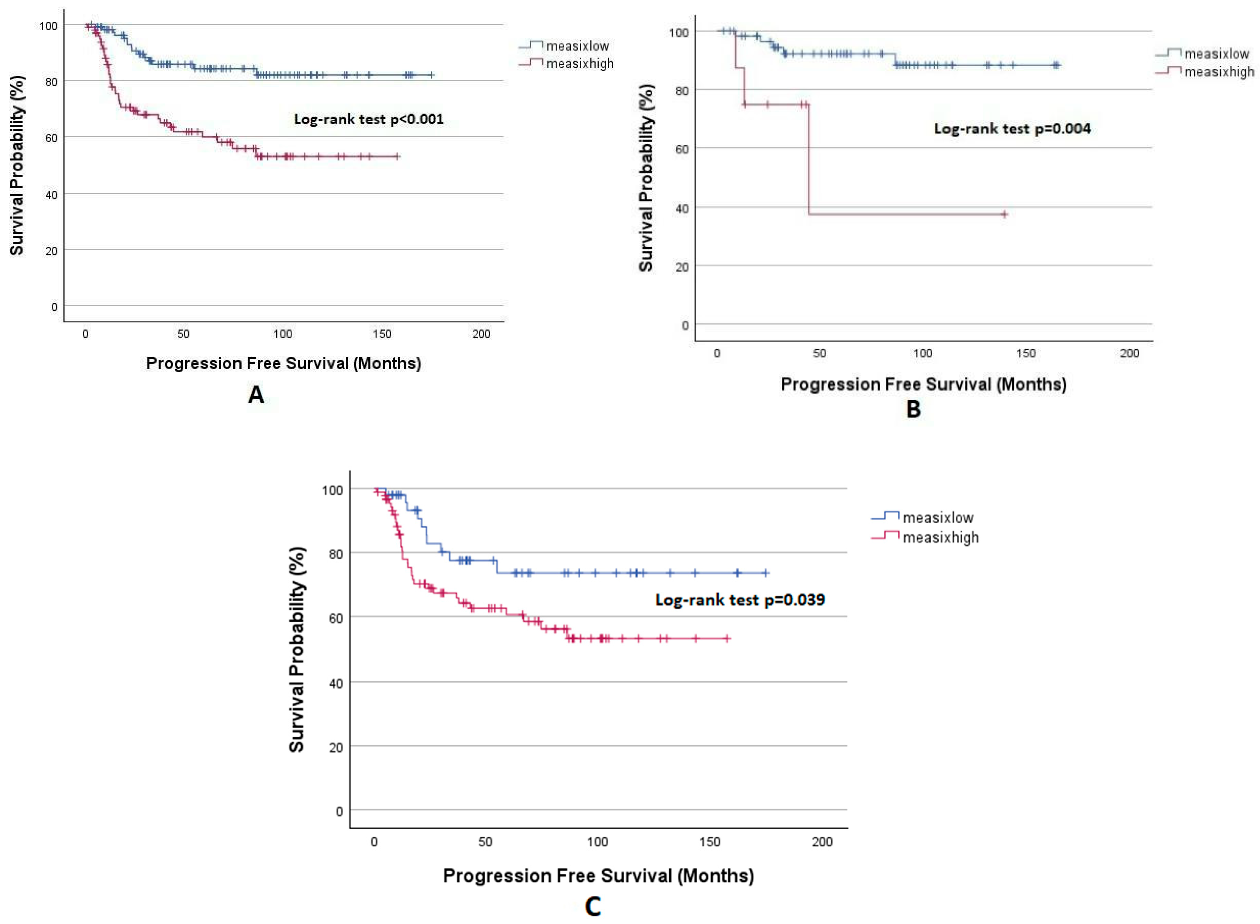
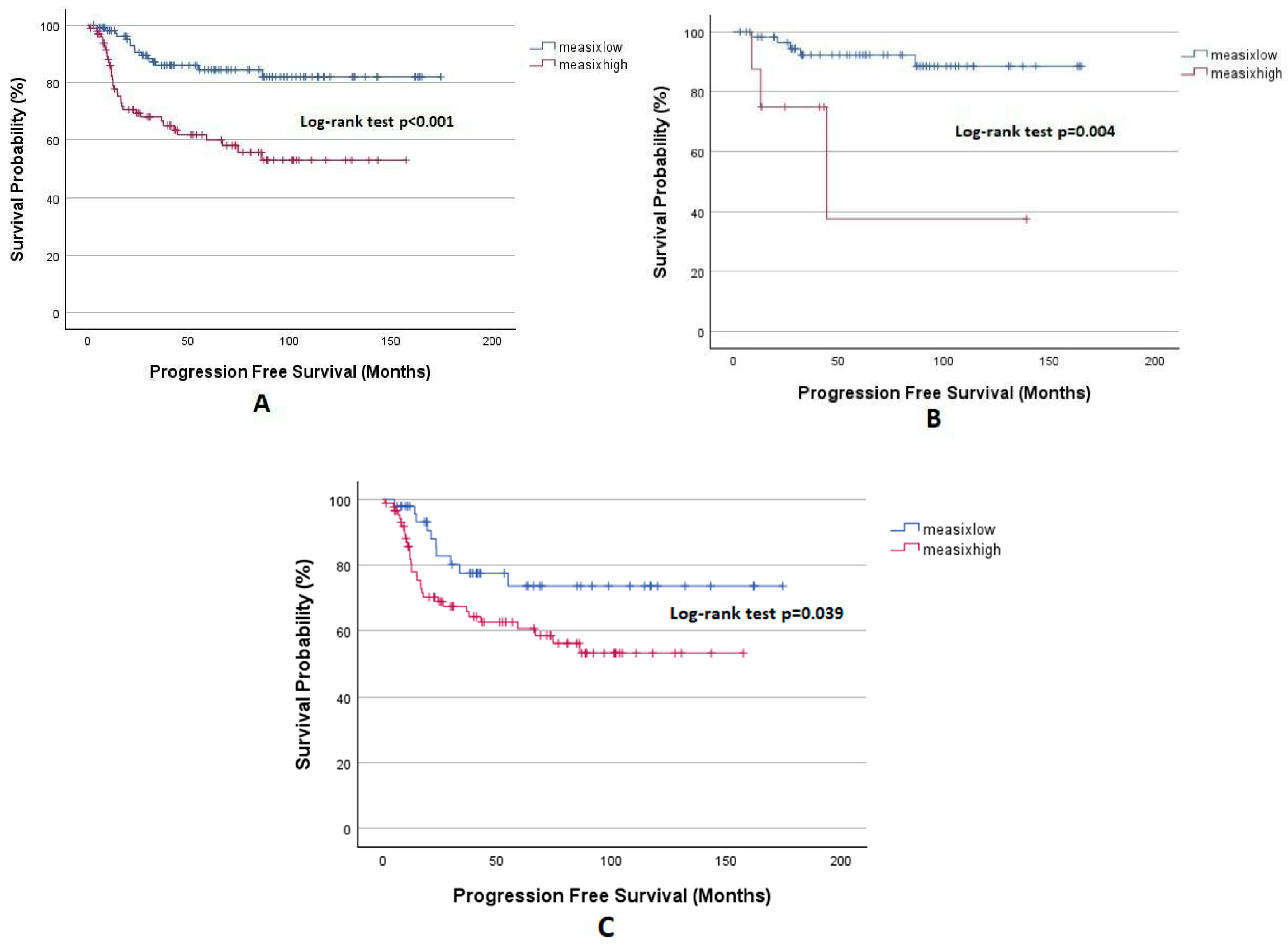
PFS analysis based on the mEASIX score is illustrated in Figure 3. The median follow-up period of the study group was 57 months, and the 1- and 5-year PFS was significantly lower in the mEASIXhigh group compared to the mEASIXlow group (82.3%, 60% vs. 98.1%, 84.3%, respectively, p < 0.001). Upon analysis by stage, in early-stage, the 1- and 5-year PFS rates were 87.5% and 37.5% in the mEASIXhigh group, and the same were 98.2% and 92.3% in the mEASIXlow group, respectively, this difference was statistically significant (p = 0.004). Similarly, 1- and 5-year PFS were significantly lower in the mEASIXhigh group in advanced-stage patients (81.8%, 60.7% vs. 98%, 73%, p = 0.039).
Figure 3.
Kaplan–Meier analysis for PFS, (A) all patients, (B) early stage, and (C) advanced stage.
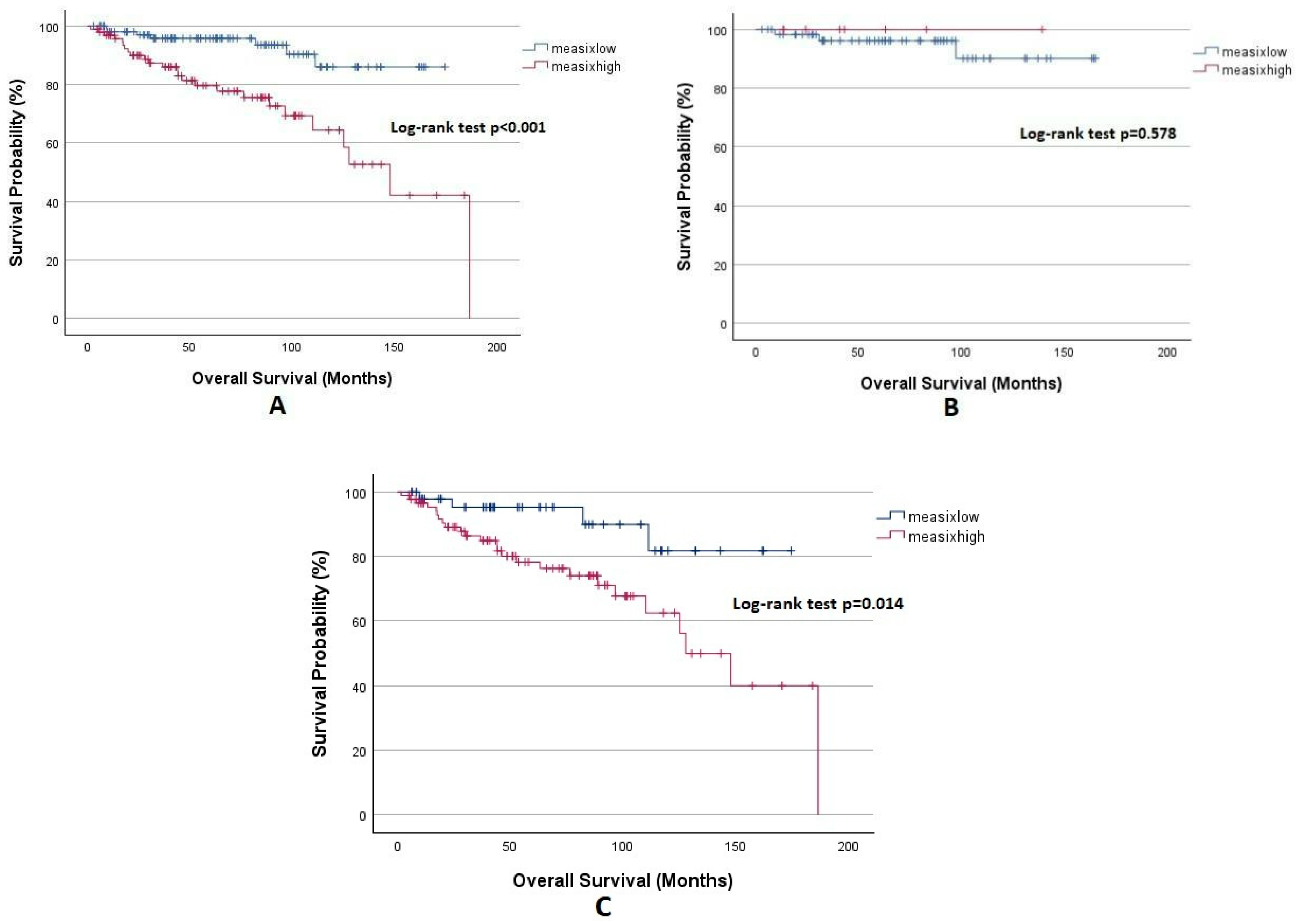
OS analysis based on the mEASIX score is depicted in Figure 4. The 5-year OS was significantly lower in the mEASIXhigh group compared to the mEASIXlow group (79.6% vs. 95.8%, p < 0.001). Furthermore, the 5-year OS was 95.3% in the mEASIXlow group, and this rate was significantly lower at 78.2% in the mEASIXhigh group in advanced-stage patients (p = 0.014). In early stage patients, the 5-year OS rates were similar in both groups (100% vs. 96.2%, p = 0.578). The relatively small number of patients in the mEASIXhigh group (8 vs. 60) and the higher rate of cure in early stage patients with subsequent treatments might have accounted for the fact that there was no intergroup difference between by OS.
Figure 4.
Kaplan–Meier analysis for OS, (A) all patients, (B) early stage, and (C) advanced stage.
The effect of mEASIX and IPS-3 scores on PFS is illustrated in Figure 5. Five-year PFS was found to be significantly lower in the mEASIXhigh group than in the mEASIXlow group regardless of the IPS-3 score (60.2%, 60.7% vs. 82.3%, 86.3%, p < 0.001). The analysis of OS based on the mEASIX and IPS-3 scores is depicted in Figure 6. The mEASIXhigh IPS-3high group had the shortest 5-year OS, whereas the mEASIXlow group had a significantly longer 5-year OS of over 90% regardless of the IPS-3 score (p < 0.001). Although the 5-year OS was lower in the mEASIXhigh IPS-3high group than in the mEASIXhigh IPS-3low group, this difference did not reach statistical significance (72.3% vs. 93.4%, p = 0.123).
Figure 5.
Kaplan–Meier analysis for PFS according to mEASIX and IPS-3.
Figure 6.
Kaplan–Meier analysis for OS according to mEASIX and IPS-3.
4. Discussion
In the era of novel therapies, it is crucial to identify at the time of diagnosis the group of patients who will respond inadequately to standard protocols [35,36,37]. Neither IPS-7 nor IPS-3, which are often used for risk assessment, are adequate to identify patients at very low and very high risk [13,14,15,38]. The use of inflammatory markers in risk assessment improves prognosis, particularly in Hodgkin Lymphoma, where the inflammatory microenvironment constitutes the majority of the tumor tissue [39,40,41,42]. To the best of our knowledge, this is the first study to evaluate the prognostic significance of the mEASIX score, which is an indicator of inflammation and endothelial damage, in patients with cHL. A higher mEASIX score at diagnosis (≥17.28) was associated with lower PFS and OS as well as a higher rate of primary refractory disease. mEASIX score is an easy-to-calculate, practical, and disease biology-related marker that can be used for risk assessment at diagnosis in early and advanced cHL cases.
PET2 examination provides crucial information with regard to prognosis and precedes the standard scoring systems used in risk assessment at the time of diagnosis [43,44]. Nevertheless, PFS rates are approximately 80%, and a significant rate of patients can be at risk of relapse or progression even in PET2-negative cases [43,45]. The prognosis is worse compared to other patients, and aggressive treatment protocols should be applied in the early stages, especially in primary refractory patients. This group of patients typically do not respond to standard protocols and are referred to autologous stem cell transplantation with salvage therapies. Few studies in the literature investigate this patient group’s risk factors [46]. The ECLIPSE study on 478 patients with primary treatment failure reported that 5-year PFS rate was 50%. Moreover, subgroup analyses revealed that PFS was lower, especially in primary refractory patients compared to other groups [47]. In the present study, a higher mEASIX score at the time of diagnosis was an independent predictor of primary refractory disease. Inclusion of the mEASIX score in the initial risk assessment can help with better identification of high-risk patients who may progress earlier.
Currently, inflammatory scoring is used for risk assessment in most malignancies [48,49]. HL is at the top of the list of malignancies, where the inflammatory microenvironment and the cytokines secreted therefrom are closely associated with prognosis [42,50]. As regards the pathogenesis of HL, the structure consisting of inflammatory cells, which form the tumor microenvironment (TME) and surrounding endothelial cells, tumor-associated macrophages, and mast cells play an important role [51,52]. Alternatively, activated macrophages (M2) stimulate angiogenesis and suppress immunity around tumor cells by expressing CD163 on their surface [53,54]. Similarly, it was reported that mast cells increased angiogenesis in patients with HL. Increased M2 macrophage levels and mast cell mass in tumor tissue were associated with lower treatment response rates and OS [51,55,56,57]. Moreover, previous studies reported that the levels of vascular endothelial growth factor-A (VEGF-A) and circulating endothelial progenitor cells in peripheral blood were significantly higher in newly diagnosed and relapsed HL cases compared to healthy controls, which is another indicator of increased angiogenesis in pathogenesis [58]. The inflammatory biology of HL along with increased endothelial activation and angiogenesis allows the prognostic use of markers of inflammation and endothelial damage [12,59,60,61]. Numerous studies have used inflammatory markers in predicting the prognosis of patients with HL and have reported that high inflammation scores were associated with poor prognosis in early and advanced-stage patients [60,62,63]. A study by Paydas et al., reported that the IPS-4 score, which was a product of inflammatory and nutritional markers integrated into the IPS-3 score, was an independent variable for PFS and OS [41]. In the present study, inflammatory markers were higher in the group with high mEASIX scores, and the prognosis in this group was worse in early and advanced-stage patients.
Kaplan–Meier analyses for PFS and OS of the IPS-4 score developed by Paydas et al. were found to be correlated with the IPS-3 score [41]. Survival analyses of the IPSPLR score by Tao et al. showed a correlation with IPS-3, but it proved more effective in identifying very high-risk and low-risk patients [64]. In our study, mEASIX serves as an independent predictor for both PFS and OS. When assessed alongside IPS-3, it appears to be an effective and easily accessible score for identifying patients at very high risk and very low risk.
Although the first studies of the EASIX score and its variants were regarding cellular therapies, including allogeneic stem cell transplantation and CAR-T cells, it was suggested that they could be used as a prognostic marker in hematologic malignancies with increasing frequency [26,29,30,31,65]. Two studies on patients with DLBCL reported that higher EASIX scores were associated with aggressive disease biology and lower PFS and OS rates [31,32]. In the present study, the original EASIX score had no prognostic significance because renal involvement is rare in patients with HL [66] and the disease has an inflammatory biology [42], whereas a higher mEASIX score was associated with lower treatment response rates and a shorter OS.
The limitations of this study included the fact that it was designed as a retrospective, single-center research, and the mEASIX score was evaluated only at the time of diagnosis without any dynamic follow-up data. Moreover, current prognostic markers, including metabolic tumor volume and circulating tumor DNA could not be evaluated due to insufficient data.
5. Conclusions
The mEASIX score at the time of diagnosis is an easy-to-access, practical scoring system that can be used to predict primary refractory disease and prognosis in patients with cHL. High-risk patient groups can be identified more accurately and sooner if the mEASIX score is included in the initial risk assessment. Prospective randomized controlled studies on the mEASIX score with a larger number of patients can help further validate the results of the present study.
Author Contributions
F.Ç.H. designed the study, analyzed the results, and wrote and revised the final manuscript and submitted the article. H.Ö., S.İ.E., A.A.E., E.E., Ş.Y., T.E. and V.G. collected the data and analyzed the results. V.Ö. and F.Ö. analyzed the results and revised the final manuscript. All authors have read and agreed to the published version of the manuscript.
Funding
This research received no external funding.
Institutional Review Board Statement
This study was conducted per the ethical principles outlined in the World Medical Association Declaration of Helsinki-Ethical Principles for Medical Research Involving Human Participants (1964) and approved by the Clinical Research Ethics Committee of the Bursa Uludag University Faculty of Medicine (Decision no:2023-27/13, Approval Date: 12 December 2023). Informed consents of the patients were collected prior to the commencement of the study. The authors declared that no competing interests existed.
Informed Consent Statement
Informed consent for this retrospective study was not required.
Data Availability Statement
The raw data supporting the conclusions of this article will be made available by the authors on request.
Conflicts of Interest
The authors declare no conflicts of interest.
References
- Siegel, R.; Ma, J.; Zou, Z.; Jemal, A. Cancer Statistics, 2014. CA Cancer J. Clin. 2014, 64, 9–29. [Google Scholar] [CrossRef]
- Glaser, S.; Jarrett, R.F. The Epidemiology of Hodgkin’s Disease. Baillieres Clin. Haematol. 1996, 9, 401–416. [Google Scholar] [CrossRef]
- Ansell, S.M. Hodgkin Lymphoma: 2025 Update on Diagnosis, Risk-Stratification, and Management. Am. J. Hematol. 2024, 99, 2367–2378. [Google Scholar] [CrossRef] [PubMed]
- Weniger, M.A.; Küppers, R. Molecular Biology of Hodgkin Lymphoma. Leukemia 2021, 35, 968–981. [Google Scholar] [CrossRef]
- Campo, E.; Jaffe, E.S.; Cook, J.R.; Quintanilla-Martinez, L.; Swerdlow, S.H.; Anderson, K.C.; Brousset, P.; Cerroni, L.; de Leval, L.; Dirnhofer, S.; et al. The International Consensus Classification of Mature Lymphoid Neoplasms: A Report from the Clinical Advisory Committee. Blood 2022, 140, 1229–1253. [Google Scholar] [CrossRef]
- Viviani, S.; Zinzani, P.L.; Rambaldi, A.; Brusamolino, E.; Levis, A.; Bonfante, V.; Vitolo, U.; Pulsoni, A.; Liberati, A.M.; Specchia, G.; et al. ABVD versus BEACOPP for Hodgkin’s Lymphoma When High-Dose Salvage Is Planned. N. Engl. J. Med. 2011, 365, 203–212. [Google Scholar] [CrossRef] [PubMed]
- Lin, J.; Siegartel, L.R.; Lingohr-Smith, M.; Menges, B.; Makenbaeva, D. Using Health Care Claims Data to Assess the Prevalence of Hodgkin Lymphoma and Relapsed or Refractory Hodgkin Lymphoma in the United States. Clin. Ther. 2017, 39, 303–310. [Google Scholar] [CrossRef] [PubMed]
- Stephens, D.M.; Li, H.; Scho¨der, H.; Straus, D.J.; Moskowitz, C.H.; LeBlanc, M.; Rimsza, L.M.; Bartlett, N.L.; Evens, A.M.; LaCasce, A.S.; et al. Five-Year Follow-up of SWOG S0816: Limitations and Values of a PET-Adapted Approach with Stage III/IV Hodgkin Lymphoma. Blood 2019, 134, 1238–1246. [Google Scholar] [CrossRef] [PubMed]
- Josting, A.; Rueffer, U.; Franklin, J.; Sieber, M.; Diehl, V.; Engert, A. Prognostic factors and treatment outcome in primary progressive Hodgkin lymphoma: A report from the German Hodgkin Lymphoma Study Group. Blood. 2000, 96, 1280–1286. [Google Scholar] [CrossRef] [PubMed]
- Barrington, S.F.; Phillips, E.H.; Counsell, N.; Hancock, B.; Pettengell, R.; Johnson, P.; Townsend, W.; Culligan, D.; Popova, B.; Clifton-Hadley, L.; et al. Positron Emission Tomography Score Has Greater Prognostic Significance Than Pretreatment Risk Stratification in Early-Stage Hodgkin Lymphoma in the UK RAPID Study. J. Clin. Oncol. 2019, 37, 1732–1741. [Google Scholar] [CrossRef]
- Casasnovas, R.O.; Bouabdallah, R.; Brice, P.; Lazarovici, J.; Ghesquieres, H.; Stamatoullas, A.; Dupuis, J.; Gac, A.C.; Gastinne, T.; Joly, B.; et al. Positron Emission Tomography-Driven Strategy in Advanced Hodgkin Lymphoma: Prolonged Follow-Up of the AHL2011 Phase III Lymphoma Study Association Study. J. Clin. Oncol. 2022, 40, 1091–1101. [Google Scholar] [CrossRef] [PubMed]
- Hasenclever, D.; Diehl, V.; Armitage, J.O.; Assouline, D.; Björkholm, M.; Brusamolino, E.; Canellos, G.P.; Carde, P.; Crowther, D.; Cunningham, D.; et al. A Prognostic Score for Advanced Hodgkin’s Disease. International Prognostic Factors Project on Advanced Hodgkin’s Disease. N. Engl. J. Med. 1998, 339, 1506–1514. [Google Scholar] [CrossRef] [PubMed]
- Diefenbach, C.S.; Li, H.; Hong, F.; Gordon, L.I.; Fisher, R.I.; Bartlett, N.L.; Crump, M.; Gascoyne, R.D.; Wagner, H.; Stiff, P.J.; et al. Evaluation of the International Prognostic Score (IPS-7) and a Simpler Prognostic Score (IPS-3) for Advanced Hodgkin Lymphoma in the Modern Era. Br. J. Haematol. 2015, 171, 530–538. [Google Scholar] [CrossRef]
- Asimakopoulos, J.V.; Angelopoulou, M.K.; Arapaki, M.P.; Kanellopoulos, A.; Dimou, M.; Giakoumis, X.; Konstantinou, E.; Belia, M.; Chatzidimitriou, C.; Sachanas, S.; et al. Validation of the Simplified International Prognostic Score3 in a Hellenic Cohort of Patients with Advanced-Stage Hodgkin-Lymphoma. Br. J. Haematol. 2020, 190, e335–e339. [Google Scholar] [CrossRef] [PubMed]
- Hayden, A.R.; Lee, D.G.; Villa, D.; Gerrie, A.S.; Scott, D.W.; Slack, G.W.; Sehn, L.H.; Connors, J.M.; Savage, K.J. Validation of a Simplified International Prognostic Score (IPS-3) in Patients with Advanced-Stage Classic Hodgkin Lymphoma. Br. J. Haematol. 2020, 189, 122–127. [Google Scholar] [CrossRef] [PubMed]
- Gallamini, A.; Hutchings, M.; Rigacci, L.; Specht, L.; Merli, F.; Hansen, M.; Patti, C.; Loft, A.; Di Raimondo, F.; D’Amore, F.; et al. Early Interim 2-[18F]Fluoro-2-Deoxy-D-Glucose Positron Emission Tomography Is Prognostically Superior to International Prognostic Score in Advanced-Stage Hodgkin’s Lymphoma: A Report from a Joint Italian-Danish Study. J. Clin. Oncol. 2007, 25, 3746–3752. [Google Scholar] [CrossRef]
- Mesguich, C.; Bouabdallah, K.; Bordenave, L.; Milpied, N.; Hindie, E. Interim PET Assessment of Advanced Hodgkin Lymphoma: Is It Sufficient? J. Nucl. Med. 2020, 61, 1694–1695. [Google Scholar] [CrossRef]
- Johnson, P.; Federico, M.; Kirkwood, A.; Fosså, A.; Berkahn, L.; Carella, A.; d’Amore, F.; Enblad, G.; Franceschetto, A.; Fulham, M.; et al. Adapted Treatment Guided by Interim PET-CT Scan in Advanced Hodgkin’s Lymphoma. N. Engl. J. Med. 2016, 374, 2419–2429. [Google Scholar] [CrossRef]
- Dai, H.; Penack, O.; Radujkovic, A.; Schult, D.; Majer-Lauterbach, J.; Blau, I.W.; Bullinger, L.; Jiang, S.; Müller-Tidow, C.; Dreger, P.; et al. Early Bilirubinemia after Allogeneic Stem Cell Transplantation-an Endothelial Complication. Bone Marrow Transplant. 2021, 56, 1573–1583. [Google Scholar] [CrossRef] [PubMed]
- Luft, T.; Benner, A.; Jodele, S.; Dandoy, C.E.; Storb, R.; Gooley, T.; Sandmaier, B.M.; Becker, N.; Radujkovic, A.; Dreger, P.; et al. EASIX in Patients with Acute Graft-versus-Host Disease: A Retrospective Cohort Analysis. Lancet Haematol. 2017, 4, e414–e423. [Google Scholar] [CrossRef] [PubMed]
- Verma, S.K.; Molitoris, B.A. Renal Endothelial Injury and Microvascular Dysfunction in Acute Kidney Injury. Semin. Nephrol. 2015, 35, 96–107. [Google Scholar] [CrossRef] [PubMed]
- Karpman, D.; Ståhl, A.L.; Arvidsson, I.; Johansson, K.; Loos, S.; Tati, R.; Békássy, Z.; Kristoffersson, A.C.; Mossberg, M.; Kahn, R. Complement Interactions with Blood Cells, Endothelial Cells and Microvesicles in Thrombotic and Inflammatory Conditions. Adv. Exp. Med. Biol. 2015, 865, 19–42. [Google Scholar] [CrossRef] [PubMed]
- Moreau, D.; Timsit, J.F.; Vesin, A.; Garrouste-Orgeas, M.; De Lassence, A.; Zahar, J.R.; Adrie, C.; Vincent, F.; Cohen, Y.; Schlemmer, B.; et al. Platelet Count Decline: An Early Prognostic Marker in Critically Ill Patients with Prolonged ICU Stays. Chest 2007, 131, 1735–1741. [Google Scholar] [CrossRef] [PubMed]
- Pedraza, A.; Salas, M.Q.; Rodríguez-Lobato, L.G.; Escribano-Serrat, S.; Suárez-Lledo, M.; Martínez-Cebrian, N.; Solano, M.T.; Arcarons, J.; Rosiñol, L.; Gutiérrez-García, G.; et al. Easix Score Correlates With Endothelial Dysfunction Biomarkers and Predicts Risk of Acute Graft-Versus-Host Disease After Allogeneic Transplantation. Transplant. Cell Ther. 2024, 30, e1–e187. [Google Scholar] [CrossRef]
- Jiang, S.; Penack, O.; Terzer, T.; Schult, D.; Majer-Lauterbach, J.; Radujkovic, A.; Blau, I.W.; Bullinger, L.; Müller-Tidow, C.; Dreger, P.; et al. Predicting Sinusoidal Obstruction Syndrome after Allogeneic Stem Cell Transplantation with the EASIX Biomarker Panel. Haematologica 2021, 106, 446–453. [Google Scholar] [CrossRef] [PubMed]
- Pennisi, M.; Sanchez-Escamilla, M.; Flynn, J.R.; Shouval, R.; Tomas, A.A.; Silverberg, M.L.; Batlevi, C.; Brentjens, R.J.; Dahi, P.B.; Devlin, S.M.; et al. Modified EASIX Predicts Severe Cytokine Release Syndrome and Neurotoxicity after Chimeric Antigen Receptor T Cells. Blood Adv. 2021, 5, 3397–3406. [Google Scholar] [CrossRef]
- Zińczuk, A.; Rorat, M.; Simon, K.; Jurek, T. EASIX, Modified EASIX and Simplified EASIX as an Early Predictor for Intensive Care Unit Admission and Mortality in Severe COVID-19 Patients. J. Pers. Med. 2022, 12, 1022. [Google Scholar] [CrossRef]
- Schult, D.; Rasch, S.; Schmid, R.M.; Lahmer, T.; Mayr, U. EASIX Is an Accurate and Easily Available Prognostic Score in Critically Ill Patients with Advanced Liver Disease. J. Clin. Med. 2023, 12, 2553. [Google Scholar] [CrossRef]
- Song, G.Y.; Jung, S.H.; Kim, K.; Kim, S.J.; Yoon, S.E.; Lee, H.S.; Kim, M.; Ahn, S.Y.; Ahn, J.S.; Yang, D.H.; et al. Endothelial Activation and Stress Index (EASIX) Is a Reliable Predictor for Overall Survival in Patients with Multiple Myeloma. BMC Cancer 2020, 20, 803. [Google Scholar] [CrossRef] [PubMed]
- Merz, A.; Germing, U.; Kobbe, G.; Kaivers, J.; Jauch, A.; Radujkovic, A.; Hummel, M.; Benner, A.; Merz, M.; Dreger, P.; et al. EASIX for Prediction of Survival in Lower-Risk Myelodysplastic Syndromes. Blood Cancer J. 2019, 9, 85. [Google Scholar] [CrossRef]
- Park, S.; Go, S., II; Lee, G.W. The Endothelial Activation and Stress Index (EASIX) Score Is an Independent Prognostic Factor in Patients with Diffuse Large B-Cell Lymphoma. BMC Cancer 2022, 22, 816. [Google Scholar] [CrossRef] [PubMed]
- Thanhakun, R.; Wudhikarn, K.; Bunworasate, U.; Rattanathammethee, T.; Norasetthada, L.; Kanya, P.; Chaloemwong, J.; Wongkhantee, S.; Phiphitaporn, P.; Chansung, K.; et al. Endothelial Activation and Stress Index as a Prognostic Factor of Diffuse Large B-Cell Lymphoma: The Report from the Nationwide Multi-Center Thai Lymphoma Study Group. Ann. Hematol. 2023, 102, 3533–3541. [Google Scholar] [CrossRef]
- Lister, T.A.; Crowther, D.; Sutcliffe, S.B.; Glatstein, E.; Canellos, G.P.; Young, R.C.; Rosenberg, S.A.; Coltman, C.A.; Tubiana, M. Report of a Committee Convened to Discuss the Evaluation and Staging of Patients with Hodgkin’s Disease: Cotswolds Meeting. J. Clin. Oncol. 1989, 7, 1630–1636. [Google Scholar] [CrossRef] [PubMed]
- Honoré, B.; Andersen, M.D.; Wilken, D.; Kamper, P.; D’amore, F.; Hamilton-Dutoit, S.; Ludvigsen, M. Classic Hodgkin Lymphoma Refractory for ABVD Treatment Is Characterized by Pathologically Activated Signal Transduction Pathways as Revealed by Proteomic Profiling. Cancers 2022, 14, 247. [Google Scholar] [CrossRef]
- Lynch, R.C.; Ujjani, C.S.; Poh, C.; Warren, E.H.; Smith, S.D.; Shadman, M.; Till, B.; Raghunathan, V.M.; Alig, S.; Alizadeh, A.A.; et al. Concurrent Pembrolizumab with AVD for Untreated Classic Hodgkin Lymphoma. Blood 2023, 141, 2576–2586. [Google Scholar] [CrossRef] [PubMed]
- Ramchandren, R.; Domingo-Domènech, E.; Rueda, A.; Trněný, M.; Feldman, T.A.; Lee, H.J.; Provencio, M.; Sillaber, C.; Cohen, J.B.; Savage, K.J.; et al. Nivolumab for Newly Diagnosed Advanced-Stage Classic Hodgkin Lymphoma: Safety and Efficacy in the Phase II CheckMate 205 Study. J. Clin. Oncol. 2019, 37, 1997–2007. [Google Scholar] [CrossRef] [PubMed]
- Borchmann, P.; Ferdinandus, J.; Schneider, G.; Moccia, A.; Greil, R.; Hertzberg, M.; Schaub, V.; Hüttmann, A.; Keil, F.; Dierlamm, J.; et al. Assessing the Efficacy and Tolerability of PET-Guided BrECADD versus EBEACOPP in Advanced-Stage, Classical Hodgkin Lymphoma (HD21): A Randomised, Multicentre, Parallel, Open-Label, Phase 3 Trial. Lancet 2024, 404, 341–352. [Google Scholar] [CrossRef] [PubMed]
- Moccia, A.A.; Donaldson, J.; Chhanabhai, M.; Hoskins, P.J.; Klasa, R.J.; Savage, K.J.; Shenkier, T.N.; Slack, G.W.; Skinnider, B.; Gascoyne, R.D.; et al. International Prognostic Score in Advanced-Stage Hodgkin’s Lymphoma: Altered Utility in the Modern Era. J. Clin. Oncol. 2012, 30, 3383–3388. [Google Scholar] [CrossRef]
- Scott, D.W.; Chan, F.C.; Hong, F.; Rogic, S.; Tan, K.L.; Meissner, B.; Ben-Neriah, S.; Boyle, M.; Kridel, R.; Telenius, A.; et al. Gene Expression-Based Model Using Formalin-Fixed Paraffin-Embedded Biopsies Predicts Overall Survival in Advanced-Stage Classical Hodgkin Lymphoma. J. Clin. Oncol. 2013, 31, 692–700. [Google Scholar] [CrossRef]
- Touati, M.; Delage-Corre, M.; Monteil, J.; Abraham, J.; Moreau, S.; Remenieras, L.; Gourin, M.P.; Dmytruk, N.; Olivrie, A.; Turlure, P.; et al. CD68-Positive Tumor-Associated Macrophages Predict Unfavorable Treatment Outcomes in Classical Hodgkin Lymphoma in Correlation with Interim Fluorodeoxyglucose-Positron Emission Tomography Assessment. Leuk. Lymphoma 2015, 56, 332–341. [Google Scholar] [CrossRef]
- Paydas, S.; Lacin, S.; Dogan, M.; Barista, I.; Yildiz, B.; Seydaoglu, G.; Karadurmus, N.; Civriz, S.; Kaplan, M.A.; Yagci, M.; et al. Easier and More Explanatory Indices by Integrating Leukocyte Lymphocyte Ratio (LLR) and Prognostic Nutritional Index (PNI) to IPS Systems in Cases with Classical Hodgkin Lymphoma. Leuk. Res. 2021, 107, 106586. [Google Scholar] [CrossRef] [PubMed]
- Bertuzzi, C.; Sabattini, E.; Agostinelli, C. Immune Microenvironment Features and Dynamics in Hodgkin Lymphoma. Cancers 2021, 13, 3634. [Google Scholar] [CrossRef] [PubMed]
- Gallamini, A.; Tarella, C.; Viviani, S.; Rossi, A.; Patti, C.; Mule, A.; Picardi, M.; Romano, A.; Cantonetti, M.; La Nasa, G.; et al. Early Chemotherapy Intensification With Escalated BEACOPP in Patients With Advanced-Stage Hodgkin Lymphoma With a Positive Interim Positron Emission Tomography/Computed Tomography Scan After Two ABVD Cycles: Long-Term Results of the GITIL/FIL HD 0607 Trial. J. Clin. Oncol. 2018, 36, 454–462. [Google Scholar] [CrossRef]
- Press, O.W.; Li, H.; Schöder, H.; Straus, D.J.; Moskowitz, C.H.; LeBlanc, M.; Rimsza, L.M.; Bartlett, N.L.; Evens, A.M.; Mittra, E.S.; et al. US Intergroup Trial of Response-Adapted Therapy for Stage III to IV Hodgkin Lymphoma Using Early Interim Fluorodeoxyglucose-Positron Emission Tomography Imaging: Southwest Oncology Group S0816. J. Clin. Oncol. 2016, 34, 2020–2027. [Google Scholar] [CrossRef]
- Zinzani, P.L.; Broccoli, A.; Gioia, D.M.; Castagnoli, A.; Ciccone, G.; Evangelista, A.; Santoro, A.; Ricardi, U.; Bonfichi, M.; Brusamolino, E.; et al. Interim Positron Emission Tomography Response-Adapted Therapy in Advanced-Stage Hodgkin Lymphoma: Final Results of the Phase II Part of the HD0801 Study. J. Clin. Oncol. 2016, 34, 1376–1385. [Google Scholar] [CrossRef] [PubMed]
- Shah, G.L.; Yahalom, J.; Matasar, M.J.; Verwys, S.L.; Goldman, D.A.; Bantilan, K.S.; Zhang, Z.; McCall, S.J.; Moskowitz, A.J.; Moskowitz, C.H. Risk Factors Predicting Outcomes for Primary Refractory Hodgkin Lymphoma Patients Treated with Salvage Chemotherapy and Autologous Stem Cell Transplantation. Br. J. Haematol. 2016, 175, 440–447. [Google Scholar] [CrossRef]
- Epperla, N.; Huang, Y.; Cashen, A.F.; Vaughn, J.L.; Hanel, W.; Badar, T.; Barta, S.K.; Caimi, P.F.; Sethi, T.K.; Reddy, N.; et al. Evaluation of Prognostic Factors in Patients with High-Risk Classical Hodgkin Lymphoma Undergoing Autologous Transplantation. Blood Adv. 2024, 8, 5458–5466. [Google Scholar] [CrossRef]
- Dolan, R.D.; Lim, J.; McSorley, S.T.; Horgan, P.G.; McMillan, D.C. The Role of the Systemic Inflammatory Response in Predicting Outcomes in Patients with Operable Cancer: Systematic Review and Meta-Analysis. Sci. Rep. 2017, 7, 134–146. [Google Scholar] [CrossRef] [PubMed]
- Matsuda, A.; Yamada, T.; Matsumoto, S.; Sakurazawa, N.; Kawano, Y.; Shinozuka, E.; Sekiguchi, K.; Suzuki, H.; Yoshida, H. Pretreatment Neutrophil-to-Lymphocyte Ratio Predicts Survival After TAS-102 Treatment of Patients With Metastatic Colorectal Cancer. Anticancer. Res. 2019, 39, 4343–4350. [Google Scholar] [CrossRef]
- Sauer, M.; Plütschow, A.; Jachimowicz, R.D.; Kleefisch, D.; Reiners, K.S.; Ponader, S.; Engert, A.; Von Strandmann, E.P. Baseline Serum TARC Levels Predict Therapy Outcome in Patients with Hodgkin Lymphoma. Am. J. Hematol. 2013, 88, 113–115. [Google Scholar] [CrossRef] [PubMed]
- Masel, R.; Roche, M.E.; Martinez-Outschoorn, U. Hodgkin Lymphoma: A Disease Shaped by the Tumor Micro- and Macroenvironment. Best. Pract. Res. Clin. Haematol. 2023, 36, 101514. [Google Scholar] [CrossRef] [PubMed]
- Aldinucci, D.; Celegato, M.; Casagrande, N. Microenvironmental Interactions in Classical Hodgkin Lymphoma and Their Role in Promoting Tumor Growth, Immune Escape and Drug Resistance. Cancer Lett. 2016, 380, 243–252. [Google Scholar] [CrossRef]
- Komohara, Y.; Jinushi, M.; Takeya, M. Clinical Significance of Macrophage Heterogeneity in Human Malignant Tumors. Cancer Sci. 2014, 105, 1–8. [Google Scholar] [CrossRef]
- Koh, Y.W.; Park, C.S.; Yoon, D.H.; Suh, C.; Huh, J. CD163 Expression Was Associated with Angiogenesis and Shortened Survival in Patients with Uniformly Treated Classical Hodgkin Lymphoma. PLoS ONE 2014, 9, e87066. [Google Scholar] [CrossRef] [PubMed]
- Glimelius, I.; Edström, A.; Fischer, M.; Nilsson, G.; Sundström, C.; Molin, D.; Amini, R.M.; Enblad, G. Angiogenesis and Mast Cells in Hodgkin Lymphoma. Leukemia 2005, 19, 2360–2362. [Google Scholar] [CrossRef] [PubMed][Green Version]
- Molin, D.; Edström, A.; Glimelius, I.; Glimelius, B.; Nilsson, G.; Sundström, C.; Enblad, G. Mast Cell Infiltration Correlates with Poor Prognosis in Hodgkin’s Lymphoma. Br. J. Haematol. 2002, 119, 122–124. [Google Scholar] [CrossRef]
- Keresztes, K.; Szollosi, Z.; Simon, Z.; Tarkanyi, I.; Nemes, Z.; Illes, A. Retrospective Analysis of the Prognostic Role of Tissue Eosinophil and Mast Cells in Hodgkin’s Lymphoma. Pathol. Oncol. Res. 2007, 13, 237–242. [Google Scholar] [CrossRef]
- Filipiak, J.; Boinska, J.; Ziołkowska, K.; Zduńska, M.; Zarychta, E.; Rość, D. Assessment of Endothelial Progenitor Cells, VEGF-A and SDF-1α in Hodgkin’s Lymphoma. Blood Coagul. Fibrinolysis 2021, 32, 266–272. [Google Scholar] [CrossRef] [PubMed]
- Casasnovas, R.O.; Mounier, N.; Brice, P.; Divine, M.; Morschhauser, F.; Gabarre, J.; Blay, J.Y.; Voillat, L.; Lederlin, P.; Stamatoullas, A.; et al. Plasma Cytokine and Soluble Receptor Signature Predicts Outcome of Patients with Classical Hodgkin’s Lymphoma: A Study from the Groupe d’Etude Des Lymphomes de l’Adulte. J. Clin. Oncol. 2007, 25, 1732–1740. [Google Scholar] [CrossRef] [PubMed]
- Karakatsanis, S.; Panitsas, F.; Arapaki, M.; Galopoulos, D.; Asimakopoulos, J.V.; Liaskas, A.; Chatzidimitriou, C.; Belia, M.; Konstantinou, E.; Vassilopoulos, I.; et al. Serum Ferritin Levels in Previously Untreated Classical Hodgkin Lymphoma: Correlations and Prognostic Significance. Leuk. Lymphoma 2022, 63, 799–812. [Google Scholar] [CrossRef]
- Vassilakopoulos, T.P.; Angelopoulou, M.K.; Siakantaris, M.P.; Kontopidou, F.N.; Dimopoulou, M.N.; Barbounis, A.; Grigorakis, V.; Karkantaris, C.; Anargyrou, K.; Chatziioannou, M.; et al. Prognostic Factors in Advanced Stage Hodgkin’s Lymphoma: The Significance of the Number of Involved Anatomic Sites. Eur. J. Haematol. 2001, 67, 279–288. [Google Scholar] [CrossRef] [PubMed]
- Piperidou, A.; Zografos, E.; Vassilakopoulos, T.J.; Angelopoulou, M.K.; Hillas, G.; Pappis, V.; Boutsikas, G.; Dimou, M.; Petevi, K.; Kanellopoulos, A.; et al. Serum Procalcitonin Levels in Newly Diagnosed Hodgkin Lymphoma: Correlation with Other Inflammatory Biomarkers. Medicina 2022, 58, 1331. [Google Scholar] [CrossRef] [PubMed]
- Mirili, C.; Paydas, S.; Kapukaya, T.K.; Yllmaz, A. Systemic Immune-Inflammation Index Predicting Survival Outcome in Patients with Classical Hodgkin Lymphoma. Biomark. Med. 2019, 13, 1565–1575. [Google Scholar] [CrossRef]
- Tao, Y.; Chen, H.; Zhou, Y.; He, X.; Qin, Y.; Liu, P.; Zhou, S.; Yang, J.; Zhou, L.; Zhang, C.; et al. A New Prognostic Model Including Platelet/Lymphocyte Ratio and International Prognostic Score 3 for Freedom from Progression in Patients with Previously Untreated Advanced Classical Hodgkin Lymphoma. Asia Pac. J. Clin. Oncol. 2022, 18, e486–e494. [Google Scholar] [CrossRef] [PubMed]
- Sanchez-Escamilla, M.; Flynn, J.; Devlin, S.; Maloy, M.; Fatmi, S.A.; Tomas, A.A.; Escribano-Serrat, S.; Ponce, D.; Sauter, C.S.; Giralt, S.A.; et al. EASIX Score Predicts Inferior Survival after Allogeneic Hematopoietic Cell Transplantation. Bone Marrow Transplant. 2023, 58, 498–505. [Google Scholar] [CrossRef] [PubMed]
- Nie, G.; Sun, L.; Zhang, C.; Yuan, Y.; Mao, H.; Wang, Z.; Li, J.; Duan, S.; Xing, C.; Zhang, B. Clinicopathological Features and Individualized Treatment of Kidney Involvement in B-Cell Lymphoproliferative Disorder. Front. Immunol. 2022, 13, 903315. [Google Scholar] [CrossRef]
Disclaimer/Publisher’s Note: The statements, opinions and data contained in all publications are solely those of the individual author(s) and contributor(s) and not of MDPI and/or the editor(s). MDPI and/or the editor(s) disclaim responsibility for any injury to people or property resulting from any ideas, methods, instructions or products referred to in the content. |
© 2025 by the authors. Licensee MDPI, Basel, Switzerland. This article is an open access article distributed under the terms and conditions of the Creative Commons Attribution (CC BY) license (https://creativecommons.org/licenses/by/4.0/).





