Comparison of Functional Outcomes after Anterior Cruciate Ligament Reconstruction with Meniscal Repair for Unstable versus Stable Meniscal Tears
Abstract
1. Introduction
2. Materials and Methods
2.1. Study Design and Patient Enrollment
2.2. Rehabilitation Protocol
2.2.1. Rehabilitation for Unstable Meniscal Tears
2.2.2. Rehabilitation for Stable Meniscal Tears
2.3. Outcome Measures
2.3.1. Knee Muscle Strength
2.3.2. Proprioception
2.3.3. Self-Reported Outcomes
2.4. Statistical Analysis
3. Results
3.1. Demographic Data
3.2. Comparison of Functional Outcomes between the Two Groups
3.3. Correlation and Predictor Factors
4. Discussion
Clinical Implication
5. Conclusions
Supplementary Materials
Author Contributions
Funding
Institutional Review Board Statement
Informed Consent Statement
Data Availability Statement
Conflicts of Interest
References
- Arumugam, A.; Björklund, M.; Mikko, S.; Häger, C.K. Effects of neuromuscular training on knee proprioception in individuals with anterior cruciate ligament injury: A systematic review and GRADE evidence synthesis. BMJ Open 2021, 11, e049226. [Google Scholar] [CrossRef] [PubMed]
- Kim, H.J.; Lee, J.H.; Lee, D.H. Proprioception in Patients with Anterior Cruciate Ligament Tears: A Meta-Analysis Comparing Injured and Uninjured Limbs. Am. J. Sports Med. 2017, 45, 2916–2922. [Google Scholar] [CrossRef] [PubMed]
- van der Esch, M.; Knoop, J.; Hunter, D.J.; Klein, J.P.; van der Leeden, M.; Knol, D.L.; Reiding, D.; Voorneman, R.E.; Gerritsen, M.; Roorda, L.D.; et al. The association between reduced knee joint proprioception and medial meniscal abnormalities using MRI in knee osteoarthritis: Results from the Amsterdam osteoarthritis cohort. Osteoarthr. Cartil. 2013, 21, 676–681. [Google Scholar] [CrossRef] [PubMed][Green Version]
- Casp, A.J.; Bodkin, S.G.; Gwathmey, F.W.; Werner, B.C.; Miller, M.D.; Diduch, D.R.; Brockmeier, S.F.; Hart, J.M. Effect of Meniscal Treatment on Functional Outcomes 6 Months after Anterior Cruciate Ligament Reconstruction. Orthop. J. Sports Med. 2021, 9, 23259671211031281. [Google Scholar] [CrossRef]
- Lentz, T.A.; Zeppieri, G., Jr.; George, S.Z.; Tillman, S.M.; Moser, M.W.; Farmer, K.W.; Chmielewski, T.L. Comparison of physical impairment, functional, and psychosocial measures based on fear of reinjury/lack of confidence and return-to-sport status after ACL reconstruction. Am. J. Sports Med. 2015, 43, 345–353. [Google Scholar] [CrossRef] [PubMed]
- Lentz, T.A.; Zeppieri, G., Jr.; Tillman, S.M.; Indelicato, P.A.; Moser, M.W.; George, S.Z.; Chmielewski, T.L. Return to preinjury sports participation following anterior cruciate ligament reconstruction: Contributions of demographic, knee impairment, and self-report measures. J. Orthop. Sports Phys. Ther. 2012, 42, 893–901. [Google Scholar] [CrossRef]
- Jang, K.M.; Lim, H.C.; Jung, W.Y.; Moon, S.W.; Wang, J.H. Efficacy and Safety of Human Umbilical Cord Blood-Derived Mesenchymal Stem Cells in Anterior Cruciate Ligament Reconstruction of a Rabbit Model: New Strategy to Enhance Tendon Graft Healing. Arthroscopy 2015, 31, 1530–1539. [Google Scholar] [CrossRef] [PubMed]
- Thomas, A.C.; Wojtys, E.M.; Brandon, C.; Palmieri-Smith, R.M. Muscle atrophy contributes to quadriceps weakness after anterior cruciate ligament reconstruction. J. Sci. Med. Sport 2016, 19, 7–11. [Google Scholar] [CrossRef] [PubMed]
- Nwachukwu, B.U.; Voleti, P.B.; Berkanish, P.; Chang, B.; Cohn, M.R.; Williams, R.J., 3rd; Allen, A.A. Return to Play and Patient Satisfaction after ACL Reconstruction: Study with Minimum 2-Year Follow-Up. J. Bone Joint Surg. Am. 2017, 99, 720–725. [Google Scholar] [CrossRef]
- Kotsifaki, R.; Korakakis, V.; King, E.; Barbosa, O.; Maree, D.; Pantouveris, M.; Bjerregaard, A.; Luomajoki, J.; Wilhelmsen, J.; Whiteley, R. Aspetar clinical practice guideline on rehabilitation after anterior cruciate ligament reconstruction. Br. J. Sports Med. 2023, 57, 500–514. [Google Scholar] [CrossRef] [PubMed]
- Della Villa, F.; Andriolo, L.; Ricci, M.; Filardo, G.; Gamberini, J.; Caminati, D.; Della Villa, S.; Zaffagnini, S. Compliance in post-operative rehabilitation is a key factor for return to sport after revision anterior cruciate ligament reconstruction. Knee Surg. Sports Traumatol. Arthrosc. 2020, 28, 463–469. [Google Scholar] [CrossRef] [PubMed]
- Fox, A.J.; Bedi, A.; Rodeo, S.A. The basic science of human knee menisci: Structure, composition, and function. Sports Health 2012, 4, 340–351. [Google Scholar] [CrossRef] [PubMed]
- Kopf, S.; Beaufils, P.; Hirschmann, M.T.; Rotigliano, N.; Ollivier, M.; Pereira, H.; Verdonk, R.; Darabos, N.; Ntagiopoulos, P.; Dejour, D.; et al. Management of traumatic meniscus tears: The 2019 ESSKA meniscus consensus. Knee Surg. Sports Traumatol. Arthrosc. 2020, 28, 1177–1194. [Google Scholar] [CrossRef] [PubMed]
- Kvist, J.; Kartus, J.; Karlsson, J.; Forssblad, M. Results from the Swedish national anterior cruciate ligament register. Arthroscopy 2014, 30, 803–810. [Google Scholar] [CrossRef] [PubMed]
- Calanna, F.; Duthon, V.; Menetrey, J. Rehabilitation and return to sports after isolated meniscal repairs: A new evidence-based protocol. J. Exp. Orthop. 2022, 9, 80. [Google Scholar] [CrossRef] [PubMed]
- Hanna, T.; Smith, N.P.; Sebastianelli, W.J. Treatment, Return to Play, and Performance Following Meniscus Surgery. Curr. Rev. Musculoskelet. Med. 2022, 15, 157–169. [Google Scholar] [CrossRef] [PubMed]
- Carder, S.L.; Messamore, W.G.; Scheffer, D.R.; Giusti, N.E.; Schroeppel, J.P.; Mullen, S.; Vopat, B.G. Publicly Available Rehabilitation Protocols Designated for Meniscal Repairs Are Highly Variable. Arthrosc. Sports Med. Rehabil. 2021, 3, e411–e419. [Google Scholar] [CrossRef] [PubMed]
- Mueller, B.T.; Moulton, S.G.; O’Brien, L.; LaPrade, R.F. Rehabilitation Following Meniscal Root Repair: A Clinical Commentary. J. Orthop. Sports Phys. Ther. 2016, 46, 104–113. [Google Scholar] [CrossRef] [PubMed]
- Koch, M.; Memmel, C.; Zeman, F.; Pfeifer, C.G.; Zellner, J.; Angele, P.; Weber-Spickschen, S.; Alt, V.; Krutsch, W. Early Functional Rehabilitation after Meniscus Surgery: Are Currently Used Orthopedic Rehabilitation Standards Up to Date? Rehabil. Res. Pract. 2020, 2020, 3989535. [Google Scholar] [CrossRef] [PubMed]
- Suh, D.K.; Lee, J.H.; Rhim, H.C.; Cho, I.Y.; Han, S.B.; Jang, K.M. Comparison of muscle strength and neuromuscular control up to 1 year after anterior cruciate ligament reconstruction between patients with dominant leg and non-dominant leg injuries. Knee 2021, 29, 15–25. [Google Scholar] [CrossRef] [PubMed]
- Lee, J.H.; Han, S.B.; Park, J.H.; Choi, J.H.; Suh, D.K.; Jang, K.M. Impaired neuromuscular control up to postoperative 1 year in operated and nonoperated knees after anterior cruciate ligament reconstruction. Medicine 2019, 98, e15124. [Google Scholar] [CrossRef] [PubMed]
- Tegner, Y.; Lysholm, J. Rating systems in the evaluation of knee ligament injuries. Clin. Orthop. Relat. Res. 1985, 198, 43–49. [Google Scholar] [CrossRef]
- Reijman, M.; Eggerding, V.; van Es, E.; van Arkel, E.; van den Brand, I.; van Linge, J.; Zijl, J.; Waarsing, E.; Bierma-Zeinstra, S.; Meuffels, D. Early surgical reconstruction versus rehabilitation with elective delayed reconstruction for patients with anterior cruciate ligament rupture: COMPARE randomised controlled trial. BMJ 2021, 372, n375. [Google Scholar] [CrossRef] [PubMed]
- Cox, C.L.; Huston, L.J.; Dunn, W.R.; Reinke, E.K.; Nwosu, S.K.; Parker, R.D.; Wright, R.W.; Kaeding, C.C.; Marx, R.G.; Amendola, A.; et al. Are articular cartilage lesions and meniscus tears predictive of IKDC, KOOS, and Marx activity level outcomes after anterior cruciate ligament reconstruction? A 6-year multicenter cohort study. Am. J. Sports Med. 2014, 42, 1058–1067. [Google Scholar] [CrossRef] [PubMed]
- Westermann, R.W.; Wright, R.W.; Spindler, K.P.; Huston, L.J.; Wolf, B.R. Meniscal repair with concurrent anterior cruciate ligament reconstruction: Operative success and patient outcomes at 6-year follow-up. Am. J. Sports Med. 2014, 42, 2184–2192. [Google Scholar] [CrossRef]
- Sarraj, M.; Coughlin, R.P.; Solow, M.; Ekhtiari, S.; Simunovic, N.; Krych, A.J.; MacDonald, P.; Ayeni, O.R. Anterior cruciate ligament reconstruction with concomitant meniscal surgery: A systematic review and meta-analysis of outcomes. Knee Surg. Sports Traumatol. Arthrosc. 2019, 27, 3441–3452. [Google Scholar] [CrossRef] [PubMed]
- Park, J.H.; Jeong, W.K.; Lee, J.H.; Cho, J.J.; Lee, D.H. Postural stability in patients with anterior cruciate ligament tears with and without medial meniscus tears. Knee Surg. Sports Traumatol. Arthrosc. 2015, 23, 240–245. [Google Scholar] [CrossRef] [PubMed]
- Levine, T.R.; Hullett, C.R. Eta squared, partial eta squared, and misreporting of effect size in communication research. Hum. Commun. Res. 2002; 28, 612–625. [Google Scholar]
- MacIntyre, D.L.; Eng, J.J.; Allen, T.J. Recovery of lower limb function following 6 weeks of non-weight bearing. Acta Astronaut. 2005, 56, 792–800. [Google Scholar] [CrossRef] [PubMed]
- Forelli, F.; Barbar, W.; Kersante, G.; Vandebrouck, A.; Duffiet, P.; Ratte, L.; Hewett, T.E.; Rambaud, A.J.M. Evaluation of Muscle Strength and Graft Laxity with Early Open Kinetic Chain Exercise after ACL Reconstruction: A Cohort Study. Orthop. J. Sports Med. 2023, 11, 23259671231177594. [Google Scholar] [CrossRef] [PubMed]
- Morrissey, M.C.; Hudson, Z.L.; Drechsler, W.I.; Coutts, F.J.; Knight, P.R.; King, J.B. Effects of open versus closed kinetic chain training on knee laxity in the early period after anterior cruciate ligament reconstruction. Knee Surg. Sports Traumatol. Arthrosc. 2000, 8, 343–348. [Google Scholar] [CrossRef] [PubMed]
- Herrington, L.; Al-Sherhi, A. A controlled trial of weight-bearing versus non-weight-bearing exercises for patellofemoral pain. J. Orthop. Sports Phys. Ther. 2007, 37, 155–160. [Google Scholar] [CrossRef] [PubMed]
- Lee, J.H.; Lee, D.H.; Park, J.H.; Suh, D.W.; Kim, E.; Jang, K.M. Poorer dynamic postural stability in patients with anterior cruciate ligament rupture combined with lateral meniscus tear than in those with medial meniscus tear. Knee Surg. Relat. Res. 2020, 32, 8. [Google Scholar] [CrossRef] [PubMed]
- Reider, B.; Arcand, M.A.; Diehl, L.H.; Mroczek, K.; Abulencia, A.; Stroud, C.C.; Palm, M.; Gilbertson, J.; Staszak, P. Proprioception of the knee before and after anterior cruciate ligament reconstruction. Arthroscopy 2003, 19, 2–12. [Google Scholar] [CrossRef] [PubMed]
- O’Connor, B.L.; McConnaughey, J.S. The structure and innervation of cat knee menisci, and their relation to a “sensory hypothesis” of meniscal function. Am. J. Anat. 1978, 153, 431–442. [Google Scholar] [CrossRef] [PubMed]
- O’Connor, B.L. The mechanoreceptor innervation of the posterior attachments of the lateral meniscus of the dog knee joint. J. Anat. 1984, 138 Pt 1, 15–26. [Google Scholar] [PubMed]
- Valeriani, M.; Restuccia, D.; Di Lazzaro, V.; Franceschi, F.; Fabbriciani, C.; Tonali, P. Central nervous system modifications in patients with lesion of the anterior cruciate ligament of the knee. Brain 1996, 119 Pt 5, 1751–1762. [Google Scholar] [CrossRef] [PubMed]
- Liang, H.W.; Chi, S.Y.; Tai, T.L.; Li, Y.H.; Hwang, Y.H. Impact of age on the postural stability measured by a virtual reality tracker-based posturography and a pressure platform system. BMC Geriatr. 2022, 22, 506. [Google Scholar] [CrossRef] [PubMed]
- Arockiaraj, J.; Korula, R.J.; Oommen, A.T.; Devasahayam, S.; Wankhar, S.; Velkumar, S.; Poonnoose, P.M. Proprioceptive changes in the contralateral knee joint following anterior cruciate injury. Bone Joint J. 2013, 95, 188–191. [Google Scholar] [CrossRef] [PubMed]
- Lee, J.H.; Heo, J.W.; Lee, D.H. Comparative postural stability in patients with lateral meniscus versus medial meniscus tears. Knee 2018, 25, 256–261. [Google Scholar] [CrossRef] [PubMed]
- Cristiani, R.; Parling, A.; Forssblad, M.; Edman, G.; Engström, B.; Stålman, A. Meniscus Repair Does Not Result in an Inferior Short-term Outcome Compared with Meniscus Resection: An Analysis of 5378 Patients with Primary Anterior Cruciate Ligament Reconstruction. Arthroscopy 2020, 36, 1145–1153. [Google Scholar] [CrossRef] [PubMed]
- Coronado, R.A.; Bley, J.A.; Huston, L.J.; Pennings, J.S.; Master, H.; Reinke, E.K.; Bird, M.L.; Scaramuzza, E.A.; Haug, C.M.; Mathis, S.L.; et al. Composite psychosocial risk based on the fear avoidance model in patients undergoing anterior cruciate ligament reconstruction: Cluster-based analysis. Phys. Ther. Sport 2021, 50, 217–225. [Google Scholar] [CrossRef] [PubMed]
- Harput, G.; Guney-Deniz, H.; Nyland, J.; Kocabey, Y. Postoperative rehabilitation and outcomes following arthroscopic isolated meniscus repairs: A systematic review. Phys. Ther. Sport 2020, 45, 76–85. [Google Scholar] [CrossRef] [PubMed]


| Unstable Meniscal Tear (n = 41) | Stable Meniscal Tear (n = 35) | p-Value | |
|---|---|---|---|
| Sex (male/female) | 28/13 | 23/12 | 0.577 |
| Age (years) a | 33.2 ± 11.7 | 35.5 ± 10.5 | 0.420 |
| Height (cm) a | 171.4 ± 7.4 | 171.6 ± 7.9 | 0.860 |
| Weight (kg) a | 73.6 ± 12.6 | 74.7 ± 12.9 | 0.538 |
| Body mass index (kg/m2) a | 24.9 ± 3.7 | 25.4 ± 3.8 | 0.546 |
| Site of meniscal tear (MM/LM) | 13/27 | 16/19 | 0.407 |
| Injured side (right/left) | 26/15 | 22/13 | 0.921 |
| Dominant knee (right/left) | 26/15 | 20/15 | 0.715 |
| Sports and activity, n (Low:High) a | 10/21 | 15/18 | 0.126 |
| Unstable Meniscal Tear (n = 23) | Stable Meniscal Tear (n = 35) | ||||||
|---|---|---|---|---|---|---|---|
| Variable | Time | M ± SD | M ± SD | Source | F | P1(η2) | P2 |
| Quadriceps strength (operated knees) | Pre Post 6M Post 12M | 112.3 ± 39.9 154.1 ± 46.1 184.9 ± 52.7 | 127.4 ± 63.6 149.0 ± 58.0 185.5 ± 63.0 | Group Time Group * Time | 0.095 88.268 2.261 | 0.759 (0.001) | |
| <0.001 (0.544) | - | ||||||
| 0.113 (0.030) | |||||||
| Quadriceps strength (non-operated knees) | Pre Post 6M Post 12M | 204.9 ± 61.9 224.7 ± 57.7 225.6 ± 60.7 | 189.8 ± 57.8 224.3 ± 42.3 236.4 ± 54.8 | Group Time Group * Time | 0.019 19.913 2.626 | 0.891 (0.001) | |
| <0.001 (0.212) | - | ||||||
| 0.082 (0.034) | |||||||
| Hamstring strength (operated knees) | Pre Post 6M Post 12M | 62.2 ± 29.5 89.3 ± 30.7 101.3 ± 28.9 | 61.6 ± 28.3 87.6 ± 28.4 106.9 ± 35.9 | Group Time Group * Time | 0.036 82.840 0.717 | 0.850 (0.001) | |
| <0.001 (0.528) | - | ||||||
| 0.490 (0.010) | |||||||
| Hamstring strength (non-operated knees) | Pre Post 6M Post 12M | 91.9 ± 32.9 108.4 ± 31.6 112.2 ± 33.1 | 94.2 ± 27.4 109.3 ± 29.0 116.6 ± 30.1 | Group Time Group * Time | 0.153 31.643 0.200 | 0.697 (0.002) | |
| <0.001 (0.300) | - | ||||||
| 0.798 (0.003) |
| Unstable Meniscal Tear (n = 23) | Stable Meniscal Tear (n = 35) | ||||||
|---|---|---|---|---|---|---|---|
| Variable | Time | M ± SD | M ± SD | Source | F | P1(η2) | P2 |
| OSI (operated knees) | Pre Post 6M Post 12M | 2.3 ± 1.2 2.0 ± 1.2 1.7 ± 0.8 | 2.0 ± 0.8 1.6 ± 0.8 1.5 ± 0.7 | Group Time Group * Time | 4.305 9.143 0.583 | 0.061 (0.055) | |
| <0.001 (0.110) | - | ||||||
| 0.552 (0.008) | |||||||
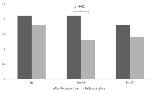
| OSI (non-operated knees) | Pre Post 6M Post 12 | 2.1 ± 1.3 2.1 ± 0.9 1.8 ± 0.9 | 1.8 ± 0.7 1.3 ± 0.4 1.4 ± 0.6 | Group Time Group * Time | 8.912 8.140 5.516 | 0.004 (0.107) | I = 0.131 II < 0.001 III = 0.075 |
| 0.001 (0.099) | |||||||
| 0.007 (0.069) | |||||||
| Lysholm score | Pre Post 6M Post 12M | 54.8 ± 17.5 75.4 ± 14.0 82.4 ± 9.5 | 55.9 ± 19.0 71.3 ± 17.4 85.8 ± 12.7 | Group Time Group * Time | 0.581 103.441 1.166 | 0.448 (0.008) | |
| <0.001 (0.583) | - | ||||||
| 0.313 (0.016) | |||||||
| IKDC score | Pre Post 6M Post 12M | 52.6 ± 13.5 65.1 ± 10.4 73.1 ± 13.3 | 50.2 ± 12.2 66.3 ± 11.9 73.7 ± 12.9 | Group Time Group * Time | 0.007 81.760 0.605 | 0.931 (0.001) | |
| <0.001 (0.525) | - | ||||||
| 0.523 (0.008) |
| Dependent Variable | Independent Variables | Unstandardized Coefficients | Standardized Coefficients | ||
|---|---|---|---|---|---|
| B | SE(B) | β | p-Value | ||
| Postoperative OSI at 6 months (non-operated knees) | Age | −0.016 | 0.007 | −0.206 | 0.027 * |
| Preoperative OSI (operated knees) | 0.260 | 0.089 | 0.313 | 0.005 * | |
| Postoperative OSI at 6 months (operated knees) | 0.300 | 0.091 | 0.358 | 0.002 * | |
Disclaimer/Publisher’s Note: The statements, opinions and data contained in all publications are solely those of the individual author(s) and contributor(s) and not of MDPI and/or the editor(s). MDPI and/or the editor(s) disclaim responsibility for any injury to people or property resulting from any ideas, methods, instructions or products referred to in the content. |
© 2024 by the authors. Licensee MDPI, Basel, Switzerland. This article is an open access article distributed under the terms and conditions of the Creative Commons Attribution (CC BY) license (https://creativecommons.org/licenses/by/4.0/).
Share and Cite
Lee, J.H.; Lee, G.B.; Chung, W.Y.; Wang, J.W.; Han, S.G.; Rhim, H.C.; Han, S.-B.; Jang, K.-M. Comparison of Functional Outcomes after Anterior Cruciate Ligament Reconstruction with Meniscal Repair for Unstable versus Stable Meniscal Tears. Diagnostics 2024, 14, 871. https://doi.org/10.3390/diagnostics14090871
Lee JH, Lee GB, Chung WY, Wang JW, Han SG, Rhim HC, Han S-B, Jang K-M. Comparison of Functional Outcomes after Anterior Cruciate Ligament Reconstruction with Meniscal Repair for Unstable versus Stable Meniscal Tears. Diagnostics. 2024; 14(9):871. https://doi.org/10.3390/diagnostics14090871
Chicago/Turabian StyleLee, Jin Hyuck, Gyu Bin Lee, Woo Yong Chung, Ji Won Wang, Sun Gyu Han, Hye Chang Rhim, Seung-Beom Han, and Ki-Mo Jang. 2024. "Comparison of Functional Outcomes after Anterior Cruciate Ligament Reconstruction with Meniscal Repair for Unstable versus Stable Meniscal Tears" Diagnostics 14, no. 9: 871. https://doi.org/10.3390/diagnostics14090871
APA StyleLee, J. H., Lee, G. B., Chung, W. Y., Wang, J. W., Han, S. G., Rhim, H. C., Han, S.-B., & Jang, K.-M. (2024). Comparison of Functional Outcomes after Anterior Cruciate Ligament Reconstruction with Meniscal Repair for Unstable versus Stable Meniscal Tears. Diagnostics, 14(9), 871. https://doi.org/10.3390/diagnostics14090871

