Developmental Patterns and Risk Factors of Scoliosis After Hemipelvectomy for the Pelvic Bone Tumor
Abstract
1. Introduction
2. Materials and Methods
2.1. Study Design and Setting
2.2. Parameter Measurements
2.3. Evaluation of the Risk Factors of Scoliosis Development After Hemipelvectomy
3. Results
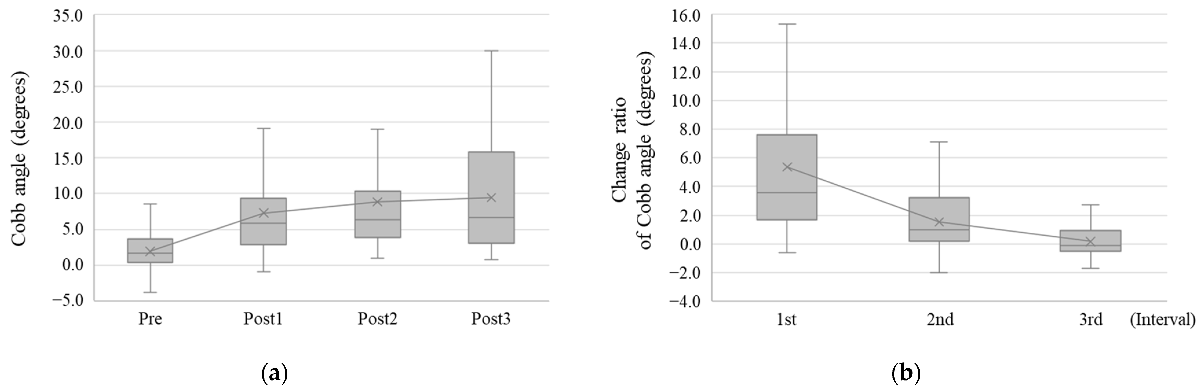
3.1. Time-Course Change of Cobb Angle in All Patients
3.2. Effect of EH and IH on the Change of Cobb Angle
3.3. Effect of L5/S Resection on the Change of Cobb Angle
3.4. Factors That Affected the Curve Direction of Scoliosis
3.5. Risk Factors of Scoliosis After Hemipelvectomy
4. Discussion
5. Conclusions
Supplementary Materials
Author Contributions
Funding
Institutional Review Board Statement
Informed Consent Statement
Data Availability Statement
Conflicts of Interest
References
- Puchner, S.E.; Funovics, P.T.; Bohler, C.; Kaider, A.; Stihsen, C.; Hobusch, G.M.; Panotopoulos, J.; Windhager, R. Oncological and surgical outcome after treatment of pelvic sarcomas. PLoS ONE 2017, 12, e0172203. [Google Scholar] [CrossRef] [PubMed]
- Guder, W.K.; Hardes, J.; Gosheger, G.; Henrichs, M.P.; Nottrott, M.; Streitburger, A. Analysis of surgical and oncological outcome in internal and external hemipelvectomy in 34 patients above the age of 65 years at a mean follow-up of 56 months. BMC Musculoskelet. Disord. 2015, 16, 33. [Google Scholar] [CrossRef]
- Couto, A.G.; Araujo, B.; Torres de Vasconcelos, R.A.; Renni, M.J.; Da Fonseca, C.O.; Cavalcanti, I.L. Survival rate and perioperative data of patients who have undergone hemipelvectomy: A retrospective case series. World J. Surg. Oncol. 2016, 14, 255. [Google Scholar] [CrossRef]
- Fuchs, B.; Yaszemski, M.J.; Sim, F.H. Combined posterior pelvis and lumbar spine resection for sarcoma. Clin. Orthop. Relat. Res. 2002, 397, 12–18. [Google Scholar] [CrossRef]
- van Houdt, W.J.; Griffin, A.M.; Wunder, J.S.; Ferguson, P.C. Oncologic Outcome and Quality of Life After Hindquarter Amputation for Sarcoma: Is it Worth it? Ann. Surg. Oncol. 2018, 25, 378–386. [Google Scholar] [CrossRef] [PubMed]
- Umer, M.; Ali, M.; Rashid, R.H.; Mohib, Y.; Rashid, H.U. Outcomes of internal hemipelvectomy for pelvic tumors: A developing country’s prospective. Int. J. Surg. Oncol. 2017, 2, e07. [Google Scholar] [CrossRef] [PubMed]
- Salunke, A.A.; Shah, J.; Warikoo, V.; Chakraborty, A.; Sahijwani, H.; Sharma, M.; Jha, R.; Dhange, A.; Pathak, S.; Pandit, J.; et al. Surgical management of pelvic bone sarcoma with internal hemipelvectomy: Oncologic and Functional outcomes. J. Clin. Orthop. Trauma 2017, 8, 249–253. [Google Scholar] [CrossRef]
- Han, I.; Lee, Y.M.; Cho, H.S.; Oh, J.H.; Lee, S.H.; Kim, H.S. Outcome after surgical treatment of pelvic sarcomas. Clin. Orthop. Surg. 2010, 2, 160–166. [Google Scholar] [CrossRef]
- Ji, T.; Guo, W. The evolution of pelvic endoprosthetic reconstruction after tumor resection. Ann. Jt. 2019, 4, 29. [Google Scholar] [CrossRef]
- Ogura, K.; Sakuraba, M.; Miyamoto, S.; Fujiwara, T.; Chuman, H.; Kawai, A. Pelvic ring reconstruction with a double-barreled free vascularized fibula graft after resection of malignant pelvic bone tumor. Arch. Orthop. Trauma Surg. 2015, 135, 619–625. [Google Scholar] [CrossRef]
- Akiyama, T.; Clark, J.C.; Miki, Y.; Choong, P.F. The non-vascularised fibular graft: A simple and successful method of reconstruction of the pelvic ring after internal hemipelvectomy. J. Bone Jt. Surg. Br. 2010, 92, 999–1005. [Google Scholar] [CrossRef] [PubMed]
- Gebert, C.; Gosheger, G.; Winkelmann, W. Hip transposition as a universal surgical procedure for periacetabular tumors of the pelvis. J. Surg. Oncol. 2009, 99, 169–172. [Google Scholar] [CrossRef] [PubMed]
- Angelini, A.; Drago, G.; Trovarelli, G.; Calabro, T.; Ruggieri, P. Infection after surgical resection for pelvic bone tumors: An analysis of 270 patients from one institution. Clin. Orthop. Relat. Res. 2014, 472, 349–359. [Google Scholar] [CrossRef]
- Karaca, M.O.; Ozbek, E.A.; Ozyildiran, M.; Merter, A.; Basarir, K.; Yildiz, H.Y.; Saglik, Y. External and internal hemipelvectomy: A retrospective analysis of 68 cases. Jt. Dis. Relat. Surg. 2022, 33, 132–141. [Google Scholar] [CrossRef] [PubMed]
- Ogura, K.; Boland, P.J.; Fabbri, N.; Healey, J.H. Rate and risk factors for wound complications after internal hemipelvectomy. Bone Jt. J. 2020, 102-B, 280–284. [Google Scholar] [CrossRef]
- Papanastassiou, I.; Boland, P.J.; Boachie-Adjei, O.; Morris, C.D.; Healey, J.H. Scoliosis after extended hemipelvectomy. Spine 2010, 35, E1328–E1333. [Google Scholar] [CrossRef]
- Kelly, A.; Younus, A.; Lekgwara, P. Adult degenerative scoliosis—A literature review. Interdiscip. Neurosurg. 2020, 20, 100661. [Google Scholar] [CrossRef]
- Matsuyama, Y. Surgical treatment for adult spinal deformity: Conceptual approach and surgical strategy. Spine Surg. Relat. Res. 2017, 1, 56–60. [Google Scholar] [CrossRef]
- York, P.J.; Kim, H.J. Degenerative Scoliosis. Curr. Rev. Musculoskelet. Med. 2017, 10, 547–558. [Google Scholar] [CrossRef]
- Enneking, W.; Dunham, W.; Gebhardt, M.; Malawar, M.; Pritchard, D. A system for the classification of skeletal resections. Chir. Organi Mov. 1990, 75, 217–240. [Google Scholar]
- Kobayashi, K.; Ando, K.; Nakashima, H.; Machino, M.; Morozumi, M.; Kanbara, S.; Ito, S.; Inoue, T.; Yamaguchi, H.; Mishima, K.; et al. Scoliosis Caused by Limb-Length Discrepancy in Children. Asian Spine J. 2020, 14, 801–807. [Google Scholar] [CrossRef] [PubMed]
- Applebaum, A.; Nessim, A.; Cho, W. Overview and Spinal Implications of Leg Length Discrepancy: Narrative Review. Clin. Orthop. Surg. 2021, 13, 127–134. [Google Scholar] [CrossRef] [PubMed]
- Leong, J.C.; Luk, K.D.; Chow, D.H.; Woo, C.W. The biomechanical functions of the iliolumbar ligament in maintaining stability of the lumbosacral junction. Spine 1987, 12, 669–674. [Google Scholar] [CrossRef]
- Oshikawa, T.; Adachi, G.; Akuzawa, H.; Okubo, Y.; Kaneoka, K. Activity of the Quadratus Lumborum and Trunk Muscles Relates to Pelvic Tilt Angle During Pelvic Tilt Exercises. Am. J. Phys. Med. Rehabil. 2020, 99, 1109–1115. [Google Scholar] [CrossRef] [PubMed]
- Abbas, J.; Slon, V.; May, H.; Peled, N.; Hershkovitz, I.; Hamoud, K. Paraspinal muscles density: A marker for degenerative lumbar spinal stenosis? BMC Musculoskelet. Disord. 2016, 17, 422. [Google Scholar] [CrossRef]
- Goel, V.K.; Goyal, S.; Clark, C.; Nishiyama, K.; Nye, T. Kinematics of the whole lumbar spine. Effect of discectomy. Spine 1985, 10, 543–554. [Google Scholar] [CrossRef]
- Chou, D.; Mummaneni, P.; Anand, N.; Nunley, P.; La Marca, F.; Fu, K.M.; Fessler, R.; Park, P.; Wang, M.; Than, K.; et al. Treatment of the Fractional Curve of Adult Scoliosis With Circumferential Minimally Invasive Surgery Versus Traditional, Open Surgery: An Analysis of Surgical Outcomes. Glob. Spine J. 2018, 8, 827–833. [Google Scholar] [CrossRef]
- Shihata, S. Indirect Decompression of the Neural Elements Utilizing Direct Lateral Interbody Fusion Procedure. Med. Arch. 2020, 74, 126–130. [Google Scholar] [CrossRef]
- Berger, C.; Larsson, S.; Bergh, P.; Brisby, H.; Wennergren, D. The risk for complications and reoperations with the use of mega prostheses in bone reconstructions. J. Orthop. Surg. Res. 2021, 16, 598. [Google Scholar] [CrossRef]
- Hoffmann, C.; Gosheger, G.; Gebert, C.; Jurgens, H.; Winkelmann, W. Functional results and quality of life after treatment of pelvic sarcomas involving the acetabulum. J. Bone Jt. Surg. Am. 2006, 88, 575–582. [Google Scholar] [CrossRef]
- Gebert, C.; Wessling, M.; Hoffmann, C.; Roedl, R.; Winkelmann, W.; Gosheger, G.; Hardes, J. Hip transposition as a limb salvage procedure following the resection of periacetabular tumors. J. Surg. Oncol. 2011, 103, 269–275. [Google Scholar] [CrossRef] [PubMed]
- Torell, G.; Nachemson, A.; Haderspeck-Grib, K.; Schultz, A. Standing and supine Cobb measures in girls with idiopathic scoliosis. Spine 1985, 10, 425–427. [Google Scholar] [CrossRef] [PubMed]
- Fei, H.; Li, W.S.; Sun, Z.R.; Jiang, S.; Chen, Z.Q. Effect of patient position on the lordosis and scoliosis of patients with degenerative lumbar scoliosis. Medicine 2017, 96, e7648. [Google Scholar] [CrossRef] [PubMed]





| EH Group (n = 13) | IH Group (n = 17) | Overall (n = 30) | |
|---|---|---|---|
| Age (years), median [IQR] | 49 [25–66] | 46 [28–59] | 47.5 [25.8–64.3] |
| Sex | |||
| Male | 4 (30.8%) | 9 (52.9%) | 13 (43.3%) |
| Female | 9 (69.2%) | 8 (47.1%) | 17 (56.7%) |
| Enneking classification | |||
| P2 | 0 (0%) | 2 (11.8%) | 2 (6.7%) |
| P1+2 | 1 (7.7%) | 3 (17.6%) | 4 (13.3%) |
| P2+3 | 3 (23.1%) | 5 (29.4%) | 9 (30%) |
| P1+2+3 | 4 (30.8%) | 6 (35.3%) | 9 (30%) |
| P1+2+3+4 | 5 (38.5%) | 1 (5.9%) | 6 (20%) |
| Iliac crest resection | |||
| Yes | 9 (69.2%) | 9 (52.9%) | 18 (60%) |
| No | 4 (30.8%) | 8 (47.1%) | 12 (40%) |
| L5/S resection | |||
| Yes | 3 (25%) | 0 (0%) | 3 (10%) |
| No | 10 (75%) | 17 (100%) | 27 (90%) |
| Reconstruction | |||
| No reconstruction | 11 (84.6%) | - | 11 (36.7%) |
| Pelvic ring reconstruction | 2 (15.4%) | - | 2 (6.7%) |
| Hip transposition | - | 11 (64.7%) | 11 (36.7%) |
| Megaprosthesis | - | 6 (35.3%) | 6 (20%) |
| Diagnosis | |||
| Osteosarcoma | 5 (38.5%) | 5 (29.4%) | 10 (33.3%) |
| Chondrosarcoma | 3 (25%) | 5 (29.4%) | 8 (26.7%) |
| Undifferentiated pleomorphic sarcoma | 2 (15.4%) | 0 (0%) | 2 (6.7%) |
| Malignant peripheral nerve sheath tumor | 1 (7.7%) | 1 (5.9%) | 2 (6.7%) |
| Others | 2 (15.4%) | 6 (35.3%) | 8 (26.7%) |
| n | Scoliosis (+) | Scoliosis (−) | p Value | |
|---|---|---|---|---|
| Age (years), median [IQR] | 49 [25–66] | 46 [28–67] | >0.999 | |
| Sex | 0.229 | |||
| Male | 13 | 2 (15.4%) | 11 (84.6%) | |
| Female | 17 | 7 (41.2%) | 10 (58.8%) | |
| Surgical procedure | 0.017 | |||
| External hemipelvectomy | 13 | 7 (53.8%) | 6 (46.2%) | |
| Internal hemipelvectomy | 17 | 2 (11.8%) | 15 (88.2%) | |
| Enneking classification | 0.005 | |||
| P1+2+3+4 | 6 | 5 (83.3%) | 1 (16.7%) | |
| Others | 24 | 4 (16.7%) | 20 (83.3%) | |
| Iliac crest resection | 0.004 | |||
| Yes | 18 | 9 (50%) | 9 (50%) | |
| No | 12 | 0 (0%) | 12 (100%) | |
| L5/S resection | 0.020 | |||
| Yes | 3 | 3 (100%) | 0 (0%) | |
| No | 27 | 6 (22.2%) | 21 (77.8%) | |
| Reconstruction | 0.004 | |||
| No reconstruction | 11 | 7 (63.6%) | 4 (36.4%) | |
| Reconstruction group (Pelvic ring reconstruction + Hip transposition + Megaprosthesis) | 19 | 2 (10.5%) | 17 (89.5%) | |
| Diagnosis | 0.300 | |||
| Osteosarcoma | 10 | 4 (40%) | 6 (60%) | |
| Chondrosarcoma | 8 | 4 (50%) | 4 (50%) | |
| Undifferentiated pleomorphic sarcoma | 2 | 0 (0%) | 2 (100%) | |
| Malignant peripheral nerve sheath tumor | 2 | 0 (0%) | 2 (100%) | |
| Others | 8 | 1 (12.5%) | 7 (87.5%) |
Disclaimer/Publisher’s Note: The statements, opinions and data contained in all publications are solely those of the individual author(s) and contributor(s) and not of MDPI and/or the editor(s). MDPI and/or the editor(s) disclaim responsibility for any injury to people or property resulting from any ideas, methods, instructions or products referred to in the content. |
© 2024 by the authors. Licensee MDPI, Basel, Switzerland. This article is an open access article distributed under the terms and conditions of the Creative Commons Attribution (CC BY) license (https://creativecommons.org/licenses/by/4.0/).
Share and Cite
Tsuchiya, R.; Iwata, S.; Fukushima, S.; Osaki, S.; Ogura, K.; Kobayashi, E.; Ohtori, S.; Kawai, A. Developmental Patterns and Risk Factors of Scoliosis After Hemipelvectomy for the Pelvic Bone Tumor. Diagnostics 2024, 14, 2392. https://doi.org/10.3390/diagnostics14212392
Tsuchiya R, Iwata S, Fukushima S, Osaki S, Ogura K, Kobayashi E, Ohtori S, Kawai A. Developmental Patterns and Risk Factors of Scoliosis After Hemipelvectomy for the Pelvic Bone Tumor. Diagnostics. 2024; 14(21):2392. https://doi.org/10.3390/diagnostics14212392
Chicago/Turabian StyleTsuchiya, Ryuto, Shintaro Iwata, Suguru Fukushima, Shuhei Osaki, Koichi Ogura, Eisuke Kobayashi, Seiji Ohtori, and Akira Kawai. 2024. "Developmental Patterns and Risk Factors of Scoliosis After Hemipelvectomy for the Pelvic Bone Tumor" Diagnostics 14, no. 21: 2392. https://doi.org/10.3390/diagnostics14212392
APA StyleTsuchiya, R., Iwata, S., Fukushima, S., Osaki, S., Ogura, K., Kobayashi, E., Ohtori, S., & Kawai, A. (2024). Developmental Patterns and Risk Factors of Scoliosis After Hemipelvectomy for the Pelvic Bone Tumor. Diagnostics, 14(21), 2392. https://doi.org/10.3390/diagnostics14212392

