Standardization of Dual-Energy CT Iodine Uptake of the Abdomen and Pelvis: Defining Reference Values in a Big Data Cohort
Abstract
1. Introduction
2. Materials and Methods
2.1. Ethical Considerations
2.2. Study Population
2.3. DECT Imaging Technique
2.4. Iodine Mapping and Uptake Measurements
2.5. Statistical Analysis
3. Results
3.1. Patient Population
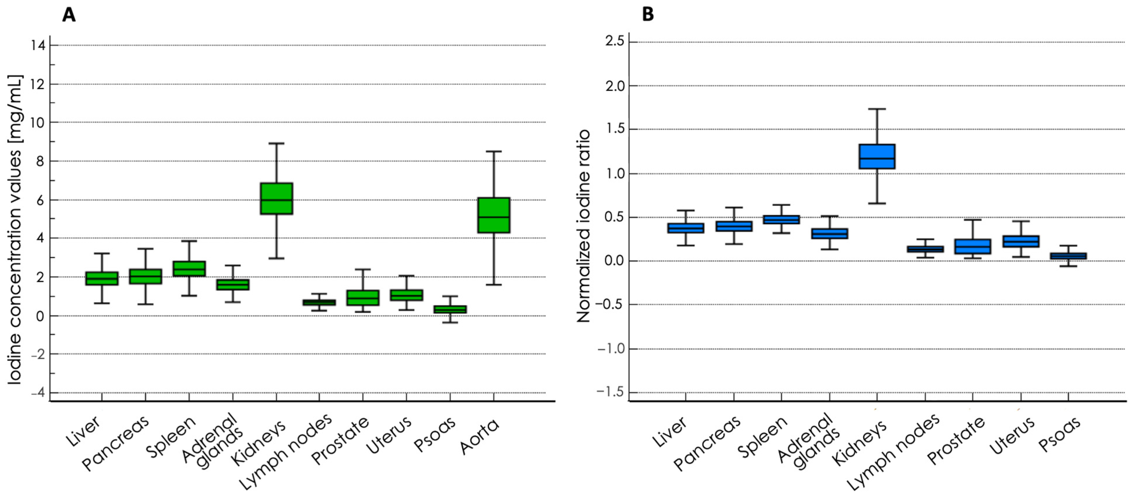
3.2. Overall Iodine Values
3.3. Impact of Sex
3.4. Impact of Age
3.5. Impact of BMI
4. Discussion
5. Conclusions
Author Contributions
Funding
Institutional Review Board Statement
Informed Consent Statement
Data Availability Statement
Conflicts of Interest
References
- Parillo, M.; van der Molen, A.J.; Asbach, P.; Elsholtz, F.H.J.; Laghi, A.; Ronot, M.; Wu, J.S.; Mallio, C.A.; Quattrocchi, C.C. The role of iodinated contrast media in computed tomography structured reporting and data systems (rads): A narrative review. Quant. Imaging Med. Surg. 2023, 13, 7621–7631. [Google Scholar] [CrossRef] [PubMed]
- Lusic, H.; Grinstaff, M.W. X-ray-computed tomography contrast agents. Chem. Rev. 2013, 113, 1641–1666. [Google Scholar] [CrossRef] [PubMed]
- Chidambaram, V.A.; Choong, M.C.M.; Goud, C.D. Dual-energy computed tomography of the abdomen: A reliable trouble-shooter. J. Clin. Imaging Sci. 2023, 13, 12. [Google Scholar] [CrossRef] [PubMed]
- Agrawal, M.D.; Pinho, D.F.; Kulkarni, N.M.; Hahn, P.F.; Guimaraes, A.R.; Sahani, D.V. Oncologic applications of dual-energy CT in the abdomen. RadioGraphics 2014, 34, 589–612. [Google Scholar] [CrossRef] [PubMed]
- Adam, S.Z.; Rabinowich, A.; Kessner, R.; Blachar, A. Spectral CT of the abdomen: Where are we now? Insights Into Imaging 2021, 12, 138. [Google Scholar] [CrossRef]
- Pelgrim, G.J.; Van Hamersvelt, R.W.; Willemink, M.J.; Schmidt, B.T.; Flohr, T.; Schilham, A.; Milles, J.; Oudkerk, M.; Leiner, T.; Vliegenthart, R. Accuracy of iodine quantification using dual energy CT in latest generation dual source and dual layer CT. Eur. Radiol. 2017, 27, 3904–3912. [Google Scholar] [CrossRef]
- Ehn, S.; Sellerer, T.; Muenzel, D.; Fingerle, A.A.; Kopp, F.; Duda, M.; Mei, K.; Renger, B.; Herzen, J.; Dangelmaier, J.; et al. Assessment of quantification accuracy and image quality of a full-body dual-layer spectral CT system. J. Appl. Clin. Med. Phys. 2018, 19, 204–217. [Google Scholar] [CrossRef]
- Ahnfelt, A.; Dahlman, P.; Segelsjö, M.; Magnusson, M.O.; Magnusson, A. Accuracy of iodine quantification using dual-energy computed tomography with focus on low concentrations. Acta Radiol. 2021, 63, 623–631. [Google Scholar] [CrossRef]
- Koonce, J.D.; Vliegenthart, R.; Schoepf, U.J.; Schmidt, B.; Wahlquist, A.E.; Nietert, P.J.; Bastarrika, G.; Flohr, T.G.; Meinel, F.G. Accuracy of dual-energy computed tomography for the measurement of iodine concentration using cardiac CT protocols: Validation in a phantom model. Eur. Radiol. 2014, 24, 512–518. [Google Scholar] [CrossRef]
- Skornitzke, S.; Fritz, F.; Mayer, P.; Koell, M.; Hansen, J.; Pahn, G.; Hackert, T.; Kauczor, H.-U.; Stiller, W. Dual-energy CT iodine maps as an alternative quantitative imaging biomarker to abdominal CT perfusion: Determination of appropriate trigger delays for acquisition using bolus tracking. Br. J. Radiol. 2018, 91, 20170351. [Google Scholar] [CrossRef]
- Guerrini, S.; Bagnacci, G.; Perrella, A.; Meglio, N.D.; Sica, C.; Mazzei, M.A. Dual energy CT in oncology: Benefits for both patients and radiologists from an emerging quantitative and functional diagnostic technique. Semin. Ultrasound CT MR 2023, 44, 205–213. [Google Scholar] [CrossRef] [PubMed]
- Zhang, Y.; Chen, J.; Yuan, F.; Zhang, B.; Ding, B.; Zhang, H. Prognostic role of iodine values for gastric cancer after neoadjuvant chemotherapy: A strong independent prognostic factor. Diagn. Interv. Radiol. 2022, 28, 388–395. [Google Scholar] [CrossRef] [PubMed]
- Coursey, C.A.; Nelson, R.C.; Boll, D.T.; Paulson, E.K.; Ho, L.M.; Neville, A.M.; Marin, D.; Gupta, R.T.; Schindera, S.T. Dual-energy multidetector CT: How does it work, what can it tell us, and when can we use it in abdominopelvic imaging? RadioGraphics 2010, 30, 1037–1055. [Google Scholar] [CrossRef] [PubMed]
- Fulwadhva, U.P.; Wortman, J.R.; Sodickson, A.D. Use of dual-energy CT and iodine maps in evaluation of bowel disease. Radiographics 2016, 36, 393–406. [Google Scholar] [CrossRef]
- Martin, S.S.; Weidinger, S.; Czwikla, R.; Kaltenbach, B.; Albrecht, M.H.; Lenga, L.; Vogl, T.J.; Wichmann, J.L. Iodine and fat quantification for differentiation of adrenal gland adenomas from metastases using third-generation dual-source dual-energy computed tomography. Investig. Radiol. 2018, 53, 173–178. [Google Scholar] [CrossRef]
- Zarzour, J.G.; Milner, D.; Valentin, R.; Jackson, B.E.; Gordetsky, J.; West, J.; Rais-Bahrami, S.; Morgan, D.E. Quantitative iodine content threshold for discrimination of renal cell carcinomas using rapid kv-switching dual-energy CT. Abdom. Radiol. 2017, 42, 727–734. [Google Scholar] [CrossRef]
- Mileto, A.; Marin, D.; Alfaro-Cordoba, M.; Ramirez-Giraldo, J.C.; Eusemann, C.D.; Scribano, E.; Blandino, A.; Mazziotti, S.; Ascenti, G. Iodine quantification to distinguish clear cell from papillary renal cell carcinoma at dual-energy multidetector CT: A multireader diagnostic performance study. Radiology 2014, 273, 813–820. [Google Scholar] [CrossRef]
- De Cecco, C.N.; Darnell, A.; Rengo, M.; Muscogiuri, G.; Bellini, D.; Ayuso, C.; Laghi, A. Dual-energy CT: Oncologic applications. AJR Am. J. Roentgenol. 2012, 199, S98–S105. [Google Scholar] [CrossRef]
- Mileto, A.; Nelson, R.C.; Marin, D.; Choudhury, K.R.; Ho, L.M. Dual-energy multidetector CT for the characterization of incidental adrenal nodules: Diagnostic performance of contrast-enhanced material density analysis. Radiology 2015, 274, 445–454. [Google Scholar] [CrossRef]
- Martin, S.S.; Trapp, F.; Wichmann, J.L.; Albrecht, M.H.; Lenga, L.; Durden, J.; Booz, C.; Vogl, T.J.; D’Angelo, T. Dual-energy CT in early acute pancreatitis: Improved detection using iodine quantification. Eur. Radiol. 2019, 29, 2226–2232. [Google Scholar] [CrossRef]
- Kikano, E.G.; Rajdev, M.; Salem, K.Z.; Laukamp, K.; Felice, C.D.; Gilkeson, R.C.; Gupta, A. Utility of Iodine Density Perfusion Maps From Dual-Energy Spectral Detector CT in Evaluating Cardiothoracic Conditions: A Primer for the Radiologist. AJR Am. J. Roentgenol. 2020, 214, 775–785. [Google Scholar] [CrossRef] [PubMed]
- Zhang, C.; Wang, N.; Su, X.; Li, K.; Yu, D.; Ouyang, A. Force dual-energy CT in pathological grading of clear cell renal cell carcinoma. Oncol. Lett. 2019, 18, 6405–6412. [Google Scholar] [CrossRef]
- Yan, W.Q.; Xin, Y.K.; Jing, Y.; Li, G.F.; Wang, S.M.; Rong, W.C.; Xiao, G.; Lei, X.B.; Li, B.; Hu, Y.C.; et al. Lodine quantification using dual-energy computed tomography for differentiating thymic tumors. J. Comput. Assist. Tomogr. 2018, 42, 873–880. [Google Scholar] [CrossRef] [PubMed]
- Matana Kaštelan, Z.; Brumini, I.; Poropat, G.; Tkalčić, L.; Grubešić, T.; Miletić, D. Pancreatic Iodine Density and Fat Fraction on Dual-Energy Computed Tomography in Acute Pancreatitis. Diagnostics 2024, 14, 955. [Google Scholar] [CrossRef]
- Patel, B.N.; Vernuccio, F.; Meyer, M.; Godwin, B.; Rosenberg, M.; Rudnick, N.; Harring, S.; Nelson, R.; Ramirez-Giraldo, J.C.; Farjat, A.; et al. Dual-energy CT material density iodine quantification for distinguishing vascular from nonvascular renal lesions: Normalization reduces intermanufacturer threshold variability. AJR Am. J. Roentgenol. 2019, 212, 366–376. [Google Scholar] [CrossRef] [PubMed]
- Schmidt, C.; Baessler, B.; Nakhostin, D.; Das, A.; Eberhard, M.; Alkadhi, H.; Euler, A. Dual-energy CT-based iodine quantification in liver tumors—Impact of scan-, patient-, and position-related factors. Acad. Radiol. 2021, 28, 783–789. [Google Scholar] [CrossRef] [PubMed]
- Dong, J.; He, F.; Wang, L.; Yue, Z.; Wen, T.; Wang, R.; Liu, F. Iodine density changes in hepatic and splenic parenchyma in liver cirrhosis with dual energy CT (dect): A preliminary study. Acad. Radiol. 2019, 26, 872–877. [Google Scholar] [CrossRef]
- Chandarana, H.; Megibow, A.J.; Cohen, B.A.; Srinivasan, R.; Kim, D.; Leidecker, C.; Macari, M. Iodine quantification with dual-energy CT: Phantom study and preliminary experience with renal masses. Am. J. Roentgenol. 2011, 196, W693–W700. [Google Scholar] [CrossRef]
- Sauter, A.P.; Ostmeier, S.; Nadjiri, J.; Deniffel, D.; Rummeny, E.J.; Pfeiffer, D. Iodine concentration of healthy lymph nodes of neck, axilla, and groin in dual-energy computed tomography. Acta Radiol. 2020, 61, 1505–1511. [Google Scholar] [CrossRef]
- Martin, S.S.; Czwikla, R.; Wichmann, J.L.; Albrecht, M.H.; Lenga, L.; Savage, R.H.; Arendt, C.; Hammerstingl, R.; Vogl, T.J.; Kaltenbach, B. Dual-energy CT-based iodine quantification to differentiate abdominal malignant lymphoma from lymph node metastasis. Eur. J. Radiol. 2018, 105, 255–260. [Google Scholar] [CrossRef]
- Zopfs, D.; Graffe, J.; Reimer, R.P.; Schäfer, S.; Persigehl, T.; Maintz, D.; Borggrefe, J.; Haneder, S.; Lennartz, S.; Hokamp, N.G. Quantitative distribution of iodinated contrast media in body computed tomography: Data from a large reference cohort. Eur. Radiol. 2021, 31, 2340–2348. [Google Scholar] [CrossRef] [PubMed]
- Beck, S.; Jahn, L.; Deniffel, D.; Riederer, I.; Sauter, A.; Makowski, M.R.; Pfeiffer, D. Iodine images in dual energy CT: A monocentric study benchmarking quantitative iodine concentration values of the healthy liver. PLoS ONE 2022, 17, e0270805. [Google Scholar] [CrossRef] [PubMed]
- Jacobsen, M.C.; Schellingerhout, D.; Wood, C.A.; Tamm, E.P.; Godoy, M.C.; Sun, J.; Cody, D.D. Intermanufacturer comparison of dual-energy ct iodine quantification and monochromatic attenuation: A phantom study. Radiology 2018, 287, 224–234. [Google Scholar] [CrossRef] [PubMed]




| Structure | Number of ROI | Localization |
|---|---|---|
| Liver | 9 | Liver segments (I–VIII) |
| Pancreas | 3 | Head, body and tail |
| Spleen | 3 | Medial, central, and lateral part |
| Adrenal glands | 2 | Left and right adrenal gland |
| Kidneys | 6 | Each side: upper pole, center, lower pole |
| Lymph nodes | 3 | Mesenteric, retroperitoneal and inguinal |
| Prostate | 4 | Peripheral zone (2), transition zone and central zone |
| Uterus | 2 | Anterior and posterior wall |
| Psoas muscles | 2 | Each side at the height of the third lumbar vertebrae |
| Aorta | 1 | Abdominal aorta |
| Total | Men | Women | |
|---|---|---|---|
| Number | 597 | 335 | 262 |
| Age (years) | 63.3 ± 16.3 | 63.3 ± 16.4 | 63.4 ± 16.3 |
| 18–44 years (n) | 87 | 49 | 38 |
| 45–64 years (n) | 212 | 120 | 92 |
| ≥65 years (n) | 298 | 166 | 132 |
| BMI (kg/m2) | 25.8 ± 5.3 | 25.9 ± 4.6 | 25.7 ± 6.1 |
| <25 kg/m2 (n) | 251 | 134 | 117 |
| 25–29.9 kg/m2 (n) | 164 | 110 | 54 |
| ≥30 kg/m2 (n) | 87 | 42 | 45 |
| Structure | Absolute Iodine Concentration (mg/mL) | Normalized Iodine Ratio |
|---|---|---|
| Liver | 1.96 ± 0.51 | 0.38 ± 0.08 |
| Pancreas | 2.07 ± 0.53 | 0.41 ± 0.09 |
| Spleen | 2.46 ± 0.62 | 0.48 ± 0.09 |
| Adrenal glands | 1.61 ± 0.43 | 0.32 ± 0.09 |
| Kidneys | 6.08 ± 1.32 | 1.20 ± 0.24 |
| Lymph nodes | 0.71 ± 0.20 | 0.14 ± 0.05 |
| Prostate | 1.07 ± 0.44 | 0.23 ± 0.12 |
| Uterus | 1.01 ± 0.66 | 0.18 ± 0.12 |
| Psoas | 0.31 ± 0.27 | 0.06 ± 0.05 |
| Aorta | 5.20 ± 1.22 | 1 |
| Absolute Iodine Concentration (mg/mL) | |||
|---|---|---|---|
| Structure | Sex | p-Value | |
| Men | Women | ||
| Liver | 1.84 ± 0.43 | 2.11 ± 0.56 | <0.0001 * |
| Pancreas | 1.91 ± 0.46 | 2.28 ± 0.54 | <0.0001 * |
| Spleen | 2.26 ± 0.50 | 2.72 ± 0.65 | <0.0001 * |
| Adrenal glands | 1.52 ± 0.39 | 1.72 ± 0.47 | <0.0001 * |
| Kidneys | 5.67 ± 1.17 | 6.61 ± 1.33 | <0.0001 * |
| Lymph nodes | 0.70 ± 0.18 | 0.72 ± 0.21 | 0.5809 |
| Prostate | 1.06 ± 0.49 | - | n/a |
| Uterus | - | 1.01 ± 0.66 | n/a |
| Psoas | 0.23 ± 0.24 | 0.42 ± 0.28 | <0.0001 * |
| Aorta | 4.74 ± 1.05 | 5.77 ± 1.19 | <0.0001 * |
| Normalized Iodine Ratio | |||
| Structure | Sex | p-Value | |
| Men | Women | ||
| Liver | 0.39 ± 0.08 | 0.37 ± 0.08 | <0.0002 * |
| Pancreas | 0.41 ± 0.09 | 0.40 ± 0.08 | 0.3083 |
| Spleen | 0.48 ± 0.09 | 0.48 ± 0.10 | 0.2196 |
| Adrenal glands | 0.33 ± 0.09 | 0.30 ± 0.09 | <0.0001 * |
| Kidneys | 1.23 ± 0.25 | 1.17 ± 0.25 | <0.0079 * |
| Lymph nodes | 0.15 ± 0.05 | 0.13 ± 0.04 | <0.0001 * |
| Prostate | 0.24 ± 0.14 | - | n/a |
| Uterus | - | 0.18 ± 0.12 | n/a |
| Psoas | 0.05 ± 0.05 | 0.07 ± 0.05 | <0.0001 * |
| Absolute Iodine Concentration (mg/mL) | ||||||
|---|---|---|---|---|---|---|
| Structure | Age | p-Values | ||||
| 18–44 | 45–64 | ≥65 | 18–44 vs. 45–64 | 45–64 vs. ≥65 | 18–44 vs. ≥65 | |
| Liver | 2.08 ± 0.51 | 1.88 ± 0.49 | 1.98 ± 0.51 | 0.0002 * | 0.0139 * | 0.0365 * |
| Pancreas | 2.08 ± 0.62 | 2.02 ± 0.53 | 2.10 ± 0.49 | 0.7327 | 0.0320 * | 0.1880 |
| Spleen | 2.33 ± 0.66 | 2.42 ± 0.58 | 2.53 ± 0.62 | 0.1316 | 0.0330 * | 0.0023 * |
| Adrenal glands | 1.60 ± 0.47 | 1.57 ± 0.42 | 1.64 ± 0.43 | 0.6340 | 0.0525 | 0.4461 |
| Kidneys | 6.21 ± 1.23 | 5.95 ± 1.19 | 6.14 ± 1.43 | 0.1015 | 0.1369 | 0.5559 |
| Lymph nodes | 0.66 ± 0.17 | 0.73 ± 0.21 | 0.71 ± 0.19 | 0.0049 * | 0.3069 | 0.0273 * |
| Prostate | 1.18 ± 0.77 | 1.07 ± 0.33 | 1.03 ± 0.37 | 0.0290 * | 0.2443 | 0.0047 * |
| Uterus | 1.55 ± 0.99 | 2.13 ± 0.54 | 0.72 ± 0.40 | 0.0192 * | <0.0001 * | <0.0001 * |
| Psoas | 0.25 ± 0.22 | 0.29 ± 0.27 | 0.35 ± 0.28 | 0.2839 | 0.0136 * | 0.0029 * |
| Aorta | 4.92 ± 1.28 | 5.04 ± 1.20 | 5.39 ± 1.19 | 0.4118 | 0.0002 * | 0.0010 * |
| Normalized Iodine Ratio | ||||||
| Structure | Age | p-Values | ||||
| 18–44 | 45–64 | ≥65 | 18–44 vs. 45–64 | 45–64 vs. ≥65 | <45 vs. ≥65 | |
| Liver | 0.44 ± 0.10 | 0.38 ± 0.08 | 0.37 ± 0.07 | <0.0001 * | 0.3645 | <0.0001 * |
| Pancreas | 0.43 ± 0.10 | 0.41 ± 0.09 | 0.40 ± 0.08 | 0.0296 * | 0.2872 | 0.0030 * |
| Spleen | 0.49 ± 0.12 | 0.48 ± 0.08 | 0.48 ± 0.09 | 0.5801 | 0.1908 | 0.6861 |
| Adrenal glands | 0.34 ± 0.10 | 0.32 ± 0.09 | 0.31 ± 0.09 | 0.2766 | 0.1756 | 0.0412 * |
| Kidneys | 1.31 ± 0.26 | 1.21 ± 0.22 | 1.17 ± 0.29 | 0.0025 * | 0.0152 * | <0.0001 * |
| Lymph nodes | 0.14 ± 0.04 | 0.15 ± 0.05 | 0.14 ± 0.05 | 0.4252 | 0.0054 * | 0.1975 |
| Prostate | 0.27 ± 0.23 | 0.24 ± 0.09 | 0.21 ± 0.08 | 0.0112 * | 0.0025 * | <0.0001 * |
| Uterus | 0.27 ± 0.24 | 0.21 ± 0.12 | 0.13 ± 0.07 | 0.0074 * | <0.0001 * | <0.0001 * |
| Psoas | 0.05 ± 0.05 | 0.06 ± 0.05 | 0.06 ± 0.05 | 0.2721 | 0.0986 | 0.0201 * |
| Absolute Iodine Concentration (mg/mL) | ||||||
|---|---|---|---|---|---|---|
| Structure | BMI | p-Values | ||||
| <25 | 25–29.9 | ≥30 | <25 vs. 25–29.9 | 25–29.9 vs. ≥30 | <25 vs. ≥30 | |
| Liver | 2.11 ± 0.53 | 1.85 ± 0.47 | 1.78 ± 0.42 | <0.0001 * | 0.4983 | <0.0001 * |
| Pancreas | 2.20 ± 0.57 | 1.96 ± 0.52 | 1.94 ± 0.42 | <0.0001 * | 0.9103 | 0.0002 * |
| Spleen | 2.56 ± 0.66 | 2.35 ± 0.60 | 2.29 ± 0.47 | 0.0005 * | 0.7232 | 0.0004 * |
| Adrenal glands | 1.65 ± 0.44 | 1.59 ± 0.43 | 1.53 ± 0.48 | 0.0571 | 0.3631 | 0.0078 * |
| Kidneys | 6.21 ± 1.44 | 6.03 ± 1.28 | 5.77 ± 1.09 | 0.2820 | 0.0947 | 0.0103 * |
| Lymph nodes | 0.72 ± 0.21 | 0.72 ± 0.19 | 0.66 ± 0.17 | 0.8681 | 0.0230 * | 0.5198 |
| Prostate | 1.10 ± 0.41 | 1.07 ± 0.35 | 0.91 ± 0.74 | 0.8567 | 0.1339 | 0.1212 |
| Uterus | 1.08 ± 0.75 | 0.94 ± 0.62 | 1.03 ± 0.48 | 0.1998 | 0.1566 | 0.8304 |
| Psoas | 0.34 ± 0.29 | 0.28 ± 0.26 | 0.27 ± 0.27 | 0.0627 | 0.4150 | 0.0177 * |
| Aorta | 5.38 ± 1.23 | 4.97 ± 1.22 | 4.89 ± 1.14 | 0.0006 * | 0.5828 | 0.0012 * |
| Normalized Iodine Ratio | ||||||
| Structure | BMI | p-Values | ||||
| <25 | 25–29.9 | ≥30 | <25 vs. 25–29.9 | 25–29.9 vs. ≥30 | <25 vs. ≥30 | |
| Liver | 0.40 ± 0.08 | 0.38 ± 0.08 | 0.37 ± 0.09 | 0.0112 * | 0.4514 | 0.0064 * |
| Pancreas | 0.42 ± 0.09 | 0.40 ± 0.08 | 0.41 ± 0.10 | 0.0685 | 0.9420 | 0.1070 |
| Spleen | 0.48 ± 0.10 | 0.48 ± 0.08 | 0.48 ± 0.09 | 0.4825 | 0.6617 | 0.3090 |
| Adrenal glands | 0.31 ± 0.08 | 0.33 ± 0.9 | 0.33 ± 0.12 | 0.1373 | 0.2548 | 0.9023 |
| Kidneys | 1.18 ± 0.24 | 1.24 ± 0.21 | 1.22 ± 0.29 | 0.0010 * | 0.1668 | 0.4080 |
| Lymph nodes | 0.14 ± 0.04 | 0.15 ± 0.06 | 0.14 ± 0.04 | 0.0531 | 0.3803 | 0.5198 |
| Prostate | 0.23 ± 0.09 | 0.25 ± 0.09 | 0.21 ± 0.24 | <0.0001 * | 0.3357 | 0.8826 |
| Uterus | 0.19 ± 0.12 | 0.17 ± 0.13 | 0.21 ± 0.10 | 0.0906 | 0.0968 | 0.6298 |
| Psoas | 0.06 ± 0.05 | 0.06 ± 0.05 | 0.05 ± 0.06 | 0.7878 | 0.1167 | 0.1490 |
Disclaimer/Publisher’s Note: The statements, opinions and data contained in all publications are solely those of the individual author(s) and contributor(s) and not of MDPI and/or the editor(s). MDPI and/or the editor(s) disclaim responsibility for any injury to people or property resulting from any ideas, methods, instructions or products referred to in the content. |
© 2024 by the authors. Licensee MDPI, Basel, Switzerland. This article is an open access article distributed under the terms and conditions of the Creative Commons Attribution (CC BY) license (https://creativecommons.org/licenses/by/4.0/).
Share and Cite
Yel, I.; Booz, C.; D’Angelo, T.; Koch, V.; Gruenewald, L.D.; Eichler, K.; Gökduman, A.; Giardino, D.; Gaeta, M.; Mazziotti, S.; et al. Standardization of Dual-Energy CT Iodine Uptake of the Abdomen and Pelvis: Defining Reference Values in a Big Data Cohort. Diagnostics 2024, 14, 2051. https://doi.org/10.3390/diagnostics14182051
Yel I, Booz C, D’Angelo T, Koch V, Gruenewald LD, Eichler K, Gökduman A, Giardino D, Gaeta M, Mazziotti S, et al. Standardization of Dual-Energy CT Iodine Uptake of the Abdomen and Pelvis: Defining Reference Values in a Big Data Cohort. Diagnostics. 2024; 14(18):2051. https://doi.org/10.3390/diagnostics14182051
Chicago/Turabian StyleYel, Ibrahim, Christian Booz, Tommaso D’Angelo, Vitali Koch, Leon D. Gruenewald, Katrin Eichler, Aynur Gökduman, Davide Giardino, Michele Gaeta, Silvio Mazziotti, and et al. 2024. "Standardization of Dual-Energy CT Iodine Uptake of the Abdomen and Pelvis: Defining Reference Values in a Big Data Cohort" Diagnostics 14, no. 18: 2051. https://doi.org/10.3390/diagnostics14182051
APA StyleYel, I., Booz, C., D’Angelo, T., Koch, V., Gruenewald, L. D., Eichler, K., Gökduman, A., Giardino, D., Gaeta, M., Mazziotti, S., Herrmann, E., Vogl, T. J., Mahmoudi, S., & Lanzafame, L. R. M. (2024). Standardization of Dual-Energy CT Iodine Uptake of the Abdomen and Pelvis: Defining Reference Values in a Big Data Cohort. Diagnostics, 14(18), 2051. https://doi.org/10.3390/diagnostics14182051

