Bioelectrical Impedance Analysis Demonstrates Reliable Agreement with Dual-Energy X-ray Absorptiometry in Identifying Reduced Skeletal Muscle Mass in Patients with Metabolic Dysfunction-Associated Steatotic Liver Disease and Hypertension
Abstract
1. Introduction
2. Materials and Methods
2.1. Study Participants
2.2. Diagnosing Metabolic Dysfunction-Associated Steatotic Liver Disease and Hypertension
2.3. Anthropometric Measurements
2.4. Bioelectrical Impedance Analysis
2.5. Dual-Energy X-ray Absorptiometry
2.6. Statistical Analyses
3. Results
3.1. Patient Characteristics
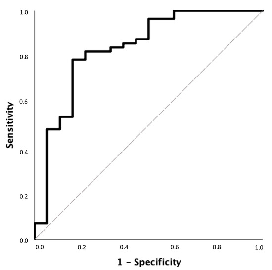
3.2. Correlations of Body Composition Parameters Measured by BIA with Body Composition Parameters Measured by DEXA
4. Discussion
5. Strengths and Limitations
6. Conclusions
Author Contributions
Funding
Institutional Review Board Statement
Informed Consent Statement
Data Availability Statement
Conflicts of Interest
References
- Eguchi, Y.; Hyogo, H.; Ono, M.; Mizuta, T.; Ono, N.; Fujimoto, K.; Chayama, K.; Saibara, T.; JSG-NAFLD. Prevalence and Associated Metabolic Factors of Nonalcoholic Fatty Liver Disease in the General Population from 2009 to 2010 in Japan: A Multicenter Large Retrospective Study. J. Gastroenterol. 2012, 47, 586–595. [Google Scholar] [CrossRef] [PubMed]
- Younossi, Z.; Aggarwal, P.; Shrestha, I.; Fernandes, J.; Johansen, P.; Augusto, M.; Nair, S. The Burden of Non-Alcoholic Steatohepatitis: A Systematic Review of Health-Related Quality of Life and Patient-Reported Outcomes. JHEP Rep. Innov. Hepatol. 2022, 4, 100525. [Google Scholar] [CrossRef] [PubMed]
- Wong, V.W.-S.; Ekstedt, M.; Wong, G.L.-H.; Hagström, H. Changing Epidemiology, Global Trends and Implications for Outcomes of NAFLD. J. Hepatol. 2023, 79, 842–852. [Google Scholar] [CrossRef] [PubMed]
- Tkachev, A.V.; Tarasova, G.N.; Groshilin, V.S.; Vasilchenkov, D.A.; Ushakova, T.I.; Blinov, D.V. Prevalence of nonalcoholic fatty liver disease in outpatients in Rostov-on-Don: Regional results of the DIREG-2 study. Ter. Arkhiv 2016, 88, 59–66. [Google Scholar] [CrossRef]
- Duell, P.B.; Welty, F.K.; Miller, M.; Chait, A.; Hammond, G.; Ahmad, Z.; Cohen, D.E.; Horton, J.D.; Pressman, G.S.; Toth, P.P.; et al. Nonalcoholic Fatty Liver Disease and Cardiovascular Risk: A Scientific Statement from the American Heart Association. Arterioscler. Thromb. Vasc. Biol. 2022, 42, e168–e185. [Google Scholar] [CrossRef]
- Cao, L.; An, Y.; Liu, H.; Jiang, J.; Liu, W.; Zhou, Y.; Shi, M.; Dai, W.; Lv, Y.; Zhao, Y.; et al. Global Epidemiology of Type 2 Diabetes in Patients with NAFLD or MAFLD: A Systematic Review and Meta-Analysis. BMC Med. 2024, 22, 101. [Google Scholar] [CrossRef]
- Konyn, P.; Alshuwaykh, O.; Dennis, B.B.; Cholankeril, G.; Ahmed, A.; Kim, D. Gallstone Disease and Its Association With Nonalcoholic Fatty Liver Disease, All-Cause and Cause-Specific Mortality. Clin. Gastroenterol. Hepatol. 2023, 21, 940–948.e2. [Google Scholar] [CrossRef]
- Byrne, C.D.; Targher, G. NAFLD as a Driver of Chronic Kidney Disease. J. Hepatol. 2020, 72, 785–801. [Google Scholar] [CrossRef]
- Ahmed, M.H.; Byrne, C.D. Obstructive Sleep Apnea Syndrome and Fatty Liver: Association or Causal Link? World J. Gastroenterol. WJG 2010, 16, 4243–4252. [Google Scholar] [CrossRef]
- Glass, L.M.; Hunt, C.M.; Fuchs, M.; Su, G.L. Comorbidities and Nonalcoholic Fatty Liver Disease: The Chicken, the Egg, or Both? Fed. Pract. 2019, 36, 64–71. [Google Scholar]
- Buss, J. Limitations of Body Mass Index to Assess Body Fat. Workplace Health Saf. 2014, 62, 264. [Google Scholar] [CrossRef] [PubMed]
- Wells, J.C.K. Sexual Dimorphism of Body Composition. Best Pract. Res. Clin. Endocrinol. Metab. 2007, 21, 415–430. [Google Scholar] [CrossRef] [PubMed]
- Kim, G.; Lee, S.-E.; Lee, Y.-B.; Jun, J.E.; Ahn, J.; Bae, J.C.; Jin, S.-M.; Hur, K.Y.; Jee, J.H.; Lee, M.-K.; et al. Relationship between Relative Skeletal Muscle Mass and Nonalcoholic Fatty Liver Disease: A 7-Year Longitudinal Study. Hepatology 2018, 68, 1755–1768. [Google Scholar] [CrossRef] [PubMed]
- Cruz-Jentoft, A.J.; Baeyens, J.P.; Bauer, J.M.; Boirie, Y.; Cederholm, T.; Landi, F.; Martin, F.C.; Michel, J.-P.; Rolland, Y.; Schneider, S.M.; et al. Sarcopenia: European Consensus on Definition and Diagnosis: Report of the European Working Group on Sarcopenia in Older People. Age Ageing 2010, 39, 412–423. [Google Scholar] [CrossRef] [PubMed]
- Cruz-Jentoft, A.J.; Bahat, G.; Bauer, J.; Boirie, Y.; Bruyère, O.; Cederholm, T.; Cooper, C.; Landi, F.; Rolland, Y.; Sayer, A.A.; et al. Sarcopenia: Revised European Consensus on Definition and Diagnosis. Age Ageing 2019, 48, 601. [Google Scholar] [CrossRef]
- Beaudart, C.; McCloskey, E.; Bruyère, O.; Cesari, M.; Rolland, Y.; Rizzoli, R.; Araujo de Carvalho, I.; Amuthavalli Thiyagarajan, J.; Bautmans, I.; Bertière, M.-C.; et al. Sarcopenia in Daily Practice: Assessment and Management. BMC Geriatr. 2016, 16, 170. [Google Scholar] [CrossRef]
- Shepherd, J.; Ng, B.; Sommer, M.; Heymsfield, S.B. Body Composition by DXA. Bone 2017, 104, 101–105. [Google Scholar] [CrossRef]
- Choi, J.W.; Yoo, J.-J.; Kim, S.G.; Kim, Y.S. Bioelectrical Impedance Analysis Can Be an Effective Tool for Screening Fatty Liver in Patients with Suspected Liver Disease. Healthcare 2022, 10, 2268. [Google Scholar] [CrossRef]
- Branco, M.G.; Mateus, C.; Capelas, M.L.; Pimenta, N.; Santos, T.; Mäkitie, A.; Ganhão-Arranhado, S.; Trabulo, C.; Ravasco, P. Bioelectrical Impedance Analysis (BIA) for the Assessment of Body Composition in Oncology: A Scoping Review. Nutrients 2023, 15, 4792. [Google Scholar] [CrossRef]
- Lemos, T.; Gallagher, D. Current Body Composition Measurement Techniques. Curr. Opin. Endocrinol. Diabetes Obes. 2017, 24, 310–314. [Google Scholar] [CrossRef]
- Stewart, S.P.; Bramley, P.N.; Heighton, R.; Green, J.H.; Horsman, A.; Losowsky, M.S.; Smith, M.A. Estimation of Body Composition from Bioelectrical Impedance of Body Segments: Comparison with Dual-Energy X-ray Absorptiometry. Br. J. Nutr. 1993, 69, 645–655. [Google Scholar] [CrossRef] [PubMed]
- Thomson, R.; Brinkworth, G.D.; Buckley, J.D.; Noakes, M.; Clifton, P.M. Good Agreement between Bioelectrical Impedance and Dual-Energy X-ray Absorptiometry for Estimating Changes in Body Composition during Weight Loss in Overweight Young Women. Clin. Nutr. 2007, 26, 771–777. [Google Scholar] [CrossRef] [PubMed]
- Rinella, M.E.; Lazarus, J.V.; Ratziu, V.; Francque, S.M.; Sanyal, A.J.; Kanwal, F.; Romero, D.; Abdelmalek, M.F.; Anstee, Q.M.; Arab, J.P.; et al. A Multisociety Delphi Consensus Statement on New Fatty Liver Disease Nomenclature. Hepatology 2023, 78, 1966–1986. [Google Scholar] [CrossRef] [PubMed]
- Bedogni, G.; Bellentani, S.; Miglioli, L.; Masutti, F.; Passalacqua, M.; Castiglione, A.; Tiribelli, C. The Fatty Liver Index: A Simple and Accurate Predictor of Hepatic Steatosis in the General Population. BMC Gastroenterol. 2006, 6, 33. [Google Scholar] [CrossRef]
- Boursier, J.; Zarski, J.-P.; de Ledinghen, V.; Rousselet, M.-C.; Sturm, N.; Lebail, B.; Fouchard-Hubert, I.; Gallois, Y.; Oberti, F.; Bertrais, S.; et al. Determination of Reliability Criteria for Liver Stiffness Evaluation by Transient Elastography. Hepatology 2013, 57, 1182–1191. [Google Scholar] [CrossRef]
- Fang, C.; Sidhu, P.S. Ultrasound-Based Liver Elastography: Current Results and Future Perspectives. Abdom. Radiol. 2020, 45, 3463–3472. [Google Scholar] [CrossRef]
- Unger, T.; Borghi, C.; Charchar, F.; Khan, N.A.; Poulter, N.R.; Prabhakaran, D.; Ramirez, A.; Schlaich, M.; Stergiou, G.S.; Tomaszewski, M.; et al. 2020 International Society of Hypertension Global Hypertension Practice Guidelines. Hypertension 2020, 75, 1334–1357. [Google Scholar] [CrossRef]
- Casadei, K.; Kiel, J. Anthropometric Measurement. In StatPearls; StatPearls Publishing: Treasure Island, FL, USA, 2024. [Google Scholar]
- Segal, K.R.; Van Loan, M.; Fitzgerald, P.I.; Hodgdon, J.A.; Van Itallie, T.B. Lean Body Mass Estimation by Bioelectrical Impedance Analysis: A Four-Site Cross-Validation Study. Am. J. Clin. Nutr. 1988, 47, 7–14. [Google Scholar] [CrossRef]
- Segal, K.R.; Burastero, S.; Chun, A.; Coronel, P.; Pierson, R.N.; Wang, J. Estimation of Extracellular and Total Body Water by Multiple-Frequency Bioelectrical-Impedance Measurement. Am. J. Clin. Nutr. 1991, 54, 26–29. [Google Scholar] [CrossRef]
- Rudnev, S.G.; Starunova, O.A.; Godina, E.Z.; Ivanova, A.E.; Zubko, A.V.; Starodubov, V.I. The Russian Bioimpedance Database: An Update. J. Electr. Bioimpedance 2022, 13, 66–72. [Google Scholar] [CrossRef]
- Janssen, I.; Heymsfield, S.B.; Baumgartner, R.N.; Ross, R. Estimation of Skeletal Muscle Mass by Bioelectrical Impedance Analysis. J. Appl. Physiol. 1985 2000, 89, 465–471. [Google Scholar] [CrossRef] [PubMed]
- Jensen, B.; Braun, W.; Geisler, C.; Both, M.; Klückmann, K.; Müller, M.J.; Bosy-Westphal, A. Limitations of Fat-Free Mass for the Assessment of Muscle Mass in Obesity. Obes. Facts 2019, 12, 307–315. [Google Scholar] [CrossRef] [PubMed]
- Rudnev, S.G.; Soboleva, N.P.; Sterlikov, S.A.; Nikolaev, D.V.; Starunova, O.A.; Chernykh, S.P.; Eryukova, T.A.; Kolesnikov, V.A.; Melnichenko, O.A.; Ponomareva, E.G. Bioimpedance Study of Body Composition in the Russian Population; RIO TSNIIOIZ: Moscow, Russia, 2014; ISBN 5-94116-018-6. [Google Scholar]
- Donini, L.M.; Busetto, L.; Bischoff, S.C.; Cederholm, T.; Ballesteros-Pomar, M.D.; Batsis, J.A.; Bauer, J.M.; Boirie, Y.; Cruz-Jentoft, A.J.; Dicker, D.; et al. Definition and Diagnostic Criteria for Sarcopenic Obesity: ESPEN and EASO Consensus Statement. Obes. Facts 2022, 15, 321–335. [Google Scholar] [CrossRef] [PubMed]
- Bland, M. An Introduction to Medical Statistics; Oxford University Press: Oxford, UK, 2015; ISBN 978-0-19-958992-0. [Google Scholar]
- Karjoo, S.; Auriemma, A.; Fraker, T.; Bays, H.E. Nonalcoholic Fatty Liver Disease and Obesity: An Obesity Medicine Association (OMA) Clinical Practice Statement (CPS) 2022. Obes. Pillars 2022, 3, 100027. [Google Scholar] [CrossRef]
- Misra, A.; Vikram, N.K.; Gupta, R.; Pandey, R.M.; Wasir, J.S.; Gupta, V.P. Waist Circumference Cutoff Points and Action Levels for Asian Indians for Identification of Abdominal Obesity. Int. J. Obes. 2005 2006, 30, 106–111. [Google Scholar] [CrossRef]
- Nachit, M.; Kwanten, W.J.; Thissen, J.-P.; Op De Beeck, B.; Van Gaal, L.; Vonghia, L.; Verrijken, A.; Driessen, A.; Horsmans, Y.; Francque, S.; et al. Muscle Fat Content Is Strongly Associated with NASH: A Longitudinal Study in Patients with Morbid Obesity. J. Hepatol. 2021, 75, 292–301. [Google Scholar] [CrossRef]
- Newton, J.L.; Jones, D.E.J.; Henderson, E.; Kane, L.; Wilton, K.; Burt, A.D.; Day, C.P. Fatigue in Non-Alcoholic Fatty Liver Disease (NAFLD) Is Significant and Associates with Inactivity and Excessive Daytime Sleepiness but Not with Liver Disease Severity or Insulin Resistance. Gut 2008, 57, 807–813. [Google Scholar] [CrossRef]
- Maak, S.; Norheim, F.; Drevon, C.A.; Erickson, H.P. Progress and Challenges in the Biology of FNDC5 and Irisin. Endocr. Rev. 2021, 42, 436–456. [Google Scholar] [CrossRef]
- Moreno-Navarrete, J.M.; Ortega, F.; Serrano, M.; Guerra, E.; Pardo, G.; Tinahones, F.; Ricart, W.; Fernández-Real, J.M. Irisin Is Expressed and Produced by Human Muscle and Adipose Tissue in Association with Obesity and Insulin Resistance. J. Clin. Endocrinol. Metab. 2013, 98, E769–E778. [Google Scholar] [CrossRef]
- Sizoo, D.; de Heide, L.J.M.; Emous, M.; van Zutphen, T.; Navis, G.; van Beek, A.P. Measuring Muscle Mass and Strength in Obesity: A Review of Various Methods. Obes. Surg. 2021, 31, 384–393. [Google Scholar] [CrossRef]
- Mainous, A.G.; Rooks, B.J.; Medley, J.F.; Dickmann, S.B. Body Composition among Adults at a Healthy Body Mass Index and Association with Undetected Non-Alcoholic Fatty Liver. Int. J. Obes. 2022, 46, 1403–1405. [Google Scholar] [CrossRef] [PubMed]
- Ariya, M.; Koohpayeh, F.; Ghaemi, A.; Osati, S.; Davoodi, S.H.; Razzaz, J.M.; Javedan, G.; Ehrampoush, E.; Homayounfar, R. Assessment of the Association between Body Composition and Risk of Non-Alcoholic Fatty Liver. PLoS ONE 2021, 16, e0249223. [Google Scholar] [CrossRef] [PubMed]
- Zhang, Y.; Xiang, L.; Qi, F.; Cao, Y.; Zhang, W.; Lv, T.; Zhou, X. The Metabolic Profiles and Body Composition of Non-Obese Metabolic Associated Fatty Liver Disease. Front. Endocrinol. 2024, 15, 1322563. [Google Scholar] [CrossRef] [PubMed]
- Achamrah, N.; Colange, G.; Delay, J.; Rimbert, A.; Folope, V.; Petit, A.; Grigioni, S.; Déchelotte, P.; Coëffier, M. Comparison of Body Composition Assessment by DXA and BIA According to the Body Mass Index: A Retrospective Study on 3655 Measures. PLoS ONE 2018, 13, e0200465. [Google Scholar] [CrossRef] [PubMed]
- Vassilev, G.; Hasenberg, T.; Krammer, J.; Kienle, P.; Ronellenfitsch, U.; Otto, M. The Phase Angle of the Bioelectrical Impedance Analysis as Predictor of Post-Bariatric Weight Loss Outcome. Obes. Surg. 2017, 27, 665–669. [Google Scholar] [CrossRef]
- Yamada, Y.; Yoshida, T.; Murakami, H.; Kawakami, R.; Gando, Y.; Ohno, H.; Tanisawa, K.; Konishi, K.; Julien, T.; Kondo, E.; et al. Phase Angle Obtained via Bioelectrical Impedance Analysis and Objectively Measured Physical Activity or Exercise Habits. Sci. Rep. 2022, 12, 17274. [Google Scholar] [CrossRef]
- Otsuka, Y.; Yamada, Y.; Maeda, A.; Izumo, T.; Rogi, T.; Shibata, H.; Fukuda, M.; Arimitsu, T.; Miyamoto, N.; Hashimoto, T. Effects of Resistance Training Intensity on Muscle Quantity/Quality in Middle-Aged and Older People: A Randomized Controlled Trial. J. Cachexia Sarcopenia Muscle 2022, 13, 894–908. [Google Scholar] [CrossRef]
- Guerrini, A.; Siotto, M.; Germanotta, M.; Schirru, M.; Pavan, A.; Cipollini, V.; Insalaco, S.; Aprile, I. Body Cell Mass from Bioelectrical Impedance Analysis in Patients with Stroke Undergoing Rehabilitation. Appl. Sci. 2023, 13, 3965. [Google Scholar] [CrossRef]
- Moonen, H.P.F.X.; Van Zanten, A.R.H. Bioelectric Impedance Analysis for Body Composition Measurement and Other Potential Clinical Applications in Critical Illness. Curr. Opin. Crit. Care 2021, 27, 344–353. [Google Scholar] [CrossRef]
- Berzigotti, A.; Tsochatzis, E.; Boursier, J.; Castera, L.; Cazzagon, N.; Friedrich-Rust, M.; Petta, S.; Thiele, M. EASL Clinical Practice Guidelines on Non-Invasive Tests for Evaluation of Liver Disease Severity and Prognosis—2021 Update. J. Hepatol. 2021, 75, 659–689. [Google Scholar] [CrossRef]


| Parameter | Patients with MASLD and HTN (n = 78) | Normal Range | Patients Outside the Normal Range, n (%) |
|---|---|---|---|
| Gender: female, n (%) | 48 (61.5) | - | - |
| Age, years | 58 (51–65) | - | - |
| BMI, kg/m2 | 33.2 (30.1–36.8) | 18.5–24.99 | 76 (97.4) |
| Normal weight, n (%) | 2 (2.5) | ||
| Overweight (25 kg/m2 ≤ BMI < 30 kg/m2), n (%) | 18 (23) | ||
| Obesity (BMI ≥ 30 kg/m2), n (%) | 68 (74.5) | ||
| Waist circumference, cm | 107 (102–115) | ||
| Waist circumference (male), cm | 111 (106–117) | ≤94 cm | 30 (100) |
| Waist circumference (female), cm | 106 (100–112.7) | ≤80 cm | 48 (100) |
| Hip circumference, cm | 113 (109–119) | ||
| Waist circumference/hip circumference ratio, (male) | 1 (0.96–1) | ≤0.95 | 25 (83.4) |
| Waist circumference/hip circumference ratio, (female) | 0.9 (0.87–0.97) | ≤0.8 | 47 (97.9) |
| Platelets, 109/L; (normal range) | 251 (209–286.3) | 150–400 | 0 (0) |
| ALT, IU/L | 23 (15.8–38.5) | 0–34 | 9 (11.5) |
| AST, IU/L | 22 (18–26) | 0–34 | 6 (7.7) |
| GGT, IU/L | 31.5 (21–45.3) | 0–38 | 30 (38.5) |
| Total bilirubin, mg/dL | 0.5 (0.7–0.9) | 0.3–1.2 | 3 (3.8) |
| Glucose, mg/dL | 97.2 (104.4–109.8) | 73.9–106.3 | 30 (38.5) |
| Total cholesterol, mg/dL | 197.2 (224.3–239.7) | <193.3 | 61 (78.2) |
| HDL, mg/dL | 46.39 (57.99–65.72) | ||
| HDL (male), mg/dL | 46.4 (39.4–61.9) | >38.7 | 4 (13.4) |
| HDL (female), mg/dL | 59.2 (50.3–65.7) | >46.4 | 6 (12.5) |
| Triglycerides, mg/dL | 122.5 (87.5–175) | <150.5 | 28 (35.9) |
| Creatinine, mmol/L | 67.5 (74.0–89.0) | 51–98 | 6 (7.7) |
| Uric acid, µmol/L | 327.2 (362.9–416.4) | 154.7–356.9 | 33 (42.3) |
| Albumin, g/L; (normal range) | 45 (43.0–47.0) | 35–52 | 0 (0) |
| HOMA-IR > 2.7, n (%) | 47 (70.1) | 0.5–1.4 | - |
| FLI | 71 (85–93.5) | - | 4 (5.1) |
| FLI ≥ 30, n (%) | 74 (94.9) | ||
| FLI ≥ 60, n (%) | 64 (82.1) | ||
| Liver stiffness, kPa (pSWE) | 4.1 (5.4–6.4) | (<7) | 9 (11.5) |
| Parameter | Value |
|---|---|
| SMM, kg | 25.1 (20.5–35.9) |
| SMM (male), kg | 36.3 (32.9–37.9) |
| SMM (female), kg | 21.5 (19.6–24.1) |
| SMM/W (male), % | 33.7 (32.8–34.8) |
| SMM/W (female), % | 24.4 (22.5–26.9) |
| Lean mass, kg | 56 (48.4–71.5) |
| Lean mass (male), kg | 73.2 (68.7–76.6) |
| Lean mass (female), kg | 50.2 (47.4–54.0) |
| Fat mass, kg | 34.3 (27.8–40.7) |
| Fat mass (male), kg | 32.4 (25.6–36.8) |
| Fat mass (female), kg | 35.5 (28.7–45.7) |
| Percentage of body fat, % | 38.3 (31.5–43.4) |
| Percentage of body fat (male), % | 30.6 (28.9–33.4) |
| Percentage of body fat (female), % | 42.3 (38.5–46.2) |
| BCMP, % | 55.7 (52.4–58.7) |
| Phase angle | 6.5 (5.9–7.1) |
| Parameter | Value |
|---|---|
| SMM, kg | 44.7 (39–59.8) |
| SMM (male), kg | 61.5 (57.8–64.4) |
| SMM (female), kg | 39.6 (37.7–42.7) |
| ASMI, kg/m2 | 8.3 (7.6–9.5) |
| ASMI (male), kg/m2 | 9.9 (8.8–10.9) |
| ASMI (female), kg/m2 | 7.9 (7.3–8.4) |
| Fat mass, kg | 38 (33.2–44.4) |
| Fat mass (male), kg | 34.8 (30.2–41.3) |
| Fat mass (female), kg | 40.9 (34.5–48.5) |
| Percentage of body fat, % | 43.1 (36.2–47.8) |
| Percentage of body fat (male), % | 35.1 (31.1–36.7) |
| Percentage of body fat (female), % | 46.7 (43.5–50.4) |
| Visceral adipose tissue mass, kg | 2.1 (1.5–2.6) |
| Visceral adipose tissue mass (male), kg | 2.4 (2.2–2.9) |
| Visceral adipose tissue mass (female), kg | 1.7 (1.3–2.4) |
| Subcutaneous adipose tissue mass, kg | 2.3 (1.7–2.9) |
| Subcutaneous adipose tissue mass (male), kg | 1.7 (1.6–2.7) |
| Subcutaneous adipose tissue mass (female), kg | 2.6 (1.9–2.9) |
| ASMM, kg | 44.7 (39–59.8) |
| ASMM (male), kg | 32.1 (29.4–34.5) |
| ASMM (female), kg | 20.3 (19.3–22.3) |
| ASMM/W (male), % | 30.5 (29.1–31.9) |
| ASMM/W (female), % | 24.1 (22.6–25.1) |
| Parameters Measured by DEXA | |||||
|---|---|---|---|---|---|
| FM | %BF | SMM | ASMM/W | ||
| Parameters Measured by BIA | FM | 0.833 ** (m) 0.851 ** (f) | |||
| %BF | 0.482 ** (m)0.577 ** (f) | ||||
| SMM | 0.818 ** (m)0.533 ** (f) | ||||
| SMM/W | 0.609 ** (m)0.626 ** (f) | ||||
Disclaimer/Publisher’s Note: The statements, opinions and data contained in all publications are solely those of the individual author(s) and contributor(s) and not of MDPI and/or the editor(s). MDPI and/or the editor(s) disclaim responsibility for any injury to people or property resulting from any ideas, methods, instructions or products referred to in the content. |
© 2024 by the authors. Licensee MDPI, Basel, Switzerland. This article is an open access article distributed under the terms and conditions of the Creative Commons Attribution (CC BY) license (https://creativecommons.org/licenses/by/4.0/).
Share and Cite
Sheptulina, A.F.; Lyusina, E.O.; Mamutova, E.M.; Yafarova, A.A.; Kiselev, A.R.; Drapkina, O.M. Bioelectrical Impedance Analysis Demonstrates Reliable Agreement with Dual-Energy X-ray Absorptiometry in Identifying Reduced Skeletal Muscle Mass in Patients with Metabolic Dysfunction-Associated Steatotic Liver Disease and Hypertension. Diagnostics 2024, 14, 2301. https://doi.org/10.3390/diagnostics14202301
Sheptulina AF, Lyusina EO, Mamutova EM, Yafarova AA, Kiselev AR, Drapkina OM. Bioelectrical Impedance Analysis Demonstrates Reliable Agreement with Dual-Energy X-ray Absorptiometry in Identifying Reduced Skeletal Muscle Mass in Patients with Metabolic Dysfunction-Associated Steatotic Liver Disease and Hypertension. Diagnostics. 2024; 14(20):2301. https://doi.org/10.3390/diagnostics14202301
Chicago/Turabian StyleSheptulina, Anna F., Ekaterina O. Lyusina, Elvira M. Mamutova, Adel A. Yafarova, Anton R. Kiselev, and Oxana M. Drapkina. 2024. "Bioelectrical Impedance Analysis Demonstrates Reliable Agreement with Dual-Energy X-ray Absorptiometry in Identifying Reduced Skeletal Muscle Mass in Patients with Metabolic Dysfunction-Associated Steatotic Liver Disease and Hypertension" Diagnostics 14, no. 20: 2301. https://doi.org/10.3390/diagnostics14202301
APA StyleSheptulina, A. F., Lyusina, E. O., Mamutova, E. M., Yafarova, A. A., Kiselev, A. R., & Drapkina, O. M. (2024). Bioelectrical Impedance Analysis Demonstrates Reliable Agreement with Dual-Energy X-ray Absorptiometry in Identifying Reduced Skeletal Muscle Mass in Patients with Metabolic Dysfunction-Associated Steatotic Liver Disease and Hypertension. Diagnostics, 14(20), 2301. https://doi.org/10.3390/diagnostics14202301

