Prognostic Value of the CALLY Index in Hypopharyngeal Cancer Treated with Definitive Chemoradiotherapy: A Retrospective Cohort Study
Abstract
1. Introduction
2. Materials and Methods
2.1. Study Design and Patient Selection
2.2. Treatment
2.3. Data Collection
2.4. Calculation of the CALLY Index
2.5. Statistical Analysis
3. Results
3.1. Patient Characteristics
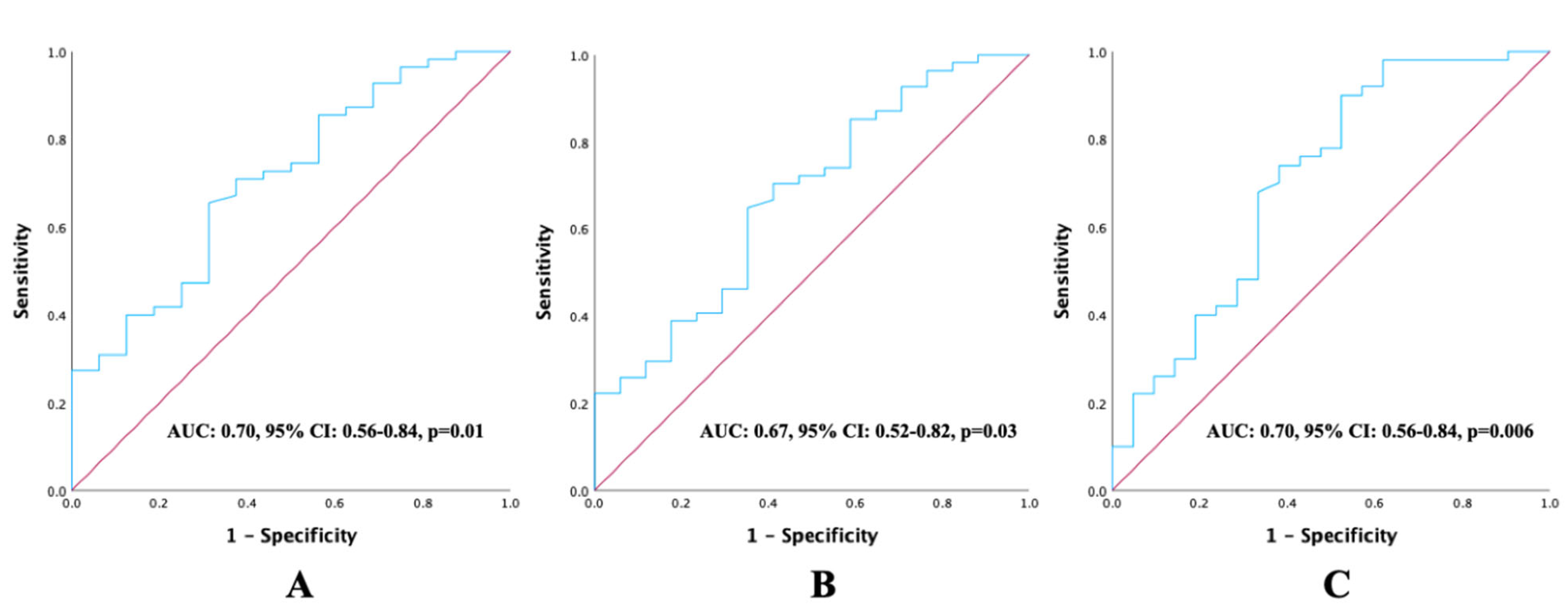
3.2. ROC Curve Analyses
3.3. Survival Analyses
4. Discussion
4.1. Clinical Implications
4.2. Biological Basis of the CALLY Index
4.3. The Challenge of Cut-Off Value Heterogeneity
4.4. Limitations of the Study
5. Conclusions
Author Contributions
Funding
Institutional Review Board Statement
Informed Consent Statement
Data Availability Statement
Conflicts of Interest
Abbreviations
| CRP | C-reactive protein |
| Alb | Albumin |
| LRFS | Local Recurrence-Free Survival |
| PFS | Progression-Free Survival |
| OS | Overall Survival |
| ECOG-PS | Eastern Cooperative Oncology Group-Performance Status |
| CCI | Charlson Comorbidity Index |
| BMI | Body Mass Index |
| AJCC | American Joint Committee on Cancer |
| ROC | Receiver Operating Characteristic |
| AUC | Area Under the Curve |
| HR | Hazard Ratio |
| CI | Confidence Interval |
| IMRT | Intensity-Modulated Radiotherapy |
| VMAT | Volumetric Modulated Arc Therapy |
| CONUT | Controlling Nutritional Status |
| PNI | Prognostic Nutritional Index |
References
- Mousavi, S.E.; Ilaghi, M.; Mirzazadeh, Y.; Jarrahi, A.M.; Nejadghaderi, S.A. Global epidemiology and socioeconomic correlates of hypopharyngeal cancer in 2020 and its projection to 2040: Findings from GLOBOCAN 2020. Front. Oncol. 2024, 14, 1398063. [Google Scholar] [CrossRef] [PubMed]
- Tsai, T.-Y.; Yap, W.-K.; Wang, T.-H.; Lu, Y.-A.; See, A.; Hu, Y.-F.; Huang, Y.; Kao, H.-K.; Chang, K.-P. Upfront Surgery Versus Upfront Concurrent Chemoradiotherapy as Primary Modality in Hypopharyngeal Squamous Cell Carcinoma: A Systematic Review and Meta-Analysis. J. Otolaryngol.-Head Neck Surg. 2024, 53, 19160216241293630. [Google Scholar] [CrossRef] [PubMed]
- Philpott, M.; Ferguson, L.R. Immunonutrition and cancer. Mutat. Res. Mol. Mech. Mutagen. 2004, 551, 29–42. [Google Scholar] [CrossRef]
- Ruffin, A.T.; Li, H.; Vujanovic, L.; Zandberg, D.P.; Ferris, R.L.; Bruno, T.C. Improving head and neck cancer therapies by immunomodulation of the tumour microenvironment. Nat. Rev. Cancer 2023, 23, 173–188. [Google Scholar] [CrossRef]
- Soeters, P.B.; Wolfe, R.R.; Shenkin, A. Hypoalbuminemia: Pathogenesis and Clinical Significance. J. Parenter. Enter. Nutr. 2019, 43, 181–193. [Google Scholar] [CrossRef]
- Lu, J.; Xu, B.; Xue, Z.; Xie, J.; Zheng, C.; Huang, C.; Li, P. Perioperative CRP: A novel inflammation-based classification in gastric cancer for recurrence and chemotherapy benefit. Cancer Med. 2021, 10, 34–44. [Google Scholar] [CrossRef]
- Dai, D.; Tian, Q.; Shui, Y.; Li, J.; Wei, Q. The impact of radiation induced lymphopenia in the prognosis of head and neck cancer: A systematic review and meta-analysis. Radiother. Oncol. 2022, 168, 28–36. [Google Scholar] [CrossRef]
- Lin, Q.; Li, C.; Lin, X.; Lin, S.; Chen, W.; Chen, X.; Huang, X.; Wang, D. Prognostic Value of Controlling Nutritional Status Score in Advanced Hypopharyngeal Cancer. Laryngoscope 2023, 133, 2613–2620. [Google Scholar] [CrossRef]
- Koca, T.; Cetmi, D.A.; Aksoy, R.A.; Korcum, A.F. The Predictive Role of Inflammatory Biomarkers in Patients with Larynx Cancer Undergoing Definitive Radiotherapy. Technol. Cancer Res. Treat. 2024, 23, 15330338241280432. [Google Scholar] [CrossRef]
- Chang, P.-H.; Yeh, K.-Y.; Wang, C.-H.; Chen, E.Y.-C.; Yang, S.-W.; Huang, J.-S.; Chou, W.-C.; Hsieh, J.C.-H. Impact of the pretreatment Glasgow prognostic score on treatment tolerance, toxicities, and survival in patients with advanced head and neck cancer undergoing concurrent chemoradiotherapy. Head Neck 2017, 39, 1990–1996. [Google Scholar] [CrossRef] [PubMed]
- Chang, P.-H.; Hsieh, J.C.-H.; Yeh, K.-Y.; Chen, E.Y.-C.; Yang, S.-W.; Huang, J.-S.; Lai, C.-H.; Wu, T.-H.; Huang, Y.-M.; Chang, Y.-S.; et al. Prognostic nutritional index relevance in chemoradiotherapy for advanced oral cavity, oropharyngeal and hypopharyngeal cancer. Asia Pac. J. Clin. Nutr. 2018, 27, 996–1001. [Google Scholar] [CrossRef]
- Iida, H.; Tani, M.; Komeda, K.; Nomi, T.; Matsushima, H.; Tanaka, S.; Ueno, M.; Nakai, T.; Maehira, H.; Mori, H.; et al. Superiority of CRP-albumin-lymphocyte index (CALLY index) as a non-invasive prognostic biomarker after hepatectomy for hepatocellular carcinoma. HPB 2022, 24, 101–115. [Google Scholar] [CrossRef]
- Müller, L.; Hahn, F.; Mähringer-Kunz, A.; Stoehr, F.; Gairing, S.J.; Michel, M.; Foerster, F.; Weinmann, A.; Galle, P.R.; Mittler, J.; et al. Immunonutritive Scoring for Patients with Hepatocellular Carcinoma Undergoing Transarterial Chemoembolization: Evaluation of the CALLY Index. Cancers 2021, 13, 5018. [Google Scholar] [CrossRef]
- Yang, M.; Lin, S.-Q.; Liu, X.-Y.; Tang, M.; Hu, C.-L.; Wang, Z.-W.; Zhang, Q.; Zhang, X.; Song, M.-M.; Ruan, G.-T.; et al. Association between C-reactive protein-albumin-lymphocyte (CALLY) index and overall survival in patients with colorectal cancer: From the investigation on nutrition status and clinical outcome of common cancers study. Front. Immunol. 2023, 14, 1131496. [Google Scholar] [CrossRef] [PubMed]
- Zhang, H.; Shi, J.; Xie, H.; Liu, X.; Ruan, G.; Lin, S.; Ge, Y.; Liu, C.; Chen, Y.; Zheng, X.; et al. Superiority of CRP-albumin-lymphocyte index as a prognostic biomarker for patients with gastric cancer. Nutrition 2023, 116, 112191. [Google Scholar] [CrossRef]
- Jiang, T.; Sun, H.; Xu, T.; Xue, S.; Xia, W.; Xiao, X.; Wang, Y.; Guo, L.; Lin, H. Significance of Pre-Treatment CALLY Score Combined with EBV-DNA Levels for Prognostication in Non-Metastatic Nasopharyngeal Cancer Patients: A Clinical Perspective. J. Inflamm. Res. 2024, 17, 3353–3369. [Google Scholar] [CrossRef] [PubMed]
- Jia, P.; Shen, F.; Zhao, Q.; Wu, X.; Sun, K.; Wang, X.; Xu, G.; Xu, H.; Cong, M.; Song, C.; et al. Association between C-reactive protein-albumin-lymphocyte index and overall survival in patients with esophageal cancer. Clin. Nutr. 2025, 45, 212–222. [Google Scholar] [CrossRef] [PubMed]
- Liu, X.-Y.; Zhang, X.; Zhang, Q.; Ruan, G.-T.; Liu, T.; Xie, H.-L.; Ge, Y.-Z.; Song, M.-M.; Deng, L.; Shi, H.-P. The value of CRP-albumin-lymphocyte index (CALLY index) as a prognostic biomarker in patients with non-small cell lung cancer. Support. Care Cancer 2023, 31, 533. [Google Scholar] [CrossRef]
- Tsai, Y.-T.; Ko, C.-A.; Chen, H.-C.; Hsu, C.-M.; Lai, C.-H.; Lee, Y.-C.; Tsai, M.-S.; Chang, G.-H.; Huang, E.I.; Fang, K.-H. Prognostic Value of CRP-Albumin-Lymphocyte (CALLY) Index in Patients Undergoing Surgery for Oral Cavity Cancer. J. Cancer 2022, 13, 3000–3012. [Google Scholar] [CrossRef]
- Grégoire, V.; Evans, M.; Le, Q.-T.; Bourhis, J.; Budach, V.; Chen, A.; Eisbruch, A.; Feng, M.; Giralt, J.; Gupta, T.; et al. Delineation of the primary tumour Clinical Target Volumes (CTV-P) in laryngeal, hypopharyngeal, oropharyngeal and oral cavity squamous cell carcinoma: AIRO, CACA, DAHANCA, EORTC, GEORCC, GORTEC, HKNPCSG, HNCIG, IAG-KHT, LPRHHT, NCIC CTG, NCRI, NRG Oncology, PHNS, SBRT, SOMERA, SRO, SSHNO, TROG consensus guidelines. Radiother. Oncol. 2018, 126, 3–24. [Google Scholar] [CrossRef]
- Grégoire, V.; Ang, K.; Budach, W.; Grau, C.; Hamoir, M.; Langendijk, J.A.; Lee, A.; Le, Q.-T.; Maingon, P.; Nutting, C.; et al. Delineation of the neck node levels for head and neck tumors: A 2013 update. DAHANCA, EORTC, HKNPCSG, NCIC CTG, NCRI, RTOG, TROG consensus guidelines. Radiother. Oncol. 2014, 110, 172–181. [Google Scholar] [CrossRef]
- Charlson, M.E.; Pompei, P.; Ales, K.L.; MacKenzie, C.R. A new method of classifying prognostic comorbidity in longitudinal studies: Development and validation. J. Chronic Dis. 1987, 40, 373–383. [Google Scholar] [CrossRef] [PubMed]
- Unal, I. Defining an Optimal Cut-Point Value in ROC Analysis: An Alternative Approach. Comput. Math. Methods Med. 2017, 2017, 3762651. [Google Scholar] [CrossRef]
- Ye, L.-L.; Oei, R.W.; Kong, F.-F.; Du, C.-R.; Zhai, R.-P.; Ji, Q.-H.; Hu, C.-S.; Ying, H.-M. The prognostic value of preoperative prognostic nutritional index in patients with hypopharyngeal squamous cell carcinoma: A retrospective study. J. Transl. Med. 2018, 16, 12. [Google Scholar] [CrossRef]
- Wu, C.; Xie, F.; Sun, K.; Jiang, L.; Xu, Z.; Yan, X.; Wang, L.; Yu, L.; Jiang, Y. Development of a nomogram to predict the probability of survival in hypopharyngeal squamous cell cancer based on systemic inflammation and nutritional indicators. J. Cranio-Maxillofac. Surg. 2025, 53, 90–96. [Google Scholar] [CrossRef]
- Spiegelberg, D.; Malmberg, C.; Ehrsson, Y.T.; Laurell, G. Higher Risk of Recurrence in Patients Treated for Head and Neck Cancer with Low BMI and Elevated Levels of C-Reactive Protein. Cancers 2022, 14, 5161. [Google Scholar] [CrossRef]
- Chen, Y.; Cong, R.; Ji, C.; Ruan, W. The prognostic role of C-reactive protein in patients with head and neck squamous cell carcinoma: A meta-analysis. Cancer Med. 2020, 9, 9541–9553. [Google Scholar] [CrossRef] [PubMed]
- Price, J.M.; Mistry, H.B.; Betts, G.; Cheadle, E.J.; Dixon, L.; Garcez, K.; Illidge, T.; Iyizoba-Ebozue, Z.; Lee, L.W.; McPartlin, A.; et al. Pretreatment Lymphocyte Count Predicts Benefit from Concurrent Chemotherapy with Radiotherapy in Oropharyngeal Cancer. J. Clin. Oncol. 2022, 40, 2203–2212. [Google Scholar] [CrossRef]
- Hashimoto, I.; Tanabe, M.; Onuma, S.; Morita, J.; Nagasawa, S.; Maezawa, Y.; Kanematsu, K.; Aoyama, T.; Yamada, T.; Yukawa, N.; et al. Clinical Impact of the C-reactive Protein-albumin-lymphocyte Index in Post-gastrectomy Patients with Gastric Cancer. In Vivo 2024, 38, 911–916. [Google Scholar] [CrossRef]
- Hollander, D.D.; Kampman, E.; van Herpen, C.M. Pretreatment body mass index and head and neck cancer outcome: A review of the literature. Crit. Rev. Oncol. Hematol. 2015, 96, 328–338. [Google Scholar] [CrossRef] [PubMed]
- Takemura, K.; Takenaka, Y.; Ashida, N.; Shimizu, K.; Oya, R.; Kitamura, T.; Yamamoto, Y.; Uno, A. Age-adjusted Charlson Comorbidity Index predicts prognosis of laryngopharyngeal cancer treated with radiation therapy. Acta Oto-Laryngol. 2017, 137, 1307–1312. [Google Scholar] [CrossRef]
- Mantovani, A.; Allavena, P.; Sica, A.; Balkwill, F. Cancer-related inflammation. Nature 2008, 454, 436–444. [Google Scholar] [CrossRef]
- Hanahan, D.; Weinberg, R.A. Hallmarks of cancer: The next generation. Cell 2011, 144, 646–674. [Google Scholar] [CrossRef]
- Zhang, Y.; Gu, D. Prognostic Impact of Serum CRP Level in Head and Neck Squamous Cell Carcinoma. Front. Oncol. 2022, 12, 889844. [Google Scholar] [CrossRef] [PubMed]
- Adachi, M.; Nakayama, M.; Matsumoto, S.; Shima, Y.; Uemaetomari, I.; Yoshimura, T.; Onishi, K.; Senarita, M.; Tabuchi, K. Elevation of C-reactive protein during concurrent chemoradiotherapy is a poor predictive factor for head and neck cancer. Auris Nasus Larynx 2023, 50, 601–606. [Google Scholar] [CrossRef]
- McFarland, D.C.; Shaffer, K.; Breitbart, W.; Rosenfeld, B.; Miller, A.H. C-reactive protein and its association with depression in patients receiving treatment for metastatic lung cancer. Cancer 2019, 125, 779–787. [Google Scholar] [CrossRef] [PubMed]
- Muscaritoli, M.; Arends, J.; Bachmann, P.; Baracos, V.; Barthelemy, N.; Bertz, H.; Bozzetti, F.; Hütterer, E.; Isenring, E.; Kaasa, S.; et al. ESPEN practical guideline: Clinical Nutrition in cancer. Clin. Nutr. 2021, 40, 2898–2913. [Google Scholar] [CrossRef]
- Simon, S.R.; Pilz, W.; Hoebers, F.J.; Leeters, I.P.; Schols, A.M.; Willemsen, A.C.; Winkens, B.; Baijens, L.W. Malnutrition screening in head and neck cancer patients with oropharyngeal dysphagia. Clin. Nutr. ESPEN 2021, 44, 348–355. [Google Scholar] [CrossRef]
- Bossi, P.; Delrio, P.; Mascheroni, A.; Zanetti, M. The Spectrum of Malnutrition/Cachexia/Sarcopenia in Oncology According to Different Cancer Types and Settings: A Narrative Review. Nutrients 2021, 13, 1980. [Google Scholar] [CrossRef] [PubMed]
- Kim, S.; McClave, S.A.; Martindale, R.G.; Miller, K.R.; Hurt, R.T. Hypoalbuminemia and Clinical Outcomes: What is the Mechanism behind the Relationship? Am. Surg. 2017, 83, 1220–1227. [Google Scholar] [CrossRef]
- Lee, C.C.; Wang, T.T.; Lubek, J.E.; Dyalram, D. Is Preoperative Serum Albumin Predictive of Adverse Outcomes in Head and Neck Cancer Surgery? J. Oral Maxillofac. Surg. 2023, 81, 1422–1434. [Google Scholar] [CrossRef]
- Lim, W.S.; Roh, J.; Kim, S.; Choi, S.; Nam, S.Y.; Kim, S.Y. Pretreatment albumin level predicts survival in head and neck squamous cell carcinoma. Laryngoscope 2017, 127, E437–E442. [Google Scholar] [CrossRef] [PubMed]
- Saito, Y.; Kobayashi, K.; Fukuoka, O.; Sakai, T.; Yamamura, K.; Ando, M.; Kondo, K. Ultra-high combined positive score and high serum albumin are favorable prognostic biomarkers for immune checkpoint inhibitors in head and neck squamous cell carcinoma. Head Neck 2024, 46, 367–377. [Google Scholar] [CrossRef] [PubMed]
- Balermpas, P.; Rödel, F.; Rödel, C.; Krause, M.; Linge, A.; Lohaus, F.; Baumann, M.; Tinhofer, I.; Budach, V.; Gkika, E.; et al. CD8+ tumour-infiltrating lymphocytes in relation to HPV status and clinical outcome in patients with head and neck cancer after postoperative chemoradiotherapy: A multicentre study of the German cancer consortium radiation oncology group (DKTK-ROG). Int. J. Cancer 2016, 138, 171–181. [Google Scholar] [CrossRef]
- Reiman, J.M.; Kmieciak, M.; Manjili, M.H.; Knutson, K.L. Tumor immunoediting and immunosculpting pathways to cancer progression. Semin. Cancer Biol. 2007, 17, 275–287. [Google Scholar] [CrossRef]
- Kreinbrink, P.; Li, J.; Parajuli, S.; Wise-Draper, T.; Choi, D.; Tang, A.; Takiar, V. Pre-treatment absolute lymphocyte count predicts for improved survival in human papillomavirus (HPV)-driven oropharyngeal squamous cell carcinoma. Oral Oncol. 2021, 116, 105245. [Google Scholar] [CrossRef]
- Xing, A.; Lv, D.; Wu, C.; Zhou, K.; Zhao, T.; Zhao, L.; Wang, H.; Feng, H. Tertiary Lymphoid Structures Gene Signature Predicts Prognosis and Immune Infiltration Analysis in Head and Neck Squamous Cell Carcinoma. Curr. Genom. 2024, 25, 88–104. [Google Scholar] [CrossRef] [PubMed]
- Saito, H.; Kono, Y.; Murakami, Y.; Shishido, Y.; Kuroda, H.; Yamamoto, M.; Fukumoto, Y.; Osaki, T.; Ashida, K.; Fujiwara, Y. Prognostic Significance of Pre- and Postoperative Lymphocyte Counts in Patients with Gastric Cancer. Dig. Surg. 2019, 36, 137–143. [Google Scholar] [CrossRef]




| Characteristic | All Patients (n = 71) | CALLY Index < 1.47 (n = 40) | CALLY Index ≥ 1.47 (n = 31) | p-Value |
|---|---|---|---|---|
| Age | ||||
| <63 years | 36 (51%) | 18 (45%) | 18 (58%) | 0.27 |
| ≥63 years | 35 (49%) | 22 (55%) | 13 (42%) | |
| Gender | ||||
| Female | 24 (33.8%) | 12 (30%) | 12 (38.7%) | 0.44 |
| Male | 47 (66.2%) | 28 (70%) | 19 (61.3%) | |
| ECOG-PS | ||||
| 0–1 | 65 (91.5%) | 35 (87.5%) | 30 (96.7%) | 0.22 |
| 2 | 6 (8.5%) | 5 (12.5%) | 1 (3.3%) | |
| Charlson Comorbidity Index | ||||
| <5 | 50 (70.4%) | 28 (70%) | 22 (71%) | 0.92 |
| ≥5 | 21 (29.6) | 12 (30%) | 9 (29%) | |
| BMI | ||||
| <23.7 | 35 (49.2%) | 22 (55%) | 13 (42%) | 0.27 |
| ≥23.7 | 36 (50.8%) | 18 (45%) | 18 (58%) | |
| Feeding Tube | ||||
| Yes | 16 (22.5%) | 11 (27.5%) | 5 (16.1%) | 0.25 |
| No | 55 (77.5%) | 29 (72.5%) | 26 (83.9%) | |
| T Stage | ||||
| T2 | 13 (18.3%) | 6 (15%) | 7 (22.5%) | 0.09 |
| T3 | 16 (22.6%) | 6 (15%) | 10 (32.3%) | |
| T4 | 42 (59.1%) | 28 (70%) | 14 (45.2%) | |
| N Stage | ||||
| N0–1 | 28 (39.4%) | 13 (32.5%) | 15 (48.3%) | 0.17 |
| N2–3 | 43 (60.6%) | 27 (67.5%) | 16 (51.7%) | |
| TNM Stage | ||||
| Stage II | 4 (5.7%) | 1 (2.5%) | 3 (9.7%) | 0.02 |
| Stage III | 9 (12.7%) | 2 (5%) | 7 (22.5%) | |
| Stage IV | 58 (81.6%) | 37 (92.5%) | 21(67.8%) | |
| Univariate Analysis | Multivariate Analysis | ||||
|---|---|---|---|---|---|
| Variables | Cut-Off | HR (%95 CI) | p | HR (%95 CI) | p |
| Age (years) | <63 vs. ≥63 | 0.76 (0.44–1.30) | 0.32 | ||
| Gender | Female vs. Male | 0.90 (0.51–1.59) | 0.72 | ||
| ECOG-PS | 0–1 vs. 2 | 2.21 (0.85–5.72) | 0.10 | ||
| CCI | <5 vs. ≥5 | 0.94 (0.52–1.68) | 0.84 | ||
| BMI | <23.7 vs. ≥23.7 | 0.75 (0.44–1.28) | 0.29 | ||
| T stage | T2–3 vs. T4 | 2.57 (1.45–4.57) | 0.001 | 2.11 (1.15–3.90) | 0.01 |
| N stage | N0–1 vs. N2–3 | 1.85 (1.05–3.26) | 0.03 | 1.24 (0.68–2.28) | 0.47 |
| CALLY Index | <1.47 vs. ≥1.47 | 0.41 (0.23–0.73) | 0.003 | 0.49 (0.27–0.89) | 0.01 |
| Univariate Analysis | Multivariate Analysis | ||||
|---|---|---|---|---|---|
| Variables | Cut-Off | HR (%95 CI) | p | HR (%95 CI) | p |
| Age (years) | <63 vs. ≥63 | 0.77 (0.45–1.32) | 0.35 | ||
| Gender | Female vs. Male | 0.89 (0.50–1.58) | 0.70 | ||
| ECOG-PS | 0–1 vs. 2 | 2.45 (0.94–6.39) | 0.06 | ||
| CCI | <5 vs. ≥5 | 0.93 (0.51–1.66) | 0.80 | ||
| BMI | <23.7 vs. ≥23.7 | 0.77 (0.45–1.32) | 0.34 | ||
| T stage | T2–3 vs. T4 | 2.55 (1.43–4.53) | 0.001 | 2.12 (1.15–3.91) | 0.01 |
| N stage | N0–1 vs. N2–3 | 1.77 (1.01–3.12) | 0.04 | 1.20 (0.65–2.20) | 0.55 |
| CALLY Index | <1.47 vs. ≥1.47 | 0.41 (0.23–0.73) | 0.002 | 0.48 (0.27–0.87) | 0.01 |
| Univariate Analysis | Multivariate Analysis | ||||
|---|---|---|---|---|---|
| Variables | Cut-Off | HR (%95 CI) | p | HR (%95 CI) | p |
| Age (years) | <63 vs. ≥63 | 0.88 (0.50–1.55) | 0.67 | ||
| Gender | Female vs. Male | 0.89 (0.49–1.62) | 0.72 | ||
| ECOG-PS | 0–1 vs. 2 | 3.46 (1.30–9.20) | 0.01 | 1.88 (0.69–5.10) | 0.21 |
| CCI | <5 vs. ≥5 | 0.98 (0.53–1.81) | 0.97 | ||
| BMI | <23.7 vs. ≥23.7 | 0.87 (0.49–1.52) | 0.63 | ||
| T stage | T2–3 vs. T4 | 2.79 (1.52–5.09) | <0.001 | 2.32 (1.24–4.37) | 0.008 |
| N stage | N0–1 vs. N2–3 | 1.80 (0.99–3.27) | 0.051 | 1.19 (0.64–2.23) | 0.57 |
| CALLY Index | <1.47 vs. ≥1.47 | 0.35 (0.19–0.64) | 0.002 | 0.41 (0.22–0.77) | 0.006 |
Disclaimer/Publisher’s Note: The statements, opinions and data contained in all publications are solely those of the individual author(s) and contributor(s) and not of MDPI and/or the editor(s). MDPI and/or the editor(s) disclaim responsibility for any injury to people or property resulting from any ideas, methods, instructions or products referred to in the content. |
© 2025 by the authors. Licensee MDPI, Basel, Switzerland. This article is an open access article distributed under the terms and conditions of the Creative Commons Attribution (CC BY) license (https://creativecommons.org/licenses/by/4.0/).
Share and Cite
Cetinayak, H.O.; Aydin, B.; Semiz, V.; Atac Kutlu, E.; Basan, U.; Aksoy, R.A. Prognostic Value of the CALLY Index in Hypopharyngeal Cancer Treated with Definitive Chemoradiotherapy: A Retrospective Cohort Study. Diagnostics 2025, 15, 2237. https://doi.org/10.3390/diagnostics15172237
Cetinayak HO, Aydin B, Semiz V, Atac Kutlu E, Basan U, Aksoy RA. Prognostic Value of the CALLY Index in Hypopharyngeal Cancer Treated with Definitive Chemoradiotherapy: A Retrospective Cohort Study. Diagnostics. 2025; 15(17):2237. https://doi.org/10.3390/diagnostics15172237
Chicago/Turabian StyleCetinayak, Hasan Oguz, Barbaros Aydin, Volkan Semiz, Ece Atac Kutlu, Umut Basan, and Rahmi Atıl Aksoy. 2025. "Prognostic Value of the CALLY Index in Hypopharyngeal Cancer Treated with Definitive Chemoradiotherapy: A Retrospective Cohort Study" Diagnostics 15, no. 17: 2237. https://doi.org/10.3390/diagnostics15172237
APA StyleCetinayak, H. O., Aydin, B., Semiz, V., Atac Kutlu, E., Basan, U., & Aksoy, R. A. (2025). Prognostic Value of the CALLY Index in Hypopharyngeal Cancer Treated with Definitive Chemoradiotherapy: A Retrospective Cohort Study. Diagnostics, 15(17), 2237. https://doi.org/10.3390/diagnostics15172237

