Glial Fibrillary Acidic Protein’s Usefulness as an Astrocyte Biomarker Using the Fully Automated LUMIPULSE® System
Abstract
1. Introduction
2. Materials and Methods
2.1. Development of Mouse Monoclonal Antibodies Against GFAP
2.2. Description of the Fully Automated Immunoassay for GFAP
2.3. Characterization of In-House Standard Material and Concentration Assignment
2.4. Evaluation of Analytical Performance of the GFAP Assay
2.4.1. Limit of Detection and Limit of Quantitation
2.4.2. Precision Studies
2.4.3. Dilution Linearity
2.4.4. Interfering Substances and Cross Reactant
2.4.5. Serum and Plasma Correlation
2.5. GFAP Assay in HC, AD, BT, and CI Samples
2.6. Statistics
3. Results
3.1. Evaluation of Analytical Performance of GFAP Assays
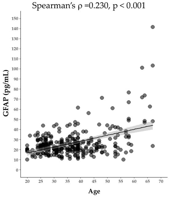
3.2. Comparison of GFAP Assay Across Different Neural Disease Groups
4. Discussion
5. Conclusions
Author Contributions
Funding
Institutional Review Board Statement
Informed Consent Statement
Data Availability Statement
Acknowledgments
Conflicts of Interest
References
- Bear, M.F.; Connors, B.W.; Paradiso, M.A. Neuroscience: Exploring the Brain, 4th ed.; Jones & Bartlett Learning: Burlington, MA, USA, 2020. [Google Scholar]
- Allen, N.J.; Lyons, D.A. Glia as architects of central nervous system formation and function. Science 2018, 362, 181–185. [Google Scholar] [CrossRef] [PubMed]
- Eng, L.F.; Ghirnikar, R.S.; Lee, Y.L. Glial fibrillary acidic protein: GFAP-thirty-one years (1969–2000). Neurochem. Res. 2000, 25, 1439–1451. [Google Scholar] [CrossRef] [PubMed]
- Abdelhak, A.; Foschi, M.; Abu-Rumeileh, S.; Yue, J.K.; D’Anna, L.; Huss, A.; Oeckl, P.; Ludolph, A.C.; Kuhle, J.; Petzold, A.; et al. Blood GFAP as an emerging biomarker in brain and spinal cord disorders. Nat. Rev. Neurol. 2022, 18, 158–172. [Google Scholar] [CrossRef]
- Butt, A.; Verkhratsky, A. Neuroglia: Realising their true potential. Brain Neurosci. Adv. 2018, 2, 2398212818817495. [Google Scholar] [CrossRef]
- Escalada, P.; Ezkurdia, A.; Ramirez, M.J.; Solas, M. Essential Role of Astrocytes in Learning and Memory. Int. J. Mol. Sci. 2024, 25, 1899. [Google Scholar] [CrossRef]
- Bazarian, J.J.; Biberthaler, P.; Welch, R.D.; Lewis, L.M.; Barzo, P.; Bogner-Flatz, V.; Gunnar Brolinson, P.; Büki, A.; Chen, J.Y.; Christenson, R.H.; et al. Serum GFAP and UCH-L1 for prediction of absence of intracranial injuries on head CT (ALERT-TBI): A multicentre observational study. Lancet Neurol. 2018, 17, 782–789. [Google Scholar] [CrossRef] [PubMed]
- Abdelhak, A.; Hottenrott, T.; Morenas-Rodríguez, E.; Suárez-Calvet, M.; Zettl, U.K.; Haass, C.; Meuth, S.G.; Rauer, S.; Otto, M.; Tumani, H.; et al. Glial Activation Markers in CSF and Serum from Patients With Primary Progressive Multiple Sclerosis: Potential of Serum GFAP as Disease Severity Marker? Front. Neurol. 2019, 10, 280. [Google Scholar] [CrossRef]
- Papa, L.; Brophy, G.M.; Welch, R.D.; Lewis, L.M.; Braga, C.F.; Tan, C.N.; Ameli, N.J.; Lopez, M.A.; Haeussler, C.A.; Mendez Giordano, D.I.; et al. Time Course and Diagnostic Accuracy of Glial and Neuronal Blood Biomarkers GFAP and UCH-L1 in a Large Cohort of Trauma Patients with and Without Mild Traumatic Brain Injury. JAMA Neurol. 2016, 73, 551–560. [Google Scholar] [CrossRef] [PubMed]
- Teunissen, C.E.; Verberk, I.M.W.; Thijssen, E.H.; Vermunt, L.; Hansson, O.; Zetterberg, H.; van der Flier, W.M.; Mielke, M.M.; Del Campo, M. Blood-based biomarkers for Alzheimer’s disease: Towards clinical implementation. Lancet Neurol. 2022, 21, 66–77. [Google Scholar] [CrossRef]
- Petzold, A.; Keir, G.; Green, A.J.E.; Giovannoni, G.; Thompson, E.J. An ELISA for glial fibrillary acidic protein. J. Immunol. Methods 2004, 287, 169–177. [Google Scholar] [CrossRef]
- Verberk, I.M.W.; Thijssen, E.; Koelewijn, J.; Mauroo, K.; Vanbrabant, J.; de Wilde, A.; Zwan, M.D.; Verfaillie, S.C.J.; Ossenkoppele, R.; Barkhof, F.; et al. Combination of plasma amyloid beta(1-42/1-40) and glial fibrillary acidic protein strongly associates with cerebral amyloid pathology. Alzheimer’s Res. Ther. 2020, 12, 118. [Google Scholar] [CrossRef] [PubMed]
- Korley, F.K.; Jain, S.; Sun, X.; Puccio, A.M.; Yue, J.K.; Gardner, R.C.; Wang, K.K.W.; Okonkwo, D.O.; Yuh, E.L.; Mukherjee, P.; et al. Prognostic value of day-of-injury plasma GFAP and UCH-L1 concentrations for predicting functional recovery after traumatic brain injury in patients from the US TRACK-TBI cohort: An observational cohort study. Lancet Neurol. 2022, 21, 803–813. [Google Scholar] [CrossRef] [PubMed]
- Nojima, H.; Ito, S.; Kushida, A.; Abe, A.; Motsuchi, W.; Verbel, D.; Vandijck, M.; Jannes, G.; Vandenbroucke, I.; Aoyagi, K. Clinical utility of cerebrospinal fluid biomarkers measured by LUMIPULSE((R)) system. Ann. Clin. Transl. Neurol. 2022, 9, 1898–1909. [Google Scholar] [CrossRef]
- Janelidze, S.; Bali, D.; Ashton, N.J.; Barthelemy, N.R.; Vanbrabant, J.; Stoops, E.; Vanmechelen, E.; He, Y.; Dolado, A.O.; Triana-Baltzer, G.; et al. Head-to-head comparison of 10 plasma phospho-tau assays in prodromal Alzheimer’s disease. Brain 2023, 146, 1592–1601. [Google Scholar] [CrossRef]
- Musso, G.; Cosma, C.; Zaninotto, M.; Gabelli, C.; Basso, D.; Plebani, M. Pre-analytical variability of the Lumipulse immunoassay for plasma biomarkers of Alzheimer’s disease. Clin. Chem. Lab. Med. 2023, 61, e53–e56. [Google Scholar] [CrossRef]
- Yuri, T.; Degrieck, R.; Minczakiewicz, D.; Sato, H.; Kamada, J.; Nakazawa, T.; Vandenbroucke, I.; Aoyagi, K.; Nojima, H. Estimation of the allelic status of apolipoprotein E4 isoforms with fully automated LUMIPULSE® assays. Explor. Neurosci. 2023, 2, 238–244. [Google Scholar] [CrossRef]
- Uchida, Y.; Ito, S.; Nukina, N. Sandwich ELISA for the measurement of Apo-E4 levels in serum and the estimation of the allelic status of Apo-E4 isoforms. J. Clin. Lab. Anal. 2000, 14, 260–264. [Google Scholar] [CrossRef]
- Korley, F.K.; Datwyler, S.A.; Jain, S.; Sun, X.; Beligere, G.; Chandran, R.; Marino, J.A.; McQuiston, B.; Zhang, H.; Caudle, K.L.; et al. Comparison of GFAP and UCH-L1 Measurements from Two Prototype Assays: The Abbott i-STAT and ARCHITECT Assays. Neurotrauma Rep. 2021, 2, 193–199. [Google Scholar] [CrossRef] [PubMed]
- Panteghini, M. Traceability as a unique tool to improve standardization in laboratory medicine. Clin. Biochem. 2009, 42, 236–240. [Google Scholar] [CrossRef]
- Benedet, A.L.; Milà-Alomà, M.; Vrillon, A.; Ashton, N.J.; Pascoal, T.A.; Lussier, F.; Karikari, T.K.; Hourregue, C.; Cognat, E.; Dumurgier, J.; et al. Differences Between Plasma and Cerebrospinal Fluid Glial Fibrillary Acidic Protein Levels Across the Alzheimer Disease Continuum. JAMA Neurol. 2021, 78, 1471–1483. [Google Scholar] [CrossRef]
- Nichols, N.R.; Day, J.R.; Laping, N.J.; Johnson, S.A.; Finch, C.E. GFAP mRNA increases with age in rat and human brain. Neurobiol. Aging 1993, 14, 421–429. [Google Scholar] [CrossRef] [PubMed]
- Jansen, W.J.; Janssen, O.; Tijms, B.M.; Vos, S.J.B.; Ossenkoppele, R.; Visser, P.J.; Aarsland, D.; Alcolea, D.; Altomare, D.; von Arnim, C.; et al. Prevalence Estimates of Amyloid Abnormality Across the Alzheimer Disease Clinical Spectrum. JAMA Neurol. 2022, 79, 228–243. [Google Scholar] [CrossRef] [PubMed]
- Masser, D.R.; VanGuilder Starkey, H.D.; Bixler, G.V.; Dunton, W.; Bronson, S.K.; Freeman, W.M. Insulin treatment normalizes retinal neuroinflammation but not markers of synapse loss in diabetic rats. Exp. Eye Res. 2014, 125, 95–106. [Google Scholar] [CrossRef] [PubMed]
- Li, Z.H.; Jiang, Y.Y.; Long, C.Y.; Peng, Q.; Yue, R.S. The gut microbiota-astrocyte axis: Implications for type 2 diabetic cognitive dysfunction. CNS Neurosci. Ther. 2023, 29 (Suppl. S1), 59–73. [Google Scholar] [CrossRef]
- Mayer, M.G.; Fischer, T. Microglia at the blood brain barrier in health and disease. Front. Cell. Neurosci. 2024, 18, 1360195. [Google Scholar] [CrossRef]




| GFAP | |
|---|---|
| Sample type | Serum, Plasma |
| Sample volume | 100 µL |
| Reportable range | 4.0–5000.0 pg/mL |
| LOD | 1.8 pg/mL |
| LOQ (at 10% CV) | 6.0 pg/mL |
| Calibration points, configuration | 2 (master curve), lyophilized |
| GFAP Level of Samples | Mean (pg/mL) | Repeatability | Between Run | Between Day | Within Laboratory |
|---|---|---|---|---|---|
| Low | 108.2 | 2.5% | 1.4% | 2.3% | 3.7% |
| Middle | 821.5 | 2.2% | 1.7% | 3.4% | 4.4% |
| High | 3744.4 | 1.8% | 1.6% | 2.6% | 3.5% |
| Sample | R-Squared | Slope | Intercept | |
|---|---|---|---|---|
| Serum | 1 | 1.00 | 1.00 (0.99–1.00) | 13.44 (−0.18–27.07) |
| 2 | 1.00 | 1.00 (0.98–1.01) | 30.47 (−7.81–68.75) | |
| 3 | 1.00 | 1.00 (0.97–1.02) | −0.19 (−71.7–71.31) | |
| 4 | 1.00 | 1.00 (0.98–1.01) | 13.6 (−25.4–52.59) | |
| 5 | 1.00 | 1.00 (0.99–1.00) | 17.55 (1.20–33.91) | |
| Plasma | 1 | 1.00 | 1.00 (0.96–1.04) | 39.66 (−60.39–139.71) |
| 2 | 1.00 | 1.00 (0.96–1.03) | 49.30 (−43.96–142.57) | |
| 3 | 1.00 | 0.99 (0.94–1.04) | 71.05 (−60.98–203.07) | |
| 4 | 1.00 | 1.00 (0.97–1.02) | 34.87 (−24.38–94.12) | |
| 5 | 1.00 | 1.00 (0.99–1.00) | 7.26 (−8.26–22.77) |
| Interfering Substances | Concentration | % Difference from Control | ||
|---|---|---|---|---|
| GFAP Level of Samples | ||||
| Low | Middle | High | ||
| Free Bilirubin | 20 mg/dL | −2.7 | −1.9 | −0.9 |
| Conjugated Bilirubin | 20 mg/dL | −0.7 | −1.1 | 0.3 |
| Chyle | 1580 FTU | −1.3 | 0.1 | 1.3 |
| Hemoglobin | 520 mg/dL | −0.5 | −0.8 | −1.0 |
| Triglycerides | 2000 mg/dL | −0.9 | −0.1 | 2.4 |
| Biotin | 4250 ng/mL | −0.1 | 2.1 | −0.5 |
| Cross Reactant | Concentration | Cross-Reactivity Rate (%) | |
|---|---|---|---|
| Serum | Plasma | ||
| rhDesmin | 1007 pg/mL | 0.1 | −0.2 |
| rhNfL | 1003 pg/mL | −0.3 | −0.3 |
| rhPeripherin | 1006 pg/mL | 0.2 | −0.2 |
| rhVimentin | 1009 pg/mL | 0.0 | −0.6 |
| HC | AD | BT | CI | |
|---|---|---|---|---|
| n | 296 | 69 | 21 | 10 |
| Sex = Male (%) | 121 (40.9) | 30 (43.5) | 11 (52.4) | 7 (70.0) |
| Age (median [IQR]) † | 36.0 [28.0, 43.0] | 83.0 [75.0, 88.0] | 53.0 [48.0, 68.0] | 77.0 [69.0, 79.5] |
| GFAP (median [IQR]) † | 23.1 [19.1, 30.0] | 100.5 [65.1, 140.6] | 63.4 [45.1, 153.9] | 50.4 [38.6, 109.4] |
Disclaimer/Publisher’s Note: The statements, opinions and data contained in all publications are solely those of the individual author(s) and contributor(s) and not of MDPI and/or the editor(s). MDPI and/or the editor(s) disclaim responsibility for any injury to people or property resulting from any ideas, methods, instructions or products referred to in the content. |
© 2024 by the authors. Licensee MDPI, Basel, Switzerland. This article is an open access article distributed under the terms and conditions of the Creative Commons Attribution (CC BY) license (https://creativecommons.org/licenses/by/4.0/).
Share and Cite
Kamada, J.; Hamanaka, T.; Oshimo, A.; Sato, H.; Nishii, T.; Fujita, M.; Makiguchi, Y.; Tanaka, M.; Aoyagi, K.; Nojima, H. Glial Fibrillary Acidic Protein’s Usefulness as an Astrocyte Biomarker Using the Fully Automated LUMIPULSE® System. Diagnostics 2024, 14, 2520. https://doi.org/10.3390/diagnostics14222520
Kamada J, Hamanaka T, Oshimo A, Sato H, Nishii T, Fujita M, Makiguchi Y, Tanaka M, Aoyagi K, Nojima H. Glial Fibrillary Acidic Protein’s Usefulness as an Astrocyte Biomarker Using the Fully Automated LUMIPULSE® System. Diagnostics. 2024; 14(22):2520. https://doi.org/10.3390/diagnostics14222520
Chicago/Turabian StyleKamada, Jo, Tomohiro Hamanaka, Aya Oshimo, Hideo Sato, Tomonori Nishii, Marika Fujita, Yoshiharu Makiguchi, Miki Tanaka, Katsumi Aoyagi, and Hisashi Nojima. 2024. "Glial Fibrillary Acidic Protein’s Usefulness as an Astrocyte Biomarker Using the Fully Automated LUMIPULSE® System" Diagnostics 14, no. 22: 2520. https://doi.org/10.3390/diagnostics14222520
APA StyleKamada, J., Hamanaka, T., Oshimo, A., Sato, H., Nishii, T., Fujita, M., Makiguchi, Y., Tanaka, M., Aoyagi, K., & Nojima, H. (2024). Glial Fibrillary Acidic Protein’s Usefulness as an Astrocyte Biomarker Using the Fully Automated LUMIPULSE® System. Diagnostics, 14(22), 2520. https://doi.org/10.3390/diagnostics14222520

