Urinary Epidermal Growth Factor Level as a Noninvasive Indicator of Tubular Repair in Patients with Acute Kidney Injury
Abstract
1. Introduction
2. Materials and Methods
2.1. Setting and Patients
2.2. Sample and Data Collection
2.3. ELISA
2.4. Statistical Analysis
3. Results
3.1. Patient Baseline Characteristics
3.2. Urinary EGF Was Significantly Decreased in AKI Patients
3.3. Comparison of Urinary EGF with Clinical Parameters
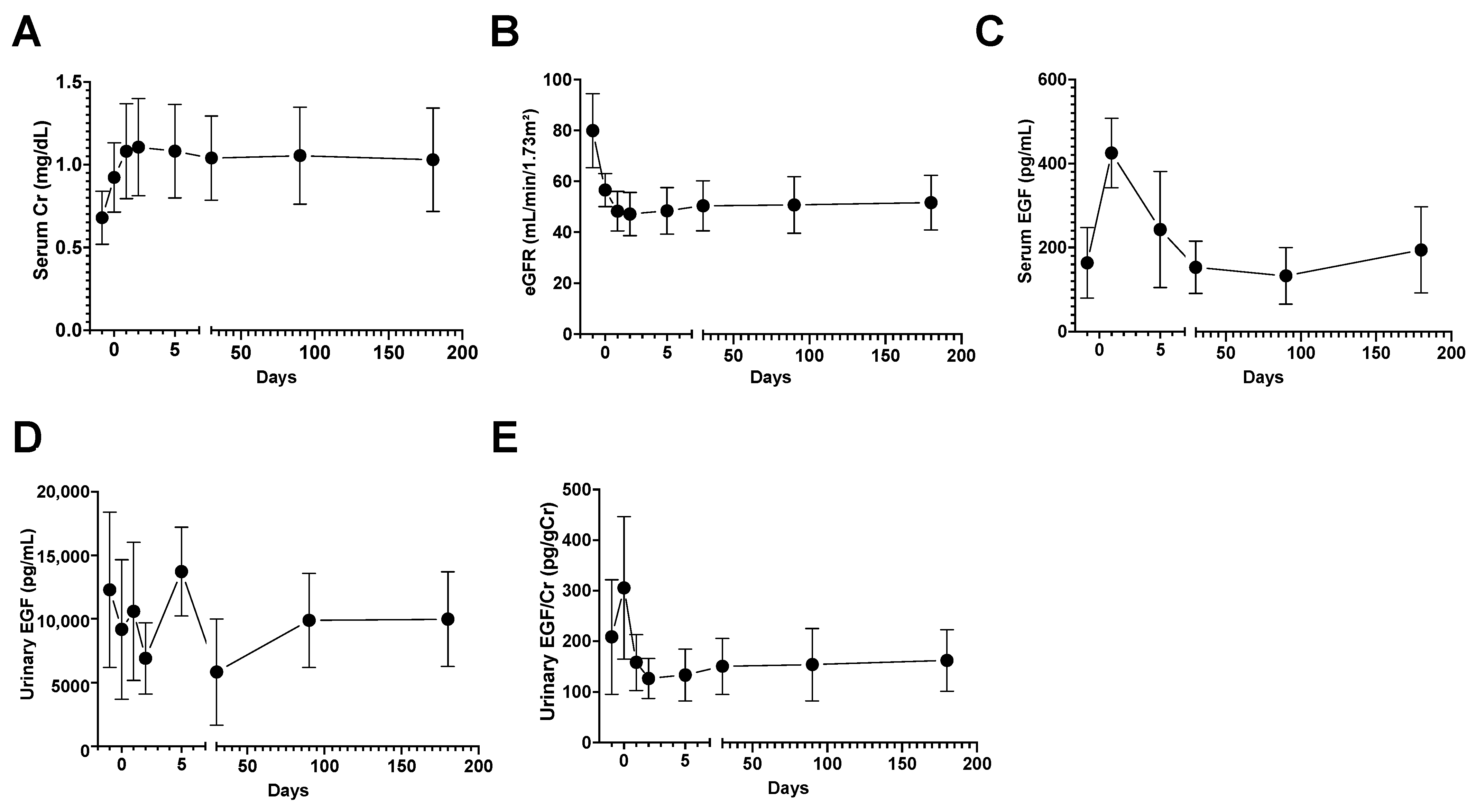
3.4. Changes in Urinary EGF Levels over Time in AKI Patients
3.5. Urinary EGF Decreased to Half the Baseline Level after Unilateral Nephrectomy
4. Discussion
5. Conclusions
Author Contributions
Funding
Institutional Review Board Statement
Informed Consent Statement
Data Availability Statement
Acknowledgments
Conflicts of Interest
References
- Bellomo, R.; Kellum, J.A.; Ronco, C. Acute kidney injury. Lancet 2012, 380, 756–766. [Google Scholar] [CrossRef] [PubMed]
- Agarwal, A.; Dong, Z.; Harris, R.; Murray, P.; Parikh, S.M.; Rosner, M.H.; Kellum, J.A.; Ronco, C.; Acute Dialysis Quality Initiative, X.W.G. Cellular and Molecular Mechanisms of AKI. J. Am. Soc. Nephrol. 2016, 27, 1288–1299. [Google Scholar] [CrossRef] [PubMed]
- Zuk, A.; Bonventre, J.V. Acute kidney injury: Can remote ischaemic preconditioning prevent AKI? Nat. Rev. Nephrol. 2015, 11, 512–513. [Google Scholar] [CrossRef] [PubMed]
- Summary of Recommendation Statements. Kidney Int. Suppl. 2012, 2, 8–12. [CrossRef] [PubMed]
- Palevsky, P.M.; Liu, K.D.; Brophy, P.D.; Chawla, L.S.; Parikh, C.R.; Thakar, C.V.; Tolwani, A.J.; Waikar, S.S.; Weisbord, S.D. KDOQI US commentary on the 2012 KDIGO clinical practice guideline for acute kidney injury. Am. J. Kidney Dis. 2013, 61, 649–672. [Google Scholar] [CrossRef] [PubMed]
- Cruz, D.N.; Bolgan, I.; Perazella, M.A.; Bonello, M.; de Cal, M.; Corradi, V.; Polanco, N.; Ocampo, C.; Nalesso, F.; Piccinni, P.; et al. North East Italian Prospective Hospital Renal Outcome Survey on Acute Kidney Injury (NEiPHROS-AKI): Targeting the problem with the RIFLE Criteria. Clin. J. Am. Soc. Nephrol. 2007, 2, 418–425. [Google Scholar] [CrossRef] [PubMed]
- Ali, T.; Khan, I.; Simpson, W.; Prescott, G.; Townend, J.; Smith, W.; Macleod, A. Incidence and outcomes in acute kidney injury: A comprehensive population-based study. J. Am. Soc. Nephrol. 2007, 18, 1292–1298. [Google Scholar] [CrossRef]
- Ricci, Z.; Cruz, D.; Ronco, C. The RIFLE criteria and mortality in acute kidney injury: A systematic review. Kidney Int. 2008, 73, 538–546. [Google Scholar] [CrossRef] [PubMed]
- Thakar, C.V.; Christianson, A.; Freyberg, R.; Almenoff, P.; Render, M.L. Incidence and outcomes of acute kidney injury in intensive care units: A Veterans Administration study. Crit. Care Med. 2009, 37, 2552–2558. [Google Scholar] [CrossRef] [PubMed]
- Bennett, M.; Dent, C.L.; Ma, Q.; Dastrala, S.; Grenier, F.; Workman, R.; Syed, H.; Ali, S.; Barasch, J.; Devarajan, P. Urine NGAL predicts severity of acute kidney injury after cardiac surgery: A prospective study. Clin. J. Am. Soc. Nephrol. 2008, 3, 665–673. [Google Scholar] [CrossRef] [PubMed]
- Mori, K.; Nakao, K. Neutrophil gelatinase-associated lipocalin as the real-time indicator of active kidney damage. Kidney Int. 2007, 71, 967–970. [Google Scholar] [CrossRef] [PubMed]
- Nickolas, T.L.; O’Rourke, M.J.; Yang, J.; Sise, M.E.; Canetta, P.A.; Barasch, N.; Buchen, C.; Khan, F.; Mori, K.; Giglio, J.; et al. Sensitivity and specificity of a single emergency department measurement of urinary neutrophil gelatinase-associated lipocalin for diagnosing acute kidney injury. Ann. Intern. Med. 2008, 148, 810–819. [Google Scholar] [CrossRef] [PubMed]
- Mishra, J.; Dent, C.; Tarabishi, R.; Mitsnefes, M.M.; Ma, Q.; Kelly, C.; Ruff, S.M.; Zahedi, K.; Shao, M.; Bean, J.; et al. Neutrophil gelatinase-associated lipocalin (NGAL) as a biomarker for acute renal injury after cardiac surgery. Lancet 2005, 365, 1231–1238. [Google Scholar] [CrossRef] [PubMed]
- Parikh, C.R.; Abraham, E.; Ancukiewicz, M.; Edelstein, C.L. Urine IL-18 is an early diagnostic marker for acute kidney injury and predicts mortality in the intensive care unit. J. Am. Soc. Nephrol. 2005, 16, 3046–3052. [Google Scholar] [CrossRef] [PubMed]
- Parikh, C.R.; Jani, A.; Melnikov, V.Y.; Faubel, S.; Edelstein, C.L. Urinary interleukin-18 is a marker of human acute tubular necrosis. Am. J. Kidney Dis. 2004, 43, 405–414. [Google Scholar] [CrossRef] [PubMed]
- Parr, S.K.; Clark, A.J.; Bian, A.; Shintani, A.K.; Wickersham, N.E.; Ware, L.B.; Ikizler, T.A.; Siew, E.D. Urinary L-FABP predicts poor outcomes in critically ill patients with early acute kidney injury. Kidney Int. 2015, 87, 640–648. [Google Scholar] [CrossRef] [PubMed]
- Negishi, K.; Noiri, E.; Doi, K.; Maeda-Mamiya, R.; Sugaya, T.; Portilla, D.; Fujita, T. Monitoring of urinary L-type fatty acid-binding protein predicts histological severity of acute kidney injury. Am. J. Pathol. 2009, 174, 1154–1159. [Google Scholar] [CrossRef] [PubMed]
- Yamamoto, T.; Noiri, E.; Ono, Y.; Doi, K.; Negishi, K.; Kamijo, A.; Kimura, K.; Fujita, T.; Kinukawa, T.; Taniguchi, H.; et al. Renal L-type fatty acid–binding protein in acute ischemic injury. J. Am. Soc. Nephrol. 2007, 18, 2894–2902. [Google Scholar] [CrossRef] [PubMed]
- Liangos, O.; Perianayagam, M.C.; Vaidya, V.S.; Han, W.K.; Wald, R.; Tighiouart, H.; MacKinnon, R.W.; Li, L.; Balakrishnan, V.S.; Pereira, B.J.; et al. Urinary N-acetyl-beta-(D)-glucosaminidase activity and kidney injury molecule-1 level are associated with adverse outcomes in acute renal failure. J. Am. Soc. Nephrol. 2007, 18, 904–912. [Google Scholar] [CrossRef] [PubMed]
- Vaidya, V.S.; Ozer, J.S.; Dieterle, F.; Collings, F.B.; Ramirez, V.; Troth, S.; Muniappa, N.; Thudium, D.; Gerhold, D.; Holder, D.J.; et al. Kidney injury molecule-1 outperforms traditional biomarkers of kidney injury in preclinical biomarker qualification studies. Nat. Biotechnol. 2010, 28, 478–485. [Google Scholar] [CrossRef] [PubMed]
- Vaidya, V.S.; Ramirez, V.; Ichimura, T.; Bobadilla, N.A.; Bonventre, J.V. Urinary kidney injury molecule-1: A sensitive quantitative biomarker for early detection of kidney tubular injury. Am. J. Physiol.-Renal Physiol. 2006, 290, F517–F529. [Google Scholar] [CrossRef] [PubMed]
- Han, W.K.; Bailly, V.; Abichandani, R.; Thadhani, R.; Bonventre, J.V. Kidney Injury Molecule-1 (KIM-1): A novel biomarker for human renal proximal tubule injury. Kidney Int. 2002, 62, 237–244. [Google Scholar] [CrossRef] [PubMed]
- Yang, L.; Besschetnova, T.Y.; Brooks, C.R.; Shah, J.V.; Bonventre, J.V. Epithelial cell cycle arrest in G2/M mediates kidney fibrosis after injury. Nat. Med. 2010, 16, 535–543. [Google Scholar] [CrossRef]
- Cohen, S. The epidermal growth factor (EGF). Cancer 1983, 51, 1787–1791. [Google Scholar] [CrossRef] [PubMed]
- Harris, R.C. Potential physiologic roles for epidermal growth factor in the kidney. Am. J. Kidney Dis. 1991, 17, 627–630. [Google Scholar] [CrossRef] [PubMed]
- Carpenter, G.; Zendegui, J.G. Epidermal growth factor, its receptor, and related proteins. Exp. Cell Res. 1986, 164, 1–10. [Google Scholar] [CrossRef] [PubMed]
- Threadgill, D.W.; Dlugosz, A.A.; Hansen, L.A.; Tennenbaum, T.; Lichti, U.; Yee, D.; LaMantia, C.; Mourton, T.; Herrup, K.; Harris, R.C.; et al. Targeted disruption of mouse EGF receptor: Effect of genetic background on mutant phenotype. Science 1995, 269, 230–234. [Google Scholar] [CrossRef] [PubMed]
- Tang, J.; Liu, N.; Zhuang, S. Role of epidermal growth factor receptor in acute and chronic kidney injury. Kidney Int. 2013, 83, 804–810. [Google Scholar] [CrossRef] [PubMed]
- Harris, R.C. The epidermal growth factor receptor axis and kidney fibrosis. Curr. Opin. Nephrol. Hypertens. 2021, 30, 275–279. [Google Scholar] [CrossRef] [PubMed]
- Chen, J.; Zeng, F.; Forrester, S.J.; Eguchi, S.; Zhang, M.-Z.; Harris, R.C. Expression and Function of the Epidermal Growth Factor Receptor in Physiology and Disease. Physiol. Rev. 2016, 96, 1025–1069. [Google Scholar] [CrossRef] [PubMed]
- Harskamp, L.R.; Gansevoort, R.T.; Van Goor, H.; Meijer, E. The epidermal growth factor receptor pathway in chronic kidney diseases. Nat. Rev. Nephrol. 2016, 12, 496–506. [Google Scholar] [CrossRef]
- Mejia-Vilet, J.M.; Shapiro, J.P.; Zhang, X.L.; Cruz, C.; Zimmerman, G.; Mendez-Perez, R.A.; Cano-Verduzco, M.L.; Parikh, S.V.; Nagaraja, H.N.; Morales-Buenrostro, L.E.; et al. Association between Urinary Epidermal Growth Factor and Renal Prognosis in Lupus Nephritis. Arthritis Rheumatol. 2021, 73, 244–254. [Google Scholar] [CrossRef]
- Satirapoj, B.; Dispan, R.; Radinahamed, P.; Kitiyakara, C. Urinary epidermal growth factor, monocyte chemoattractant protein-1 or their ratio as predictors for rapid loss of renal function in type 2 diabetic patients with diabetic kidney disease. BMC Nephrol. 2018, 19, 246. [Google Scholar] [CrossRef] [PubMed]
- Wu, L.; Li, X.Q.; Chang, D.Y.; Zhang, H.; Li, J.J.; Wu, S.L.; Zhang, L.X.; Chen, M.; Zhao, M.H. Associations of urinary epidermal growth factor and monocyte chemotactic protein-1 with kidney involvement in patients with diabetic kidney disease. Nephrol. Dial. Transplant. 2020, 35, 291–297. [Google Scholar] [CrossRef] [PubMed]
- Ledeganck, K.J.; den Brinker, M.; Peeters, E.; Verschueren, A.; De Winter, B.Y.; France, A.; Dotremont, H.; Trouet, D. The next generation: Urinary epidermal growth factor is associated with an early decline in kidney function in children and adolescents with type 1 diabetes mellitus. Diabetes Res. Clin. Pract. 2021, 178, 108945. [Google Scholar] [CrossRef]
- Torres, D.D.; Rossini, M.; Manno, C.; Mattace-Raso, F.; D’Altri, C.; Ranieri, E.; Pontrelli, P.; Grandaliano, G.; Gesualdo, L.; Schena, F.P. The ratio of epidermal growth factor to monocyte chemotactic peptide-1 in the urine predicts renal prognosis in IgA nephropathy. Kidney Int. 2008, 73, 327–333. [Google Scholar] [CrossRef]
- Segarra-Medrano, A.; Carnicer-Caceres, C.; Valtierra-Carmeno, N.; Agraz-Pamplona, I.; Ramos-Terrades, N.; Jatem Escalante, E.; Ostos-Roldan, E. Value of urinary levels of interleukin-6, epidermal growth factor, monocyte chemoattractant protein type1 and transforming growth factor beta1 in predicting the extent of fibrosis lesions in kidney biopsies of patients with IgA nephropathy. Nefrologia 2017, 37, 531–538. [Google Scholar] [CrossRef] [PubMed]
- Leierer, J.; Perco, P.; Hofer, B.; Eder, S.; Dzien, A.; Kerschbaum, J.; Rudnicki, M.; Mayer, G. Coregulation Analysis of Mechanistic Biomarkers in Autosomal Dominant Polycystic Kidney Disease. Int. J. Mol. Sci. 2021, 22, 6885. [Google Scholar] [CrossRef]
- Worawichawong, S.; Worawichawong, S.; Radinahamed, P.; Muntham, D.; Sathirapongsasuti, N.; Nongnuch, A.; Assanatham, M.; Kitiyakara, C. Urine Epidermal Growth Factor, Monocyte Chemoattractant Protein-1 or Their Ratio as Biomarkers for Interstitial Fibrosis and Tubular Atrophy in Primary Glomerulonephritis. Kidney Blood Press. Res. 2016, 41, 997–1007. [Google Scholar] [CrossRef] [PubMed]
- Chanrat, E.; Worawichawong, S.; Radinahamed, P.; Sathirapongsasuti, N.; Nongnuch, A.; Assanatham, M.; Udomsubpayakul, U.; Kitiyakara, C. Urine epidermal growth factor, monocyte chemoattractant protein-1 or their ratio as predictors of complete remission in primary glomerulonephritis. Cytokine 2018, 104, 1–7. [Google Scholar] [CrossRef]
- Heidari, S.S.; Nafar, M.; Kalantari, S.; Tavilani, H.; Karimi, J.; Foster, L.; Moon, K.M.; Khodadadi, I. Urinary epidermal growth factor is a novel biomarker for early diagnosis of antibody mediated kidney allograft rejection: A urinary proteomics analysis. J. Proteom. 2021, 240, 104208. [Google Scholar] [CrossRef] [PubMed]
- Azukaitis, K.; Ju, W.; Kirchner, M.; Nair, V.; Smith, M.; Fang, Z.; Thurn-Valsassina, D.; Bayazit, A.; Niemirska, A.; Canpolat, N.; et al. Low levels of urinary epidermal growth factor predict chronic kidney disease progression in children. Kidney Int. 2019, 96, 214–221. [Google Scholar] [CrossRef] [PubMed]
- Greenberg, J.H.; Abraham, A.G.; Xu, Y.; Schelling, J.R.; Feldman, H.I.; Sabbisetti, V.S.; Ix, J.H.; Jogalekar, M.P.; Coca, S.; Waikar, S.S.; et al. Urine Biomarkers of Kidney Tubule Health, Injury, and Inflammation are Associated with Progression of CKD in Children. J. Am. Soc. Nephrol. 2021, 32, 2664–2677. [Google Scholar] [CrossRef] [PubMed]
- Ju, W.; Nair, V.; Smith, S.; Zhu, L.; Shedden, K.; Song, P.X.K.; Mariani, L.H.; Eichinger, F.H.; Berthier, C.C.; Randolph, A.; et al. Tissue transcriptome-driven identification of epidermal growth factor as a chronic kidney disease biomarker. Sci. Transl. Med. 2015, 7, 316ra193. [Google Scholar] [CrossRef] [PubMed]
- Askenazi, D.J.; Koralkar, R.; Hundley, H.E.; Montesanti, A.; Parwar, P.; Sonjara, S.; Ambalavanan, N. Urine biomarkers predict acute kidney injury in newborns. J. Pediatr. 2012, 161, 270–275 e271. [Google Scholar] [CrossRef] [PubMed]
- Askenazi, D.J.; Koralkar, R.; Patil, N.; Halloran, B.; Ambalavanan, N.; Griffin, R. Acute Kidney Injury Urine Biomarkers in Very Low-Birth-Weight Infants. Clin. J. Am. Soc. Nephrol. 2016, 11, 1527–1535. [Google Scholar] [CrossRef] [PubMed]
- Hanna, M.; Brophy, P.D.; Giannone, P.J.; Joshi, M.S.; Bauer, J.A.; RamachandraRao, S. Early urinary biomarkers of acute kidney injury in preterm infants. Pediatr. Res. 2016, 80, 218–223. [Google Scholar] [CrossRef] [PubMed]
- Wai, K.; Soler-Garcia, A.A.; Perazzo, S.; Mattison, P.; Ray, P.E. A pilot study of urinary fibroblast growth factor-2 and epithelial growth factor as potential biomarkers of acute kidney injury in critically ill children. Pediatr. Nephrol. 2013, 28, 2189–2198. [Google Scholar] [CrossRef] [PubMed]
- Hoffman, S.B.; Massaro, A.N.; Soler-Garcia, A.A.; Perazzo, S.; Ray, P.E. A novel urinary biomarker profile to identify acute kidney injury (AKI) in critically ill neonates: A pilot study. Pediatr. Nephrol. 2013, 28, 2179–2188. [Google Scholar] [CrossRef] [PubMed]
- Schaudies, R.P.; Nonclercq, D.; Nelson, L.; Toubeau, G.; Zanen, J.; Heuson-Stiennon, J.A.; Laurent, G. Endogenous EGF as a potential renotrophic factor in ischemia-induced acute renal failure. Am. J. Physiol. 1993, 265, F425–F434. [Google Scholar] [CrossRef] [PubMed]
- Safirstein, R.; Price, P.M.; Saggi, S.J.; Harris, R.C. Changes in gene expression after temporary renal ischemia. Kidney Int. 1990, 37, 1515–1521. [Google Scholar] [CrossRef] [PubMed]
- Taira, T.; Yoshimura, A.; Iizuka, K.; Iwasaki, S.; Ideura, T.; Koshikawa, S. Urinary epidermal growth factor levels in patients with acute renal failure. Am. J. Kidney Dis. 1993, 22, 656–661. [Google Scholar] [CrossRef] [PubMed]
- Kwon, O.; Ahn, K.; Zhang, B.; Lockwood, T.; Dhamija, R.; Anderson, D.; Saqib, N. Simultaneous monitoring of multiple urinary cytokines may predict renal and patient outcome in ischemic AKI. Ren. Fail. 2010, 32, 699–708. [Google Scholar] [CrossRef] [PubMed]
- Menez, S.; Moledina, D.G.; Thiessen-Philbrook, H.; Wilson, F.P.; Obeid, W.; Simonov, M.; Yamamoto, Y.; Corona-Villalobos, C.P.; Chang, C.; Garibaldi, B.T.; et al. Prognostic Significance of Urinary Biomarkers in Patients Hospitalized with COVID-19. Am. J. Kidney Dis. 2022, 79, 257–267.e1. [Google Scholar] [CrossRef] [PubMed]




| AKI | Healthy Control | ||||
|---|---|---|---|---|---|
| n = 99 | n = 16 | p | |||
| Age, years, mean ± S.E. | 64.3 ± | 1.5 | 54.9 ± | 2.9 | 0.016 |
| BMI, kg/m2, mean ± S.E. | 24.4 ± | 0.6 | 23.4 ± | 0.8 | 0.472 |
| Male gender, n (%) | 71 | (71.7) | 4 | (25.0) | |
| Weight, kg, mean ± S.E. | 63.8 ± | 1.7 | 60.2 ± | 3.2 | 0.398 |
| Complications, n (%) | |||||
| Diabetes | 33 | (33.3) | 1 | (6.3) | 0.036 |
| Hypertension | 69 | (69.7) | 7 | (43.8) | 0.051 |
| Dyslipidemia | 36 | (36.4) | 1 | (6.3) | 0.019 |
| Old myocardial infarction | 7 | (7.1) | 0 | (0.0) | 0.591 |
| Old cerebral infarction | 4 | (4.0) | 0 | (0.0) | 0.637 |
| Angina pectoris | 11 | (11.1) | 0 | (0.0) | 0.223 |
| Chronic obstructive pulmonary disease | 1 | (1.0) | 0 | (0.0) | 0.706 |
| Liver disease | 5 | (5.1) | 0 | (0.0) | 0.608 |
| Hematological data, mean ± S.E. | |||||
| Na, mEq/L | 138 ± | 0.6 | 142.1 ± | 0.5 | 0.003 |
| K, mEq/L | 4.4 ± | 0.1 | 4.2 ± | 0.1 | 0.339 |
| Cl, mEq/L | 104 ± | 0.6 | 105.9 ± | 0.6 | 0.111 |
| BUN, mg/dL | 53 ± | 3.0 | 14.1 ± | 0.8 | <0.0001 |
| Creatinine, mg/dL | 4.02 ± | 0.31 | 0.68 ± | 0.04 | <0.0001 |
| eGFR, mL/min | 20.1 ± | 1.8 | 79.9 ± | 3.6 | <0.0001 |
| Hemoglobin, mg/dL | 10.4 ± | 0.2 | 13.3 ± | 0.2 | <0.0001 |
| Platelets, ×104/µL | 18.1 ± | 1.0 | 26.1 ± | 1.7 | 0.004 |
| WBC, ×103/µL | 9.4 ± | 0.6 | 5.7 ± | 0.4 | 0.020 |
| CRP, mg/dL | 7.2 ± | 0.9 | 0.24 ± | 0.1 | 0.001 |
| Urinalysis, mean ± S.E. | |||||
| Urinary protein, mg/dL | 221.3 ± | 45.1 | 7.8 ± | 2.4 | <0.0001 |
| NAG, IU/L | 31.0 ± | 3.5 | 4.2 ± | 1.2 | <0.0001 |
| α1MG, mg/L | 58.1 ± | 7.5 | 3.4 ± | 0.8 | <0.0001 |
| β2MG, µg/L | 12,221 ± | 2370.3 | 162.9 ± | 32.2 | 0.003 |
| NGAL, ng/mL | 867.3 ± | 150.4 | 21.8 ± | 8.4 | <0.0001 |
| KIM-1, ng/mL | 2.8 ± | 0.3 | 1.5 ± | 0.7 | 0.115 |
| L-FABP, ng/mL | 161.7 ± | 66.7 | 2.1 ± | 0.6 | <0.0001 |
| FENa, % | 3.7 ± | 0.7 | n.d. | - | |
| FEUrea, % | 35.7 ± | 2.3 | n.d. | - | |
| EGF, pg/mL | 3200.9 ± | 456.8 | 12,278 ± | 1528.9 | <0.001 |
Disclaimer/Publisher’s Note: The statements, opinions and data contained in all publications are solely those of the individual author(s) and contributor(s) and not of MDPI and/or the editor(s). MDPI and/or the editor(s) disclaim responsibility for any injury to people or property resulting from any ideas, methods, instructions or products referred to in the content. |
© 2024 by the authors. Licensee MDPI, Basel, Switzerland. This article is an open access article distributed under the terms and conditions of the Creative Commons Attribution (CC BY) license (https://creativecommons.org/licenses/by/4.0/).
Share and Cite
Ono, K.; Maeshima, A.; Nagayama, I.; Kubo, T.; Yagisawa, T.; Nagata, D. Urinary Epidermal Growth Factor Level as a Noninvasive Indicator of Tubular Repair in Patients with Acute Kidney Injury. Diagnostics 2024, 14, 947. https://doi.org/10.3390/diagnostics14090947
Ono K, Maeshima A, Nagayama I, Kubo T, Yagisawa T, Nagata D. Urinary Epidermal Growth Factor Level as a Noninvasive Indicator of Tubular Repair in Patients with Acute Kidney Injury. Diagnostics. 2024; 14(9):947. https://doi.org/10.3390/diagnostics14090947
Chicago/Turabian StyleOno, Kazutoshi, Akito Maeshima, Izumi Nagayama, Taro Kubo, Takashi Yagisawa, and Daisuke Nagata. 2024. "Urinary Epidermal Growth Factor Level as a Noninvasive Indicator of Tubular Repair in Patients with Acute Kidney Injury" Diagnostics 14, no. 9: 947. https://doi.org/10.3390/diagnostics14090947
APA StyleOno, K., Maeshima, A., Nagayama, I., Kubo, T., Yagisawa, T., & Nagata, D. (2024). Urinary Epidermal Growth Factor Level as a Noninvasive Indicator of Tubular Repair in Patients with Acute Kidney Injury. Diagnostics, 14(9), 947. https://doi.org/10.3390/diagnostics14090947

