The Potential for High-Priority Care Based on Pain Through Facial Expression Detection with Patients Experiencing Chest Pain
Abstract
1. Introduction
- To develop an automation pain detection system through facial expression for identifying chest pain.
- To compare the series of YOLO object detection algorithms.
2. Materials and Methods
| Authors | Best Model | Result | Models |
|---|---|---|---|
| Vidal [23] | YOLOv3 | Precision and recall 100% | YOLOv3 |
| Shaik [24] | Novel YOLOv3 | Accuracy 86.65% | Novel YOLOv3, Single-stage detector |
| Doniyorjon [21] | Modified YOLOv4-tiny | Accuracy 99.4% | YOLOv4 |
| Ali [20] | YOLOv4 | Accuracy 94% | YOLOv4 |
| Rebaza [33] | YOLOv4 | Accuracy 65% | YOLOv4-U_Net |
| Han [29] | SMD-YOLOv4-tiny | mAP 67.01% | YOLOX_s, YOLOv4, EfficientDet-D1, YOLOv4-tiny |
| Zhao [31] | YOLOv4 | Accuracy 93.56% | YOLOv4 |
| Khalili [34] | YOLOv5 | Accuracy 96.7% | YOLOv5-Segment anything model (SAM) |
| Liu [28] | custom YOLOv5 | Precision 78.08% | YOLOv4, YOLOv5s, YOLOv5m, custom YOLOv5 |
| Grooby [27] | YOLOv7 | mAP 84.8% | YOLOv7, YOLOv5 |
| Jiang [30] | YOLOv5 | Precision 80% | YOLOv5 |
| Liu [32] | ADYOLOv5 | Precision 66.5% | YOLOv5s, YOLOv7-tiny, YOLOv8n, ADYOLOv5 |
| Hausmann [26] | YOLOv6 | Accuracy 62.7% | YOLOv3, YOLOv5, YOLOv6 |
| Ismail [35] | YOLO-CRNN | Accuracy 89.38% | YOLO-CRNN |
| Munna [36] | YOLOv6m | mAP 98.86% | YOLOv3, YOLOv4, YOLOv6l, YOLOv6m |
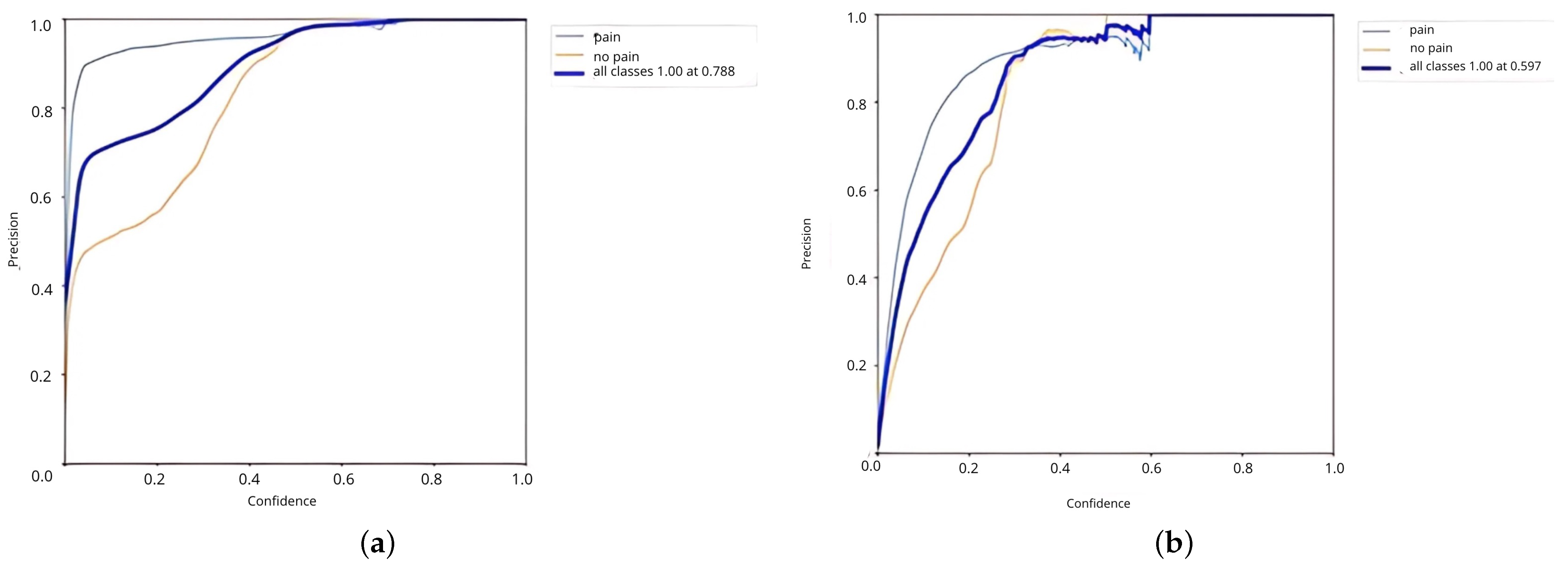
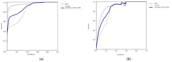
3. Results
4. Discussion
5. Conclusions and Future Work
Supplementary Materials
Author Contributions
Funding
Institutional Review Board Statement
Informed Consent Statement
Data Availability Statement
Conflicts of Interest
References
- Wang, X.; Zhu, T.; Xia, M.; Liu, Y.; Wang, Y.; Wang, X.; Zhuang, L.; Zhong, D.; Zhu, J.; He, H.; et al. Predicting the Prognosis of Patients in the Coronary Care Unit: A Novel Multi-Category Machine Learning Model Using XGBoost. Front. Cardiovasc. Med. 2022, 9, 764629. [Google Scholar] [CrossRef] [PubMed]
- Bykowska-Derda, A.; Spychala, M.; Czlapka-Matyasik, M.; Sojka, M.; Bykowski, J.; Ptak, M. The Relationship between Mortality from Cardiovascular Diseases and Total Drinking Water Hardness: Systematic Review with Meta-Analysis. Foods 2023, 12, 3255. [Google Scholar] [CrossRef]
- Mugambi, L.; Zuhlke, L.; Maina, C.W. Towards AI Based Diagnosis of Rheumatic Heart Disease: Data Annotation and View Classification. In Proceedings of the 2022 IST-Africa Conference, IST-Africa 2022, Virtual, 16–20 May 2022; pp. 1–8. [Google Scholar] [CrossRef]
- World Health Organization. Cardiovascular Diseases. Available online: https://www.who.int/health-topics/cardiovascular-diseases#tab=tab_1 (accessed on 20 September 2024).
- Blais, C.; Fiset, D.; Furumoto-Deshaies, H.; Kunz, M.; Seuss, D.; Cormier, S. Facial Features Underlying the Decoding of Pain Expressions. J. Pain 2019, 20, 728–738. [Google Scholar] [CrossRef]
- Sario, G.D.D.; Haider, C.R.; Maita, K.C.; Torres-Guzman, R.A.; Emam, O.S.; Ávila, F.R.; Garcia, J.P.; Borna, S.; McLeod, C.J.; Bruce, C.J.; et al. Using AI to Detect Pain through Facial Expressions: A Review. Bioengineering 2023, 10, 548. [Google Scholar] [CrossRef] [PubMed]
- Mohan, H.; Kumara, H.S.; Mallikarjun, S.; Prasad, A. Edge Artificial Intelligence-Based Facial Pain Recognition During Myocardial Infarction. J. Autom. Mob. Robot. Intell. Syst. 2023, 16, 40–55. [Google Scholar] [CrossRef]
- Wiryasaputra, R.; Huang, C.Y.; Williyanto, R.; Yang, C.T. Prediction of Middle-Aged Unhealthy Facial Skin Using VGG19 and Support Vector Machine Models. In New Trends in Computer Technologies and Applications; Series Title: Communications in Computer and Information Science; Hsieh, S.Y., Hung, L.J., Klasing, R., Lee, C.W., Peng, S.L., Eds.; Springer Nature: Singapore, 2022; Volume 1723, pp. 279–289. [Google Scholar] [CrossRef]
- Hassan, T.; Seuß, D.; Wollenberg, J.; Weitz, K.; Kunz, M.; Lautenbacher, S.; Garbas, J.-U.; Schmid, U. Automatic Detection of Pain from Facial Expressions: A Survey. IEEE Trans. Pattern Anal. Mach. Intell. 2019, 43, 1815–1831. [Google Scholar] [CrossRef]
- Ragab, M.G.; Abdulkadir, S.J.; Muneer, A.; Alqushaibi, A.; Sumiea, E.H.; Qureshi, R.; Al-Selwi, S.M.; Alhussian, H. A Comprehensive Systematic Review of YOLO for Medical Object Detection (2018 to 2023). IEEE Access 2024, 12, 57815–57836. [Google Scholar] [CrossRef]
- Rojas-Albarracín, G.; Fernández-Caballero, A.; Pereira, A.; López, M.T. Heart Attack Detection Using Body Posture and Facial Expression of Pain. In Artificial Intelligence for Neuroscience and Emotional Systems; Series Title: Lecture Notes in Computer Science; Ferrández Vicente, J.M., Val Calvo, M., Adeli, H., Eds.; Springer Nature: Cham, Switzerland, 2024; Volume 14674, pp. 411–420. [Google Scholar] [CrossRef]
- Balaji, P.; Akash Selvin, S.; Shoba, R.; Lathaselvi, G. Facial Pain Detection Using Deep Learning. In Proceedings of the International Conference on Signals and Electronic Systems, Macau, China, 13–15 January 2023. [Google Scholar] [CrossRef]
- Wang, K.C.; Seak, C.J.; Tsai, F.S.; Chien, C.Y.; Lee, C.C.; Ng, C.J.; Wang, B.C.; Weng, Y.M. Facial Expressions of Pain Among Patients in the Emergency Department. Res. Artic. 2020. [Google Scholar] [CrossRef]
- Swetha, L.; Praiscia, A.; Juliet, S. Pain Assessment Model using Facial Recognition. In Proceedings of the 2022 6th International Conference on Intelligent Computing and Control Systems (ICICCS), Madurai, India, 25–27 May 2022; pp. 1–5. [Google Scholar] [CrossRef]
- Anu, S.; Nithin, S.; Vasist, P.; Mundra, V.; Babu, R.; Girish, A. A Relative Analysis of Machine Learning based approaches to Detect Human Pain Intensity using Facial Expressions. In Proceedings of the 2023 International Conference on Advances in Electronics, Communication, Computing and Intelligent Information Systems (ICAECIS), Bangalore, India, 19–21 April 2023. [Google Scholar] [CrossRef]
- Bargshady, G.; Soar, J.; Zhou, X.; Deo, R.C.; Whittaker, F.; Wang, H. A Joint Deep Neural Network Model for Pain Recognition from Face. In Proceedings of the 2019 IEEE 4th International Conference on Computer and Communication Systems (ICCCS), Singapore, 23–25 February 2019; pp. 52–56. [Google Scholar] [CrossRef]
- Lucey, P.; Cohn, J.F.; Prkachin, K.M.; Solomon, P.E.; Matthews, I. Painful data: The UNBC-McMaster shoulder pain expression archive database. In Proceedings of the 2011 IEEE International Conference on Automatic Face & Gesture Recognition (FG), Santa Barbara, CA, USA, 21–25 March 2011; pp. 57–64. [Google Scholar] [CrossRef]
- Aboussalim, A.; Idrissi, N.; Chakib, H. Pain Detection From Facial Expressions. In Proceedings of the International Symposium on Signal, Image, Video and Communications, Marrakech, Morocco, 21–23 May 2024. [Google Scholar] [CrossRef]
- Shinde, S.; Kothari, A.; Gupta, V. YOLO based Human Action Recognition and Localization. Procedia Comput. Sci. 2018, 133, 831–838. [Google Scholar] [CrossRef]
- Ali, N.N.; Hameed, A.; Perera, A.G.; Naji, A.A. Custom YOLO Object Detection Model for COVID-19 Diagnosis. J. Tech. 2023, 5, 92–100. [Google Scholar] [CrossRef]
- Doniyorjon, M.; Madinakhon, R.; Shakhnoza, M.; Cho, Y.I. An Improved Method of Polyp Detection Using Custom YOLOv4-Tiny. Appl. Sci. 2022, 12, 856. [Google Scholar] [CrossRef]
- Zhuang, Z.; Liu, G.; Ding, W.; Raj, A.N.J.; Qiu, S.; Guo, J.; Yuan, Y. Cardiac VFM visualization and analysis based on YOLO deep learning model and modified 2D continuity equation. Comput. Med. Imaging Graph. 2020, 82, 101732. [Google Scholar] [CrossRef]
- Vidal, A.; Jha, S.; Hassler, S.; Price, T.; Busso, C. Face detection and grimace scale prediction of white furred mice. Mach. Learn. Appl. 2022, 8, 100312. [Google Scholar] [CrossRef]
- Shaik, A.A.; Prabu, R.T.; Radhika, S. Detection of Face Mask using Convolutional Neural Network (CNN) based Real-Time Object Detection Algorithm You Only Look Once-V3 (YOLO-V3) Compared with Single-Stage Detector (SSD) Algorithm to Improve Precision. In Proceedings of the 2023 International Conference on Advances in Computing, Communication and Applied Informatics (ACCAI), Chennai, India, 25–26 May 2023. [Google Scholar] [CrossRef]
- Ge, H.; Zhu, Z.; Dai, Y.; Wang, B.; Wu, X. Facial expression recognition based on deep learning. Comput. Methods Programs Biomed. 2022, 215, 106621. [Google Scholar] [CrossRef] [PubMed]
- Hausmann, J.; Salekin, M.S.; Zamzmi, G.; Mouton, P.R.; Prescott, S.; Ho, T.; Sun, Y.; Goldgof, D.B. Accurate Neonatal Face Detection for Improved Pain Classification in the Challenging NICU Setting. IEEE Access 2024, 12, 49122–49133. [Google Scholar] [CrossRef] [PubMed]
- Grooby, E.; Sitaula, C.; Ahani, S.; Holsti, L.; Malhotra, A.; Dumont, G.; Marzbanrad, F. Neonatal Face and Facial Landmark Detection from Video Recordings. In Proceedings of the Annual International Conference of the IEEE Engineering in Medicine and Biology Society, Sydney, Australia, 24–27 July 2023. [Google Scholar] [CrossRef]
- Liu, C.-C.; Fuh, S.-C.; Lin, C.-J.; Huang, T.-H. A Novel Facial Mask Detection Using Fast-YOLO Algorithm. In Proceedings of the International Conference on Applied System Innovation, Kyoto, Japan, 17–21 April 2024. [Google Scholar] [CrossRef]
- Han, Z.; Huang, H.; Fan, Q.; Li, Y.; Li, Y.; Chen, X. SMD-YOLO: An efficient and lightweight detection method for mask wearing status during the COVID-19 pandemic. Comput. Methods Programs Biomed. 2022, 221, 106888. [Google Scholar] [CrossRef] [PubMed]
- Jiang, L.; Hesham, S.A.S.; Lim, K.; Manoj, K.; Razi, M.; Zishuo, Z.; Chenxin, M.; Jiang, B.; Saeedipour, H. YOLO Based Thermal Screening Using Artificial Intelligence (Al) for Instinctive Human Facial Detection. In Proceedings of the 2022 IEEE 17th Conference on Industrial Electronics and Applications (ICIEA), Chengdu, China, 16–19 December 2022. [Google Scholar] [CrossRef]
- Zhao, G.; Zou, S.; Wu, H. Improved Algorithm for Face Mask Detection Based on YOLO-v4. Int. J. Comput. Intell. Syst. 2023, 16, 104. [Google Scholar] [CrossRef]
- Liu, L.; Wang, G.; Miao, Q. ADYOLOv5-Face: An Enhanced YOLO-Based Face Detector for Small Target Faces. Electronics 2024, 13, 4184. [Google Scholar] [CrossRef]
- Valverde-Rebaza, J.; Andreis, G.R.; Shiguihara, P.; Paucar, S.; Mano, L.Y.; Goes, F.; Noguez, J.; Silva, N.C.D. Integrating YOLO and 3D U-Net for COVID-19 Diagnosis on Chest CT Scans; Institute of Electrical and Electronics Engineers Inc.: Piscataway, NJ, USA, 2024; pp. 15–20. [Google Scholar] [CrossRef]
- Khalili, E.; Priego-Torres, B.; Leon-Jimenez, A.; Sanchez-Morillo, D. Automatic lung segmentation in chest X-ray images using SAM with prompts from YOLO. IEEE Access 2024, 12, 122805–122819. [Google Scholar] [CrossRef]
- Ismail, A.A.; Ismail, A.; Elpeltagy, M.S.; Elpeltagy, M.S.; Zaki, M.S.; Zaki, M.S.; ElDahshan, K.A.; ElDahshan, K.A. Deepfake video detection: YOLO-Face convolution recurrent approach. PeerJ 2021, 7, e730. [Google Scholar] [CrossRef]
- Munna, M.S.; Chowdhury, R.; Siddiqee, A.M. A Comparative Study of YOLO Models For Pneumonia Detection. Int. J. Multidiscip. Res. 2024, 6, 1–10. [Google Scholar] [CrossRef]
- Othman, E.; Werner, P.; Saxen, F.; Al-Hamadi, A.; Gruss, S.; Walter, S. Classification networks for continuous automatic pain intensity monitoring in video using facial expression on the X-ITE Pain Database. J. Vis. Commun. Image Represent. 2023, 91, 103743. [Google Scholar] [CrossRef]
- Xu, X.; Xu, X.; de Sa, V.R.; de, V.R. Personalized Pain Detection in Facial Video with Uncertainty Estimation. In Proceedings of the Annual International Conference of the IEEE Engineering in Medicine and Biology Society, Virtual, 1–5 November 2021. [Google Scholar] [CrossRef]
- Alghamdi, T.; Alaghband, G. Facial Expressions Based Automatic Pain Assessment System. Appl. Sci. 2022, 12, 6423. [Google Scholar] [CrossRef]














| Model | YOLOv4 | YOLOv5 | YOLOv6 | YOLOv7 |
|---|---|---|---|---|
| Accuracy (dataset1) | 50–70% | 30–70% | 50–70% | 50–75% |
| Accuracy (CPR dataset) | 80–100% | 50–70% | 80–100% | 35–55% |
| Training time (hours) | at least 12 | 3–4 | 4–5 | 5–7 |
| Model | mAP | mAP 0.5 | Speed CPU (ms) | Speedb1 (ms) | Speed b32 | Params (M) | Size (Pixels) |
|---|---|---|---|---|---|---|---|
| YOLOv5n | 28 | 45.7 | 45 | 6.3 | 0.6 | 1.9 | 640 |
| YOLOv5s | 37.4 | 56.8 | 98 | 6.4 | 0.9 | 7.2 | 640 |
| YOLOv5m | 45.4 | 64.1 | 224 | 8.2 | 1.7 | 21.2 | 640 |
| YOLOv5l | 49 | 67.3 | 430 | 10.1 | 2.7 | 46.5 | 640 |
| YOLOv5x | 50.7 | 68.9 | 766 | 12.1 | 4.8 | 86.7 | 640 |
| YOLOv5n6 | 36 | 54.4 | 153 | 8.1 | 2.1 | 3.2 | 1280 |
| YOLOv5s6 | 44.8 | 63.7 | 385 | 8.2 | 3.6 | 12.6 | 1280 |
| YOLOv5m6 | 51.3 | 69.3 | 887 | 11.1 | 6.8 | 35.7 | 1280 |
| YOLOv5l6 | 53.7 | 71.3 | 1784 | 15.8 | 10.5 | 76.8 | 1280 |
| YOLOv5x6 | 55 | 72.7 | 3136 | 26.2 | 19.4 | 140.7 | 1280 |
| Model | Detection Time (s) | FLOP@640 (B) | Training Time (h) | Training Space (MB) |
|---|---|---|---|---|
| YOLOv5n | 0.006 | 4.50 | 1.121 | 3.00 |
| YOLOv5s | 0.008 | 16.4 | 1.441 | 14.3 |
| YOLOv5m | 0.010 | 48.9 | 1.392 | 42.1 |
| YOLOv5l | 0.031 | 109 | 3.872 | 173 |
| YOLOv5x | 0.018 | 205.5 | 2.496 | 92.8 |
| YOLOv5n6 | 0.009 | 4.60 | 1.422 | 6.50 |
| YOLOv5s6 | 0.008 | 16.8 | 1.503 | 25.0 |
| YOLOv5m6 | 0.012 | 49.9 | 2.147 | 71.1 |
| YOLOv5l6 | 0.020 | 111.2 | 2.964 | 153 |
| YOLOv5x6 | 0.035 | 209.6 | cannot train with the same parameters | cannot train with the same parameters |
| Model | Accuracy Pain | Accuracy No Pain |
|---|---|---|
| YOLOv5n | 0.48 | 0.44 |
| YOLOv5s | 0.50 | 0.32 |
| YOLOv5m | 0.48 | 0.45 |
| YOLOv5l | 0.56 | 0.60 |
| YOLOv5x | 0.47 | 0.43 |
| YOLOv5n6 | 0.51 | 0.40 |
| YOLOv5s6 | 0.44 | 0.34 |
| YOLOv5m6 | 0.48 | 0.39 |
| YOLOv5l6 | 0.48 | 0.42 |
| YOLOv5x6 | 0.57 | 0.62 |
Disclaimer/Publisher’s Note: The statements, opinions and data contained in all publications are solely those of the individual author(s) and contributor(s) and not of MDPI and/or the editor(s). MDPI and/or the editor(s) disclaim responsibility for any injury to people or property resulting from any ideas, methods, instructions or products referred to in the content. |
© 2024 by the authors. Licensee MDPI, Basel, Switzerland. This article is an open access article distributed under the terms and conditions of the Creative Commons Attribution (CC BY) license (https://creativecommons.org/licenses/by/4.0/).
Share and Cite
Kao, H.; Wiryasaputra, R.; Liao, Y.-Y.; Tsan, Y.-T.; Chu, W.-M.; Chen, Y.-H.; Lin, T.-C.; Yang, C.-T. The Potential for High-Priority Care Based on Pain Through Facial Expression Detection with Patients Experiencing Chest Pain. Diagnostics 2025, 15, 17. https://doi.org/10.3390/diagnostics15010017
Kao H, Wiryasaputra R, Liao Y-Y, Tsan Y-T, Chu W-M, Chen Y-H, Lin T-C, Yang C-T. The Potential for High-Priority Care Based on Pain Through Facial Expression Detection with Patients Experiencing Chest Pain. Diagnostics. 2025; 15(1):17. https://doi.org/10.3390/diagnostics15010017
Chicago/Turabian StyleKao, Hsiang, Rita Wiryasaputra, Yo-Yun Liao, Yu-Tse Tsan, Wei-Min Chu, Yi-Hsuan Chen, Tzu-Chieh Lin, and Chao-Tung Yang. 2025. "The Potential for High-Priority Care Based on Pain Through Facial Expression Detection with Patients Experiencing Chest Pain" Diagnostics 15, no. 1: 17. https://doi.org/10.3390/diagnostics15010017
APA StyleKao, H., Wiryasaputra, R., Liao, Y.-Y., Tsan, Y.-T., Chu, W.-M., Chen, Y.-H., Lin, T.-C., & Yang, C.-T. (2025). The Potential for High-Priority Care Based on Pain Through Facial Expression Detection with Patients Experiencing Chest Pain. Diagnostics, 15(1), 17. https://doi.org/10.3390/diagnostics15010017

