The Association of Neuroendocrine Differentiation with MicroRNA 21 and MicroRNA let7f Expression and the Clinicopathological Parameters in Primary Invasive Breast Carcinomas with Neuroendocrine Features
Abstract
1. Introduction
2. Materials and Methods
2.1. Case Selection
2.2. Method
2.3. Statistical Analysis
3. Results
4. Discussion
Author Contributions
Funding
Institutional Review Board Statement
Informed Consent Statement
Data Availability Statement
Conflicts of Interest
References
- Board WCoTE. WHO Classification of Tumours of the Breast; IARC Press: Lyon, France, 2019. [Google Scholar]
- Makretsov, N.; Gilks, C.B.; Coldman, A.J.; Hayes, M.; Huntsman, D. Tissue microarray analysis of neuroendocrine differentiation and its prognostic significance in breast cancer. Hum. Pathol. 2003, 34, 1001–1008. [Google Scholar] [CrossRef] [PubMed]
- van Krimpen, C.; Elferink, A.; Broodman, C.A.; Hop, W.C.; Pronk, A.; Menke, M. The prognostic influence of neuroendocrine differentiation in breast cancer: Results of a long-term follow-up study. Breast 2004, 13, 329–333. [Google Scholar] [CrossRef] [PubMed]
- Lopez-Bonet, E.; Alonso-Ruano, M.; Barraza, G.; Vazquez-Martin, A.; Bernado, L.; Menendez, J.A. Solid neuroendocrine breast carcinomas: Incidence, clinico-pathological features and immunohistochemical profiling. Oncol. Rep. 2008, 20, 1369–1374. [Google Scholar] [PubMed]
- Wei, B.; Ding, T.; Xing, Y.; Wei, W.; Tian, Z.; Tang, F.; Abraham, S.; Nayeemuddin, K.; Hunt, K.; Wu, Y. Invasive neuroendocrine carcinoma of the breast: A distinctive subtype of aggressive mammary carcinoma. Cancer 2010, 116, 4463–4473. [Google Scholar] [CrossRef]
- Tang, F.; Wei, B.; Tian, Z.; Gilcrease, M.Z.; Huo, L.; Albarracin, C.T.; Resetkova, E.; Zhang, H.; Sahin, A.; Chen, J.; et al. Invasive mammary carcinoma with neuroendocrine differentiation: Histological features and diagnostic challenges. Histopathology 2011, 59, 106–115. [Google Scholar] [CrossRef]
- Wang, J.; Wei, B.; Albarracin, C.T.; Hu, J.; Abraham, S.C.; Wu, Y. Invasive neuroendocrine carcinoma of the breast: A population-based study from the surveillance, epidemiology and end results (SEER) database. BMC Cancer 2014, 14, 147. [Google Scholar] [CrossRef]
- Uccella, S. The classification of neuroendocrine neoplasms of the breast and its clinical relevance. Virchows Arch. 2022, 481, 3–12. [Google Scholar] [CrossRef] [PubMed]
- Yang, L.; Lin, H.; Shen, Y.; Roy, M.; Albarracin, C.; Ding, Q.; Huo, L.; Chen, H.; Wei, B.; Bu, H.; et al. Clinical outcome and therapeutic impact on neuroendocrine neoplasms of the breast: A national cancer database study. Breast Cancer Res. Treat. 2023, 202, 23–32. [Google Scholar] [CrossRef]
- Lai, B.S.-W.; Tsang, J.Y.; Poon, I.K.; Shao, Y.; Chan, S.-K.; Tam, F.K.; Cheung, S.-Y.; Shea, K.-H.; Tse, G.M. The Clinical Significance of Neuroendocrine Features in Invasive Breast Carcinomas. Oncologist 2020, 25, e1318–e1329. [Google Scholar] [CrossRef]
- Chai, Y.; Liu, M.; Li, Z.; Chen, Y.; Qi, F.; Li, Q.; Xu, B. Retrospective literature review of primary neuroendocrine neoplasms of the breast (BNEN) in 209 Chinese patients: Treatment and prognostic factor analysis. Breast 2022, 62, 93–102. [Google Scholar] [CrossRef]
- Inno, A.; Bogina, G.; Turazza, M.; Bortesi, L.; Duranti, S.; Massocco, A.; Zamboni, G.; Carbognin, G.; Alongi, F.; Salgarello, M.; et al. Neuroendocrine Carcinoma of the Breast: Current Evidence and Future Perspectives. Oncologist 2016, 21, 28–32. [Google Scholar] [CrossRef] [PubMed]
- Irelli, A.; Sirufo, M.M.; Morelli, L.; D’Ugo, C.; Ginaldi, L.; De Martinis, M. Neuroendocrine Cancer of the Breast: A Rare Entity. J. Clin. Med. 2020, 9, 1452. [Google Scholar] [CrossRef] [PubMed]
- Geisler, L.; Mohr, R.; Lambrecht, J.; Knorr, J.; Jann, H.; Loosen, S.H.; Özdirik, B.; Luedde, T.; Hammerich, L.; Tacke, F.; et al. The Role of miRNA in the Pathophysiology of Neuroendocrine Tumors. Int. J. Mol. Sci. 2021, 22, 8569. [Google Scholar] [CrossRef] [PubMed]
- Bail, S.; Swerdel, M.; Liu, H.; Jiao, X.; Goff, L.A.; Hart, R.P.; Kiledjian, M. Differential regulation of microRNA stability. RNA 2010, 16, 1032–1039. [Google Scholar] [CrossRef]
- Gurtan, A.M.; Sharp, P.A. The role of miRNAs in regulating gene expression networks. J. Mol. Biol. 2013, 425, 3582–3600. [Google Scholar] [CrossRef]
- Lee, H.J. Exceptional stories of microRNAs. Exp. Biol. Med. 2013, 238, 339–343. [Google Scholar] [CrossRef]
- Calin, G.A.; Sevignani, C.; Dumitru, C.D.; Hyslop, T.; Noch, E.; Yendamuri, S.; Shimizu, M.; Rattan, S.; Bullrich, F.; Negrini, M.; et al. Human microRNA genes are frequently located at fragile sites and genomic regions involved in cancers. Proc. Natl. Acad. Sci. USA 2004, 101, 2999–3004. [Google Scholar] [CrossRef]
- Gordanpour, A.; Nam, R.K.; Sugar, L.; Seth, A. MicroRNAs in prostate cancer: From biomarkers to molecularly-based therapeutics. Prostate Cancer Prostatic Dis. 2012, 15, 314–319. [Google Scholar] [CrossRef]
- Sales, A.C.V.; da Silva, I.I.F.G.; Leite, M.C.; Coutinho, L.L.; Reis, R.B.; Castoldi, A.; Martins, D.B.; Lima-Filho, J.L.; Souto, F.O. Mirna21 Expression in the Breast Cancer Tumor Tissue is Independent of Neoadjuvant Chemotherapy. Breast Cancer 2020, 12, 141–151. [Google Scholar] [CrossRef]
- Okumura, S.; Hirano, Y.; Komatsu, Y. Inhibition of breast cancer cell proliferation with anti-microRNA oligonucleotides flanked by interstrand cross-linked duplexes. Nucleosides Nucleotides Nucleic Acids 2020, 39, 225–235. [Google Scholar] [CrossRef]
- Du, Y.; Zhou, L.; Lin, Y.; Yin, K.; Yin, W.; Lu, J. Polymorphisms in microRNA let-7 binding sites of the HIF1AN and CLDN12 genes can predict pathologic complete response to taxane- and platinum-based neoadjuvant chemotherapy in breast cancer. Ann. Transl. Med. 2019, 7, 138. [Google Scholar] [CrossRef] [PubMed]
- Døssing, K.B.V.; Binderup, T.; Kaczkowski, B.; Jacobsen, A.; Rossing, M.; Winther, O.; Federspiel, B.; Knigge, U.; Kjær, A.; Friis-Hansen, L. Down-Regulation of miR-129-5p and the let-7 Family in Neuroendocrine Tumors and Metastases Leads to Up-Regulation of Their Targets Egr1, G3bp1, Hmga2 and Bach1. Genes 2014, 6, 1–21. [Google Scholar] [CrossRef] [PubMed]
- Døssing, K.B.V.; Kjær, C.; Vikeså, J.; Binderup, T.; Knigge, U.; Culler, M.D.; Kjær, A.; Federspiel, B.; Friis-Hansen, L. Somatostatin Analogue Treatment Primarily Induce miRNA Expression Changes and Up-Regulates Growth Inhibitory miR-7 and miR-148a in Neuroendocrine Cells. Genes 2018, 9, 337. [Google Scholar] [CrossRef] [PubMed]
- Lorio, A.K. Transfer dependent. Rehab Manag. 2005, 18, 22–26. [Google Scholar]
- Elghoroury, E.A.; ElDine, H.G.; Kamel, S.A.; Abdelrahman, A.H.; Mohammed, A.; Kamel, M.M.; Ibrahim, M.H. Evaluation of miRNA-21 and miRNA Let-7 as Prognostic Markers in Patients With Breast Cancer. Clin. Breast Cancer. 2018, 18, e721–e726. [Google Scholar] [CrossRef]
- Anwar, S.L.; Sari, D.N.I.; Kartika, A.I.; Fitria, M.S.; Tanjung, D.S.; Rakhmina, D.; Wardana, T.; Astuti, I.; Haryana, S.M.; Aryandono, T. Upregulation of Circulating MiR-21 Expression as a Potential Biomarker for Therapeutic Monitoring and Clinical Outcome in Breast Cancer. Asian Pac. J. Cancer Prev. 2019, 20, 1223–1228. [Google Scholar] [CrossRef]
- Li, S.; Yang, X.; Yang, J.; Zhen, J.; Zhang, D. Serum microRNA-21 as a potential diagnostic biomarker for breast cancer: A systematic review and meta-analysis. Clin. Exp. Med. 2016, 16, 29–35. [Google Scholar] [CrossRef]
- Heneghan, H.M.; Miller, N.; Lowery, A.J.; Sweeney, K.J.; Newell, J.; Kerin, M.J. Circulating microRNAs as novel minimally invasive biomarkers for breast cancer. Ann. Surg. 2010, 251, 499–505. [Google Scholar] [CrossRef]
- Baylie, T.; Kasaw, M.; Getinet, M.; Getie, G.; Jemal, M.; Nigatu, A.; Ahmed, H.; Bogale, M. The role of miRNAs as biomarkers in breast cancer. Front. Oncol. 2024, 15, 1374821. [Google Scholar] [CrossRef]
- Zhu, S.; Wu, H.; Wu, F.; Nie, D.; Sheng, S.; Mo, Y.Y. MicroRNA-21 targets tumor suppressor genes in invasion and metastasis. Cell Res. 2008, 18, 350–359. [Google Scholar] [CrossRef]
- Feng, Y.H.; Tsao, C.J. Emerging role of microRNA-21 in cancer. Biomed. Rep. 2016, 5, 395–402. [Google Scholar] [CrossRef] [PubMed]
- Iorio, M.V.; Ferracin, M.; Liu, C.-G.; Veronese, A.; Spizzo, R.; Sabbioni, S.; Magri, E.; Pedriali, M.; Fabbri, M.; Campiglio, M.; et al. MicroRNA gene expression deregulation in human breast cancer. Cancer Res. 2005, 65, 7065–7070. [Google Scholar] [CrossRef] [PubMed]
- Bevere, M.; Masetto, F.; Carazzolo, M.E.; Bettega, A.; Gkountakos, A.; Scarpa, A.; Simbolo, M. An Overview of Circulating Biomarkers in Neuroendocrine Neoplasms: A Clinical Guide. Diagnostics 2023, 13, 2820. [Google Scholar] [CrossRef] [PubMed]
- Komarnicki, P.; Musiałkiewicz, J.; Stańska, A.; Maciejewski, A.; Gut, P.; Mastorakos, G.; Ruchała, M. Circulating Neuroendocrine Tumor Biomarkers: Past, Present and Future. J. Clin. Med. 2022, 11, 5542. [Google Scholar] [CrossRef] [PubMed]
- Lee, H.W.; Lee, E.H.; Ha, S.Y.; Lee, C.H.; Chang, H.K.; Chang, S.; Kwon, K.Y.; Hwang, I.S.; Roh, M.S.; Seo, J.W. Altered expression of microRNA miR-21, miR-155, and let-7a and their roles in pulmonary neuroendocrine tumors. Pathol. Int. 2012, 62, 583–591. [Google Scholar] [CrossRef]
- Pennelli, G.; Galuppini, F.; Barollo, S.; Cavedon, E.; Bertazza, L.; Fassan, M.; Guzzardo, V.; Pelizzo, M.R.; Rugge, M.; Mian, C. The PDCD4/miR-21 pathway in medullary thyroid carcinoma. Hum. Pathol. 2015, 46, 50–57. [Google Scholar] [CrossRef]
- Thammaiah, C.K.; Jayaram, S. Role of let-7 family microRNA in breast cancer. Noncoding RNA Res. 2016, 1, 77–82. [Google Scholar] [CrossRef]
- Yan, Y.; Zhang, F.; Fan, Q.; Li, X.; Zhou, K. Breast cancer-specific TRAIL expression mediated by miRNA response elements of let-7 and miR-122. Neoplasma 2014, 61, 672–679. [Google Scholar] [CrossRef]
- Yu, F.; Yao, H.; Zhu, P.; Zhang, X.; Pan, Q.; Gong, C.; Huang, Y.; Hu, X.; Su, F.; Lieberman, J.; et al. let-7 regulates self renewal and tumorigenicity of breast cancer cells. Cell 2007, 131, 1109–1123. [Google Scholar] [CrossRef]
- Sakurai, M.; Miki, Y.; Masuda, M.; Hata, S.; Shibahara, Y.; Hirakawa, H.; Suzuki, T.; Sasano, H. LIN28: A regulator of tumor-suppressing activity of let-7 microRNA in human breast cancer. J. Steroid Biochem. Mol. Biol. 2012, 131, 101–106. [Google Scholar] [CrossRef]
- Zhang, W.T.; Zhang, G.X.; Gao, S.S. The Potential Diagnostic Accuracy of Let-7 Family for Cancer: A Meta-Analysis. Technol. Cancer Res. Treat. 2021, 20, 15330338211033061. [Google Scholar] [CrossRef]
- Rahman, M.M.; Qian, Z.R.; Wang, E.L.; Sultana, R.; Kudo, E.; Nakasono, M.; Hayashi, T.; Kakiuchi, S.; Sano, T. Frequent overexpression of HMGA1 and 2 in gastroenteropancreatic neuroendocrine tumours and its relationship to let-7 downregulation. Br. J. Cancer 2009, 100, 501–510. [Google Scholar] [CrossRef] [PubMed]
- Fadare, O.; Tavassoli, F.A. The phenotypic spectrum of basal-like breast cancers: A critical appraisal. Adv. Anat. Pathol. 2007, 14, 358–373. [Google Scholar] [CrossRef] [PubMed]
- Tang, P.; Skinner, K.A.; Hicks, D.G. Molecular classification of breast carcinomas by immunohistochemical analysis: Are we ready? Diagn. Mol. Pathol. 2009, 18, 125–132. [Google Scholar] [CrossRef] [PubMed]
- Lee, J.A.; Lee, H.Y.; Lee, E.S.; Kim, I.; Bae, J.W. Prognostic Implications of MicroRNA-21 Overexpression in Invasive Ductal Carcinomas of the Breast. J. Breast Cancer 2011, 14, 269–275. [Google Scholar] [CrossRef]
- Yadav, P.; Mirza, M.; Nandi, K.; Jain, S.K.; Kaza, R.C.M.; Khurana, N.; Ray, P.C.; Saxena, A. Serum microRNA-21 expression as a prognostic and therapeutic biomarker for breast cancer patients. Tumour Biol. 2016, 37, 15275–15282. [Google Scholar] [CrossRef]



| Group 1 (n = 15) | Group 2 (n = 14) | Group 3 (n = 30) | |
|---|---|---|---|
| Age | O: 69.67 ± 11.78 | O: 58.71 ± 12.73 | O: 54.20 ± 15.73 |
| (47–87) | (40–79) | (23–83) | |
| Tumor Size (cm) | Mean: 2.13 ± 0.95 | Mean: 2.56 ± 0.74 | Mean: 2.44 ± 0.85 |
| (0.5–4.5) | (1.5–4.00) | (1.2–5.00) | |
| Ki-67 Percentage (%) | Mean: 14.87 ± 8.63 | Mean: 34.36 ± 16.82 | Mean: 24.54 ± 13.17 |
| (2–30) | (11–70) | (10–60) | |
| Lymph Node Metastasis | Absent: 60% (n = 9) | Absent: 28.6% (n = 4) | Absent: 50% (n = 15) |
| Present: 40% (n = 6) | Present: 71.4% (n = 10) | Present: 50% (n = 15) | |
| Nuclear Grade | 1: 6.7% (n = 1) | 1: 0% | 1: 0% |
| 2: 86.7% (n = 13) | 2: 42.9% (n = 6) | 2: 70% (n = 21) | |
| 3: 6.7% (n = 1) | 3: 57.1% (n = 8) | 3: 30% (n = 9) | |
| Histological Grade | 1: 6.7% (n = 1) | 1: 0% | 1: 3.3% (n = 1) |
| 2: 93.3% (n = 14) | 2: 57.1% (n = 8) | 2: 70% (n = 21) | |
| 3: 0% | 3: 42.9% (n = 6) | 3: 26.7% (n = 8) | |
| Angiolymphatic Invasion | Absent: 60% (n = 9) | Absent: 21.4% (n = 3) | Absent: 46.7% (n = 14) |
| Present: 40% (n = 6) | Present: 78.6% (n = 11) | Present: 53.3% (n = 16) | |
| Perineural Invasion | Absent: 100% (n = 15) | Absent: 78.6% (n = 11) | Absent: 83.3% (n = 25) |
| Present: 0% | Present: 21.4% (n = 3) | Present: 16.7% (n = 5) | |
| In Situ Component | Absent: 20% (n = 3) | Absent: 7.1% (n = 1) | Absent: 20% (n = 6) |
| Present: 80% (n = 12) | Present: 92.9% (n = 13) | Present: 80% (n = 24) | |
| Microcalcification | Absent: 53.3% (n = 8) | Absent: 50% (n = 7) | Absent: 50% (n = 15) |
| Present: 46.7% (n = 7) | Present: 50% (n = 7) | Present: 50% (n = 15) | |
| Molecular Subtype | Lum A: 66.7% (n = 10) | Lum A: 21.4% (n = 3) | Lum A: 46.7% (n = 14) |
| Lum B: 33.3% (n = 5) | Lum B: 78.6% (n = 11) | Lum B: 53.3% (n = 16) | |
| Clinical Stage | Early: 73.3% (n = 11 | Early: 42.9% (n = 6) | Early: 56.7% (n = 17) |
| Late: 26.7% (n = 4) | Late: 57.1% (n = 8) | Late: 43.3% (n = 13) | |
| Disease-Free Survival (months) | Mean: 113.66 ± 9.35 | Mean: 120.97 ± 9.29 | Mean: 122.83 ± 9.01 |
| min-max: 7–128 | min-max: 22–135 | min-max: 13–152 | |
| Overall Survival (months) | Mean: 88.34 ± 12.46 | Mean: 123.29 ± 811 | Mean: 129.83 ± 7.5 |
| Median: 71 | Median: 104 | Median: 133 | |
| (min-max: 7–133) | (min-max: 25–135) | (min-max: 13–152) | |
| Metastasis | Absent: 86.7% (n = 13) | Absent: 85.7% (n = 12) | Absent: 73.3% (n = 22) |
| Present: 13.3% (n = 2) | Present: 14.3% (n = 2) | Present: 26.7% (n = 8) | |
| Metastasis site | Case 1: bone, liver, lung | Case 1: bone, liver | Case 1: bone, brain |
| Case 2: bone | |||
| Case 3: bone, brain | |||
| Case 4: bone, liver | |||
| Case 2: bone, liver | Case 2: bone | Case 5: bone, lung | |
| Case 6: bone | |||
| Case 7: bone | |||
| Case 8: bone, lung | |||
| Exitus (survival status) | Absent: 53.3% (n = 8) | Absent: 85.7% (n = 12) | Absent: 70% (n = 21) |
| Present: 46.7% (n = 7) | Present: 14.3% (n = 2) | Present: 30% (n = 9) |
| Clinicopathologic Characteristics | No. of Patients (n = 29) | miR-21 * | miR-let7f * |
|---|---|---|---|
| Age | |||
| <45 | 3 | 1.20 ± 1.43 | −0.23 ± 0.93 |
| >45 | 26 | 0.56 ± 1.18 | −0.78 ± 0.81 |
| p | 0.387 | 0.275 | |
| Tumor Size (cm) | |||
| <2 cm | 13 | 0.47 ± 1.43 | −0.61 ± 0.99 |
| 2 cm< and >5 cm | 16 | 0.76 ± 1 | −0.81 ± 0.67 |
| p | 0.521 | 0.506 | |
| Ki-67 Percentage (%) | |||
| <20% | 13 | 0.68 ± 1.19 | −0.55 ± 0.91 |
| >20% | 16 | 0.58 ± 1.23 | −0.86 ± 0.74 |
| p | 0.828 | 0.320 | |
| Lymph Node Metastasis | |||
| Absent | 13 | 0.64 ± 1.43 | −0.80 ± 0.80 |
| Present | 16 | 0.62 ± 1.01 | −0.66 ± 0.85 |
| p | 0.965 | 0.647 | |
| Nuclear Grade | |||
| 1 | 1 | −0.63 | −1.28 |
| 2 | 19 | 0.41 ± 1.28 | −0.66 ± 0.88 |
| 3 | 9 | 1.22 ± 0.77 | −0.79 ± 0.74 |
| p | 0.137 | 0.745 | |
| Histological Grade | |||
| 1 | 1 | −0.62 | −1.27 |
| 2 | 22 | 0.62 ± 1.20 | −0.61 ± 0.90 |
| 3 | 6 | 0.83 ± 1.24 | −1.01 ± 0.34 |
| p | 0.544 | 0.461 | |
| Angiolymphatic Invasion | |||
| Absent | 12 | 0.71 ± 1.28 | −0.53 ± 0.99 |
| Present | 17 | 0.57 ± 1.16 | −0.86 ± 0.67 |
| p | 0.757 | 0.289 | |
| Perineural Invasion | |||
| Absent | 26 | 0.53 ± 1.19 | −0.68 ± 0.84 |
| Present | 3 | 1.47 ± 1.01 | −1.07 ± 0.60 |
| p | 0.202 | 0.448 | |
| ER | |||
| Negative | 0 | ||
| Positive | 29 | 0.63 ± 1.19 | −0.72 ± 0.82 |
| p | n/a | n/a | |
| PR | |||
| Negative | 2 | 2.61 ± 1.62 | −0.03 ± 1.70 |
| Positive | 27 | 0.48 ± 1.05 | −0.77 ± 0.76 |
| p | 0.012 | 0.225 | |
| HER | |||
| Negative | 25 | 0.46 ± 1.19 | −063 ± 0.84 |
| Positive | 4 | 1.64 ± 0.65 | −1.27 ± 0.40 |
| p | 0.066 | 0.153 | |
| Metastasis | |||
| Absent | 25 | 2.46 ± 2.58 | 0.75 ± 0.53 |
| Present | 4 | 0.54 ± 0.25 | 0.55 ± 0.28 |
| p | 0.154 | 0.476 |
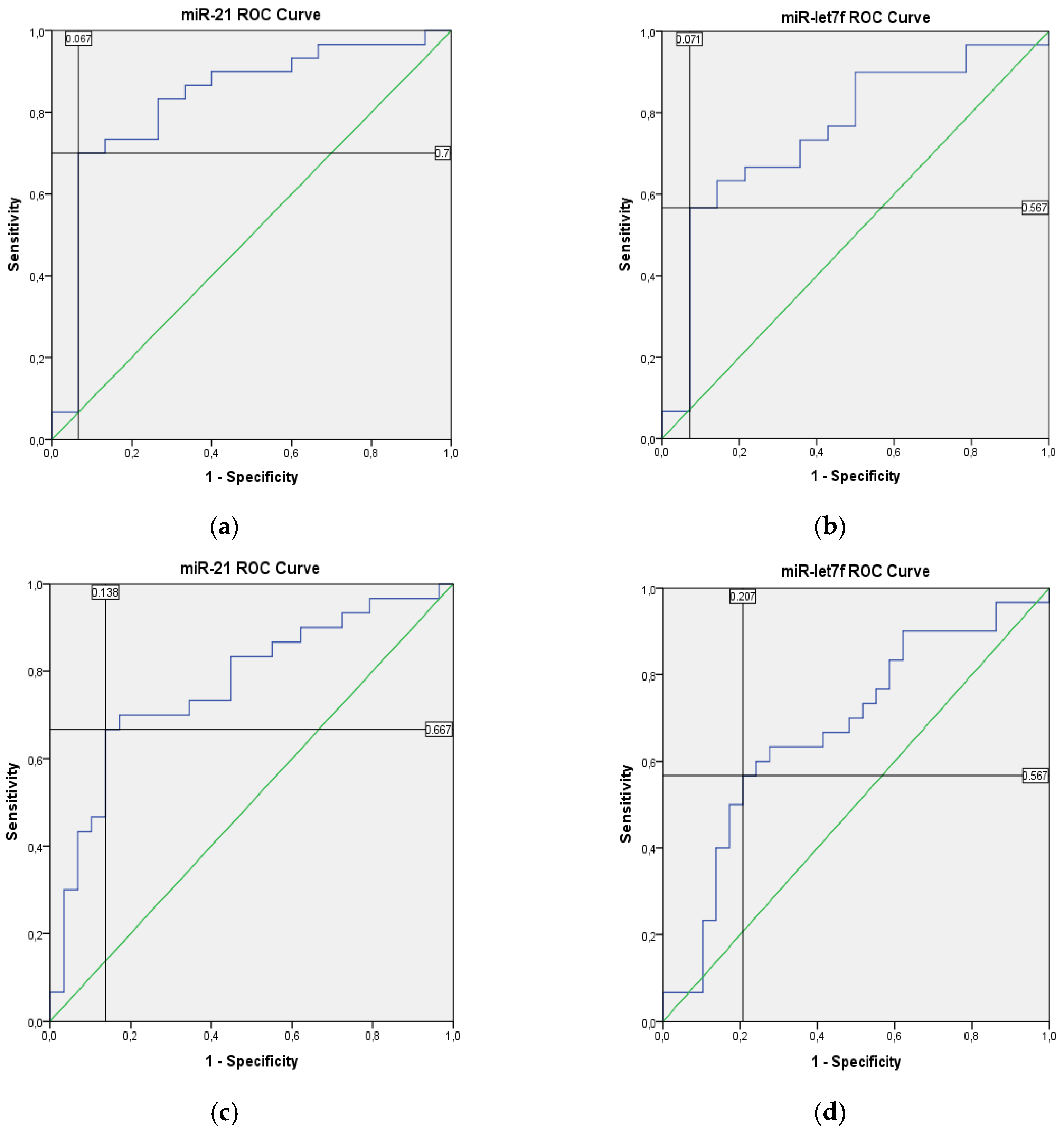
| Group 1 * (n = 15) | Group 2 * (n = 14) | Group 3 * (n = 30) | p | |
|---|---|---|---|---|
| miR-21 | O:0.24 ± 1.35 | O:1.04 ± 0.86 | O:1.84 ± 1.31 | p = 0.001 |
| (−2.24–3.76) | (−0.77–2.58) | (−0.98–5.51) | Group 3 > Group 1 | |
| miR-let7f | O: −0.48 ± 0.86 | O: −0.98 ± 0.71 | O: −0.21 ± 1.00 | p = 0.03 |
| (−1.91–1.17) | (−1.85–0.84) | (−1.81–2.51) | Group 2 > Group 3 |
| BC-NEFs (n = 29) | IDC (n = 30) | p | |
|---|---|---|---|
| miR-21 | O: 0.63 ± 1.19 | O: 1.84 ± 1.31 | p = 0.0005 |
| (−2.24–3.76) | (−0.98–5.51) | ||
| miR-let7f | O: −0.72 ± 0.82 | O: −0.21 ± 1.00 | p = 0.04 |
| (−1.91–1.17) | (−1.81–2.51) |
Disclaimer/Publisher’s Note: The statements, opinions and data contained in all publications are solely those of the individual author(s) and contributor(s) and not of MDPI and/or the editor(s). MDPI and/or the editor(s) disclaim responsibility for any injury to people or property resulting from any ideas, methods, instructions or products referred to in the content. |
© 2024 by the authors. Licensee MDPI, Basel, Switzerland. This article is an open access article distributed under the terms and conditions of the Creative Commons Attribution (CC BY) license (https://creativecommons.org/licenses/by/4.0/).
Share and Cite
Usul, G.; Kelten Talu, E.C.; Yılmaz, İ.; Issın, G.N.; Bektaş, S.; Can Trabulus, D. The Association of Neuroendocrine Differentiation with MicroRNA 21 and MicroRNA let7f Expression and the Clinicopathological Parameters in Primary Invasive Breast Carcinomas with Neuroendocrine Features. Diagnostics 2024, 14, 2211. https://doi.org/10.3390/diagnostics14192211
Usul G, Kelten Talu EC, Yılmaz İ, Issın GN, Bektaş S, Can Trabulus D. The Association of Neuroendocrine Differentiation with MicroRNA 21 and MicroRNA let7f Expression and the Clinicopathological Parameters in Primary Invasive Breast Carcinomas with Neuroendocrine Features. Diagnostics. 2024; 14(19):2211. https://doi.org/10.3390/diagnostics14192211
Chicago/Turabian StyleUsul, Gamze, Esra Canan Kelten Talu, İsmail Yılmaz, Gizem Narlı Issın, Sibel Bektaş, and Didem Can Trabulus. 2024. "The Association of Neuroendocrine Differentiation with MicroRNA 21 and MicroRNA let7f Expression and the Clinicopathological Parameters in Primary Invasive Breast Carcinomas with Neuroendocrine Features" Diagnostics 14, no. 19: 2211. https://doi.org/10.3390/diagnostics14192211
APA StyleUsul, G., Kelten Talu, E. C., Yılmaz, İ., Issın, G. N., Bektaş, S., & Can Trabulus, D. (2024). The Association of Neuroendocrine Differentiation with MicroRNA 21 and MicroRNA let7f Expression and the Clinicopathological Parameters in Primary Invasive Breast Carcinomas with Neuroendocrine Features. Diagnostics, 14(19), 2211. https://doi.org/10.3390/diagnostics14192211

