Evaluating the Discriminative Performance of Noninvasive Biomarkers in Chronic Hepatitis B/C, Alcoholic Cirrhosis, and Nonalcoholic Cirrhosis: A Comparative Analysis
Abstract
1. Introduction
2. Materials and Methods
2.1. Study Design and Ethical Considerations
2.1.1. Inclusion and Exclusion Criteria
2.1.2. Participant Selection and Grouping
2.2. Laboratory Investigations
2.2.1. Direct Serological Tests
2.2.2. Sample Collection and Handling
2.2.3. Hematological and Biochemical Investigations
2.2.4. Serological Determination
2.2.5. Indirect Serological Assessments
2.3. Statistical Analysis
3. Results
3.1. Comparison of the General Characteristics Between Groups
3.2. Comparison of Direct Serum Biomarker Values Between Groups
3.3. Comparison of Non-Serological Biomarker Values Between Groups
3.4. Analysis and Comparison of Kruskal–Wallis Test Results for Hematological and Enzymatic Parameters
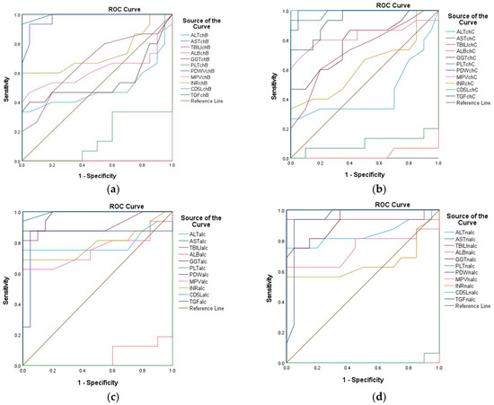
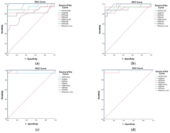
3.5. Analysis of AUC-ROC Results in Different Liver Conditions
3.6. Bivariate Spearman Correlation Analysis Across Liver Cirrhosis Etiologies
3.6.1. Shared Patterns of Hepatic Injury and Fibrosis
3.6.2. Thrombocytopenia and Fibrosis as a Universal Hallmark
3.6.3. Convergence and Divergence of Fibrosis Indices
3.6.4. Etiology-Specific Biomarker Dynamics
4. Discussion
4.1. Biomarkers of Hepatocellular Injury and Synthesis
4.2. Coagulation and Oxidative Stress Markers
4.3. Immune Mediators and Fibrogenic Pathways
4.4. Comparative Utility of Noninvasive Indices
4.5. Strengths and Clinical Implications, Limitations, and Future Directions
5. Conclusions
Supplementary Materials
Author Contributions
Funding
Institutional Review Board Statement
Informed Consent Statement
Data Availability Statement
Acknowledgments
Conflicts of Interest
Abbreviations
| CHB | Chronic hepatitis B |
| CHC | Chronic hepatitis C |
| ALC | Alcoholic cirrhosis |
| NALC | Nonalcoholic cirrhosis |
| AST | Aspartate aminotransferase |
| ALT | Alanine aminotransferase |
| TBIL | Total bilirubin |
| ALB | Albumin |
| PLT | Number of platelets |
| INR | International normalized ratio |
| GGT | Gamma-glutamyl transferase |
| CD5L | CD 5 antigen-like |
| TGFβ1 | Transforming growth factor |
| PDW | Platelet distribution width |
| MPV | Mean platelet volume |
| BMI | Body mass index |
References
- Bárcena, C.; Aran, G.; Perea, L.; Sanjurjo, L.; Téllez, É.; Oncins, A.; Masnou, H.; Serra, I.; García-Gallo, M.; Kremer, L.; et al. CD5L Is a Pleiotropic Player in Liver Fibrosis Controlling Damage, Fibrosis and Immune Cell Content. EBioMedicine 2019, 43, 513–524. [Google Scholar] [CrossRef] [PubMed]
- Ogrodnik, M.; Miwa, S.; Tchkonia, T.; Tiniakos, D.; Wilson, C.L.; Lahat, A.; Day, C.P.; Burt, A.; Palmer, A.; Anstee, Q.M.; et al. Cellular Senescence Drives Age-Dependent Hepatic Steatosis. Nat. Commun. 2017, 8, 15691. [Google Scholar] [CrossRef] [PubMed]
- Tripathi, A.; Debelius, J.; Brenner, D.A.; Karin, M.; Loomba, R.; Schnabl, B.; Knight, R. The Gut–Liver Axis and the Intersection with the Microbiome. Nat. Rev. Gastroenterol. Hepatol. 2018, 15, 397–411. [Google Scholar] [CrossRef] [PubMed]
- Friedman, S.L. Mechanisms of Hepatic Fibrogenesis. Gastroenterology 2008, 134, 1655–1669. [Google Scholar] [CrossRef]
- Mokdad, A.A.; Lopez, A.D.; Shahraz, S.; Lozano, R.; Mokdad, A.H.; Stanaway, J.; Murray, C.J.; Naghavi, M. Liver Cirrhosis Mortality in 187 Countries between 1980 and 2010: A Systematic Analysis. BMC Med. 2014, 12, 145. [Google Scholar] [CrossRef]
- Tapper, E.B.; Parikh, N.D. Mortality Due to Cirrhosis and Liver Cancer in the United States, 1999–2016: Observational Study. BMJ 2018, 362, k2817. [Google Scholar] [CrossRef] [PubMed]
- Schweitzer, A.; Horn, J.; Mikolajczyk, R.T.; Krause, G.; Ott, J.J. Estimations of Worldwide Prevalence of Chronic Hepatitis B Virus Infection: A Systematic Review of Data Published between 1965 and 2013. Lancet 2015, 386, 1546–1555. [Google Scholar] [CrossRef]
- Younossi, Z.M.; Koenig, A.B.; Abdelatif, D.; Fazel, Y.; Henry, L.; Wymer, M. Global Epidemiology of Nonalcoholic Fatty Liver Disease—Meta-analytic Assessment of Prevalence, Incidence, and Outcomes. Hepatology 2016, 64, 73–84. [Google Scholar] [CrossRef]
- Moon, A.M.; Singal, A.G.; Tapper, E.B. Contemporary Epidemiology of Chronic Liver Disease and Cirrhosis. Clin. Gastroenterol. Hepatol. 2020, 18, 2650–2666. [Google Scholar] [CrossRef]
- Sterling, R.K.; Patel, K.; Duarte-Rojo, A.; Asrani, S.K.; Alsawas, M.; Dranoff, J.A.; Fiel, M.I.; Murad, M.H.; Leung, D.H.; Levine, D.; et al. AASLD Practice Guideline on Blood-Based Noninvasive Liver Disease Assessment of Hepatic Fibrosis and Steatosis. Hepatology 2025, 81, 321–357. [Google Scholar] [CrossRef]
- Castéra, L.; Vergniol, J.; Foucher, J.; Le Bail, B.; Chanteloup, E.; Haaser, M.; Darriet, M.; Couzigou, P.; De Lédinghen, V. Prospective Comparison of Transient Elastography, Fibrotest, APRI, and Liver Biopsy for the Assessment of Fibrosis in Chronic Hepatitis C. Gastroenterology 2005, 128, 343–350. [Google Scholar] [CrossRef] [PubMed]
- Sterling, R.K.; Lissen, E.; Clumeck, N.; Sola, R.; Correa, M.C.; Montaner, J.S.; Sulkowski, M.; Torriani, F.J.; Dieterich, D.T.; Thomas, D.L.; et al. Development of a Simple Noninvasive Index to Predict Significant Fibrosis in Patients with HIV/HCV Coinfection†‡. Hepatology 2006, 43, 1317–1325. [Google Scholar] [CrossRef] [PubMed]
- Gray, J.; Chattopadhyay, D.; Beale, G.S.; Patman, G.L.; Miele, L.; King, B.P.; Stewart, S.; Hudson, M.; Day, C.P.; Manas, D.M.; et al. A Proteomic Strategy to Identify Novel Serum Biomarkers for Liver Cirrhosis and Hepatocellular Cancer in Individuals with Fatty Liver Disease. BMC Cancer 2009, 9, 271. [Google Scholar] [CrossRef] [PubMed]
- Aran, G.; Sanjurjo, L.; Barcena, C.; Simon-Coma, M.; Téllez, É.; Vázquez-Vitali, M.; Garrido, M.; Guerra, L.; Díaz, E.; Ojanguren, I.; et al. CD5L Is Upregulated in Hepatocellular Carcinoma and Promotes Liver Cancer Cell Proliferation and Antiapoptotic Responses by Binding to HSPA5 (GRP78). FASEB J. 2018, 32, 3878–3891. [Google Scholar] [CrossRef] [PubMed]
- Li, M.; Ling, T.; Teng, F.; Hu, C.; Su, Z.; Zhang, C.; Li, X.; Zhao, T.; Mu, X.; Li, Y.; et al. CD5L Deficiency Attenuate Acetaminophen-Induced Liver Damage in Mice via Regulation of JNK and ERK Signaling Pathway. Cell Death Discov. 2021, 7, 342. [Google Scholar] [CrossRef]
- Takahata, A.; Arai, S.; Hiramoto, E.; Kitada, K.; Kato, R.; Makita, Y.; Suzuki, H.; Nakata, J.; Araki, K.; Miyazaki, T.; et al. Crucial Role of AIM/CD5L in the Development of Glomerular Inflammation in IgA Nephropathy. JASN 2020, 31, 2013–2024. [Google Scholar] [CrossRef]
- Taylor-Weiner, A.; Pokkalla, H.; Han, L.; Jia, C.; Huss, R.; Chung, C.; Elliott, H.; Glass, B.; Pethia, K.; Carrasco-Zevallos, O.; et al. A Machine Learning Approach Enables Quantitative Measurement of Liver Histology and Disease Monitoring in NASH. Hepatology 2021, 74, 133–147. [Google Scholar] [CrossRef]
- Dias, A.M.M.; Burgy, O.; Moreau, M.; Goncalves, V.; Pommerolle, L.; Douhard, R.; Courteau, A.; Helbling, A.; Guillemin, M.; Simonet, J.; et al. Collagen-Targeted PET Imaging for Progressive Experimental Lung Fibrosis Quantification and Monitoring of Efficacy of Anti-Fibrotic Therapies. Theranostics 2025, 15, 2092–2103. [Google Scholar] [CrossRef]
- Harrison, S.A.; Taub, R.; Neff, G.W.; Lucas, K.J.; Labriola, D.; Moussa, S.E.; Alkhouri, N.; Bashir, M.R. Resmetirom for Nonalcoholic Fatty Liver Disease: A Randomized, Double-Blind, Placebo-Controlled Phase 3 Trial. Nat. Med. 2023, 29, 2919–2928. [Google Scholar] [CrossRef]
- Lurie, Y.; Webb, M.; Cytter-Kuint, R.; Shteingart, S.; Lederkremer, G.Z. Non-Invasive Diagnosis of Liver Fibrosis and Cirrhosis. World J. Gastroenterol. 2015, 21, 11567–11583. [Google Scholar] [CrossRef]
- Loomba, R.; Adams, L.A. Advances in Non-Invasive Assessment of Hepatic Fibrosis. Gut 2020, 69, 1343–1352. [Google Scholar] [CrossRef] [PubMed]
- European Association for the Study of the Liver EASL Clinical Practical Guidelines: Management of Alcoholic Liver Disease. J. Hepatol. 2012, 57, 399–420. [CrossRef] [PubMed]
- Wai, C.-T.; Greenson, J.K.; Fontana, R.J.; Kalbfleisch, J.D.; Marrero, J.A.; Conjeevaram, H.S.; Lok, A.S.-F. A Simple Noninvasive Index Can Predict both Significant Fibrosis and Cirrhosis in Patients with Chronic Hepatitis C. Hepatology 2003, 38, 518–526. [Google Scholar] [CrossRef] [PubMed]
- Lemoine, M.; Shimakawa, Y.; Nayagam, S.; Khalil, M.; Suso, P.; Lloyd, J.; Goldin, R.; Njai, H.-F.; Ndow, G.; Taal, M.; et al. The Gamma-Glutamyl Transpeptidase to Platelet Ratio (GPR) Predicts Significant Liver Fibrosis and Cirrhosis in Patients with Chronic HBV Infection in West Africa. Gut 2016, 65, 1369–1376. [Google Scholar] [CrossRef] [PubMed]
- Johnson, P.J.; Berhane, S.; Kagebayashi, C.; Satomura, S.; Teng, M.; Reeves, H.L.; O’Beirne, J.; Fox, R.; Skowronska, A.; Palmer, D.; et al. Assessment of Liver Function in Patients With Hepatocellular Carcinoma: A New Evidence-Based Approach—The ALBI Grade. JCO 2015, 33, 550–558. [Google Scholar] [CrossRef] [PubMed]
- De Ritis, F.; Coltorti, M.; Giusti, G. An Enzymic Test for the Diagnosis of Viral Hepatitis: The Transaminase Serum Activities. Clin. Chim. Acta 1957, 2, 70–74. [Google Scholar] [CrossRef]
- Ding, R.; Zheng, J.; Huang, D.; Wang, Y.; Li, X.; Zhou, X.; Yan, L.; Lu, W.; Yang, Z.; Zhang, Z. INR-to-Platelet Ratio (INPR) as a Novel Noninvasive Index for Predicting Liver Fibrosis in Chronic Hepatitis B. Int. J. Med. Sci. 2021, 18, 1159–1166. [Google Scholar] [CrossRef]
- Hsieh, Y.-Y.; Tung, S.-Y.; Lee, I.-L.; Lee, K.; Shen, C.-H.; Wei, K.-L.; Chang, T.-S.; Chuang, C.-S.; Wu, C.-S.; Lin, Y.-H. FibroQ: An Easy and Useful Noninvasive Test for Predicting Liver Fibrosis in Patients with Chronic Viral Hepatitis. Chang. Gung Med. J. 2009, 32, 614–622. [Google Scholar]
- IBM SPSS Statistics for Windows, IBM: Armonk, NY, USA, 2011.
- Silczuk, A.; Habrat, B. Alcohol-Induced Thrombocytopenia: Current Review. Alcohol 2020, 86, 9–16. [Google Scholar] [CrossRef]
- Hsu, W.-F.; Lai, H.-C.; Su, W.-P.; Lin, C.-H.; Chuang, P.-H.; Chen, S.-H.; Chen, H.-Y.; Wang, H.-W.; Huang, G.-T.; Peng, C.-Y. Rapid Decline of Noninvasive Fibrosis Index Values in Patients with Hepatitis C Receiving Treatment with Direct-Acting Antiviral Agents. BMC Gastroenterol. 2019, 19, 63. [Google Scholar] [CrossRef]
- Shiha, G.; Ibrahim, A.; Helmy, A.; Sarin, S.K.; Omata, M.; Kumar, A.; Bernstien, D.; Maruyama, H.; Saraswat, V.; Chawla, Y.; et al. Asian-Pacific Association for the Study of the Liver (APASL) Consensus Guidelines on Invasive and Non-Invasive Assessment of Hepatic Fibrosis: A 2016 Update. Hepatol. Int. 2017, 11, 1–30. [Google Scholar] [CrossRef] [PubMed]
- Li, Y.; Huang, Y.-S.; Wang, Z.-Z.; Yang, Z.-R.; Sun, F.; Zhan, S.-Y.; Liu, X.-E.; Zhuang, H. Systematic Review with Meta-Analysis: The Diagnostic Accuracy of Transient Elastography for the Staging of Liver Fibrosis in Patients with Chronic Hepatitis B. Aliment. Pharmacol. Ther. 2016, 43, 458–469. [Google Scholar] [CrossRef] [PubMed]
- Moosavy, S.H.; Eftekhar, E.; Davoodian, P.; Nejatizadeh, A.; Shadman, M.; Zare, S.; Nazarnezhad, M.A. AST/ALT Ratio, APRI, and FIB-4 Compared to FibroScan for the Assessment of Liver Fibrosis in Patients with Chronic Hepatitis B in Bandar Abbas, Hormozgan, Iran. BMC Gastroenterol. 2023, 23, 145. [Google Scholar] [CrossRef] [PubMed]
- Chen, B.; Lin, S. Albumin-Bilirubin (ALBI) Score at Admission Predicts Possible Outcomes in Patients with Acute-on-Chronic Liver Failure. Medicine 2017, 96, e7142. [Google Scholar] [CrossRef]
- Yu, M.-W.; Chang, H.-C.; Chang, S.-C.; Liaw, Y.-F.; Lin, S.-M.; Liu, C.-J.; Lee, S.-D.; Lin, C.-L.; Chen, P.-J.; Lin, S.-C.; et al. Role of Reproductive Factors in Hepatocellular Carcinoma: Impact on Hepatitis B- and C-Related Risk. Hepatology 2003, 38, 1393–1400. [Google Scholar] [CrossRef]
- Kew, M.C. Serum Aminotransferase Concentration as Evidence of Hepatocellular Damage. Lancet 2000, 355, 591–592. [Google Scholar] [CrossRef]
- Thong, V.D.; Quynh, B.T.H. Correlation of Serum Transaminase Levels with Liver Fibrosis Assessed by Transient Elastography in Vietnamese Patients with Nonalcoholic Fatty Liver Disease. IJGM 2021, 14, 1349–1355. [Google Scholar] [CrossRef]
- Amjad, S.; Akram, A.; Iqbal, M.; Hussain, M.; Khan, M. Analysis of ALT and AST Levels in HCV Infected Patients. Adv. Life Sci. 2021, 8, 349–354. [Google Scholar]
- Ma, H.-Y.; Dong, L.; Quan, S.-Z.; Li, R.-Y.; Wang, X.-R. Comparison of Four Markers of Hepatic Fibrosis and Hepatic Function Indices in Patients with Liver Cirrhosis and Hepatoma. Ann. Palliat. Med. 2021, 10, 4108–4121. [Google Scholar] [CrossRef]
- Lai, X.; Chen, H.; Dong, X.; Zhou, G.; Liang, D.; Xu, F.; Liu, H.; Luo, Y.; Liu, H.; Wan, S. AST to ALT Ratio as a Prospective Risk Predictor for Liver Cirrhosis in Patients with Chronic HBV Infection. Eur. J. Gastroenterol. Hepatol. 2024, 36, 338–344. [Google Scholar] [CrossRef]
- Amernia, B.; Moosavy, S.H.; Banookh, F.; Zoghi, G. FIB-4, APRI, and AST/ALT Ratio Compared to FibroScan for the Assessment of Hepatic Fibrosis in Patients with Non-Alcoholic Fatty Liver Disease in Bandar Abbas, Iran. BMC Gastroenterol. 2021, 21, 453. [Google Scholar] [CrossRef] [PubMed]
- Gui, H.L.; Wang, H.; Yang, Y.H.; Wu, Y.W.; Zhou, H.J.; Guo, S.M.; Lin, L.Y.; Wang, L.; Cai, W.; Chen, R.; et al. Significant Histopathology in Chinese Chronic Hepatitis B Patients with Persistently High–Normal Alanine Aminotransferase. J. Viral Hepat. 2010, 17, 44–50. [Google Scholar] [CrossRef] [PubMed]
- Loaeza-del-Castillo, A.; Paz-Pineda, F.; Oviedo-Cárdenas, E.; Sánchez-Avila, F.; Vargas-Vorácková, F. AST to Platelet Ratio Index (APRI) for the Noninvasive Evaluation of Liver Fibrosis. Ann. Hepatol. 2008, 7, 350–357. [Google Scholar] [CrossRef] [PubMed]
- Jagdish, R.K.; Maras, J.S.; Sarin, S.K. Albumin in Advanced Liver Diseases: The Good and Bad of a Drug! Hepatology 2021, 74, 2848–2862. [Google Scholar] [CrossRef]
- Newsome, P.N.; Cramb, R.; Davison, S.M.; Dillon, J.F.; Foulerton, M.; Godfrey, E.M.; Hall, R.; Harrower, U.; Hudson, M.; Langford, A.; et al. Guidelines on the Management of Abnormal Liver Blood Tests. Gut 2018, 67, 6–19. [Google Scholar] [CrossRef]
- Mikhailidis, D.P.; Ganotakis, E.S. Plasma Albumin and Platelet Function: Relevance to Atherogenesis and Thrombosis. Platelets 1996, 7, 125–137. [Google Scholar] [CrossRef]
- Toyoda, H.; Johnson, P.J. The ALBI Score: From Liver Function in Patients with HCC to a General Measure of Liver Function. JHEP Rep. 2022, 4, 100557. [Google Scholar] [CrossRef]
- Guerra Ruiz, A.R.; Crespo, J.; López Martínez, R.M.; Iruzubieta, P.; Casals Mercadal, G.; Lalana Garcés, M.; Lavin, B.; Morales Ruiz, M. Measurement and Clinical Usefulness of Bilirubin in Liver Disease. Adv. Lab. Med./Av. Med. Laboratorio 2021, 2, 352–361. [Google Scholar] [CrossRef]
- Peck-Radosavljevic, M.; Zacherl, J.; Meng, Y.G.; Pidlich, J.; Lipinski, E.; Längle, F.; Steininger, R.; Mühlbacher, F.; Gangl, A. Is Inadequate Thrombopoietin Production a Major Cause of Thrombocytopenia in Cirrhosis of the Liver? J. Hepatol. 1997, 27, 127–131. [Google Scholar] [CrossRef]
- Adinolfi, L.E.; Giordano, M.G.; Andreana, A.; Tripodi, M.; Utili, R.; Cesaro, G.; Ragone, E.; Mangoni, E.D.; Ruggiero, G. Hepatic Fibrosis Plays a Central Role in the Pathogenesis of Thrombocytopenia in Patients with Chronic Viral Hepatitis. Br. J. Haematol. 2001, 113, 590–595. [Google Scholar] [CrossRef]
- Liang, X.E.; Dai, L.; Yang, S.L.; Zhong, C.X.; Peng, J.; Zhu, Y.F.; Chen, Y.P.; Hou, J.L. Combining Routine Markers Improves the Accuracy of Transient Elastography for Hepatitis B Cirrhosis Detection. Dig. Liver Dis. 2016, 48, 512–518. [Google Scholar] [CrossRef] [PubMed]
- Kim, H.-J.; Lee, H.-K.; Cho, J.-H. Factor Analysis of the Biochemical Markers Related to Liver Cirrhosis. Pak. J. Med. Sci. 2015, 31, 1043–1046. [Google Scholar] [CrossRef] [PubMed]
- Takaki, S.; Kawakami, Y.; Miyaki, D.; Nakahara, T.; Naeshiro, N.; Murakami, E.; Tanaka, M.; Honda, Y.; Yokoyama, S.; Nagaoki, Y.; et al. Non-invasive Liver Fibrosis Score Calculated by Combination of Virtual Touch Tissue Quantification and Serum Liver Functional Tests in Chronic Hepatitis C Patients. Hepatol. Res. 2014, 44, 280–287. [Google Scholar] [CrossRef] [PubMed]
- Farid, K.; Omran, M.M.; Farag, R.E.; Arafa, M.M.; Emran, T.M. Development and Evaluation of a Novel Score for Prediction of Large Oesophageal Varices in Patients with Hepatitis c Virus-Induced Liver Cirrhosis. Br. J. Biomed. Sci. 2017, 74, 138–143. [Google Scholar] [CrossRef]
- Bashour, F.N.; Teran, C.J.; Mullen, K.D. Prevalence of Peripheral Blood Cytopenias (Hypersplenism) in Patients With Nonalcoholic Chronic Liver Disease. Am. J. Gastroenterol. 2000, 95, 2936–2939. [Google Scholar] [CrossRef]
- Wright, S.N. Comparison of Aconitine-modified Human Heart (hH1) and Rat Skeletal (Μ1) Muscle Na + Channels: An Important Role for External Na + Ions. J. Physiol. 2002, 538, 759–771. [Google Scholar] [CrossRef]
- Petta, S.; Macaluso, F.S.; Barcellona, M.R.; Cammà, C.; Cabibi, D.; Di Marco, V.; Craxì, A. Serum γ-Glutamyl Transferase Levels, Insulin Resistance and Liver Fibrosis in Patients with Chronic Liver Diseases. PLoS ONE 2012, 7, e51165. [Google Scholar] [CrossRef]
- Kwak, J.; Seo, I.-H.; Lee, Y.-J. Serum γ-Glutamyltransferase Level and Incidence Risk of Metabolic Syndrome in Community Dwelling Adults: Longitudinal Findings over 12 Years. Diabetol. Metab. Syndr. 2023, 15, 29. [Google Scholar] [CrossRef]
- Gong, S.; Gan, S.; Zhang, Y.; Zhou, H.; Zhou, Q. Gamma-Glutamyl Transferase to High-Density Lipoprotein Cholesterol Ratio Is a More Powerful Marker than TyG Index for Predicting Metabolic Syndrome in Patients with Type 2 Diabetes Mellitus. Front. Endocrinol. 2023, 14, 1248614. [Google Scholar] [CrossRef]
- Altamirano-Barrera, A.; Barranco-Fragoso, B.; Méndez-Sánchez, N. Management Strategies for Liver Fibrosis. Ann. Hepatol. 2017, 16, 48–56. [Google Scholar] [CrossRef]
- Gangadharan, B.; Antrobus, R.; Dwek, R.A.; Zitzmann, N. Novel Serum Biomarker Candidates for Liver Fibrosis in Hepatitis C Patients. Clin. Chem. 2007, 53, 1792–1799. [Google Scholar] [CrossRef] [PubMed]
- Mera, K.; Uto, H.; Mawatari, S.; Ido, A.; Yoshimine, Y.; Nosaki, T.; Oda, K.; Tabu, K.; Kumagai, K.; Tamai, T.; et al. Serum Levels of Apoptosis Inhibitor of Macrophage Are Associated with Hepatic Fibrosis in Patients with Chronic Hepatitis C. BMC Gastroenterol. 2014, 14, 27. [Google Scholar] [CrossRef] [PubMed]
- Sanchez-Moral, L.; Ràfols, N.; Martori, C.; Paul, T.; Téllez, É.; Sarrias, M.-R. Multifaceted Roles of CD5L in Infectious and Sterile Inflammation. IJMS 2021, 22, 4076. [Google Scholar] [CrossRef] [PubMed]
- Saile, B.; Matthes, N.; Knittel, T.; Ramadori, G. Transforming Growth Factor β and Tumor Necrosis Factor α Inhibit Both Apoptosis and Proliferation of Activated Rat Hepatic Stellate Cells. Hepatology 1999, 30, 196–202. [Google Scholar] [CrossRef]
- Flisiak, R.; Maxwell, P.; Prokopowicz, D.; Timms, P.M.; Panasiuk, A. Plasma Tissue Inhibitor of Metalloproteinases-1 and Transforming Growth Factor Beta 1--Possible Non-Invasive Biomarkers of Hepatic Fibrosis in Patients with Chronic B and C Hepatitis. Hepatogastroenterology 2002, 49, 1369–1372. [Google Scholar]
- Fausto, N. Liver Regeneration. J. Hepatol. 2000, 32, 19–31. [Google Scholar] [CrossRef]
- Kanzler, S.; Baumann, M.; Schirmacher, P.; Dries, V.; Bayer, E.; Gerken, G.; Dienes, H.-P.; Lohse, A.W. Prediction of Progressive Liver Fibrosis in Hepatitis C Infection by Serum and Tissue Levels of Transforming Growth Factor-β. J. Viral Hepat. 2001, 8, 430–437. [Google Scholar] [CrossRef]
- Neuman, M.; Angulo, P.; Malkiewicz, I.; Jorgensen, R.; Shear, N.; Dickson, E.R.; Haber, J.; Katz, G.; Lindor, K. Tumor Necrosis Factor- α and Transforming Growth Factor- β Reflect Severity of Liver Damage in Primary Biliary Cirrhosis. J. Gastro Hepatol. 2002, 17, 196–202. [Google Scholar] [CrossRef]
- Chen, W.-X.; Li, Y.-M.; Yu, C.-H.; Cai, W.-M.; Zheng, M.; Chen, F. Quantitative Analysis of Transforming Growth Factor Beta 1 mRNA in Patients with Alcoholic Liver Disease. WJG 2002, 8, 379. [Google Scholar] [CrossRef]
- Elbanan, W.K.; Fathy, S.A.; Ibrahim, R.A.; Hegazy, M.G. Assessment of Interleukin 17 and Transforming Growth Factor-Beta 1 in Hepatitis C Patients with Disease Progression. Trop. Biomed. 2020, 37, 1093–1104. [Google Scholar] [CrossRef]
- Braczkowski, M.J.; Kufel, K.M.; Kulińska, J.; Czyż, D.Ł.; Dittmann, A.; Wiertelak, M.; Młodzik, M.S.; Braczkowski, R.; Soszyński, D. Pleiotropic Action of TGF-Beta in Physiological and Pathological Liver Conditions. Biomedicines 2024, 12, 925. [Google Scholar] [CrossRef] [PubMed]
- Williams, A.L.B.; Hoofnagle, J.H. Ratio of Serum Aspartate to Alanine Aminotransferase in Chronic Hepatitis Relationship to Cirrhosis. Gastroenterology 1988, 95, 734–739. [Google Scholar] [CrossRef] [PubMed]
- Giannini, E.; Risso, D.; Botta, F.; Chiarbonello, B.; Fasoli, A.; Malfatti, F.; Romagnoli, P.; Testa, E.; Ceppa, P.; Testa, R. Validity and Clinical Utility of the Aspartate Aminotransferase–Alanine Aminotransferase Ratio in Assessing Disease Severity and Prognosis in Patients With Hepatitis C Virus–Related Chronic Liver Disease. Arch. Intern. Med. 2003, 163, 218. [Google Scholar] [CrossRef] [PubMed]
- Sheth, S.G.; Flamm, S.L.; Gordon, F.D.; Chopra, S. AST/ALT Ratio Predicts Cirrhosis in Patients With Chronic Hepatitis C Virus Infection. Am. J. Gastroenterol. 1998, 93, 44–48. [Google Scholar] [CrossRef] [PubMed]
- McPherson, R.A.; Pincus, M.R. (Eds.) Henry’s Clinical Diagnosis and Management by Laboratory Methods, 24th ed.; Elsevier: Philadelphia, PA, USA, 2022; ISBN 978-0-323-67320-4. [Google Scholar]
- Shah, A.G.; Lydecker, A.; Murray, K.; Tetri, B.N.; Contos, M.J.; Sanyal, A.J. Comparison of Noninvasive Markers of Fibrosis in Patients With Nonalcoholic Fatty Liver Disease. Clin. Gastroenterol. Hepatol. 2009, 7, 1104–1112. [Google Scholar] [CrossRef]
- Chou, R.; Wasson, N. Blood Tests to Diagnose Fibrosis or Cirrhosis in Patients With Chronic Hepatitis C Virus Infection: A Systematic Review. Ann. Intern. Med. 2013, 158, 807–820. [Google Scholar] [CrossRef]
- Lian, M.-J.; Zhang, J.-Q.; Chen, S.-D.; Zhang, D.-D.; Yang, Y.-Y.; Hong, G.-L. Diagnostic Accuracy of γ-Glutamyl Transpeptidase-to-Platelet Ratio for Predicting Hepatitis B-Related Fibrosis: A Meta-Analysis. Eur. J. Gastroenterol. Hepatol. 2019, 31, 599–606. [Google Scholar] [CrossRef]
- Ekin, N.; Ucmak, F.; Ebik, B.; Tugba Tuncel, E.; Kacmaz, H.; Arpa, M.; Engin Atay, A. GPR, King’s Score and S-Index Are Superior to Other Non-Invasive Fibrosismarkers in Predicting the Liver Fibrosis in Chronic Hepatitis B Patients. AGEB 2022, 85, 62–68. [Google Scholar] [CrossRef]
- Hsieh, Y.-Y. Routine Blood Tests to Predict Liver Fibrosis in Chronic Hepatitis C. WJG 2012, 18, 746. [Google Scholar] [CrossRef]





















| Investigated Parameter | Reference Ranges/Values [Minimum–Maximum] |
|---|---|
| Serological biomarkers | |
| AST (UI/L) | [8–48] |
| ALT (UI/L) | [7–55] |
| ALB (g dL−1) | [35–52] |
| TBIL (µmol L−1) | [1.71–20.52] |
| GGT (UI/L) | Women: [5–36] Man: [8–61] |
| PLT (109 L−1) | [150–450] |
| CD5L (µg mL−1) | [3.16–6.06] |
| TGFβ1 (ng mL−1) | [18.28–70.92] |
| INR | [0.8–1.2] |
| PDW | [9–17%] |
| MPV (fL) | [7.2–11.7] |
| Non-serological biomarkers | |
| AST/ALT | [0.7–1.4] >1.0—hepatic conditions with necrosis >2.0—alcoholic hepatitis >3.0—ass/ociated with biliary cirrhosis |
| ALBI | Grade 1 (≤−2.60): mild liver dysfunction Grade 2 (>−2.60 to ≤−1.39): moderate liver dysfunction Grade 3 (>−1.39): severe liver dysfunction |
| FIB-4 | <1.45: no significant fibrosis 1.45–3.25: moderate fibrosis >3.25: significant fibrosis |
| APRI | <1.0: no significant fibrosis 1.0–2.0: moderate fibrosis >2.0: significant fibrosis |
| GPR | Cut-off of 0.32: predictive of significant fibrosis Cut-off of 0.56: predictive of cirrhosis |
| INPR | <0.5: no fibrosis 0.5–1.0: significant fibrosis >1.0: cirrhosis |
| FibroQ | <0.6: no fibrosis 0.6–1.6: significant fibrosis >2.6: cirrhosis |
| Group | Gender (F/M) | Age (Years), [Range] | BMI (kg/m²), [Range] | Etiology |
|---|---|---|---|---|
| Control | 10/10 | 56.5 ± 10.5 [35–75] | 25.0 ± 3.8 [17.3–32.6] | - |
| CHB | 5/11 | 51.3 ± 14.3 [34–73] | 25.5 ± 4.0 [17.4–32.5] | HBV |
| CHC | 6/9 | 55.87 ± 13.38 [38–78] | 24.53 ± 6.1 [16.5–28.4] | HBC |
| ALC | 11/38 | 57.37 ± 10.08 [40–77] | 26.22 ± 6.34 [17.4–38.5] | Alcoholism |
| NALC | 8/8 | 57.5 ± 7.4 [47–76] | 34.98 ± 6.4 * [32.3–43.8] | Steatohepatitis |
| Direct Serum Biomarker | Mean ± Standard Deviation [Range] | ||||
|---|---|---|---|---|---|
| CONTROL | CHB | CHC | ALC | NALC | |
| AST (UI/L) | 16.2 ± 2.83 [12–20] | 33.93 ± 15 * [20–64] | 33.62 ± 11.83 * [19–61] | 99.85 ± 74.41 * [20–266] | 111.75 ± 49.95 * [47–190] |
| ALT (UI/L) | 24.15 ± 3.39 [16–29] | 31.37 ± 15.57 [17–67] | 29.62 ± 16.66 [16–77] | 46.38 ± 25.22 * [16–102] | 57.43 ± 34.21 * [17–146] |
| Albumin (g dL−1) | 42.35 ± 5.11 * [34–52] | 26.31 ± 3.23 * [21–32] | 25.57 ± 4.35 * [18.9–39] | 27.50 ± 6.03 * [19.7–41] | 23.96 ± 4.00 * [22–32.1] |
| Total Bilirubin (µmol L−1) | 52.60 ± 15.83 [26.52–79.57] | 64.65 ± 24.10 [26.52–123.78] | 67.97 ± 18.46 * [35.36–106.1] | 199.82 ± 141.03 * [44.21–546.43] | 332.01 ± 253.12 * [95.49–715.77] |
| GGT (UI/L) | 23.5 ± 6.89 [12–36] | 45.06 ± 61.34 [16–258] | 59.33 ± 42.49 * [18–132] | 184.81 ± 212.84 * [22–935] | 168.5 ± 175.98 * [25–418] |
| PLT (109 L−1) | 297.4 ± 35.46 [253–369] | 216.75 ± 60.36 * [133–308] | 209.46 ± 58.81 * [135–287] | 164.18 ± 61.1 * [72–252] | 115.06 ± 70.70 * [42–255] |
| CD5L (µg mL−1) | 3.86 ± 0.37 [3.16–4.54] | 5.81 ± 0.35 * [4.98–6.22] | 7.17 ± 0.39 * [6.36–7.69] | 12.99 ± 0.37 * [12.24–13.52] | 12.98 ± 0.34 * [12.14–13.4] |
| TGFβ1 (ng mL−1) | 19.13 ± 2.89 [14.69–24.36] | 51.99 ± 3.48 * [47.26–59.78] | 28.49 ± 4.84 * [20.14–33.21] | 91.08 ± 35.34 * [36.9–139.8] | 87.07 ± 42.15 * [28.2–156.3] |
| INR | 0.98 ± 0.05 [0.85–1.03] | 1.04 ± 0.09 * [0.96–1.16] | 1.01 ± 0.07 [0.91–1.14] | 1.25 ± 0.32 * [0.88–2.23] | 1.08 ± 0.36 [0.88–1.6] |
| PDW | 13.34 ± 1.49 [11.4–16.8] | 26.05 ± 11.72 * [16–45] | 36.24 ± 19.12 * [16.3–76.1] | 15.91 ± 2.43 * [9.8–20.6] | 16.05 ± 0.79 * [13.8–16.9] |
| MPV | 8.95 ± 0.52 [7.9–9.6] | 9.22 ± 1.28 [7.3–12.3] | 9.98 ± 1.09 * [7.7–12.3] | 10.43 ± 1.61 * [8.5–12.3] | 9.98 ± 1.69 * [7.4–14.4] |
| Indirect Non-Serological Biomarkers | Mean ± Standard Deviation [Range] | ||||
|---|---|---|---|---|---|
| CONTROL | CHB | CHC | ALC | NALC | |
| AST/ALT ratio | 0.67 ± 0.12 [0.42–0.85] | 1.14 ± 0.27 * [0.62–1.68] | 1.23 ± 0.29 * [0.76–1.73] | 2.41 ± 0.91 * [0.4–3.58] | 2.14 ± 0.77 * [1.33–4.07] |
| ALBI score | −2.47 ± 0.44 [−3.39–1.87] | −1.05 ± 0.33 * [−1.78–0.56] | −1.01 ± 0.34 * [−2.06–0.64] | −0.85 ± 0.55 * [−1.78 + 0.13] | −0.43 ± 0.43 * [−1.73–0.03] |
| GPR | 0.16 ± 0.04 [0.1–0.25] | 0.34 ± 0.33 * [0.1–1.46] | 0.71 ± 0.72 * [0.2–2.44] | 2.73 ± 2.69 * [0.27–10.15] | 4.15 ± 5.22 * [0.28–19.29] |
| APRI | 0.10 ± 0.02 [0.07–0.15] | 0.33 ± 0.13 * [0.15–0.61] | 0.36 ± 0.22 * [0.13–0.88] | 1.96 ± 2.0 * [0.17–4.35] | 2.75 ± 2.09 * [0.2–0.61] |
| FIB−4 | 0.62 ± 0.16 [0.34–0.89] | 1.58 ± 0.73 * [0.46–3.01] | 1.87 ± 0.98 * [0.75–4.14] | 7.21 ± 5.51 * [1.4–23.06] | 10.63 ± 7.41 * [1.93–24.73] |
| INPR | 0.32 ± 0.04 [0.27–0.39] | 0.51 ± 0.15 * [0.34–0.78] | 0.51 ± 0.13 * [0.28–0.79] | 0.85 ± 0.4 * [0.39–2.08] | 1.39 ± 0.79 * [0.35–2.14] |
| FibroQ | 1.31 ± 0.36 [0.77–1.79] | 3.25 ± 1.86 * [0.72–7.15] | 3.53 ± 2.08 * [0.17–9.23] | 12.99 ± 9.51 * [2.26–15.78] | 17.31 ± 12.05 * [3.05–46.7] |
| Etiology | Biomarker | AUC | Cut-Off Points | Sensitivity | Specificity |
|---|---|---|---|---|---|
| CHB | ALBI | 1.000 * (95% CI: 1.000–1.000) | −1.8250 | 3 | 100% |
| CD5L | 4.7600 | 100% | |||
| TGF | 36.1050 | ||||
| CHC | CD5L | 1.000 * (95% CI: 1.000–1.000) | 5.4500 | 100% | 100% |
| ALC | AST | 1.000 * (95% CI: 1.000–1.000) | 20.5000 | 100% | 100% |
| GPR | 0.2600 | ||||
| APRI | 0.1950 | ||||
| FIB4 | 1.1450 | ||||
| NALC | AST | 1 | 26.5000 | 100% | 100% |
| GPR | 1.000 * (95% CI: 1.000–1.000) | 0.2650 | |||
| FIB4 | 1.4100 |
Disclaimer/Publisher’s Note: The statements, opinions and data contained in all publications are solely those of the individual author(s) and contributor(s) and not of MDPI and/or the editor(s). MDPI and/or the editor(s) disclaim responsibility for any injury to people or property resulting from any ideas, methods, instructions or products referred to in the content. |
© 2025 by the authors. Licensee MDPI, Basel, Switzerland. This article is an open access article distributed under the terms and conditions of the Creative Commons Attribution (CC BY) license (https://creativecommons.org/licenses/by/4.0/).
Share and Cite
Dumitrache, A.; Ionescu, N.A.; Țânțu, M.M.; Ponepal, M.C.; Soare, L.C.; Țânțu, A.C.; Atamanalp, M.; Baniță, I.M.; Pisoschi, C.G. Evaluating the Discriminative Performance of Noninvasive Biomarkers in Chronic Hepatitis B/C, Alcoholic Cirrhosis, and Nonalcoholic Cirrhosis: A Comparative Analysis. Diagnostics 2025, 15, 1575. https://doi.org/10.3390/diagnostics15131575
Dumitrache A, Ionescu NA, Țânțu MM, Ponepal MC, Soare LC, Țânțu AC, Atamanalp M, Baniță IM, Pisoschi CG. Evaluating the Discriminative Performance of Noninvasive Biomarkers in Chronic Hepatitis B/C, Alcoholic Cirrhosis, and Nonalcoholic Cirrhosis: A Comparative Analysis. Diagnostics. 2025; 15(13):1575. https://doi.org/10.3390/diagnostics15131575
Chicago/Turabian StyleDumitrache (Păunescu), Alina, Nicoleta Anca Ionescu (Șuțan), Monica Marilena Țânțu, Maria Cristina Ponepal, Liliana Cristina Soare, Ana Cătălina Țânțu, Muhammed Atamanalp, Ileana Monica Baniță, and Cătălina Gabriela Pisoschi. 2025. "Evaluating the Discriminative Performance of Noninvasive Biomarkers in Chronic Hepatitis B/C, Alcoholic Cirrhosis, and Nonalcoholic Cirrhosis: A Comparative Analysis" Diagnostics 15, no. 13: 1575. https://doi.org/10.3390/diagnostics15131575
APA StyleDumitrache, A., Ionescu, N. A., Țânțu, M. M., Ponepal, M. C., Soare, L. C., Țânțu, A. C., Atamanalp, M., Baniță, I. M., & Pisoschi, C. G. (2025). Evaluating the Discriminative Performance of Noninvasive Biomarkers in Chronic Hepatitis B/C, Alcoholic Cirrhosis, and Nonalcoholic Cirrhosis: A Comparative Analysis. Diagnostics, 15(13), 1575. https://doi.org/10.3390/diagnostics15131575

