Hybrid Deep Learning Framework for Melanoma Diagnosis Using Dermoscopic Medical Images
Abstract
1. Introduction
- A novel AI-based framework is designed to obtain a precise and efficient melanoma diagnosis, covering a hybrid approach that integrates Inception-ResNet-v2 to extract the deep features and Vision Transformer for recognition.
- To improve the performance of the proposed framework for disease prediction, an automated system of segmentation is utilized through the U-Net architecture for inputting dermoscopic images and leveraging the advantage of residual connections of Inception-ResNet-v2 to achieve state-of-the-art results.
- The ablation study is carried out in a comprehensive way to evaluate the trustworthiness of the proposed model and to reflect the efficiency of each component within the proposed framework.
2. Related Work
3. Proposed Methodology
3.1. Dataset
3.2. Data Preprocessing
3.3. Data Splitting
3.4. Image Segmentation
3.5. Feature Extraction
3.6. The Proposed Classification Approach
3.7. Performance Evaluation
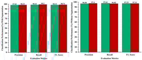
4. Experimental Results and Discussion
Ablation Studies
5. Conclusions and Future Work
Author Contributions
Funding
Institutional Review Board Statement
Informed Consent Statement
Data Availability Statement
Acknowledgments
Conflicts of Interest
Abbreviations
| AI | Artificial Intelligence |
| CAD | Computer-Aided Diagnosis |
| ML | Machine Learning |
| CNN | Convolutional Neural Network |
| ROI | Region of Interest |
| UV | Ultraviolet |
| FrCN | Full Resolution Convolutional Network |
| SL | Segmented Lesion |
References
- Gansler, T.; Ganz, P.A.; Grant, M.; Greene, F.L.; Johnstone, P.; Mahoney, M.; Newman, L.A.; Oh, W.K.; Thomas, C.R., Jr.; Thun, M.J. Sixty years of CA: A cancer journal for clinicians. CA A Cancer J. Clin. 2010, 60, 345–350. [Google Scholar] [CrossRef] [PubMed]
- Berman, R.; Davies, A.; Cooksley, T.; Gralla, R.; Carter, L.; Darlington, E.; Scotté, F.; Higham, C. Supportive care: An indispensable component of modern oncology. Clin. Oncol. 2020, 32, 781–788. [Google Scholar] [CrossRef] [PubMed]
- Holterhues, C.; De Vries, E.; Louwman, M.W.; Koljenović, S.; Nijsten, T. Incidence and trends of cutaneous malignancies in the Netherlands, 1989–2005. J. Investig. Dermatol. 2010, 130, 1807–1812. [Google Scholar] [CrossRef]
- Maddodi, N.; Setaluri, V. Role of UV in cutaneous melanoma. Photochem. Photobiol. 2008, 84, 528–536. [Google Scholar] [CrossRef]
- Kolarsick, P.A.; Kolarsick, M.A.; Goodwin, C. Anatomy and physiology of the skin. J. Dermatol. Nurses’ Assoc. 2011, 3, 203–213. [Google Scholar] [CrossRef]
- Arivazhagan, N.; Mukunthan, M.; Sundaranarayana, D.; Shankar, A.; Vinoth Kumar, S.; Kesavan, R.; Chandrasekaran, S.; Shyamala Devi, M.; Maithili, K.; Barakkath Nisha, U. Analysis of Skin Cancer and Patient Healthcare Using Data Mining Techniques. Comput. Intell. Neurosci. 2022, 2022, 2250275. [Google Scholar] [CrossRef]
- Kauvar, A.N.; Cronin, T., Jr.; Roenigk, R.; Hruza, G.; Bennett, R. Consensus for nonmelanoma skin cancer treatment: Basal cell carcinoma, including a cost analysis of treatment methods. Dermatol. Surg. 2015, 41, 550–571. [Google Scholar] [CrossRef]
- Zaidi, Z.; Lanigan, S.W. Dermatology in Clinical Practice; Springer Science & Business Media: Berlin/Heidelberg, Germany, 2010. [Google Scholar]
- Costin, G.-E.; Hearing, V.J. Human skin pigmentation: Melanocytes modulate skin color in response to stress. FASEB J. 2007, 21, 976–994. [Google Scholar] [CrossRef] [PubMed]
- Mayer, J. Systematic review of the diagnostic accuracy of dermatoscopy in detecting malignant melanoma. Med. J. Aust. 1997, 167, 206–210. [Google Scholar] [CrossRef]
- Ulrich, J.; Van Akkooi, A.J.; Eggermont, A.M.; Voit, C. New developments in melanoma: Utility of ultrasound imaging (initial staging, follow-up and pre-SLNB). Expert Rev. Anticancer Ther. 2011, 11, 1693–1701. [Google Scholar] [CrossRef]
- Rajabi-Estarabadi, A.; Bittar, J.M.; Zheng, C.; Nascimento, V.; Camacho, I.; Feun, L.G.; Nasiriavanaki, M.; Kunz, M.; Nouri, K. Optical coherence tomography imaging of melanoma skin cancer. Lasers Med. Sci. 2019, 34, 411–420. [Google Scholar] [CrossRef] [PubMed]
- Waddell, A.; Star, P.; Guitera, P. Advances in the use of reflectance confocal microscopy in melanoma. Melanoma Manag. 2018, 5, MMT04. [Google Scholar] [CrossRef] [PubMed]
- Huang, H.-Y.; Hsiao, Y.-P.; Mukundan, A.; Tsao, Y.-M.; Chang, W.-Y.; Wang, H.-C. Classification of skin cancer using novel hyperspectral imaging engineering via YOLOv5. J. Clin. Med. 2023, 12, 1134. [Google Scholar] [CrossRef] [PubMed]
- Huang, H.-Y.; Hsiao, Y.-P.; Karmakar, R.; Mukundan, A.; Chaudhary, P.; Hsieh, S.-C.; Wang, H.-C. A Review of Recent Advances in Computer-Aided Detection Methods Using Hyperspectral Imaging Engineering to Detect Skin Cancer. Cancers 2023, 15, 5634. [Google Scholar] [CrossRef] [PubMed]
- Nachbar, F.; Stolz, W.; Merkle, T.; Cognetta, A.B.; Vogt, T.; Landthaler, M.; Bilek, P.; Braun-Falco, O.; Plewig, G. The ABCD rule of dermatoscopy: High prospective value in the diagnosis of doubtful melanocytic skin lesions. J. Am. Acad. Dermatol. 1994, 30, 551–559. [Google Scholar] [CrossRef]
- Codella, N.; Cai, J.; Abedini, M.; Garnavi, R.; Halpern, A.; Smith, J.R. Deep learning, sparse coding, and SVM for melanoma recognition in dermoscopy images. In International Workshop on Machine Learning in Medical Imaging; Springer: Berlin/Heidelberg, Germany, 2015; pp. 118–126. [Google Scholar]
- Barata, C.; Ruela, M.; Francisco, M.; Mendonça, T.; Marques, J.S. Two systems for the detection of melanomas in dermoscopy images using texture and color features. IEEE Syst. J. 2013, 8, 965–979. [Google Scholar] [CrossRef]
- Alcón, J.F.; Ciuhu, C.; Ten Kate, W.; Heinrich, A.; Uzunbajakava, N.; Krekels, G.; Siem, D.; de Haan, G. Automatic imaging system with decision support for inspection of pigmented skin lesions and melanoma diagnosis. IEEE J. Sel. Top. Signal Process. 2009, 3, 14–25. [Google Scholar] [CrossRef]
- Torres, M.É.L.M.; Brandão-Costa, R.M.P.; de Oliveira Santos, J.V.; Cavalcanti, I.M.F.; da Silva, M.M.; Nascimento, T.P.; de Oliveira Nascimento, C.; Porto, A.L.F. DdeL, a novel thermostable lectin from Dypsis decaryi seeds: Biological properties. Process Biochem. 2019, 86, 169–176. [Google Scholar] [CrossRef]
- Mahboubisarighieh, A.; Shahverdi, H.; Jafarpoor Nesheli, S.; Alipoor Kermani, M.; Niknam, M.; Torkashvand, M.; Rezaeijo, S.M. Assessing the efficacy of 3D Dual-CycleGAN model for multi-contrast MRI synthesis. Egypt. J. Radiol. Nucl. Med. 2024, 55, 1–12. [Google Scholar] [CrossRef]
- Bijari, S.; Sayfollahi, S.; Mardokh-Rouhani, S.; Bijari, S.; Moradian, S.; Zahiri, Z.; Rezaeijo, S.M. Radiomics and deep features: Robust classification of brain hemorrhages and reproducibility analysis using a 3D autoencoder neural network. Bioengineering 2024, 11, 643. [Google Scholar] [CrossRef]
- Al-Masni, M.A.; Al-Antari, M.A.; Choi, M.-T.; Han, S.-M.; Kim, T.-S. Skin lesion segmentation in dermoscopy images via deep full resolution convolutional networks. Comput. Methods Programs Biomed. 2018, 162, 221–231. [Google Scholar] [CrossRef]
- Cesinaro, A.M.; Foroni, M.; Sighinolfi, P.; Migaldi, M.; Trentini, G.P. Spitz nevus is relatively frequent in adults: A clinico-pathologic study of 247 cases related to patient’s age. Am. J. Dermatopathol. 2005, 27, 469–475. [Google Scholar] [CrossRef] [PubMed]
- Heibel, H.D.; Hooey, L.; Cockerell, C.J. A review of noninvasive techniques for skin cancer detection in dermatology. Am. J. Clin. Dermatol. 2020, 21, 513–524. [Google Scholar] [CrossRef]
- Maiti, A.; Chatterjee, B.; Ashour, A.S.; Dey, N. Computer-Aided Diagnosis of Melanoma: A Review of Existing Knowledge and Strategies. Curr. Med. Imaging 2020, 16, 835–854. [Google Scholar] [CrossRef]
- Jain, S.; Pise, N. Computer aided melanoma skin cancer detection using image processing. Procedia Comput. Sci. 2015, 48, 735–740. [Google Scholar] [CrossRef]
- Goyal, M.; Hassanpour, S.; Yap, M.H. Region of interest detection in dermoscopic images for natural data-augmentation. arXiv 2018, arXiv:1807.10711. [Google Scholar]
- Javed, R.; Saba, T.; Shafry, M.; Rahim, M. An intelligent saliency segmentation technique and classification of low contrast skin lesion dermoscopic images based on histogram decision. In Proceedings of the 2019 12th International Conference on Developments in eSystems Engineering (DeSE), Kazan, Russia, 7–10 October 2019; pp. 164–169. [Google Scholar]
- Zhou, Z.; Rahman Siddiquee, M.M.; Tajbakhsh, N.; Liang, J. Unet++: A nested u-net architecture for medical image segmentation. In Deep Learning in Medical Image Analysis and Multimodal Learning for Clinical Decision Support; Springer: Berlin/Heidelberg, Germany, 2018; pp. 3–11. [Google Scholar]
- Smith, L.N. A disciplined approach to neural network hyper-parameters: Part 1--learning rate, batch size, momentum, and weight decay. arXiv 2018, arXiv:1803.09820. [Google Scholar]
- Bock, S.; Goppold, J.; Weiß, M. An improvement of the convergence proof of the ADAM-Optimizer. arXiv 2018, arXiv:1804.10587. [Google Scholar]
- Hayou, S.; Doucet, A.; Rousseau, J. On the impact of the activation function on deep neural networks training. In Proceedings of the International Conference on Machine Learning, Long Beach, CA, USA, 9–15 June 2019; pp. 2672–2680. [Google Scholar]
- Szegedy, C.; Ioffe, S.; Vanhoucke, V.; Alemi, A. Inception-v4, inception-resnet and the impact of residual connections on learning. In Proceedings of the AAAI Conference on Artificial Intelligence, San Francisco, CA, USA, 4–9 February 2017. [Google Scholar]
- Ukwuoma, C.C.; Qin, Z.; Heyat, M.B.B.; Akhtar, F.; Bamisile, O.; Muaad, A.Y.; Addo, D.; Al-Antari, M.A. A hybrid explainable ensemble transformer encoder for pneumonia identification from chest X-ray images. J. Adv. Res. 2023, 48, 191–211. [Google Scholar] [CrossRef]
- Ukwuoma, C.C.; Cai, D.; Heyat, M.B.B.; Bamisile, O.; Adun, H.; Al-Huda, Z.; Al-Antari, M.A. Deep learning framework for rapid and accurate respiratory COVID-19 prediction using chest X-ray images. J. King Saud Univ. Comput. Inf. Sci. 2023, 35, 101596. [Google Scholar] [CrossRef]
- Umamaheswari, T.; Sumathi, P. Enhanced firefly algorithm (EFA) based gene selection and adaptive neuro neutrosophic inference system (ANNIS) prediction model for detection of circulating tumor cells (CTCs) in breast cancer analysis. Clust. Comput. 2019, 22, 14035–14047. [Google Scholar] [CrossRef]
- Annamaa, A. Introducing Thonny, a Python IDE for learning programming. In Proceedings of the 15th Koli Calling Conference on Computing Education Research, Koli, Finland, 19 November 2015; pp. 117–121. [Google Scholar]
- Visa, S.; Ramsay, B.; Ralescu, A.L.; Van Der Knaap, E. Confusion matrix-based feature selection. Maics 2011, 710, 120–127. [Google Scholar]
- Kassem, M.A.; Hosny, K.M.; Fouad, M.M. Skin lesions classification into eight classes for ISIC 2019 using deep convolutional neural network and transfer learning. IEEE Access 2020, 8, 114822–114832. [Google Scholar] [CrossRef]
- Mousannif, H.; Asri, H.; Mansoura, M.; Mourahhib, A.; Isaouy, Y.; Marmouchi, M. Skin Cancer Prediction and Diagnosis Using Convolutional Neural Network (CNN) Deep Learning Algorithm. In Proceedings of the Third International Conference on Smart City Applications, Paris, France, 4–6 October 2020; pp. 558–567. [Google Scholar]
- Coronado-Gutiérrez, D.; López, C.; Burgos-Artizzu, X.P. Skin cancer high-risk patient screening from dermoscopic images via Artificial Intelligence: An online study. Medrxiv 2021. [Google Scholar]
- Duggani, K.; Nath, M.K. A technical review report on deep learning approach for skin cancer detection and segmentation. Data Anal. Manag. 2021, 54, 87–99. [Google Scholar]
- Imran, A.; Nasir, A.; Bilal, M.; Sun, G.; Alzahrani, A.; Almuhaimeed, A. Skin Cancer detection using Combined Decision of Deep Learners. IEEE Access 2022, 10, 118198–118212. [Google Scholar] [CrossRef]
- Gouda, W.; Sama, N.U.; Al-Waakid, G.; Humayun, M.; Jhanjhi, N.Z. Detection of Skin Cancer Based on Skin Lesion Images Using Deep Learning. Healthcare 2022, 10, 1183. [Google Scholar] [CrossRef] [PubMed]
- Patel, R.H.; Foltz, E.A.; Witkowski, A.; Ludzik, J. Analysis of Artificial Intelligence-Based Approaches Applied to Non-Invasive Imaging for Early Detection of Melanoma: A Systematic Review. Cancers 2023, 15, 4694. [Google Scholar] [CrossRef]
- Tembhurne, J.V.; Hebbar, N.; Patil, H.Y.; Diwan, T. Skin cancer detection using ensemble of machine learning and deep learning techniques. Multimed. Tools Appl. 2023, 82, 27501–27524. [Google Scholar] [CrossRef]
- Singh, S.K.; Abolghasemi, V.; Anisi, M.H. Fuzzy logic with deep learning for detection of skin cancer. Appl. Sci. 2023, 13, 8927. [Google Scholar] [CrossRef]
- Rahman, M.A.; Bazgir, E.; Hossain, S.S.; Maniruzzaman, M. Skin cancer classification using NASNet. Int. J. Sci. Res. Arch. 2024, 11, 775–785. [Google Scholar] [CrossRef]
- Gamage, L.; Isuranga, U.; Meedeniya, D.; De Silva, S.; Yogarajah, P. Melanoma Skin Cancer Identification with Explainability Utilizing Mask Guided Technique. Electronics 2024, 13, 680. [Google Scholar] [CrossRef]
- Din, S.; Mourad, O.; Serpedin, E. LSCS-Net: A lightweight skin cancer segmentation network with densely connected multi-rate atrous convolution. Comput. Biol. Med. 2024, 173, 108303. [Google Scholar] [CrossRef] [PubMed]
- Tschandl, P.; Rosendahl, C.; Kittler, H. The HAM10000 dataset, a large collection of multi-source dermatoscopic images of common pigmented skin lesions. Sci. Data 2018, 5, 1–9. [Google Scholar] [CrossRef] [PubMed]











| Cases | Actual | Predicted |
|---|---|---|
| TN | Negative | Negative |
| TP | Positive | Positive |
| FN | Positive | Negative |
| FP | Negative | Positive |
| Year | Authors | Method/Approach | Accuracy (%) |
|---|---|---|---|
| 2018 | Al-Masni, et al. [23] | Skin lesion segmentation via deep full resolution convolutional networks | 90.78 |
| 2020 | Kassem, et al. [40] | Deep convolution neural network and transfer learning | 94.92 |
| 2020 | Mousannif, et al. [41] | Convolutional neural networks | 86 |
| 2021 | D. Coronado-Gutiérrez, et al. [42] | DCNN model | 85.9 |
| 2021 | K. Duggani and M. K. Nath [43] | Deep convolution neural network (DCNN) and you only look once (YOLO) | 97.49 |
| 2022 | A. Imran, et al. [44] | VGG, CapsNet, and ResNet | 93.5 |
| 2022 | W. Gouda, et al. [45] | Resnet50, InceptionV3, and Inception Resnet | 85.7 |
| 2023 | Patel et al. [46] | CNN | 95 |
| 2023 | Tembhurne [47] | CNN & Contourlet Transform and Local Binary Pattern Histogram | 93 |
| 2023 | Singh et al. [48] | YOLO, L-Fuzzy Logic | 98 |
| 2024 | Rahman et al. [49] | NASNet model | 86.73 |
| 2024 | Gamage et al. [50] | CNN, Resnet50, VGG16, Xception and transfer learning | 98.37 |
| 2024 | Din et al. [51] | LSCS-Net, U-Net | 98.62 |
| Proposed Work | U-Net architecture, Inception-ResNet-v2, Vision Transformer | 98.65 | |
Disclaimer/Publisher’s Note: The statements, opinions and data contained in all publications are solely those of the individual author(s) and contributor(s) and not of MDPI and/or the editor(s). MDPI and/or the editor(s) disclaim responsibility for any injury to people or property resulting from any ideas, methods, instructions or products referred to in the content. |
© 2024 by the authors. Licensee MDPI, Basel, Switzerland. This article is an open access article distributed under the terms and conditions of the Creative Commons Attribution (CC BY) license (https://creativecommons.org/licenses/by/4.0/).
Share and Cite
Mateen, M.; Hayat, S.; Arshad, F.; Gu, Y.-H.; Al-antari, M.A. Hybrid Deep Learning Framework for Melanoma Diagnosis Using Dermoscopic Medical Images. Diagnostics 2024, 14, 2242. https://doi.org/10.3390/diagnostics14192242
Mateen M, Hayat S, Arshad F, Gu Y-H, Al-antari MA. Hybrid Deep Learning Framework for Melanoma Diagnosis Using Dermoscopic Medical Images. Diagnostics. 2024; 14(19):2242. https://doi.org/10.3390/diagnostics14192242
Chicago/Turabian StyleMateen, Muhammad, Shaukat Hayat, Fizzah Arshad, Yeong-Hyeon Gu, and Mugahed A. Al-antari. 2024. "Hybrid Deep Learning Framework for Melanoma Diagnosis Using Dermoscopic Medical Images" Diagnostics 14, no. 19: 2242. https://doi.org/10.3390/diagnostics14192242
APA StyleMateen, M., Hayat, S., Arshad, F., Gu, Y.-H., & Al-antari, M. A. (2024). Hybrid Deep Learning Framework for Melanoma Diagnosis Using Dermoscopic Medical Images. Diagnostics, 14(19), 2242. https://doi.org/10.3390/diagnostics14192242

