The Association between Anatomical Variants of Musculoskeletal Structures and Nerve Compressions of the Lower Limb: A Systematic Review and Meta-Analysis
Abstract
1. Introduction
2. Methods
2.1. Protocol and Registration
2.2. Eligibility Criteria
2.3. Electronic Search
2.4. Study Selection
2.5. Data Collection Process
2.6. Assessment of Methodological Quality of Included Studies
2.7. Statistical Methods
3. Results
3.1. Gluteal Region Variants
3.2. Thigh Region Variants
3.3. Leg Region Variants
3.4. Clinical Considerations
3.5. Characteristics of the Study Sample
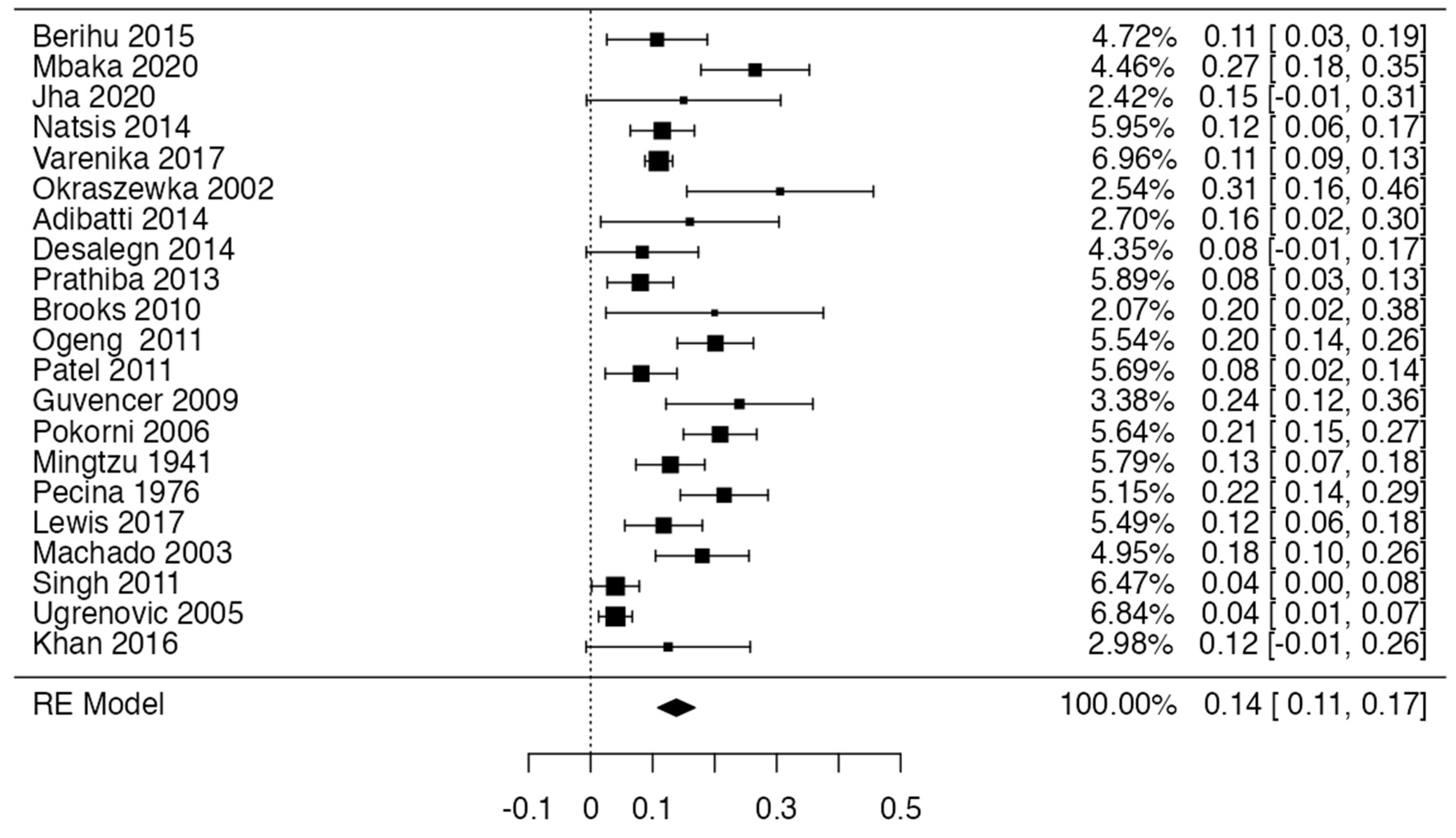
3.6. Prevalence of Anatomical Variants Associated with Nerve Compression and Risk of Bias
4. Discussion
Limitations
5. Conclusions
Investigation Perspectives
Supplementary Materials
Author Contributions
Funding
Institutional Review Board Statement
Informed Consent Statement
Data Availability Statement
Conflicts of Interest
Abbreviations
| CPN | common peroneal nerve |
| DPN | deep peroneal nerve |
| FN | femoral nerve |
| LFCN | lateral femoral cutaneous nerve |
| ON | obturator nerve |
| SN | sciatic nerve |
| SPN | superficial peroneal nerve |
| TN | tibial nerve |
References
- Seddon, H.J.; Medawar, P.B.; Smith, H. Rate of regeneration of peripheral nerves in man. J. Physiol. 1943, 102, 191–215. [Google Scholar] [CrossRef] [PubMed]
- Madani, S.; Doughty, C. Lower extremity entrapment neuropathies. Best Pract. Res. Clin. Rheumatol. 2020, 34, 101565. [Google Scholar] [CrossRef] [PubMed]
- Bowley, M.P.; Doughty, C.T. Entrapment Neuropathies of the Lower Extremity. Med. Clin. N. Am. 2019, 103, 371–382. [Google Scholar] [CrossRef]
- Craig, A. Entrapment neuropathies of the lower extremity. PM R 2013, 5 (Suppl. S5), S31–S40. [Google Scholar] [CrossRef]
- Meadows, J.R.; Finnoff, J.T. Lower extremity nerve entrapments in athletes. Curr. Sports Med. Rep. 2014, 13, 299–306. [Google Scholar] [CrossRef] [PubMed]
- Clarkson, R.D.; Rainy, H. Unusual Arrangement of the Psoas Muscle. J. Anat. Physiol. 1889, 23, 504–506. [Google Scholar] [PubMed]
- Spratt, J.D.; Logan, B.M.; Abrahams, P.H. Variant slips of psoas and iliacus muscles, with splitting of the femoral nerve. Clin. Anat. 1996, 9, 401–404. [Google Scholar] [CrossRef]
- Lee, J.Y.; Kim, D.H. Botulinum Toxin Injection for the Treatment of Compression of Lateral Plantar Nerve by Flexor Digitorum Accessorius Longus. Am. J. Phys. Med. Rehabil. 2023, 102, e117–e119. [Google Scholar] [CrossRef]
- VanCourt, R.B.; Siesel, K.J. Flexor digitorum accessorius longus muscle. J. Am. Podiatr. Med. Assoc. 1996, 86, 559–560. [Google Scholar] [CrossRef]
- Battaglia, P.J.; Scali, F.; Enix, D.E. Co-presentation of unilateral femoral and bilateral sciatic nerve variants in one cadaver: A case report with clinical implications. Chiropr. Man. Ther. 2012, 20, 34. [Google Scholar] [CrossRef]
- Doughty, C.T.; Bowley, M.P. Entrapment Neuropathies of the Upper Extremity. Med. Clin. North Am. 2019, 103, 357–370. [Google Scholar] [CrossRef]
- Page, M.J.; McKenzie, J.E.; Bossuyt, P.M.; Boutron, I.; Hoffmann, T.C.; Mulrow, C.D.; Shamseer, L.; Tetzlaff, J.M.; Akl, E.A.; Brennan, S.E.; et al. The PRISMA 2020 statement: An updated guideline for reporting systematic reviews. BMJ 2021, 372, n71. [Google Scholar] [CrossRef] [PubMed]
- Henry, B.M.; Tomaszewski, K.A.; Walocha, J.A. Methods of Evidence-Based Anatomy: A guide to conducting systematic reviews and meta-analysis of anatomical studies. Ann. Anat. 2016, 205, 16–21. [Google Scholar] [CrossRef]
- Jordan, Z.; Lockwood, C.; Munn, Z.; Aromataris, E. Redeveloping the JBI Model of Evidence Based Healthcare. Int. J. Evid. Based Healthc. 2018, 16, 227–241. [Google Scholar] [CrossRef]
- R Core Team. R: A Language and Environment for Statistical Computing. Computer Software, Version 4.0. Available online: https://cran.r-project.org (accessed on 1 June 2023).
- Berihu, B.A.; Debeb, Y.G. Anatomical variation in bifurcation and trifurcations of sciatic nerve and its clinical implications: In selected university in Ethiopia. BMC Res. Notes 2015, 8, 633. [Google Scholar] [CrossRef] [PubMed]
- Dupont, G.; Unno, F.; Iwanaga, J.; Oskouian, R.J.; Tubbs, R.S. A Variant of the Sciatic Nerve and its Clinical Implications. Cureus 2018, 10, e2874. [Google Scholar] [CrossRef] [PubMed]
- Huang, B.; Decater, T.; Iwanaga, J.; Dumont, A.S.; Tubbs, R.S. Reunification of a split sciatic nerve. Anat. Cell Biol. 2020, 53, 369–371. [Google Scholar] [CrossRef] [PubMed]
- Mbaka, G.; Osinubi, A. Morphometric study of sciatic nerve and its topographic anatomical variations in relation to landmark structures around pelvis: A Nigerian population study. Folia Morphol. 2022, 81, 44–51. [Google Scholar] [CrossRef] [PubMed]
- Jha, A.K.; Baral, P. Composite Anatomical Variations between the Sciatic Nerve and the Piriformis Muscle: A Nepalese Cadaveric Study. Case Rep. Neurol. Med. 2020, 2020, 7165818. [Google Scholar] [CrossRef]
- Natsis, K.; Totlis, T.; Konstantinidis, G.A.; Paraskevas, G.; Piagkou, M.; Koebke, J. Anatomical variations between the sciatic nerve and the piriformis muscle: A contribution to surgical anatomy in piriformis syndrome. Surg. Radiol. Anat. 2014, 36, 273–280. [Google Scholar] [CrossRef]
- Nayak, S.B.; George, B.M.; Mishra, S. A sciatic nerve with three roots and its perforation by the enlarged ischiadic artery. Anat. Sci. Int. 2014, 89, 118–121. [Google Scholar] [CrossRef] [PubMed]
- Varenika, V.; Lutz, A.M.; Beaulieu, C.F.; Bucknor, M.D. Detection and prevalence of variant sciatic nerve anatomy in relation to the piriformis muscle on MRI. Skelet. Radiol. 2017, 46, 751–757. [Google Scholar] [CrossRef] [PubMed]
- Okraszewska, E.; Migdalski, L.; Jedrzejewski, K.S.; Bolanowski, W. Sciatic nerve variations in some studies on the Polish population and its statistical significance. Folia Morphol. 2002, 61, 277–282. [Google Scholar]
- Adibatti, M.V.S. Study on variant anatomy of sciatic nerve. J. Clin. Diagn. Res. 2014, 8, AC07–AC09. [Google Scholar] [CrossRef] [PubMed]
- Desalegn, M.; Tesfay, A. Variations of Sciatic Nerve Its Exit in Relation to Piriformis Muscle in the Northern Ethiopia. Int. J. Pharma Sci. Res. (IJPSR) 2014, 5, 953–956. [Google Scholar]
- Prathiba, K.; Madan, S.; Kumar, U.; Nisha, D. A cadaveric study on anatomical variations of sciatic nerve in relation to pyriformis muscle in andhra pradesh region. Int. J. Curr. Res. Rev. 2013, 5, 56–60. [Google Scholar]
- Brooks, S.; Cruz, C.; Aparecida, S.; Reiko, M.; Halti, R.; Dadalti, J. Anatomical variations of the sciatic nerve in a group of Brazilian cadavers. Rev. Dor 2011, 12, 332–336. [Google Scholar]
- Ogeng’o, J.A.; El-Busaidy, H.; Mwika, P.M.; Khanbhai, M.M.; Munguti, J. Variant anatomy of sciatic nerve in a black Kenyan population. Folia Morphol. 2011, 70, 175–179. [Google Scholar]
- Butz, J.J.; Raman, D.V.; Viswanath, S. A unique case of bilateral sciatic nerve variation within the gluteal compartment and associated clinical ramifications. Australas. Med. J. 2015, 8, 24–27. [Google Scholar] [CrossRef]
- Patel, S.; Shah, M.; Vora, R.; Zalawadia, A.; Rathod, S.P. A variation in the high division of the sciatic nerve and its relation with piriformis muscle. Natl. J. Med. Res. 2011, 1, 27–30. Available online: https://njmr.in/index.php/file/article/view/871 (accessed on 12 January 2024).
- Güvençer, M.; Iyem, C.; Akyer, P.; Tetik, S.; Naderi, S. Variations in the high division of the sciatic nerve and relationship between the sciatic nerve and the piriformis. Turk. Neurosurg. 2009, 19, 139–144. [Google Scholar] [PubMed]
- Pokorný, D.; Jahoda, D.; Veigl, D.; Pinskerová, V.; Sosna, A. Topographic variations of the relationship of the sciatic nerve and the piriformis muscle and its relevance to palsy after total hip arthroplasty. Surg. Radiol. Anat. 2006, 28, 88–91. [Google Scholar] [CrossRef] [PubMed]
- Ming Tzu, P. The relation of the sciatic nerve to the piriformis muscle in the chinese. Am. J. Phys. Anthropol. 1941, 28, 375–380. [Google Scholar] [CrossRef]
- Pećina, M. Contribution to the etiological explanation of the piriformis syndrome. Acta Anat. 1979, 105, 181–187. [Google Scholar] [CrossRef] [PubMed]
- Machado, F.A.; Babinski, M.A.; Brasil, F.B.; Favorito, L.A.; Abidu-Figueiredo, M.; Costa, M.G. Variaciones anatómicas entre el nervio isquiático y el músculo piriforme durante el periodo fetal humano. Int. J. Morphol. 2003, 21, 29–35. [Google Scholar] [CrossRef]
- Son, B.C.; Lee, C. Piriformis Syndrome (Sciatic Nerve Entrapment) Associated with Type C Sciatic Nerve Variation: A Report of Two Cases and Literature Review. Korean J. Neurotrauma 2022, 18, 434–443. [Google Scholar] [CrossRef]
- Ugrenovic, S.; Jovanovic, I.; Krstic, V. The level of sciatic nerve division and its relations to the piriformis muscle. Vojnosanit. Pregl. 2005, 62, 45–49. [Google Scholar] [CrossRef]
- Larionov, A.; Yotovski, P.; Filgueira, L. Novel anatomical findings with implications on the etiology of the piriformis syndrome. Surg. Radiol. Anat. 2022, 44, 1397–1407. [Google Scholar] [CrossRef] [PubMed]
- Singh, A.; Sharma, R. Relationship between the sciatic nerve and piriformis muscle. Neurosci. Res. Lett. 2011, 2, 26–28. [Google Scholar]
- Khan, A.A.; Asari, M.A.; Pasha, M.A. The sciatic nerve in human cadavers—High division or low formation? Folia Morphol. 2016, 75, 306–310. [Google Scholar] [CrossRef]
- Kosukegawa, I.; Yoshimoto, M.; Isogai, S.; Nonaka, S.; Yamashita, T. Piriformis syndrome resulting from a rare anatomic variation. Spine 2006, 31, E664–E666. [Google Scholar] [CrossRef] [PubMed]
- Lewis, S.; Jurak, J.; Lee, C.; Lewis, R.; Gest, T. Anatomical variations of the sciatic nerve, in relation to the piriformis muscle. Transl. Res. Anat. 2016, 5, 15–19. [Google Scholar] [CrossRef]
- Carai, A.; Fenu, G.; Sechi, E.; Crotti, F.M.; Montella, A. Anatomical variability of the lateral femoral cutaneous nerve: Findings from a surgical series. Clin. Anat. 2009, 22, 365–370. [Google Scholar] [CrossRef] [PubMed]
- Dimitropoulos, G.; Schaepkens van Riempst, J.; Schertenleib, P. Anatomical variation of the lateral femoral cutaneous nerve: A case report and review of the literature. J. Plast. Reconstr. Aesthet. Surg. 2011, 64, 961–962. [Google Scholar] [CrossRef]
- Kokubo, R.; Kim, K.; Morimoto, D.; Isu, T.; Iwamoto, N.; Kitamura, T.; Morita, A. Anatomic Variation in Patient with Lateral Femoral Cutaneous Nerve Entrapment Neuropathy. World Neurosurg. 2018, 115, 274–276. [Google Scholar] [CrossRef] [PubMed]
- Erbil, K.M.; Sargon, F.M.; Sen, F.; Oztürk, H.; Taşcioğlu, B.; Yener, N.; Ozozan, V.O. Examination of the variations of lateral femoral cutaneous nerves: Report of two cases. Anat. Sci. Int. 2002, 77, 247–249. [Google Scholar] [CrossRef]
- Oh, S.I.; Kim, E.G.; Kim, S.J. An Unusual Case of Bilateral Meralgia Paresthetica Following Femoral Cannulations. Neurointervention 2017, 12, 122–124. [Google Scholar] [CrossRef][Green Version]
- De Ridder, V.A.; de Lange, S.; Popta, J.V. Anatomical variations of the lateral femoral cutaneous nerve and the consequences for surgery. J. Orthop. Trauma 1999, 13, 207–211. [Google Scholar] [CrossRef]
- Moritz, T.; Prosch, H.; Berzaczy, D.; Happak, W.; Lieba-Samal, D.; Bernathova, M.; Auff, E.; Bodner, G. Common anatomical variation in patients with idiopathic meralgia paresthetica: A high resolution ultrasound case-control study. Pain Physician 2013, 16, E287–E293. [Google Scholar] [CrossRef]
- Otoshi, K.; Itoh, Y.; Tsujino, A.; Kikuchi, S. Case report: Meralgia paresthetica in a baseball pitcher. Clin. Orthop. Relat. Res. 2008, 466, 2268–2270. [Google Scholar] [CrossRef][Green Version]
- Jelev, L.; Shivarov, V.; Surchev, L. Bilateral variations of the psoas major and the iliacus muscles and presence of an undescribed variant muscle--accessory iliopsoas muscle. Ann. Anat. 2005, 187, 281–286. [Google Scholar] [CrossRef]
- Wong, T.L.; Kikuta, S.; Iwanaga, J.; Tubbs, R.S. A multiply split femoral nerve and psoas quartus muscle. Anat. Cell Biol. 2019, 52, 208–210. [Google Scholar] [CrossRef]
- Vázquez, M.T.; Murillo, J.; Maranillo, E.; Parkin, I.G.; Sanudo, J. Femoral nerve entrapment: A new insight. Clin. Anat. 2007, 20, 175–179. [Google Scholar] [CrossRef]
- Tiraj, P.; Caleb, P.; Marina, M.; Shahana, M.; Mickle, R.; Nguyen, M.; Perez, A.; Fisher, C. Unilateral Variant Psoas Major with Split Femoral Nerve. J. Anat. Physio Stud. 2019, 12, 128–133. [Google Scholar]
- Arakawa, T.; Kondo, T.; Tsutsumi, M.; Watanabe, Y.; Terashima, T.; Miki, A. Multiple muscular variations including tenuissimus and tensor fasciae suralis muscles in the posterior thigh of a human case. Anat. Sci. Int. 2017, 92, 581–584. [Google Scholar] [CrossRef]
- Ashwini, L.S.; Somayaji, S.N.; Rao, M.; Marpalli, S. Preinguinal Splitting and Reunion of Femoral Nerve Entrapping the Fleshy Fibres of Iliacus Muscle - A Case Report. J. Clin. Diagn. Res. 2017, 11, AD01–AD02. [Google Scholar] [CrossRef]
- Damarey, B.; Demondion, X.; Boutry, N.; Kim, H.J.; Wavreille, G.; Cotten, A. Sonographic assessment of the lateral femoral cutaneous nerve. J. Clin. Ultrasound 2009, 37, 89–95. [Google Scholar] [CrossRef] [PubMed]
- Hryhorieva, P.V.; Khmara, T.V.; Palamar, A.O.; Sykyrytska, T.B.; Leka, M.Y. Anatomical variability of cutaneous nerves of anterior femoral region in human fetuses. Wiad. Lek. 2021, 74, 207–212. [Google Scholar] [CrossRef] [PubMed]
- Khalid, S.; Iwanaga, J.; Loukas, M.; Tubbs, R.S. Split Femoral Nerve Due to Psoas Tertius Muscle: A Review with Other Cases of Variant Muscles Traversing the Femoral Nerve. Cureus 2017, 9, e1555. [Google Scholar] [CrossRef]
- Kim, B.S.; Kim, S.H.; Cho, S.S.; Yoon, S.P. A rare muscular variation in the superficial region of the popliteal fossa. Surg. Radiol. Anat. 2014, 36, 721–723. [Google Scholar] [CrossRef]
- Park, J.A.; Lee, S.H.; Koh, K.S.; Song, W.C. Femoral nerve split with variant iliacus muscle: A potential source of femoral nerve entrapment. Surg. Radiol. Anat. 2020, 42, 1255–1257. [Google Scholar] [CrossRef]
- Park, J.H.; Yang, J.; Park, K.R.; Kim, T.W.; Kim, T.; Park, S.; Tsengel, B.; Cho, J. A Cadaveric Study of the Distal Biceps Femoris Muscle in relation to the Normal and Variant Course of the Common Peroneal Nerve: A Possible Cause of Common Peroneal Entrapment Neuropathy. BioMed Res. Int. 2020, 2020, 3093874. [Google Scholar] [CrossRef]
- Schmuter, G.; Hajtovic, S.; Guce, R.G.; Matthews, K. Rare Fusion of the Semitendinosus and the Long Head of the Biceps Femoris Muscles in a Human Cadaver. Cureus 2021, 13, e12474. [Google Scholar] [CrossRef] [PubMed]
- Reisenauer, C.; Kraemer, B. Obturator nerve entrapment after retropubic tension-free vaginal tape insertion. Arch. Gynecol. Obstet. 2023, 308, 305–306. [Google Scholar] [CrossRef] [PubMed]
- Prudhon, J.; Caillet, T.; Bellier, A.; Cavalié, G. Variations of the obturator nerve and implications in obturator nerve entrapment treatment: An anatomical study. Surg. Radiol. Anat. 2023, 45, 1227–1232. [Google Scholar] [CrossRef] [PubMed]
- Kalkan, Ü.; Daniilidis, A. Laparoscopic Diagnosis and Treatment of Obturator Nerve Entrapment Because of a Deep Infiltrating Endometriotic Nodule: A Case Report. J. Minim. Invasive Gynecol. 2019, 26, 766–769. [Google Scholar] [CrossRef] [PubMed]
- Langebrekke, A.; Qvigstad, E. Endometriosis entrapment of the obturator nerve after previous cervical cancer surgery. Fertil. Steril. 2009, 91, 622–623. [Google Scholar] [CrossRef] [PubMed]
- Athavale, S.A.; Geetha, G.N.; Swathi. Morphology of flexor digitorum accessorius muscle. Surg. Radiol. Anat. 2012, 34, 367–372. [Google Scholar] [CrossRef] [PubMed]
- Bowers, C.A.; Mendicino, R.W.; Catanzariti, A.R.; Kernick, E.T. The flexor digitorum accessorius longus—A cadaveric study. J. Foot Ankle Surg. 2009, 48, 111–115. [Google Scholar] [CrossRef]
- Canter, D.E.; Siesel, K.J. Flexor digitorum accessorius longus muscle: An etiology of tarsal tunnel syndrome? J. Foot Ankle Surg. 1997, 36, 226–229. [Google Scholar] [CrossRef]
- Cheung, Y.Y.; Rosenberg, Z.S.; Colon, E.; Jahss, M. MR imaging of flexor digitorum accessorius longus. Skelet. Radiol. 1999, 28, 130–137. [Google Scholar] [CrossRef] [PubMed]
- Deroy, A.R.; Clause, C.C.; Baskin, E.S.; Bauer, G.R. Recognition of the flexor digitorum accessorius longus. J. Am. Podiatr. Med. Assoc. 2002, 92, 463–466. [Google Scholar] [CrossRef] [PubMed]
- Dobbs, M.B.; Walton, T.; Gordon, J.E.; Schoenecker, P.L.; Gurnett, C.A. Flexor digitorum accessorius longus muscle is associated with familial idiopathic clubfoot. J. Pediatr. Orthop. 2005, 25, 357–359. [Google Scholar] [CrossRef] [PubMed]
- Duran-Stanton, A.M.; Bui-Mansfield, L.T. Magnetic resonance diagnosis of tarsal tunnel syndrome due to flexor digitorum accessorius longus and peroneocalcaneus internus muscles. J. Comput. Assist. Tomogr. 2010, 34, 270–272. [Google Scholar] [CrossRef] [PubMed]
- Hwang, S.H.; Hill, R.V. An unusual variation of the flexor digitorum accessorius longus muscle--its anatomy and clinical significance. Anat. Sci. Int. 2009, 84, 257–263. [Google Scholar] [CrossRef] [PubMed]
- Kubota, H.; Noguchi, Y.; Urabe, K.; Itokawa, T.; Nakashima, Y.; Iwamoto, Y. Flexor digitorum longus accessorius in the club foot of an infant with Nager syndrome. Arch. Orthop. Trauma Surg. 2001, 121, 95–96. [Google Scholar] [CrossRef]
- Nathan, H.; Gloobe, H.; Yosipovitch, Z. Flexor digitorum accessorius longus. Clin. Orthop. Relat. Res. 1975, 113, 158–161. [Google Scholar] [CrossRef]
- Ogut, T.; Ayhan, E. Hindfoot endoscopy for accessory flexor digitorum longus and flexor hallucis longus tenosynovitis. Foot Ankle Surg. 2011, 17, e7–e9. [Google Scholar] [CrossRef]
- Shaheen, S.; Mursal, H.; Rabih, M.; Johari, A. Flexor digitorum accessorius longus muscle in resistant clubfoot patients: Introduction of a new sign predicting its presence. J. Pediatr. Orthop. B 2015, 24, 143–146. [Google Scholar] [CrossRef]
- Wittmayer, B.C.; Freed, L. Diagnosis and surgical management of flexor digitorum accessorius longus-induced tarsal tunnel syndrome. J. Foot Ankle Surg. 2007, 46, 484–487. [Google Scholar] [CrossRef]
- Batista, J.P.; Del Vecchio, J.J.; Golanó, P.; Vega, J. Flexor Digitorum Accessorius Longus: Importance of Posterior Ankle Endoscopy. Case Rep. Orthop. 2015, 2015, 823107. [Google Scholar] [CrossRef] [PubMed][Green Version]
- Ettehadi, H.; Saragas, N.P.; Ferrao, P. A Rare Case of Flexor Digitorum Accessorius Longus Muscle Presenting as Tarsal Tunnel Syndrome. Arch. Bone Jt. Surg. 2022, 10, 112–116. [Google Scholar] [CrossRef] [PubMed]
- Holzmann, M.; Almudallal, N.; Rohlck, K.; Singh, R.; Lee, S.; Fredieu, J. Identification of a flexor digitorum accessorius longus muscle with unique distal attachments. Foot 2009, 19, 224–226. [Google Scholar] [CrossRef] [PubMed]
- Mi Sun, H.; Won, H.S.; Oh, C.S.; Chung, I.H.; Lee, W.C.; Yoon, Y.C. Classification system for flexor digitorum accessorius longus muscle variants within the leg: Clinical correlations. Clin. Anat. 2014, 27, 1111–1116. [Google Scholar] [CrossRef]
- Buschmann, W.R.; Cheung, Y.; Jahss, M.H. Magnetic resonance imaging of anomalous leg muscles: Accessory soleus, peroneus quartus and the flexor digitorum longus accessorius. Foot Ankle Int. 1991, 12, 109–116. [Google Scholar] [CrossRef]
- Rosson, G.D.; Dellon, A.L. Superficial peroneal nerve anatomic variability changes surgical technique. Clin. Orthop. Relat. Res. 2005, 438, 248–252. [Google Scholar] [CrossRef] [PubMed]
- Dellon, A.L.; Ebmer, J.; Swier, P. Anatomic variations related to decompression of the common peroneal nerve at the fibular head. Ann. Plast. Surg. 2002, 48, 30–34. [Google Scholar] [CrossRef] [PubMed]
- Park, J.H.; Park, K.R.; Yang, J.; Park, G.H.; Cho, J. Unusual variant of distal biceps femoris muscle associated with common peroneal entrapment neuropathy: A cadaveric case report. Medicine 2018, 97, e12274. [Google Scholar] [CrossRef] [PubMed]
- Park, J.H.; Kwon, H.W.; Kim, D.; Park, K.R.; Lee, M.; Choi, Y.J.; Cho, J. The Location of the Fibular Tunnel for Anatomically Accurate Reconstruction of the Lateral Ankle Ligament: A Cadaveric Study. Biomed Res Int. 2021, 2021, 5575524. [Google Scholar] [CrossRef]
- Cheatham, S.W.; Kolber, M.J.; Salamh, P.A. Meralgia paresthetica: A review of the literature. Int. J. Sports Phys. Ther. 2013, 8, 883–893. [Google Scholar]
- Martin, R.; Martin, H.D.; Kivlan, B.R. Nerve entrapment in the hip region: Current concepts review. Int. J. Sports Phys. Ther. 2017, 12, 1163–1173. [Google Scholar] [CrossRef] [PubMed]
- Tipton, J.S. Obturator neuropathy. Curr. Rev. Musculoskelet. Med. 2008, 1, 234–237. [Google Scholar] [CrossRef] [PubMed]
- Vasilev, S.A. Obturator nerve injury: A review of management options. Gynecol. Oncol. 1994, 53, 152–155. [Google Scholar] [CrossRef] [PubMed]
- Orellana-Donoso, M.; Valenzuela-Fuenzalida, J.J.; Gold-Semmler, M.; Garcia-Gorigoitia, G.; Shane-Tubbs, R.; Santana-Machuca, E. Neural entrapments associated with musculoskeletal anatomical variations of the upper limb: Literature review. Trans. Res. Anat. 2021, 22, 100094. [Google Scholar] [CrossRef]
- Thoma, A.; Levis, C. Compression neuropathies of the lower extremity. Clin. Plast. Surg. 2003, 30, 189–201, vi. [Google Scholar] [CrossRef]











| Author and Year | Type of Study | Incidence and Characteristics | Nerve Entrapment | Statistical Values and Characteristics | Geographic Region | Gender | Laterality |
|---|---|---|---|---|---|---|---|
| Carai et al. (2009) [44] | Case study, 148 | The course of the LFCN was evaluated in 148 patients operated on due to MP. A subfascial course was described in 131 cases and an epifascial one in 4 cases. In 115 cases, the nerve left the pelvis below the inguinal ligament; in 12 cases, it left through a cleft in the ligament; and in 6 cases, it exited through a bony canaliculus in the iliac bone. In 84 cases, the LFCN bifurcated normally, and in 51 cases, it presented early bifurcation. | Yes, LFCN | Not included | Italy | Not specified | 7 bilateral, 141 unilateral cases |
| Dimitropoulos et al. (2011) [45] | Case study, 1 | The patient manifested pain and paresthesia in the upper lateral area of the thigh due to MP. During surgery, an LFCN variation was reported: instead of crossing below the inguinal ligament, it crossed over the iliac crest. | Yes, LFCN | Not included | Switzerland | Female | Left |
| Kokubo et al. (2018) [46] | Case study, 1 | The patient presented with pain and paresthesia in the anterolateral region of the thigh. During surgery to decompress the LFCN, it was identified that the nerve penetrated the inguinal ligament together with a thick NF and then formed a curve and became trapped in connective tissue. | Yes, LFCN | Not included | Japan | Male | Right |
| Erbil et al. (2002) [47] | Cadaveric study, 28 | A variation of the LFCN was observed in two cases. In case 1, 2 LFCNs were present: a lateral nerve that ran under the inguinal ligament and a medial nerve that passed anterior to the iliacus muscle over the inguinal ligament. In case 2, there were 3 LFCNs that perforated the psoas major muscle; the superior and inferior nerves passed under the LI, and the middle nerve passed through the LI. | Not specified | Not included | Turkey | 22 males, 6 females | Not specified |
| Tomaszewski et al. (2016) [46] | Case study | A meta-analysis of 24 studies was performed to determine the prevalence of LFCN variations. Seven types of pelvic outlets were identified, with 5 branching patterns. It was found that the grouped mean distance from the exit point of the LFCN to the ASIS was 1.90 cm. | Not specified | The oddest pattern of exit is through the pelvis, over the IL, with a prevalence of 0.9%. The bifurcation inside the pelvis has a prevalence of 11.8%. | Poland | Not specified | Not specified |
| De Ruiter et al. (2021) [47] | Systematic review | The course of the LFCN was determined by ultrasound prior to MP correction surgeries. Five types of routes (A, B, C, D, and E) were established for the inguinal ligament leaving the pelvic cavity. | Yes, LFCN | Of 54 patients with idiopathic MP, 79% are type B, 9% type C, 5% type D, 7% type E and 0% type A. | The Netherlands | Not specified | Not specified |
| Chhabra et al. (2013) [48] | Two independent readers reviewed MR for the evaluation of MP. Signal intensity was measured at 3 points along the course of the LFCN: proximal, distal, and at the ASIS level. The reliability of the use of MRI for PM diagnoses was demonstrated. | Not specified | The specificity and sensitivity of both readers were >71% and >94 respectively. | USA | Not specified | Not specified | |
| Oh et al. (2017) [48] | Case report, 1 | A patient aged 64 presented with paresthesia on the lateral aspect of both thighs after a femoral cannulation procedure. The confirmation of MP was made by a sensory nerve conduction study. | Yes, LFCN (procedural obliteration) | Not included | Republic of Korea | Male | Bilateral |
| de Ridder et al. (1999) [49] | Cadaveric study, 200 | Variants of the LFCN course were studied in 200 cadavers. In addition, patients with LFCN complications after pelvic surgery were identified to determine the incidence and persistence of postoperative alterations. | Yes, LFCN (procedural obliteration) | 51 cadavers (25.5%) presented an abnormal course of LFCN. | The Netherlands | Not specified | Not specified |
| Moritz et al. (2013) [50] | Case study, 28 | The anatomical course and compression site of the LFCN were evaluated using high-definition ultrasound in 28 patients with idiopathic MP. | Yes, LFCN | In patients with MP, the mean distance between the LFCN and the ASIS was 0.52 cm; 1.27 cm less than in the control group | Austria | 20 males, 8 females | Not specified |
| Otoshi et al. (2008) [51] | Case report, 1 | The patient reported dysesthesia in the anterolateral thigh. The LFCN was compressed by the iliacus muscle against the inguinal ligament and sheathed at the tendinous origin of the sartorius. Neurolysis and partial dissection alleviated symptoms. | Yes, LFCN | Not included | Japan | Male | Left |
| Jelev et al. (2004) [52] | Cadaveric study, 100 | Anatomical dissection revealed bilateral variations of the psoas major and iliacus muscles combined with variations of the left and right femoral nerves. The left accessory iliopsoas was formed by the connection of two accessory muscles: the accessory psoas major and the accessory iliacus. | Not specified | Not included | Bulgaria | Female | Bilateral |
| Wong T a et al., 2019 [53] | Case study, 1 | A variant of the psoas muscle called psoas quartus generates a multiple division of the femoral nerve. The medial branch descends posterior to the muscle, the second and third branches surround it and converge lateral to it, and the lateral branch descends anteroinferior to it. | Not specified | Not included | USA | Female | Left |
| Vázquez et al., 2007 [54] | Cadaveric study, 121 | A cadaveric study with a sample size of 121 describes anatomical variations of the iliacus and psoas muscles that may be involved in the entrapment of the femoral nerve. The most prevalent variation was the piercing of the femoral nerve by a muscular sheet. | Not specified | p < 0.05 | England | 64 male, 57 female | Bilateral |
| Tiraj Parikh et al., 2019 [55] | Cadaveric study, 1 | A case of a variant of the psoas muscle called psoas tertius is reported. It divides the femoral nerve into an anterior branch and a posterior branch. Both surround the psoas tertius muscle and then converge on the lateral border of the psoas major muscle. 1/60 | Not specified | Not included | USA | Female | Left |
| Arakawa et al., 2017 [56] | Case study, 1 | In the posterior thigh, there are four extra muscles. They originate from the greater trochanter (Muscle I), the long head of the biceps femoris (Muscles II and III), and the adductor magnus (Muscle IV). They fuse in various ways, forming additional connections between the biceps femoris and surrounding structures. | Not specified | Not included | Japan | Male | Right |
| Ashwini et al., 2017 [57] | Case study, 1 | A femoral nerve is shown bifurcating after originating from the lumbar plexus. The superior division passes superficial to the iliacus muscle and the posterior division passes deep to the muscle. Both divisions converge just before crossing the inguinal ligament inferiorly. | Not specified | Not included | India | Male | Left |
| Damerey et al., 2008 [58] | Case study, 26 | Anatomical variations of the LFCN course could be seen where the nerve exits the pelvis. The LFCN gave the femoral branch of the genitofemoral nerve before exiting the pelvis. | Not specified | Not included | France | 5 unspecified, 13 males, and 8 females | Bilateral |
| Hryhorieva et al., 2021 [59] | Case study, 64 fetal lower limbs | Considering that the terminal branches of the adjacent cutaneous nerves of the femoral region intersect and overlap, innervation shunts are formed, due to which, in the case of possible damage to one of the nerves, the other will compensate to some extent for its insufficiency. Anastomoses were found between the cutaneous nerves in the form of loops of various shapes and sizes, namely, between the cutaneous-fascia branches of the femoral and ilioinguinal nerves and the femoral and obturator nerves. | Not specified | Not included | Ukraine | Not specified | Bilateral |
| Khalid et al., 2017 [60] | Case study, 1 | A variant of the psoas muscle called psoas tertius is presented, which divides the femoral nerve into a thick lateral branch and a thin medial branch, which surround the muscle and then converge into a single femoral nerve. | Not specified | Not included | USA | Female | Right |
| Kim et al., 2014 [61] | Case study, 1 | A muscular variant is located transversely in the superficial region of the popliteal fossa. It extends from the medial head of the gastrocnemius muscle to the tendon of the long head of the biceps femoris, covering the neurovascular structures. | Not specified | Not included | Republic of Korea | Male | Right |
| Park JA et al., 2020 [62] | Case study, 115 | The CPN typically decreased posteriorly to the SHBFM and then superficially to the LGCM. However, about 20% of the time, the BFM (especially the SHBFM) extended more distally and posteriorly. The CPN crossed a tunnel formed between the SHBFM and the LGCM. | Not specified | Not included | Republic of Korea | 68 male, 47 female | Bilateral |
| Park JH et al. (2020) [63] | Case study, 1 | An accessory belly of the iliacus muscle is presented that divides the femoral nerve into a thin branch that runs superficial to the accessory muscle and a thick branch that runs between the accessory muscle and the iliacus muscle. | Yes, femoral nerve | Not included | Republic of Korea | Male | Left |
| Schmuter G et al., 2021 [64] | Case study, 1 | A variant of the hamstring muscle consists of a fusion between the semitendinosus muscle and the long head of the biceps femoris muscle through a common belly that originates from the ischial tuberosity. A unilateral accessory muscle bundle is present that projects from the gluteus maximus muscle and fuses with the long head of the biceps femoris muscle. | Not specified | Not included | USA | Female | Right |
| Reisenauer and Kraemer, 2022 [65] | Case study, 1 | A 52-year-old woman presented with right hip and groin pain and muscle weakness in the thigh after surgery. Right obturator entrapment was demonstrated by electromyography. | Not specified | Not included | Germany | Female | Right |
| Proudhon et al., 2023 [66] | Cadaveric study, 9 | The endopelvic and exopelvic course of the obturator nerve and its relationship with the obturator canal and with the obturator, external obturator, and long, short, and greater adductor muscles were studied. | Not specified | In 44% of cases, the obturator nerve passes through the internal obturator muscle. In 11% of cases, it divides outside the obturator canal. In 22% of cases, the posterior branch passes through, and in 33% cases, the anterior branch attaches to the fascia. | France | 8 male, 1 female | Not specified |
| Kalkan and Daniilidis, 2018 [67] | Case report, 1 | A case of a deeply infiltrating endometriotic nodule that trapped the obturator nerve is reported. It manifested with chronic groin pain, which disappeared immediately after laparoscopic surgery. | Yes, obturator nerve | Not included | Turkey | Female | Right |
| Langebrekke and Qvigstad [68] | Case report, 1 | Following pelvic lymphadenectomy and trachelectomy for cervical cancer, symptoms of obturator nerve entrapment were present. Endometriosis surrounding the nerve was discovered. Laparoscopic surgery was performed, and the symptoms disappeared. | Yes, obturator nerve | Not included | Norway | Female | Right |
| Author and Year | Type of Study | Incidence and Characteristics | Entrapment Association | Statistical Values and Characteristics | Geographic Region | Gender | Laterality |
|---|---|---|---|---|---|---|---|
| Athavale et al. 2012 [79] | Cadaveric study, 47 lower limbs | The medial head of the accessory flexor digitorum muscle (quadratus plataris) extended through the tarsal tunnel in 80% of cases. The presence of the accessory muscle FDAL was observed in two cases. | Yes, tarsal tunnel syndrome | Not included | India | Not specified | Bilateral |
| Bowers et al. (2009) [70] | Case study, 1 | The accessory long flexor muscle of the fingers (FDAL) is reported as the cause of tarsal tunnel syndrome and was found running deep to the flexor retinaculum in the form of a muscle belly, posterior to the tendon of the long flexor hallux muscle. | Yes, tarsal tunnel syndrome | Not included | USA | Male | Right |
| Canter D and Siesel K, (1997) [71] | Cadaveric study, 26 | Two cadavers presented unilateral (right) FLAD with different origins and similar insertions. Both entered the tarsal tunnel in the form of a tendon. | Not specified | FLAD was present in 2 of 26 corpses (7.6% of corpses and 3.8% of legs) | USA | Both | Right |
| Cheung Y et al. (1999) [72] | Descriptive study, 112 | Twenty specimens of FDAL muscles were observed. Six cases were collected from a group of 100 asymptomatic patients, and fourteen cases were collected from a group of 12 symptomatic patients presenting with ankle discomfort, observing 2 bilateral cases and 10 unilateral cases. | Yes, tarsal tunnel syndrome | The FDAL muscle prevalence calculated from the group of asymptomatic patients was 6% (6/100). | USA | 76 male, 36 female | 2 bilateral, 16 unilateral |
| Deroy A, et al. (2002) [73] | Case study, 1 | A cadaveric specimen presented a FLAD muscle that coursed with a single tendon through the tarsal tunnel and then divided into two portions at Henry’s knot. | Not specified | Not included | USA | Not specified | Left |
| Dobbs M, et al. (2005) [74] | Retrospective review, 835 | A FLAD muscle was found in 6.6% (55) of patients who underwent surgery to correct equinus foot. Patients with FLAD were 36% bilateral and 64% unilateral. | Not specified | The comparison group was reflected with an odds ratio of 1.0. For continuous variables, p values were based on unpaired t tests. p, 0.01 was considered statistically significant. | USA | 294 female, 541 male | 20 bilateral (36%) 35 unilateral (64%) |
| Duran-Stanton A, et al. (2010) [75] | Case study, 1 | The patient suffered from tarsal tunnel syndrome due to the presence of two anomalous accessory muscles deep to the flexor retinaculum: the accessory flexor digitorum longus and the internal peroneocalcaneus. | Yes, tarsal tunnel syndrome | Not included | USA | Male | Left |
| Hwang S and Hill R, (2009) [76] | Case report, 1 | Cadaveric dissection revealed a bilateral FLAD muscle with two heads, entering the tarsal tunnel as a single tendon. | Not specified | Not included | USA | Female | Bilateral |
| Kubota H (2001) [77] | Case report, 1 | An infant presented with clubfoot and Nager syndrome. Corrective surgery revealed the presence of a single-belly FLAD muscle. It is consistent with previous reports that correlate clubfoot with the presence of the muscle. | Not specified | Not included | Japan | Male | Right |
| Nathan H et al. (1975) [78] | Cadaveric study, 100 (200 lower limbs) | An FDAL muscle was found in 12 cadavers, 10 unilateral and 2 bilateral, for a total of 14 aberrations from 200 dissected legs. | Not specified | The abnormality was found in 12% of cadavers and 7% of dissected legs. | Israel | Not specified | 10 unilateral, 2 bilateral |
| Ogut T and Ayhan E. (2010) [79] | Case report, 1 | A FLAD muscle caused tenosynovitis of the flexor hallux longus muscle. Surgical removal of the aberration eliminated symptoms for at least 1 year post-op. | Not specified | Not included | Turkey | Male | Left |
| Shaheen S et al. (2015) [80] | Prospective study, 261 | FLAD was present in 18.39% (48) of patients with resistant clubfoot and 13.14% (411) of legs. The presence of FLAD can be predicted by the Samir-Adams sign. | Not specified | Not included | Sudan | 37 male, 11 female | 15 right, 27 left, 7 bilateral |
| Wittmayer B et al. (2007) [81] | Case report, 1 | A patient with tarsal tunnel syndrome presented a FLAD muscle with visible entrapment of the posterior tibial nerve by its tendon, proximal to the porta pedis. Tendon transection eliminated preoperative symptoms. | Yes, tarsal tunnel syndrome | Not included | USA | Female | Left |
| Batista J et al. (2015) [82] | Case report, 1 | A FLAD muscle was present in a patient with a history of pain in the posterior region of the ankle and reduced mobility in the fingers. Resection of the flexor retinaculum and posterior talar process alleviated the symptoms. | Yes, posterior tibial neurovascular bundle | Not included | Argentina, Spain | Male | Left |
| Ettehadi H (2022) [83] | Case report, 1 | Surgery to relieve the tarsal tunnel revealed the belly of FLAD involving the posterior tibial nerve. The release of the muscle–nerve junction and neurolysis alleviated symptoms. | Yes, tarsal tunnel syndrome | Not included | South Africa | Female | Right |
| Holzmann M (2009) [84] | Cadaveric study, 1 | Pedagogical dissection revealed a unilateral FLAD of two bellies located under the flexor retinaculum. | Not specified | Not included | USA | Male | Not specified |
| Mi- Sun et al. (2014) [85] | Cadaveric study, 80 | The FLAD muscle was present in 9 of 80 cadavers and classified into three types. Type I originates in the leg and runs without crossing (Type Ia) or crossing (Type Ib) the posterior tibial neurovascular bundle. Type II originates in the tarsal tunnel. All three types can compress the tibial nerve. | Yes, tarsal tunnel syndrome | The FLAD muscle was observed in 9 of the 80 cadavers (11.3%). Type Ia occurred in 3.8% of cases. Type Ib was present in 2.5% of cases. Type II was found in 6.3% of cases. | Republic of Korea | 38 male, 42 female | Bilateral |
| Buschmann W et al. (1991) [86] | Case study, 7 | Four cases of accessory soleus muscle were identified, two of them asymptomatic and the other two with physical manifestations of pain and swelling in the ankle. Two cases of peroneus quartus muscle, both asymptomatic, are reported. A case of FDAL muscle was observed presenting with swelling and pain in the medial area of the ankle. | Not specified | Not included | USA | 3 male, 4 female | 2 right, 2 left soleus muscles; 1 right, 1 left peroneus quartus; 1 right FDAL |
| Rosson and Dellon, 2005 [87] | Case study 31 | The distribution of the superficial peroneal nerve was analyzed in 35 lower extremities surgically treated for peripheral nerve entrapment. | Yes, superficial peroneal nerve | A total of 57% had the superficial peroneal nerve in the lateral compartment, 26% in the anterior and lateral compartment, and 17% in the anterior compartment. | USA | Not specified | Not specified |
| Dellon A et al., 2002 [88] | Case study, 65 patients and 29 cadavers | The incidence of anatomical variants related to the peroneus muscle was evaluated among a random selection of 29 (bilateral) cadavers and 65 patients who underwent unilateral peroneal decompression to treat the symptoms of that compression. | Yes, common peroneal nerve | A total of 30% of cadavers and 78.5% of patients had a fibrous band on the inferior surface of the superficial head of the peroneus longus. A total of 43% of cadavers and 20% of patients presented a fibrous band in the superficial area of the deep head of the peroneus longus. The origin of the soleus muscle joined the origin of the peroneus muscle in 9% of cadavers and 6% of patients. | USA | Not specified | Not specified |
| Park JH et al., 2018 [89] | Cadaveric study, 115 lower limbs | The popliteal region and thigh were evaluated in 115 lower extremities of cadavers, and the incidence of anatomical variations of the distal biceps femoris muscle and its relationship with common peroneal nerve entrapment were analyzed. | Not specified | Not included | Republic of Korea | 68 male, 47 female | Not specified |
Disclaimer/Publisher’s Note: The statements, opinions and data contained in all publications are solely those of the individual author(s) and contributor(s) and not of MDPI and/or the editor(s). MDPI and/or the editor(s) disclaim responsibility for any injury to people or property resulting from any ideas, methods, instructions or products referred to in the content. |
© 2024 by the authors. Licensee MDPI, Basel, Switzerland. This article is an open access article distributed under the terms and conditions of the Creative Commons Attribution (CC BY) license (https://creativecommons.org/licenses/by/4.0/).
Share and Cite
Valenzuela-Fuenzalida, J.J.; Inostroza-Wegner, A.; Osorio-Muñoz, F.; Milos-Brandenberg, D.; Santana-Machuca, A.; Nova Baeza, P.; Donoso, M.O.; Bruna-Mejias, A.; Iwanaga, J.; Sanchis-Gimeno, J.; et al. The Association between Anatomical Variants of Musculoskeletal Structures and Nerve Compressions of the Lower Limb: A Systematic Review and Meta-Analysis. Diagnostics 2024, 14, 695. https://doi.org/10.3390/diagnostics14070695
Valenzuela-Fuenzalida JJ, Inostroza-Wegner A, Osorio-Muñoz F, Milos-Brandenberg D, Santana-Machuca A, Nova Baeza P, Donoso MO, Bruna-Mejias A, Iwanaga J, Sanchis-Gimeno J, et al. The Association between Anatomical Variants of Musculoskeletal Structures and Nerve Compressions of the Lower Limb: A Systematic Review and Meta-Analysis. Diagnostics. 2024; 14(7):695. https://doi.org/10.3390/diagnostics14070695
Chicago/Turabian StyleValenzuela-Fuenzalida, Juan José, Alfredo Inostroza-Wegner, Francisca Osorio-Muñoz, Daniel Milos-Brandenberg, Andres Santana-Machuca, Pablo Nova Baeza, Mathias Orellana Donoso, Alejandro Bruna-Mejias, Joe Iwanaga, Juan Sanchis-Gimeno, and et al. 2024. "The Association between Anatomical Variants of Musculoskeletal Structures and Nerve Compressions of the Lower Limb: A Systematic Review and Meta-Analysis" Diagnostics 14, no. 7: 695. https://doi.org/10.3390/diagnostics14070695
APA StyleValenzuela-Fuenzalida, J. J., Inostroza-Wegner, A., Osorio-Muñoz, F., Milos-Brandenberg, D., Santana-Machuca, A., Nova Baeza, P., Donoso, M. O., Bruna-Mejias, A., Iwanaga, J., Sanchis-Gimeno, J., & Gutierrez-Espinoza, H. (2024). The Association between Anatomical Variants of Musculoskeletal Structures and Nerve Compressions of the Lower Limb: A Systematic Review and Meta-Analysis. Diagnostics, 14(7), 695. https://doi.org/10.3390/diagnostics14070695


