Real-Time Dosimetry in Endourology: Tracking Staff Radiation Risks
Abstract
1. Introduction
2. Material and Methods
2.1. Data Recording and Analysis
2.2. Statistics
3. Results
3.1. Dose Area Product
3.2. Correlation of DAP with Clinical Factors
3.3. Correlation of DAP and Clinical Factors with the Professional Experience of the US
3.4. Learning Curve Analysis of One Designated Resident Physician
3.5. Analysis of Individual Real-Time Dosimeters
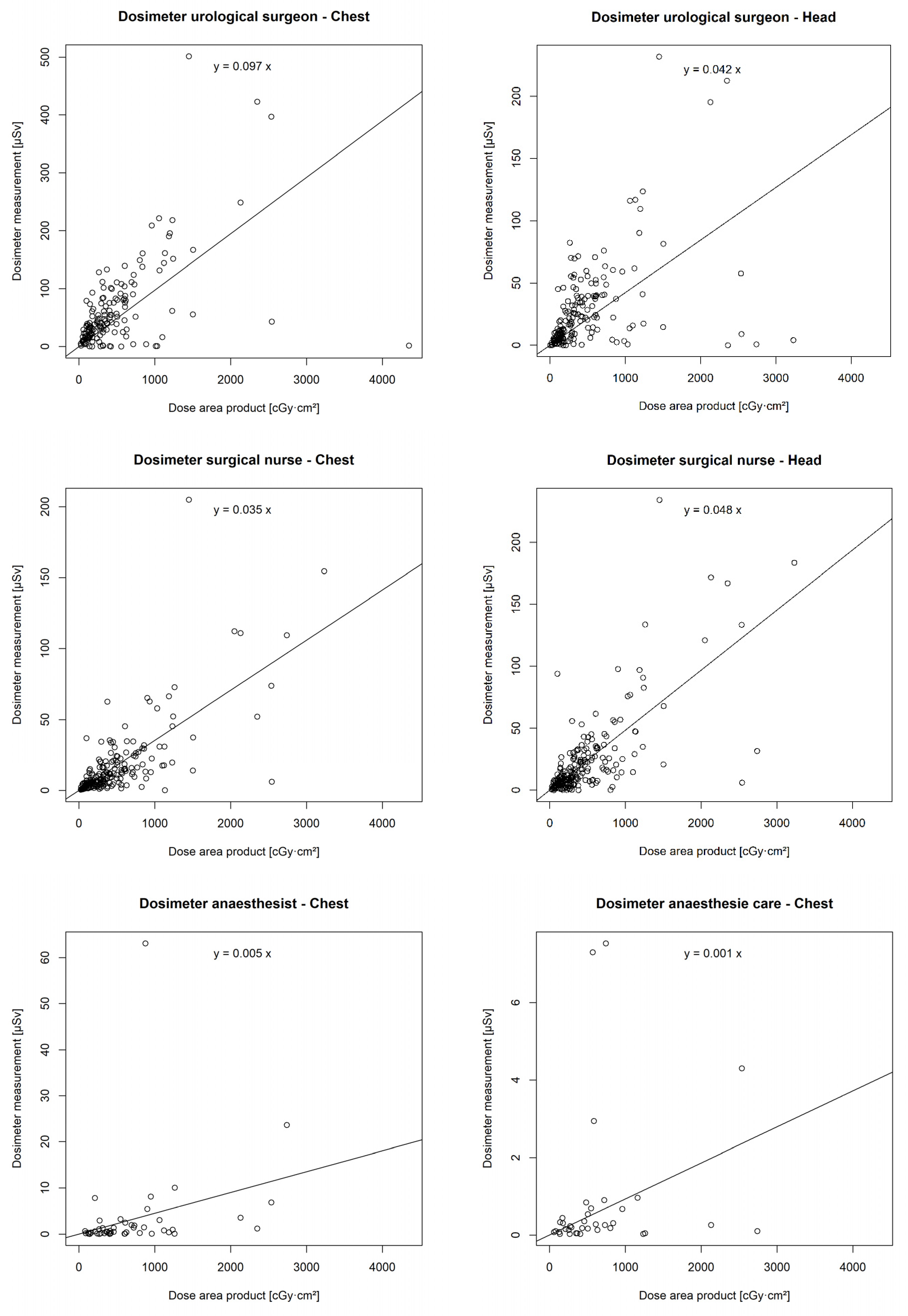
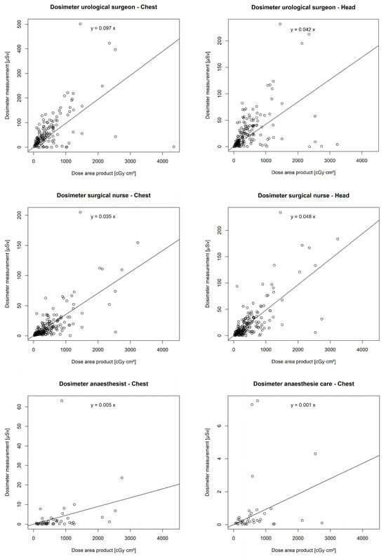
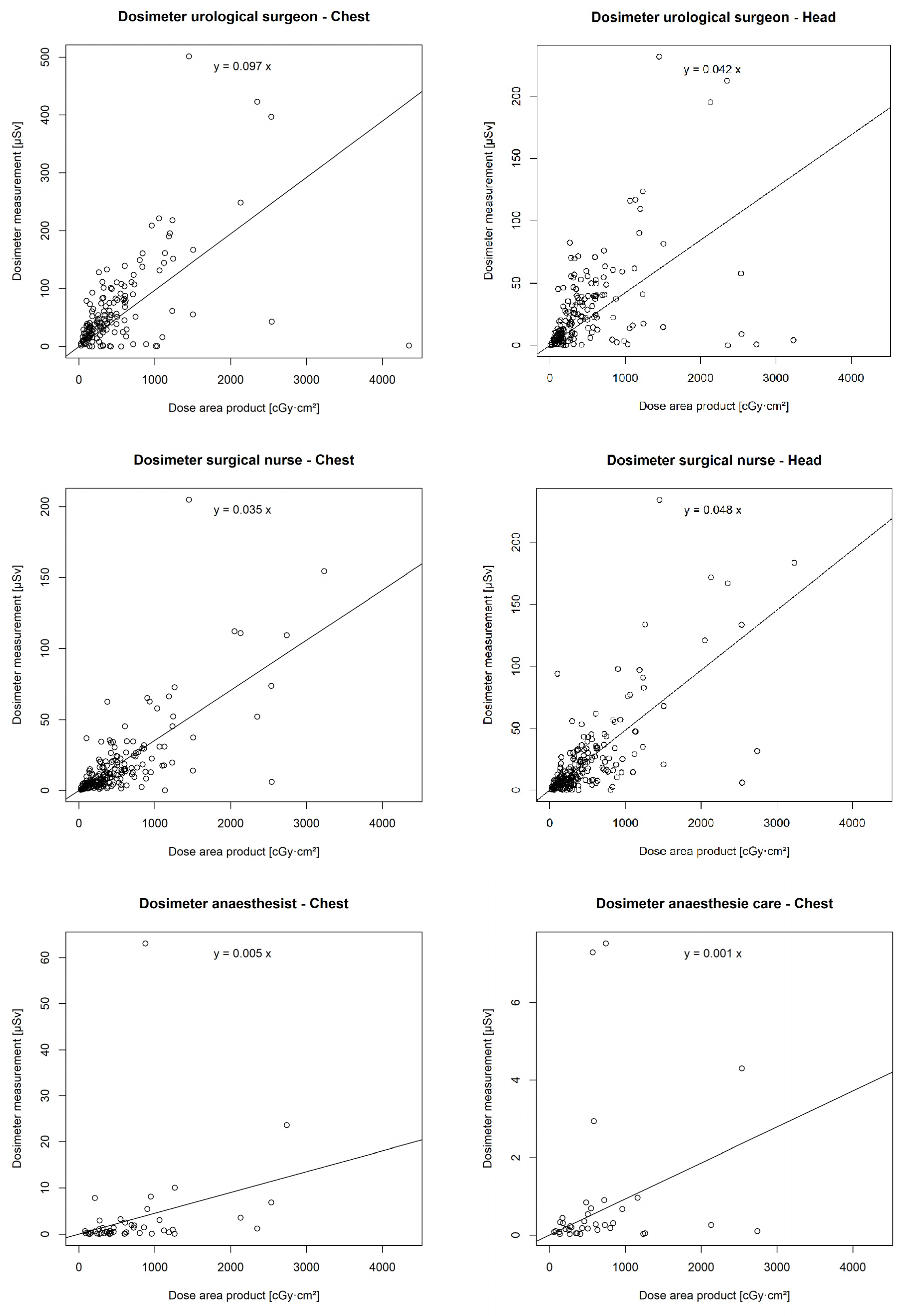
3.6. Correlation of DAP with Individual Real-Time Dosimeters
3.7. Influence of the Use of an Additional Lead Shield on Individual Radiation Exposure
3.8. Chest-to-Eye Conversion Factor (CECF)
4. Discussion
5. Conclusions
Supplementary Materials
Author Contributions
Funding
Institutional Review Board Statement
Informed Consent Statement
Data Availability Statement
Acknowledgments
Conflicts of Interest
Abbreviations
| A, AC | Anaesthetist, Anaesthetist chest |
| AC, ACC | Anaesthesia care, Anaesthesia care chest |
| cGy | Centigray |
| cl | Contralateral |
| CSLS | Ceiling-supported lead shield (CSLS) |
| DAP | Dose area product |
| ESWL | Extracorporeal shock wave lithotripsy |
| OSCAR | Occupational SCAtter Radiation Registry |
| PCNL | Percutaneous nephrolithotomy |
| RIRS | Retrograde intrarenal surgery |
| SFS | Stone-free status |
| SM | Stone management |
| SN, SNC/H | Surgical nurse, surgical nurse chest/head |
| Sv | Sievert |
| m/µSv | Milli-/Microsievert |
| US, USC/H | Urological surgeon, urological surgeon chest/head |
References
- The New Era of X-rays. Available online: https://history.uroweb.org/history-of-urology/diagnosis/imaging/the-new-era-of-x-rays/ (accessed on 5 January 2024).
- Joseph, E. Die Harnorgane im Röntgenbild; Georg Thieme: Leipzig, Germany, 1926. [Google Scholar]
- Gul, Z.G.; Sharbaugh, D.R.; Guercio, C.J.; Pelzman, D.L.; Jones, C.A.; Hacker, E.C.; Anyaeche, V.I.; Bowers, L.; Shah, A.M.; Stencel, M.G.; et al. Large Variations in the Prices of Urologic Procedures at Academic Medical Centers 1 Year After Implementation of the Price Transparency Final Rule. JAMA Netw. Open 2023, 6, e2249581. [Google Scholar] [CrossRef] [PubMed]
- Silvestre, J.; Caruso, V.A.; Hernandez, J.M.; Lee, D.I. Longitudinal Assessment of Adult Cases Performed by Graduating Urology Residents in the United States: 2010–2018. Urol. Pract. 2020, 7, 53–60. [Google Scholar] [CrossRef] [PubMed]
- Borumandnia, N.; Fattahi, P.; Talebi, A.; Taheri, M.; Alvani, M.S.; Balani, M.M.; Ashrafi, S.; Alavimajd, H. Longitudinal trend of urolithiasis incidence rates among world countries during past decades. BMC Urol. 2023, 23, 166. [Google Scholar] [CrossRef] [PubMed]
- Chou, L.B.; Lerner, L.B.; Harris, A.H.; Brandon, A.J.; Girod, S.; Butler, L.M. Cancer Prevalence among a Cross-sectional Survey of Female Orthopedic, Urology, and Plastic Surgeons in the United States. Womens Health Issues 2015, 25, 476–481. [Google Scholar] [CrossRef] [PubMed]
- Kraus, M.; Redies, M. Strahlenschutz im OP; Georg Thieme Verlag KG Stuttgart: New York, NY, USA, 2014; Volume 30. [Google Scholar]
- Gogos, S.; Touzell, A.; Lerner, L.B. What we know about intra-operative radiation exposure and hazards to operating theatre staff: A systematic review. ANZ J. Surg. 2022, 92, 51–56. [Google Scholar] [CrossRef] [PubMed]
- Überwachung der Strahlendosis für Die Augen Nötig? Available online: https://www.ptb.de/cms/en/gateways/press/press-releases/press-release.html?tx_news_pi1%5Bnews%5D=131&tx_news_pi1%5Bcontroller%5D=News&tx_news_pi1%5Baction%5D=detail&tx_news_pi1%5Bday%5D=4&tx_news_pi1%5Bmonth%5D=11&tx_news_pi1%5Byear%5D=2011&cHash=8c2b488fec3a69564c3f156cfe22325e (accessed on 26 October 2023).
- Available online: https://eur-lex.europa.eu/legal-content/EN/TXT/?uri=CELEX%3A02013L0059-20140117 (accessed on 26 October 2023).
- RICHTLINIE 2013/59/EURATOM DES RATES vom 5. Dezember 2013. Available online: https://eur-lex.europa.eu/LexUriServ/LexUriServ.do?uri=OJ:L:2014:013:0001:0073:DE:PDF (accessed on 26 October 2023).
- Vassileva, J.; Zagorska, A.; Karagiannis, A.; Petkova, K.; Sabuncu, K.; Saltirov, I.; Sarica, K.; Skolarikos, A.; Stavridis, S.; Trinchieri, A.; et al. Radiation Exposure of Surgical Team During Endourological Procedures: International Atomic Energy Agency-South-Eastern European Group for Urolithiasis Research Study. J. Endourol. 2021, 35, 574–582. [Google Scholar] [CrossRef] [PubMed]
- Park, I.W.; Kim, S.J.; Shin, D.; Shim, S.R.; Chang, H.K.; Kim, C.H. Radiation exposure to the urology surgeon during retrograde intrarenal surgery. PLoS ONE 2021, 16, e0247833. [Google Scholar] [CrossRef] [PubMed]
- De Coninck, V.; Hendrickx, L.; Mortiers, X.; Somani, B.; Emiliani, E.; Sener, E.T.; Pietropaolo, A.; Jones, P.; Skolarikos, A.; Tailly, T.; et al. Radiation exposure of urologists during endourological procedures: A systematic review. World J. Urol. 2024, 42, 310. [Google Scholar] [CrossRef] [PubMed]
- Torrecilla Ortiz, C.; Meza Martinez, A.I.; Vicens Morton, A.J.; Vila Reyes, H.; Colom Feixas, S.; Suarez Novo, J.F.; Franco Miranda, E. Obesity in percutaneous nephrolithotomy. Is body mass index really important? Urology 2014, 84, 538–543. [Google Scholar] [CrossRef] [PubMed]
- Wenzler, D.L.; Abbott, J.E.; Su, J.J.; Shi, W.; Slater, R.; Miller, D.; Siemens, M.J.; Sur, R.L. Predictors of radiation exposure to providers during percutaneous nephrolithotomy. Urol. Ann. 2017, 9, 55–60. [Google Scholar] [CrossRef] [PubMed]
- Swiss Society of Radiobiology and Medical Physics. Eye Lens Dosimetry, Recommendations No. 17; Swiss Society of Radiobiology and Medical Physics: Zürich, Switzerland, 2021. [Google Scholar]
- Human Height. Available online: https://ourworldindata.org/human-height (accessed on 17 May 2024).
- Gangl, A.; Deutschmann, H.A.; Portugaller, R.H.; Stucklschweiger, G. Influence of safety glasses, body height and magnification on the occupational eye lens dose during pelvic vascular interventions: A phantom study. Eur. Radiol. 2022, 32, 1688–1696. [Google Scholar] [CrossRef] [PubMed]
- Meijer, E.J.; van Zandvoort, D.W.H.; Loos, M.J.A.; Tseng, C.; van Pul, C. The eye lens dose of the interventionalist: Measurement in practice. Phys. Med. 2022, 100, 1–5. [Google Scholar] [CrossRef] [PubMed]
- Mao, L.; Liu, T.; Caracappa, P.F.; Lin, H.; Gao, Y.; Dauer, L.T.; Xu, X.G. Influences of operator head posture and protective eyewear on eye lens doses in interventional radiology: A Monte Carlo Study. Med. Phys. 2019, 46, 2744–2751. [Google Scholar] [CrossRef] [PubMed]
- ALARA—As Low as Reasonably Achievable. Available online: https://www.cdc.gov/radiation-health/safety/alara.html (accessed on 10 May 2024).
- Tzelves, L.; Juliebo-Jones, P.; Manolitsis, I.; Bellos, T.; Mykoniatis, I.; Berdempes, M.; Markopoulos, T.; Lardas, M.; Zeeshan Hameed, B.M.; Angelopoulos, P.; et al. Radiation protection measures during endourological therapies. Asian J. Urol. 2023, 10, 215–225. [Google Scholar] [CrossRef] [PubMed]
- Suzuki, A.; Matsubara, K.; Chusin, T.; Suzuki, Y. Lead Glasses Significantly Reduced Radiation Doses to Eye Lenses of Urologists during Procedures Involving over-Couch X-ray Tubes. Radiat. Prot. Dosim. 2020, 189, 28–34. [Google Scholar] [CrossRef] [PubMed]
- Hristova-Popova, J.; Zagorska, A.; Saltirov, I.; Petkova, K.; Vassileva, J. Risk of radiation exposure to medical staff involved in interventional endourology. Radiat. Prot. Dosim. 2015, 165, 268–271. [Google Scholar] [CrossRef] [PubMed]
- Mantica, G.; Balzarini, F.; Chierigo, F.; Keller, E.X.; Talso, M.; Emiliani, E.; Pietropaolo, A.; Papalia, R.; Scarpa, R.M.; Terrone, C. The fight between PCNL, laparoscopic and robotic pyelolithotomy: Do we have a winner? A systematic review and meta-analysis. Minerva Urol. Nephrol. 2022, 74, 169–177. [Google Scholar] [CrossRef]
- Chen, S.; Chen, J.; Zhang, J.; Wang, K.; Wei, J.; Weng, M.; Zhu, L. Comparison of RLP and PCNL for large pelvis calculi with CKD. Minim. Invasive Ther. Allied Technol. 2024, 33, 51–57. [Google Scholar] [CrossRef]
- EAU Guidelines. Edn. Presented at the EAU Annual Congress Milan 2023; EAU Guidelines Office: Arnhem, The Netherlands, 2023; ISBN 978-94-92671-19-6.
- Ng, F.C.; Yam, W.L.; Lim TY, B.; Teo, J.K.; Ng, K.K.; Lim, S.K. Ultrasound-guided percutaneous nephrolithotomy: Advantages and limitations. Investig. Clin. Urol. 2017, 58, 346–352. [Google Scholar] [CrossRef] [PubMed]
- Blattert, T.R.; Fill, U.A.; Kunz, E.; Panzer, W.; Weckbach, A.; Regulla, D.F. Skill dependence of radiation exposure for the orthopaedic surgeon during interlocking nailing of long-bone shaft fractures: A clinical study. Arch. Orthop. Trauma Surg. 2004, 124, 659–664. [Google Scholar] [CrossRef] [PubMed]
- Arslanoglu, A.; Bilgin, S.; Kubal, Z.; Ceyhan, M.N.; Ilhan, M.N.; Maral, I. Doctors’ and intern doctors’ knowledge about patients’ ionizing radiation exposure doses during common radiological examinations. Diagn. Interv. Radiol. 2007, 13, 53–55. [Google Scholar] [PubMed]
- Murat, D.; Wilken-Tergau, C.; Gottwald, U.; Nemitz, O.; Uher, T.; Schulz, E. Effects of Real-Time Dosimetry on Staff Radiation Exposure in the Cardiac Catheterization Laboratory. J. Invasive Cardiol. 2021, 33, E337–E341. [Google Scholar] [PubMed]
- James, R.F.; Wainwright, K.J.; Kanaan, H.A.; Hudson, S.; Wainwright, M.E.; Hightower, J.H.; Delaney, J.J. Analysis of occupational radiation exposure during cerebral angiography utilizing a new real time radiation dose monitoring system. J. Neurointerv. Surg. 2015, 7, 503–508. [Google Scholar] [CrossRef] [PubMed]
- Slegers, A.S.; Gultuna, I.; Aukes, J.A.; van Gorp, E.J.; Blommers, F.M.; Niehof, S.P.; Bosman, J. Coaching Reduced the Radiation Dose of Pain Physicians by Half during Interventional Procedures. Pain Pract. 2015, 15, 400–406. [Google Scholar] [CrossRef] [PubMed]








| N = 249 | ||
|---|---|---|
| Demographic patient data | Age (years) | 67.23 ± 16.04 |
| BMI (kg/m2) | 26.64 ± 6.05 | |
| Body weight (kg) | 78.73 ± 18.79 | |
| Height (cm) | 172.25 ± 9.11 | |
| n male (%) | 162 (65.06) | |
| Surgery details | Operating time (minutes) | 25.14 ± 26.42 |
| Surgeries: | ||
| ● n RIRS (%) | ● 83 (33.33) | |
| ● n nephrostomy (%) | ● 38 (15.26) | |
| ● n MJ ureteral catheter (%) | ● 34 (13.65) | |
| ● n DJ ureteral catheter (%) | ● 73 (29.32) | |
| ● n others (%) | ● 2 (0.8) | |
| ● n PCNL (%) | ● 10 (4.02) | |
| ● n pyelography (%) | ● 3 (1.2) | |
| ● n placement of Memokath™ (Memokath™, Oldenvej 13, 3490 Kvistgaard, Denmark; %) | ● 1 (0.4) | |
| ● n RIRS + cl DJ (%) | ● 2 (0.8) | |
| ● n nephrostomy + cl DJ (%) | ● 2 (0.8) | |
| ● n RIRS + ESWL (%) | ● 1 (0.4) | |
| Side of surgery (n = 213): | ||
| n left (%) | 100 (46.95) | |
| n right (%) | 64 (30.05) | |
| n bilateral (%) | 49 (23.00) | |
| For RIRS/PCNL | Maximum stone size in mm (n = 55) | 10.52 ± 9.13 |
| If RIRS (n = 84): | ||
| indication for SM n (%) | 48 (57.14) | |
| diagnostic n (%) | 36 (42.86) | |
| Use of laser yes n (%) (n = 61) | 35 (57.38) | |
| SFS positive (%) (n = 60) | 49 (81.67) | |
| Use of anticoagulants/antiplatelet therapy yes (n = 87, %) | 23 (26.44) | |
| Urinary stone analysis (n = 56) | ||
| ● n Calcium oxalate (%) | ● 35 (62.50) | |
| ● n Carbonated apatite (%) | ● 12 (21.43) | |
| ● n Uric acid (%) | ● 8 (14.29) | |
| ● n Brushite (%) | ● 1 (1.79) | |
| Stone localisation (n = 59): | ||
| n ureter (%) | 17 (28.81) | |
| n renal pelvis (%) | 35 (59.32) | |
| n both (%) | 7 (11.86) |
| Type of Surgery | Radiation Exposure in Microsievert (µSv) | |||||||
|---|---|---|---|---|---|---|---|---|
| USC | USH | SNC | SNH | ASNC | ASNH | AC | ACC | |
| RIRS (83) | 37.65 (16.92–55.53) | 22.17 (8.93–48.75) | 8.04 (3.56–15.20) | 11.45 (4.66–22.90) | 0.08 (0.03–0.13) | 0.10 (0.04–0.29) | 0.43 (0.12–1.22) | 0.18 (0.08–0.36) |
| Nephrostomy (38) | 29.20 (8.60–60.94) | 5.94 (2.03–31.84) | 7.38 (4.62–17.65) | 9.37 (5.61–25.94) | 0.05 (0.03–0.15) | 0.05 (0.03–0.33) | 5.45 (0.41–8.14) | |
| MJ ureteral catheter (34) | 47.62 (31.04–97.17) | 23.26 (8.15–42.88) | 7.26 (4.75–17.07) | 8.80 (4.92–25.17) | 0.46 (0.33–0.69) | 1.11 (0.28–1.87) | 5.18 (0.30–10.06) | |
| DJ ureteral catheter (73) | 41.01 (17.38–99.36) | 17.21 (6.07–39.37) | 7.16 (4.26–18.42) | 13.85 (6.06–33.88) | 0.17 (0.08–0.99) | 0.33 (0.05–0.56) | 1.36 (1.09–1.71) | 0.32 (0.09–0.93) |
| Others (2) | 39.14 (39.14–39.14) | 2.02 (0.03–4.01) | ||||||
| PCNL (10) | 47.44 (16.18–248.89) | 19.62 (15.96–57.70) | 19.30 (9.77–59.59) | 27.68 (11.71–97.63) | 0.44 (0.38–1.09) | 0.39 (0.33–0.68) | 5.19 (3.53–6.84) | 2.28 (0.26–4.30) |
| Pyelography (3) | 2.57 (0.97–4.17) | 3.44 (3.44–3.44) | 6.20 (2.92–35.40) | 11.89 (4.12–24.56) | 0.39 (0.05–0.72) | 0.35 (0.03–0.66) | ||
| Memokath™ insertion (1) | 154.45 (154.45–154.45) | 183.44 (183.44–183.44) | 0.59 (0.59–0.59) | 0.52 (0.52–0.52) | ||||
| RIRS + cl DJ (2) | 149.96 (104.13–195.79) | 73.49 (37.33–109.65) | ||||||
| Nephrostomy + cl DJ (2) | 54.30 (54.30–54.30) | 21.80 (21.80–21.80) | 20.58 (10.24–30.92) | 32.32 (17.15–47.48) | 40.94 (40.94–40.94) | 45.44 (45.44–45.44) | 0.13 (0.13–0.13) | |
| RIRS + ESWL (1) | 149.07 (149.07–149.07) | 0.23 (0.23–0.23) | 0.18 (0.18–0.18) | 0.18 (0.18–0.18) | 0.26 (0.26–0.26) | 0.18 (0.18–0–18) | ||
| Total (249) | 38.81 (17.89–80.53) | 17.20 (5.46–39.57) | 7.71 (4.18–17.81) | 11.58 (5.35–27.02) | 0.12 (0.05–0.51) | 0,25 (0.05–0.54) | 0.63 (0.20–2.22) | 0.23 (0.10–0.54) |
| n | Median CECF (50% CI) | |
|---|---|---|
| Urological surgeon | 152 | 2.11 (1.97–2.28) |
| Surgical nurse | 201 | 0.71 (0.64–0.75) |
Disclaimer/Publisher’s Note: The statements, opinions and data contained in all publications are solely those of the individual author(s) and contributor(s) and not of MDPI and/or the editor(s). MDPI and/or the editor(s) disclaim responsibility for any injury to people or property resulting from any ideas, methods, instructions or products referred to in the content. |
© 2024 by the authors. Licensee MDPI, Basel, Switzerland. This article is an open access article distributed under the terms and conditions of the Creative Commons Attribution (CC BY) license (https://creativecommons.org/licenses/by/4.0/).
Share and Cite
Deininger, S.; Nairz, O.; Dieplinger, A.M.; Deininger, C.; Lusuardi, L.; Ramesmayer, C.; Peters, J.; Oswald, D.; Pallauf, M.; Bauer, S.; et al. Real-Time Dosimetry in Endourology: Tracking Staff Radiation Risks. Diagnostics 2024, 14, 1763. https://doi.org/10.3390/diagnostics14161763
Deininger S, Nairz O, Dieplinger AM, Deininger C, Lusuardi L, Ramesmayer C, Peters J, Oswald D, Pallauf M, Bauer S, et al. Real-Time Dosimetry in Endourology: Tracking Staff Radiation Risks. Diagnostics. 2024; 14(16):1763. https://doi.org/10.3390/diagnostics14161763
Chicago/Turabian StyleDeininger, Susanne, Olaf Nairz, Anna Maria Dieplinger, Christian Deininger, Lukas Lusuardi, Christian Ramesmayer, Julia Peters, David Oswald, Maximilian Pallauf, Sophina Bauer, and et al. 2024. "Real-Time Dosimetry in Endourology: Tracking Staff Radiation Risks" Diagnostics 14, no. 16: 1763. https://doi.org/10.3390/diagnostics14161763
APA StyleDeininger, S., Nairz, O., Dieplinger, A. M., Deininger, C., Lusuardi, L., Ramesmayer, C., Peters, J., Oswald, D., Pallauf, M., Bauer, S., Brandt, M. C., & Törzsök, P. (2024). Real-Time Dosimetry in Endourology: Tracking Staff Radiation Risks. Diagnostics, 14(16), 1763. https://doi.org/10.3390/diagnostics14161763

