An Efficient 3D Convolutional Neural Network for Dose Prediction in Cancer Radiotherapy from CT Images
Abstract
1. Introduction
- We propose a custom 3D convolutional neural network model to automatically predict radiation doses from CT images in radiation therapy for cancer;
- We propose a loss function based on a dose–volume histogram to train the model;
- We evaluate the proposed method and compare it with several previous studies;
- We build software to visualize the dose map predicted by the model for easy viewing and use.
2. Data Preparation
- Data preprocessing is an important step in any deep learning problem. Real-world data are often incomplete and inconsistent due to many objective factors. Processing data before feeding them into a model can reduce the model’s training time and increase its inference capabilities on that dataset. There are many image preprocessing methods, so depending on the available data and the problem being considered, it is necessary to choose the appropriate method. In this study, the method used was standardization, a method used to change image intensity values. The CT images included in the dataset were taken by different scanners at different hospitals; a patient imaged with two different machines can produce completely different results due to differences in configuration and hardware factors between the tools. Standardization brings CT images to a common scale, through which the model can work more effectively on the dataset [22]. The standardization formula is ; the voxel values after standardization have a mean of 0 and a standard deviation of 1.
- Data augmentation is the creation of additional data from existing data. Data scarcity is one of the common challenges in building deep learning models; too little data prevents the models from learning the generality of the problem (which can lead to overfitting [27]). The main causes of data scarcity are that the collection process for some specific types of data is too expensive or takes a lot of time or because such data rarely appear. There are many methods used to generate additional data, but for this problem of predicting the radiotherapy dose, methods that do not change the size and scale of the original image are preferred. Scaling methods introduce noise to the model and contribute nothing to the training process other than increasing complexity and runtime. The two methods we applied were image flipping and image translation, and the training dataset increased from 200 to 800.
3. Methods
3.1. Proposed Model
3.1.1. The Custom 3D Convolutional Neural Network
3.1.2. Cascade Learning
3.1.3. Residual Connection
3.2. Dose–Volume Histogram (DVH)-Based Loss Function
4. Experiment
4.1. Setup and Configuration
4.2. Evaluation Metric
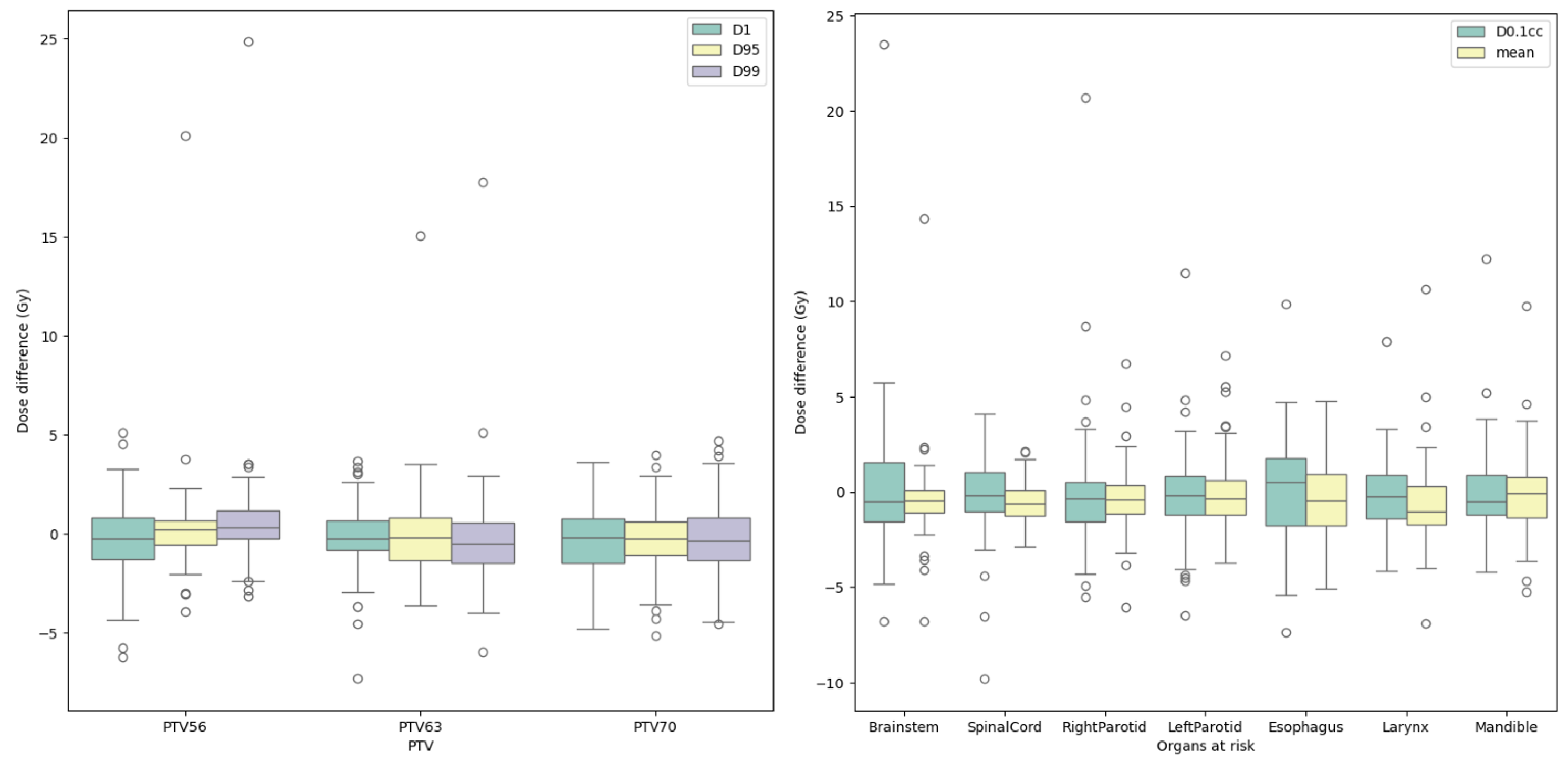
5. Results
6. Conclusions
Author Contributions
Funding
Institutional Review Board Statement
Informed Consent Statement
Data Availability Statement
Conflicts of Interest
References
- World Health Organization. Cancer. 2022. Available online: https://www.who.int/news-room/fact-sheets/detail/cancer (accessed on 3 June 2024).
- Klingelhöfer, D.; Braun, M.; Brüggmann, D.; Groneberg, D.A. The Pandemic Year 2020: World Map of Coronavirus Research. J. Med. Internet Res. 2021, 23, e30692. [Google Scholar] [CrossRef]
- Crosby, D.; Bhatia, S.; Brindle, K.M.; Coussens, L.M.; Dive, C.; Emberton, M.; Esener, S.; Fitzgerald, R.C.; Gambhir, S.S.; Kuhn, P.; et al. Early detection of cancer. Science 2022, 375, eaay9040. [Google Scholar] [CrossRef] [PubMed]
- National Cancer Institute. What Is Cancer? 2021. Available online: https://www.cancer.gov/about-cancer/understanding/what-is-cancer (accessed on 3 June 2024).
- Brown, J.S.; Amend, S.R.; Austin, R.H.; Gatenby, R.A.; Hammarlund, E.U.; Pienta, K.J. Updating the Definition of Cancer. Mol. Cancer Res. 2023, 21, 1142–1147. [Google Scholar] [CrossRef]
- Seyfried, T.N.; Huysentruyt, L.C. On the origin of cancer metastasis. Crit. Rev. Oncog. 2013, 18, 43–73. [Google Scholar] [CrossRef]
- Debela, D.T.; Muzazu, S.G.; Heraro, K.D.; Ndalama, M.T.; Mesele, B.W.; Haile, D.C.; Kitui, S.K.; Manyazewal, T. New approaches and procedures for cancer treatment: Current perspectives. SAGE Open Med. 2021, 9, 20503121211034366. [Google Scholar] [CrossRef] [PubMed]
- Chaput, G.; Regnier, L. Radiotherapy: Clinical pearls for primary care. Can. Fam. Physician 2021, 67, 753–757. [Google Scholar] [CrossRef]
- Gianfaldoni, S.; Gianfaldoni, R.; Wollina, U.; Lotti, J.; Tchernev, G.; Lotti, T. An Overview on Radiotherapy: From Its History to Its Current Applications in Dermatology. Open Access Maced. J. Med. Sci. 2017, 5, 521–525. [Google Scholar] [CrossRef]
- Tward, J.D.; Anker, C.J.; Gaffney, D.K.; Bowen, G.M. Radiation Therapy and Skin Cancer. In Modern Practices in Radiation Therapy; Natanasabapathi, G., Ed.; IntechOpen: Rijeka, Croatia, 2012; Chapter 12. [Google Scholar] [CrossRef][Green Version]
- Maani, E.V.; Maani, C.V. Radiation Therapy. 2022. Available online: https://www.ncbi.nlm.nih.gov/books/NBK537036/ (accessed on 3 June 2024).
- The American Cancer Society Medical and Editorial Content Team. How Radiation Therapy Is Used to Treat Cancer. 2019. Available online: https://www.cancer.org/cancer/managing-cancer/treatment-types/radiation/basics.html (accessed on 3 June 2024).
- Gagan, S.; Padhi, S.; Patro, K.C.; Shukla, R.; Shukla, S.K.; Arora, D.; Singh, T.R.; Kundu, C.; Bhattacharya, P.S.; Krishna, V.; et al. Daily waiting time management for modern radiation oncology department in Indian perspective. J. Cancer Res. Ther. 2022, 18, 1796–1800. [Google Scholar] [CrossRef]
- Künzel, L.A.; Thorwarth, D. Towards real-time radiotherapy planning: The role of autonomous treatment strategies. Phys. Imaging Radiat. Oncol. 2022, 24, 136–137. [Google Scholar] [CrossRef]
- Van der Merwe, D.; Dyk, J.V.; Healy, B.; Zubizarreta, E.; Izewska, J.; Mijnheer, B.; Meghzifene, A. Accuracy requirements and uncertainties in radiotherapy: A report of the International Atomic Energy Agency. Acta Oncol. 2017, 56, 1–6. [Google Scholar] [CrossRef]
- Jiang, J.; Sharif, E.; Um, H.; Berry, S.; Veeraraghavan, H. Local block-wise self attention for normal organ segmentation. arXiv 2019, arXiv:1909.05054. [Google Scholar] [CrossRef]
- Ronneberger, O.; Fischer, P.; Brox, T. U-Net: Convolutional Networks for Biomedical Image Segmentation. In Medical Image Computing and Computer-Assisted Intervention—MICCAI 2015; Navab, N., Hornegger, J., Wells, W.M., Frangi, A.F., Eds.; Springer International Publishing: Cham, Switzerland, 2015; pp. 234–241. [Google Scholar] [CrossRef]
- Qin, J.; Wang, X.; Mi, D.; Wu, Q.; He, Z.; Tang, Y. CI-UNet: Application of Segmentation of Medical Images of the Human Torso. Appl. Sci. 2023, 13, 7293. [Google Scholar] [CrossRef]
- Kavur, A.E.; Gezer, N.S.; Barış, M.; Aslan, S.; Conze, P.H.; Groza, V.; Pham, D.D.; Chatterjee, S.; Ernst, P.; Özkan, S.; et al. CHAOS Challenge—Combined (CT-MR) healthy abdominal organ segmentation. Med. Image Anal. 2021, 69, 101950. [Google Scholar] [CrossRef] [PubMed]
- Liu, J.; Zhang, Y.; Chen, J.N.; Xiao, J.; Lu, Y.; Landman, B.A.; Yuan, Y.; Yuille, A.; Tang, Y.; Zhou, Z. CLIP-Driven Universal Model for Organ Segmentation and Tumor Detection. arXiv 2023, arXiv:2301.00785. [Google Scholar]
- Ahn, S.H.; Kim, E.; Kim, C.; Cheon, W.; Kim, M.; Lee, S.B.; Lim, Y.K.; Kim, H.; Shin, D.; Kim, D.Y.; et al. Deep learning method for prediction of patient-specific dose distribution in breast cancer. Radiat. Oncol. 2021, 16, 154. [Google Scholar] [CrossRef]
- Toan, D.N.; Hien, L.T.; Toan, H.M.; Vinh, N.T.; Hieu, P.T. Predicting 3D radiotherapy dose-volume based on deep learning. Intell. Automat. Soft Comput. 2024, 39, 319–335. [Google Scholar] [CrossRef]
- Hochreiter, S. The Vanishing Gradient Problem During Learning Recurrent Neural Nets and Problem Solutions. Int. J. Uncertain. Fuzziness-Knowl.-Based Syst. 1998, 6, 107–116. [Google Scholar] [CrossRef]
- He, K.; Zhang, X.; Ren, S.; Sun, J. Deep Residual Learning for Image Recognition. In Proceedings of the 2016 IEEE Conference on Computer Vision and Pattern Recognition (CVPR), Las Vegas, NV, USA, 27–30 June 2016; pp. 770–778. [Google Scholar] [CrossRef]
- Clark, K.; Vendt, B.; Smith, K.; Freymann, J.; Kirby, J.; Koppel, P.; Moore, S.; Phillips, S.; Maffitt, D.; Pringle, M.; et al. The Cancer Imaging Archive (TCIA): Maintaining and Operating a Public Information Repository. J. Digit. Imaging 2013, 26, 1045–1057. [Google Scholar] [CrossRef]
- Babier, A.; Zhang, B.; Mahmood, R.; Moore, K.L.; Purdie, T.G.; McNiven, A.L.; Chan, T.C.Y. OpenKBP: The open-access knowledge-based planning grand challenge and dataset. Med. Phys. 2021, 48, 5549–5561. [Google Scholar] [CrossRef] [PubMed]
- Ying, X. An Overview of Overfitting and its Solutions. J. Phys. Conf. Ser. 2019, 1168, 022022. [Google Scholar] [CrossRef]
- Tran, D.; Bourdev, L.; Fergus, R.; Torresani, L.; Paluri, M. Learning Spatiotemporal Features with 3D Convolutional Networks. In Proceedings of the 2015 IEEE International Conference on Computer Vision (ICCV), Santiago, Chile, 7–13 December 2015; pp. 4489–4497. [Google Scholar] [CrossRef]
- Ulyanov, D.; Vedaldi, A.; Lempitsky, V. Instance Normalization: The Missing Ingredient for Fast Stylization. arXiv 2017, arXiv:1607.08022. [Google Scholar]
- Agarap, A.F. Deep Learning using Rectified Linear Units (ReLU). arXiv 2019, arXiv:2009.07485. [Google Scholar]
- Gholamalinezhad, H.; Khosravi, H. Pooling Methods in Deep Neural Networks, a Review. arXiv 2020, arXiv:2009.07485. [Google Scholar]
- Parsania, P.; Virparia, P. A Review: Image Interpolation Techniques for Image Scaling. Int. J. Innov. Res. Comput. Commun. Eng. 2015, 2, 7409–7414. [Google Scholar] [CrossRef]
- Marquez, E.S.; Hare, J.S.; Niranjan, M. Deep Cascade Learning. IEEE Trans. Neural Netw. Learn. Syst. 2018, 29, 5475–5485. [Google Scholar] [CrossRef] [PubMed]
- Drzymala, R.; Mohan, R.; Brewster, L.; Chu, J.; Goitein, M.; Harms, W.; Urie, M. Dose-volume histograms. Int. J. Radiat. Oncol. Biol. Phys. 1991, 21, 71–78. [Google Scholar] [CrossRef] [PubMed]
- Kingma, D.P.; Ba, J. Adam: A Method for Stochastic Optimization. arXiv 2017, arXiv:1412.6980. [Google Scholar]
- Loshchilov, I.; Hutter, F. SGDR: Stochastic Gradient Descent with Warm Restarts. arXiv 2017, arXiv:1608.03983. [Google Scholar]
- Liu, S.; Zhang, J.; Li, T.; Yan, H.; Liu, J. Technical Note: A cascade 3D U-Net for dose prediction in radiotherapy. Med. Phys. 2021, 48, 5574–5582. [Google Scholar] [CrossRef]
- Gronberg, M.; Gay, S.; Netherton, T.; Rhee, D.; Court, L.; Cardenas, C. Technical Note: Dose prediction for head and neck radiotherapy using a three-dimensional dense dilated U-net architecture. Med. Phys. 2021, 48, 5567–5573. [Google Scholar] [CrossRef]
- Zimmermann, L.; Faustmann, E.; Ramsl, C.; Georg, D.; Heilemann, G. Technical Note: Dose prediction for radiation therapy using feature-based losses and One Cycle Learning. Med. Phys. 2021, 48, 5562–5566. [Google Scholar] [CrossRef]
- Kontaxis, C.; Bol, G.H.; Lagendijk, J.J.W.; Raaymakers, B.W. DeepDose: Towards a fast dose calculation engine for radiation therapy using deep learning. Phys. Med. Biol. 2020, 65, 075013. [Google Scholar] [CrossRef]
- Nguyen, D.; Jia, X.; Sher, D.; Lin, M.H.; Iqbal, Z.; Liu, H.; Jiang, S. 3D radiotherapy dose prediction on head and neck cancer patients with a hierarchically densely connected U-net deep learning architecture. Phys. Med. Biol. 2019, 64, 065020. [Google Scholar] [CrossRef] [PubMed]
- Zhang, J.; Liu, S.; Yan, H.; Li, T.; Mao, R.; Liu, J. Predicting voxel-level dose distributions for esophageal radiotherapy using densely connected network with dilated convolutions. Phys. Med. Biol. 2020, 65, 205013. [Google Scholar] [CrossRef] [PubMed]
- Cao, H.; Wang, Y.; Chen, J.; Jiang, D.; Zhang, X.; Tian, Q.; Wang, M. Swin-Unet: Unet-Like Pure Transformer for Medical Image Segmentation. In Proceedings of the Computer Vision—ECCV 2022 Workshops, Tel Aviv, Israel, 23–27 October 2022; Karlinsky, L., Michaeli, T., Nishino, K., Eds.; Springer: Cham, Switzerland, 2023; pp. 205–218. [Google Scholar] [CrossRef]
- Hu, C.; Wang, H.; Zhang, W.; Xie, Y.; Jiao, L.; Cui, S. TrDosePred: A deep learning dose prediction algorithm based on transformers for head and neck cancer radiotherapy. J. Appl. Clin. Med. Phys. 2023, 24, e13942. [Google Scholar] [CrossRef]












| Optimizer | Adam |
| Initial learning rate | 0.001 |
| Momentum | 0.9, 0.999 |
| Learning rate schedule | Cosine annealing |
| Epochs | 100 |
| Batch size | 1 |
| Input image size | 128 × 128 × 128 |
| Params | 36, 146, 194 |
| RoIs | With Residual | Without Residual |
|---|---|---|
| Brainstem | 1.63 | 1.76 |
| Spinal Cord | 1.18 | 1.17 |
| Right Parotid | 1.39 | 1.62 |
| Left Parotid | 1.41 | 1.45 |
| Esophagus | 2.14 | 2.14 |
| Larynx | 1.66 | 1.70 |
| Mandible | 1.54 | 1.50 |
| PTV56 | 1.26 | 1.27 |
| PTV63 | 1.69 | 1.71 |
| PTV70 | 1.30 | 1.33 |
| Overall | 1.44 | 1.50 |
| Model | DVH Score (Gy) |
|---|---|
| C3D 1 | 1.478 |
| 3D DCNN 1 | 1.704 |
| U-Net-ResNet3D 1 | 1.582 |
| DeepDose 2 | 1.741 |
| HD-U-Net 2 | 1.802 |
| 2D DCNN 2 | 1.620 |
| Swin-U-Net 2 | 1.757 |
| TrDosePred 2 | 1.592 |
| Ours | 1.444 |
| Model | (Gy) | (Gy) | (Gy) | (Gy) | (Gy) |
|---|---|---|---|---|---|
| DeepDose | 2.001 ± 2.465 | 1.494 ± 2.003 | 1.777 ± 1.419 | 1.410 ± 1.527 | 1.894 ± 2.162 |
| HD-U-Net | 2.023 ± 2.436 | 1.579 ± 2.028 | 1.774 ± 1.342 | 1.323 ± 1.465 | 1.894 ± 2.157 |
| TrDosePred | 1.838 ± 2.383 | 1.407 ± 1.964 | 1.474 ± 1.269 | 1.312 ± 1.442 | 1.898 ± 2.185 |
| Ours | 1.472 ± 2.184 | 1.181 ± 1.816 | 1.407 ± 1.238 | 1.306 ± 1.405 | 1.704 ± 2 |
| Patient Number | (Gy) | (Gy) | (Gy) | (Gy) | (Gy) | DVH-Score |
|---|---|---|---|---|---|---|
| 274 | 0.913 | 1.074 | 0.649 | 1.261 | 1.548 | 1.229 |
| 279 | 0.935 | 0.661 | 0.167 | 0.561 | 1.265 | 0.741 |
| 313 | 1.084 | 0.611 | 1.720 | 0.453 | 1.122 | 0.954 |
| Model | (Gy) | (Gy) | (Gy) | (Gy) | (Gy) | DVH Score |
|---|---|---|---|---|---|---|
| Single model + MAE loss | 1.918 | 1.478 | 1.669 | 1.382 | 2.105 | 1.722 |
| Dual model + MAE loss | 1.740 | 1.333 | 1.634 | 1.455 | 2.046 | 1.679 |
| Dual model + DVH-based loss | 1.472 | 1.181 | 1.407 | 1.306 | 1.704 | 1.444 |
Disclaimer/Publisher’s Note: The statements, opinions and data contained in all publications are solely those of the individual author(s) and contributor(s) and not of MDPI and/or the editor(s). MDPI and/or the editor(s) disclaim responsibility for any injury to people or property resulting from any ideas, methods, instructions or products referred to in the content. |
© 2025 by the authors. Licensee MDPI, Basel, Switzerland. This article is an open access article distributed under the terms and conditions of the Creative Commons Attribution (CC BY) license (https://creativecommons.org/licenses/by/4.0/).
Share and Cite
Hien, L.T.; Hieu, P.T.; Toan, D.N. An Efficient 3D Convolutional Neural Network for Dose Prediction in Cancer Radiotherapy from CT Images. Diagnostics 2025, 15, 177. https://doi.org/10.3390/diagnostics15020177
Hien LT, Hieu PT, Toan DN. An Efficient 3D Convolutional Neural Network for Dose Prediction in Cancer Radiotherapy from CT Images. Diagnostics. 2025; 15(2):177. https://doi.org/10.3390/diagnostics15020177
Chicago/Turabian StyleHien, Lam Thanh, Pham Trung Hieu, and Do Nang Toan. 2025. "An Efficient 3D Convolutional Neural Network for Dose Prediction in Cancer Radiotherapy from CT Images" Diagnostics 15, no. 2: 177. https://doi.org/10.3390/diagnostics15020177
APA StyleHien, L. T., Hieu, P. T., & Toan, D. N. (2025). An Efficient 3D Convolutional Neural Network for Dose Prediction in Cancer Radiotherapy from CT Images. Diagnostics, 15(2), 177. https://doi.org/10.3390/diagnostics15020177

