Patlak Slope versus Standardized Uptake Value Image Quality in an Oncologic PET/CT Population: A Prospective Cross-Sectional Study
Abstract
1. Introduction
2. Materials and Methods
2.1. Study Design
2.2. Imaging Protocol
2.3. PET Image Reconstruction
2.4. Quantitative Analysis
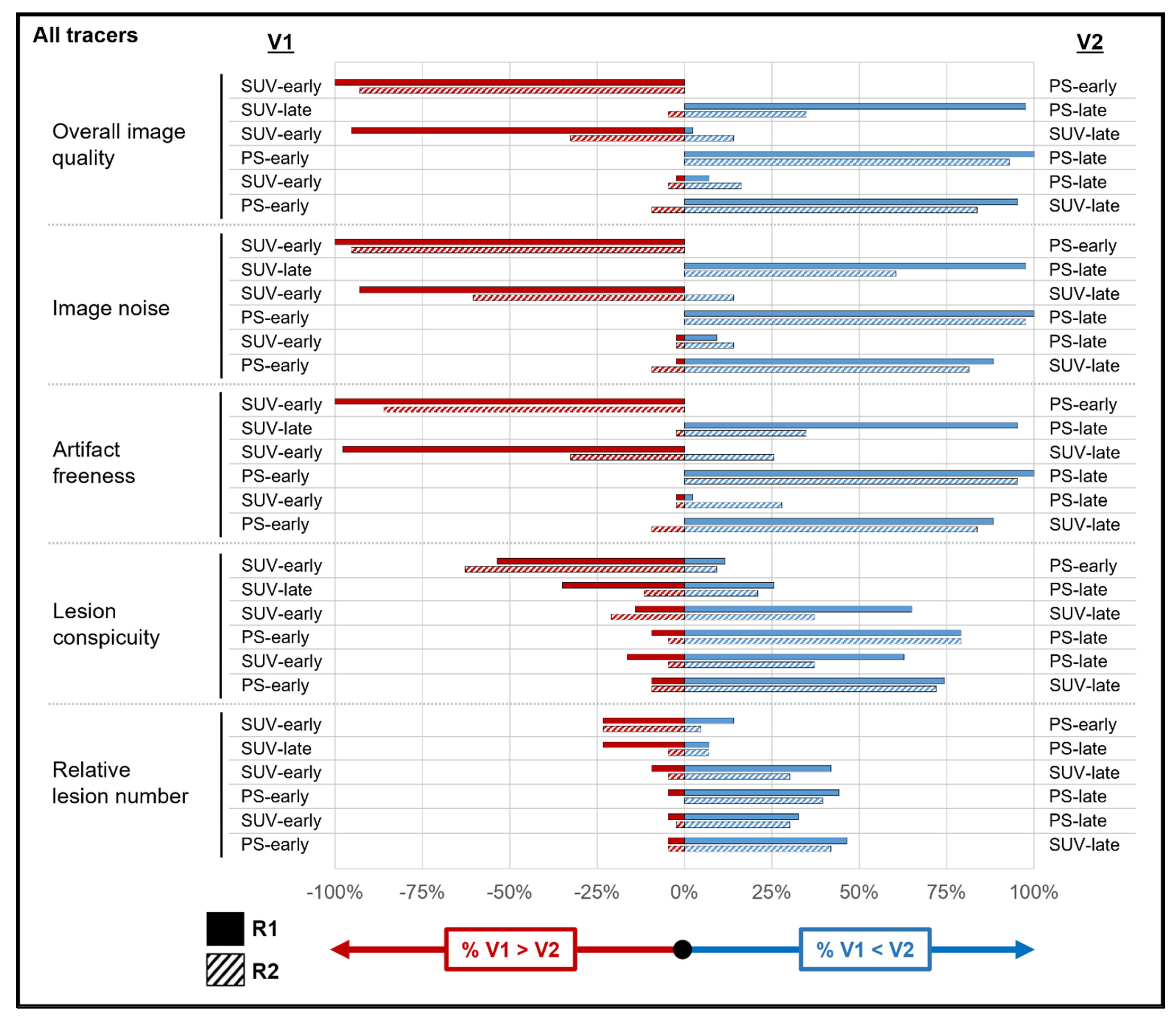
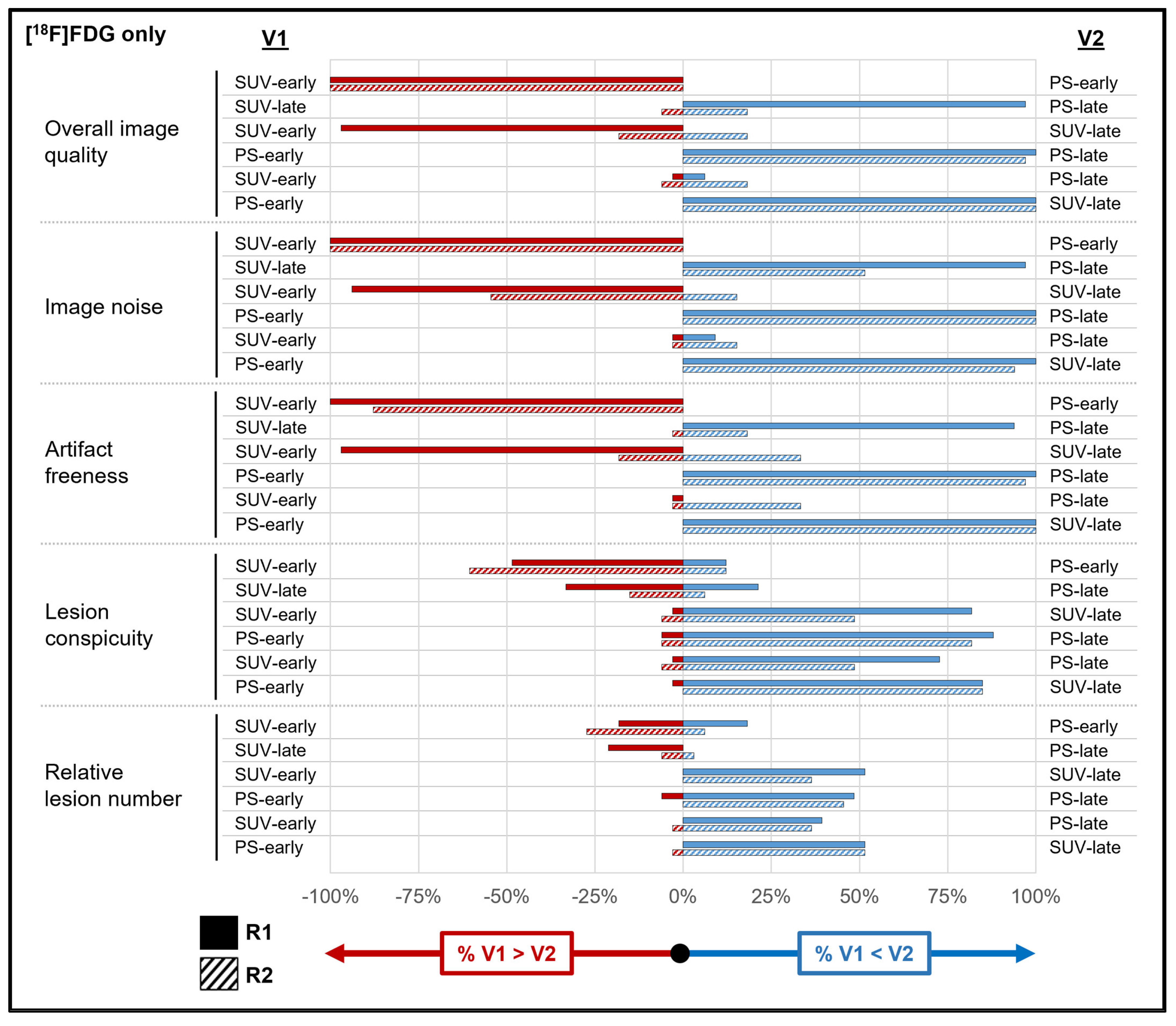
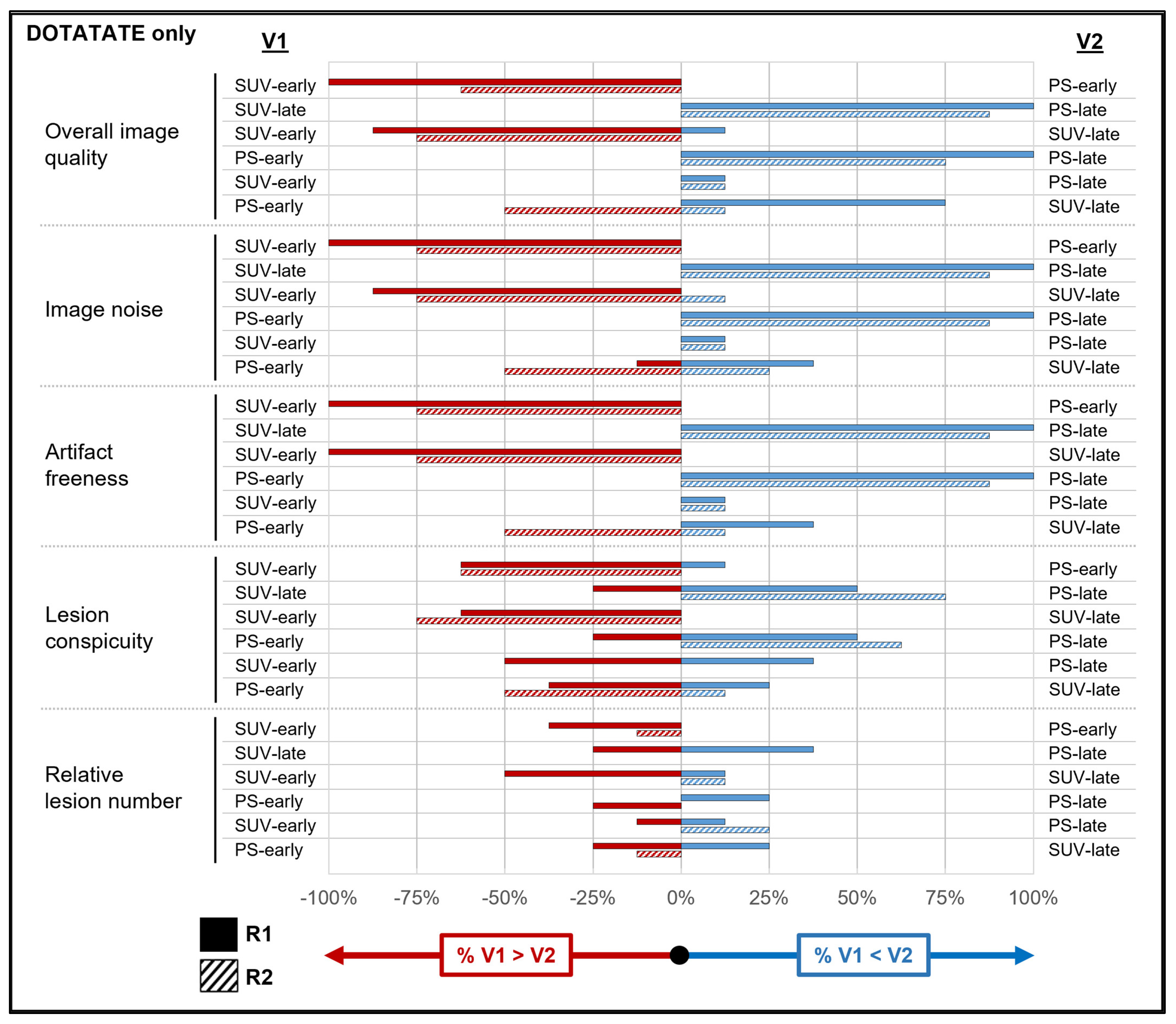
2.5. Qualitative Analysis
2.6. Statistical Analysis
3. Results
3.1. Study Cohort
3.2. Image Quality of SUV vs. PS Reconstructions
3.3. Hepatic TBRs on SUV vs. PS Images
4. Discussion
5. Conclusions
Supplementary Materials
Author Contributions
Funding
Institutional Review Board Statement
Informed Consent Statement
Data Availability Statement
Conflicts of Interest
References
- Wahl, R.L.; Jacene, H.; Kasamon, Y.; Lodge, M.A. From RECIST to PERCIST: Evolving considerations for PET response criteria in solid tumors. J. Nuclear Med. 2009, 50, 122S–150S. [Google Scholar] [CrossRef] [PubMed]
- Beiderwellen, K.; Geraldo, L.; Ruhlmann, V.; Heusch, P.; Gomez, B.; Nensa, F.; Umutlu, L.; Lauenstein, T.C. Accuracy of [18F]FDG PET/MRI for the detection of liver metastases. PLoS ONE 2015, 10, e0137285. [Google Scholar] [CrossRef] [PubMed]
- Rahmim, A.; Lodge, M.A.; Karakatsanis, N.A.; Panin, V.Y.; Zhou, Y.; McMillan, A.; Cho, S.; Zaidi, H.; Casey, M.E.; Wahl, R.L. Dynamic whole-body PET imaging: Principles, potentials and applications. Eur. J. Nucl. Med. Mol. Imaging 2019, 46, 501–518. [Google Scholar] [CrossRef] [PubMed]
- Patlak, C.S.; Blasberg, R.G. Graphical evaluation of blood-to-brain transfer constants from multiple-time uptake data. Generalizations. J. Cereb. Blood Flow Metab. 1985, 5, 584–590. [Google Scholar] [CrossRef] [PubMed]
- Huang, S.C.; Phelps, M.E.; Hoffman, E.J.; Sideris, K.; Selin, C.J.; Kuhl, D.E. Noninvasive determination of local cerebral metabolic rate of glucose in man. Am. J. Physiol. 1980, 238, E69–E82. [Google Scholar] [CrossRef] [PubMed]
- Ilan, E.; Sandström, M.; Velikyan, I.; Sundin, A.; Eriksson, B.; Lubberink, M. Parametric net influx rate images of 68Ga-DOTATOC and 68Ga-DOTATATE: Quantitative accuracy and improved image contrast. J. Nucl. Med. 2017, 58, 744–749. [Google Scholar] [CrossRef] [PubMed][Green Version]
- Keramida, G.; Anagnostopoulos, C.D.; Peters, A.M. The extent to which standardized uptake values reflect FDG phosphorylation in the liver and spleen as functions of time after injection of 18F-fluorodeoxyglucose. EJNMMI Res. 2017, 7, 13. [Google Scholar] [CrossRef] [PubMed]
- Dias, A.H.; Pedersen, M.F.; Danielsen, H.; Munk, O.L.; Gormsen, L.C. Clinical feasibility and impact of fully automated multiparametric PET imaging using direct Patlak reconstruction: Evaluation of 103 dynamic whole-body 18F-FDG PET/CT scans. Eur. J. Nucl. Med. Mol. Imaging 2021, 48, 837–850. [Google Scholar] [CrossRef] [PubMed]
- Fahrni, G.; Karakatsanis, N.A.; Di Domenicantonio, G.; Garibotto, V.; Zaidi, H. Does whole-body Patlak 18F-FDG PET imaging improve lesion detectability in clinical oncology? Eur. Radiol. 2019, 29, 4812–4821. [Google Scholar] [CrossRef] [PubMed]
- Gallagher, B.M.; Fowler, J.S.; Gutterson, N.I.; MacGregor, R.R.; Wan, C.N.; Wolf, A.P. Metabolic trapping as a principle of radiopharmaceutical design: Some factors responsible for the biodistribution of [ 18F] 2-deoxy-2- fluoro-D-glucose. J. Nucl. Med. 1978, 19, 1154–1161. [Google Scholar] [PubMed]
- Lu, M.; Lindenberg, L.; Mena, E.; Turkbey, B.; Seidel, J.; Ton, A.; McKinney, Y.; Eclarinal, P.; Merino, M.; Pinto, P.; et al. A Pilot Study of Dynamic 18F-DCFPyL PET/CT Imaging of Prostate Adenocarcinoma in High-Risk Primary Prostate Cancer Patients. Mol. Imaging Biol. 2022, 24, 444–452. [Google Scholar] [CrossRef] [PubMed]
- Tao, Y.; Peng, Z.; Krishnan, A.; Zhou, X.S. Robust learning-based parsing and annotation of medical radiographs. IEEE Trans. Med. Imaging 2011, 30, 338–350. [Google Scholar] [CrossRef] [PubMed]
- Velikyan, I.; Sundin, A.; Sörensen, J.; Lubberink, M.; Sandström, M.; Garske-Román, U.; Lundqvist, H.; Granberg, D.; Eriksson, B. Quantitative and qualitative intrapatient comparison of 68Ga-DOTATOC and 68Ga-DOTATATE: Net uptake rate for accurate quantification. J. Nucl. Med. 2014, 55, 204–210. [Google Scholar] [CrossRef] [PubMed]
- Szabo, Z.; Mena, E.; Rowe, S.P.; Plyku, D.; Nidal, R.; Eisenberger, M.A.; Antonarakis, E.S.; Fan, H.; Dannals, R.F.; Chen, Y.; et al. Initial Evaluation of [(18)F]DCFPyL for Prostate-Specific Membrane Antigen (PSMA)-Targeted PET Imaging of Prostate Cancer. Mol. Imaging Biol. 2015, 17, 565–574. [Google Scholar] [CrossRef] [PubMed]
- Chirindel, A.; Alluri, K.C.; Tahari, A.K.; Chaudhry, M.; Wahl, R.L.; Lodge, M.A.; Subramaniam, R.M. Liver standardized uptake value corrected for lean body mass at FDG PET/CT: Effect of FDG uptake time. Clin. Nucl. Med. 2015, 40, e17–e22. [Google Scholar] [CrossRef] [PubMed]
- Ozaki, K.; Harada, K.; Terayama, N.; Kosaka, N.; Kimura, H.; Gabata, T. FDG-PET/CT imaging findings of hepatic tumors and tumor-like lesions based on molecular background. Jpn. J. Radiol. 2020, 38, 697–718. [Google Scholar] [CrossRef] [PubMed]







| Characteristic | Value |
|---|---|
| Age (years)—mean ± standard deviation | 63.3 ± 8.3 |
| Sex—n (%) | |
| Male | 26 (60.5) |
| Female | 17 (39.5) |
| Non-binary | 0 (0.0) |
| Cancer type—n (%) | |
| Head/neck SCC | 1 (2.3) |
| Thyroid | 2 (4.7) |
| Esophageal | 1 (2.3) |
| Lung | 7 (16.2) |
| Breast | 2 (4.7) |
| Melanoma | 3 (7.0) |
| Gastric | 1 (2.3) |
| Pancreas | 1 (2.3) |
| Colorectal | 4 (9.3) |
| Lymphoma | 3 (7.0) |
| Neuroendocrine | 9 (21.0) |
| Cutaneous SCC | 1 (2.3) |
| Ovarian | 1 (2.3) |
| Cervical | 2 (4.7) |
| Fallopian | 1 (2.3) |
| Prostate | 2 (4.7) |
| Bladder | 1 (2.3) |
| Leiomyosarcoma | 1 (2.3) |
| Indication for PET—n (%) | |
| Diagnosis of suspected malignancy | 2 (4.7) |
| Initial staging of confirmed malignancy | 2 (4.7) |
| Restaging during/after treatment | 29 (67.4) |
| Detection of a suspected recurrence | 10 (23.2) |
| Surveillance | 0 (0.0) |
| Tracer—n (%) | |
| [18F]FDG | 33 (76.7) |
| [68Ga]Ga-DOTATATE | 6 (14.0) |
| [64Cu]Cu-DOTATATE | 2 (4.7) |
| [18F]DCFPyL | 2 (4.7) |
| Number of lesions analyzed per participant—n (%) | |
| 1 lesion | 8 (18.6) |
| 2 lesions | 13 (30.2) |
| 3 lesions | 9 (21.0) |
| 4 lesions | 7 (16.2) |
| 5 lesions | 6 (14.0) |
| Variable 1 (V1) | V1 Median (Q1, Q3) | Variable 2 (V2) | V2 Median (Q1, Q3) | p Value (V1 vs. V2) |
|---|---|---|---|---|
| PS-early-max TBR | PS-late-max TBR | |||
| All tracers | 3.87 (2.79, 7.35) | All tracers | 3.57 (2.31, 5.24) | <0.001 |
| [18F]FDG only | 3.89 (2.83, 6.78) | [18F]FDG only | 4.05 (2.33, 5.17) | 0.005 |
| DOTATATE only | 3.87 (2.92, 8.95) | DOTATATE only | 3.52 (2.42, 7.93) | 0.25 |
| PS-early-peak TBR | PS-late-peak TBR | |||
| All tracers | 2.90 (2.02, 5.69) | All tracers | 2.80 (1.73, 4.43) | 0.03 |
| [18F]FDG only | 2.76 (1.89, 5.42) | [18F]FDG only | 2.86 (1.71, 4.29) | 0.06 |
| DOTATATE only | 3.09 (2.11, 6.87) | DOTATATE only | 2.65 (2.00, 6.72) | 0.16 |
| SUV-early-max TBR | SUV-late-max TBR | |||
| All tracers | 3.09 (2.10, 4.16) | All tracers | 5.29 (3.41, 7.45) | <0.001 |
| [18F]FDG only | 2.45 (1.74, 3.34) | [18F]FDG only | 4.79 (2.96, 6.79) | <0.001 |
| DOTATATE only | 3.87 (3.05, 10.87) | DOTATATE only | 5.37 (3.55, 12.71) | 0.002 |
| SUV-early-peak TBR | SUV-late-peak TBR | |||
| All tracers | 2.28 (1.61, 3.38) | All tracers | 3.10 (2.01, 4.48) | <0.001 |
| [18F]FDG only | 1.83 (1.43, 2.4) | [18F]FDG only | 3.26 (1.81, 4.4) | <0.001 |
| DOTATATE only | 2.94 (2.20, 7.4) | DOTATATE only | 2.95 (2.18, 7.50) | 0.20 |
| PS-early-max TBR | SUV-early-max TBR | |||
| All tracers | 3.87 (2.79, 7.35) | All tracers | 3.09 (2.1, 4.16) | 0.006 |
| [18F]FDG only | 3.89 (2.83, 6.78) | [18F]FDG only | 2.45 (1.74, 3.34) | <0.001 |
| DOTATATE only | 3.87 (2.92, 8.95) | DOTATATE only | 3.87 (3.05, 10.87) | 0.25 |
| PS-early-peak TBR | SUV-early-peak TBR | |||
| All tracers | 2.90 (2.02, 5.69) | All tracers | 2.28 (1.61, 3.38) | 0.003 |
| [18F]FDG only | 2.76 (1.89, 5.42) | [18F]FDG only | 1.83 (1.43, 2.4) | 0.003 |
| DOTATATE only | 3.09 (2.11, 6.87) | DOTATATE only | 2.94 (2.20, 7.40) | 0.56 |
| PS-late-max TBR | SUV-late-max TBR | |||
| All tracers | 3.57 (2.31, 5.24) | All tracers | 5.29 (3.41, 7.45) | <0.001 |
| [18F]FDG only | 4.05 (2.33, 5.17) | [18F]FDG only | 4.79 (2.96, 6.79) | <0.001 |
| DOTATATE only | 3.52 (2.42, 7.93) | DOTATATE only | 5.37 (3.55, 12.71) | <0.001 |
| PS-late-peak TBR | SUV-late-peak TBR | |||
| All tracers | 2.80 (1.73, 4.43) | All tracers | 3.10 (2.01, 4.48) | <0.001 |
| [18F]FDG only | 2.86 (1.71, 4.29) | [18F]FDG only | 3.26 (1.81, 4.4) | 0.01 |
| DOTATATE only | 2.65 (2.00, 6.72) | DOTATATE only | 2.95 (2.18, 7.50) | <0.001 |
Disclaimer/Publisher’s Note: The statements, opinions and data contained in all publications are solely those of the individual author(s) and contributor(s) and not of MDPI and/or the editor(s). MDPI and/or the editor(s) disclaim responsibility for any injury to people or property resulting from any ideas, methods, instructions or products referred to in the content. |
© 2024 by the authors. Licensee MDPI, Basel, Switzerland. This article is an open access article distributed under the terms and conditions of the Creative Commons Attribution (CC BY) license (https://creativecommons.org/licenses/by/4.0/).
Share and Cite
Ince, S.; Laforest, R.; Itani, M.; Prasad, V.; Ashrafinia, S.; Smith, A.M.; Wahl, R.L.; Fraum, T.J. Patlak Slope versus Standardized Uptake Value Image Quality in an Oncologic PET/CT Population: A Prospective Cross-Sectional Study. Diagnostics 2024, 14, 883. https://doi.org/10.3390/diagnostics14090883
Ince S, Laforest R, Itani M, Prasad V, Ashrafinia S, Smith AM, Wahl RL, Fraum TJ. Patlak Slope versus Standardized Uptake Value Image Quality in an Oncologic PET/CT Population: A Prospective Cross-Sectional Study. Diagnostics. 2024; 14(9):883. https://doi.org/10.3390/diagnostics14090883
Chicago/Turabian StyleInce, Semra, Richard Laforest, Malak Itani, Vikas Prasad, Saeed Ashrafinia, Anne M. Smith, Richard L. Wahl, and Tyler J. Fraum. 2024. "Patlak Slope versus Standardized Uptake Value Image Quality in an Oncologic PET/CT Population: A Prospective Cross-Sectional Study" Diagnostics 14, no. 9: 883. https://doi.org/10.3390/diagnostics14090883
APA StyleInce, S., Laforest, R., Itani, M., Prasad, V., Ashrafinia, S., Smith, A. M., Wahl, R. L., & Fraum, T. J. (2024). Patlak Slope versus Standardized Uptake Value Image Quality in an Oncologic PET/CT Population: A Prospective Cross-Sectional Study. Diagnostics, 14(9), 883. https://doi.org/10.3390/diagnostics14090883

