MRI-Based Assessment of Risk for Stroke in Moyamoya Angiopathy (MARS-MMA): An MRI-Based Scoring System for the Severity of Moyamoya Angiopathy
Abstract
1. Introduction
2. Materials and Methods
2.1. Patient Selection
2.2. Neurological Assessment
2.3. MRI Data Acquisition and Evaluation
2.3.1. Structural MRI Data Evaluation
2.3.2. Functional MRI Data Acquisition, Processing and Evaluation
2.3.3. Arterial Wall Contrast Enhancement Evaluation
2.3.4. Ivy Sign Evaluation
2.4. Digital Subtraction Angiography Data Acquisition and Evaluation
2.5. [15O]Water PET Data Acquisition and Evaluation
2.6. Validation of the PIRAMID Scoring System
2.7. Development and Evaluation of the MARS-MMA Scoring System
3. Results
3.1. Participants
3.2. Assessment of the Components of the PIRAMID/MARS-MMA Scoring System, Neurological Symptomatology and [15O]Water PET
3.3. PIRAMID Scoring System
3.4. MARS-MMA Scoring System
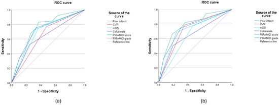
3.5. Comparison of the PIRAMID Score and the MARS-MMA Score Regarding the Predictability of PET CPR Impairment on [15O]Water
3.6. Assessment of the MARS-MMA Grading Regarding the Prediction of CPR Impairment on [15O]Water PET
4. Discussion
5. Conclusions
Supplementary Materials
Author Contributions
Funding
Institutional Review Board Statement
Informed Consent Statement
Data Availability Statement
Acknowledgments
Conflicts of Interest
References
- Suzuki, J.; Takaku, A. Cerebrovascular “Moyamoya” Disease: Disease Showing Abnormal Net-Like Vessels in Base of Brain. JAMA Neurol. 1969, 20, 288–299. [Google Scholar] [CrossRef] [PubMed]
- Scott, R.M.; Smith, E.R. Moyamoya disease and moyamoya syndrome. N. Engl. J. Med. 2009, 360, 1226–1237. [Google Scholar] [CrossRef] [PubMed]
- Bersano, A.; Khan, N.; Fuentes, B.; Acerbi, F.; Canavero, I.; Tournier-Lasserve, E.; Vajcoczy, P.; Zedde, M.L.; Hussain, S.; Lémeret, S.; et al. European Stroke Organisation (ESO) Guidelines on Moyamoya angiopathy: Endorsed by Vascular European Reference Network (VASCERN). Eur. Stroke J. 2023, 8, 23969873221144089. [Google Scholar] [CrossRef] [PubMed]
- Kim, J.S. Moyamoya Disease: Epidemiology, Clinical Features, and Diagnosis. J. Stroke 2016, 18, 2–11. [Google Scholar] [CrossRef] [PubMed]
- Tarasow, E.; Kulakowska, A.; Lukasiewicz, A.; Kapica-Topczewska, K.; Korneluk-Sadzynska, A.; Brzozowska, J.; Drozdowski, W. Moyamoya disease: Diagnostic imaging. Pol. J. Radiol. 2011, 76, 73–79. [Google Scholar] [PubMed]
- Zhang, X.; Xiao, W.; Zhang, Q.; Xia, D.; Gao, P.; Su, J.; Yang, H.; Gao, X.; Ni, W.; Lei, Y.; et al. Progression in Moyamoya Disease: Clinical Features, Neuroimaging Evaluation, and Treatment. Curr. Neuropharmacol. 2022, 20, 292–308. [Google Scholar] [CrossRef] [PubMed]
- Roder, C.; Hauser, T.K.; Ernemann, U.; Tatagiba, M.; Khan, N.; Bender, B. Arterial wall contrast enhancement in progressive moyamoya disease. J. Neurosurg. 2019, 132, 1845–1853. [Google Scholar] [CrossRef] [PubMed]
- Roder, C.; Klose, U.; Hurth, H.; Brendle, C.; Tatagiba, M.; Ernemann, U.; Khan, N.; Hauser, T.K. Longitudinal Reproducibility of CO2-Triggered BOLD MRI for the Hemodynamic Evaluation of Adult Patients with Moyamoya Angiopathy. Cerebrovasc. Dis. 2021, 50, 332–338. [Google Scholar] [CrossRef] [PubMed]
- Khan, N.; Schuknecht, B.; Boltshauser, E.; Capone, A.; Buck, A.; Imhof, H.G.; Yonekawa, Y. Moyamoya disease and Moyamoya syndrome: Experience in Europe; choice of revascularisation procedures. Acta Neurochir. 2003, 145, 1061–1071. [Google Scholar] [CrossRef]
- Hauser, T.-K.; Seeger, A.; Bender, B.; Klose, U.; Thurow, J.; Ernemann, U.; Tatagiba, M.; Meyer, P.T.; Khan, N.; Roder, C. Hypercapnic BOLD MRI compared to H215O PET/CT for the hemodynamic evaluation of patients with Moyamoya Disease. NeuroImage Clin. 2019, 22, 101713. [Google Scholar] [CrossRef]
- Roder, C.; Burkle, E.; Ebner, F.H.; Tatagiba, M.; Ernemann, U.; Buck, A.; Meyer, P.T.; Khan, N. Estimation of Severity of Moyamoya Disease with [(15)O]Water-Positron Emission Tomography Compared with Magnetic Resonance Imaging and Angiography. World Neurosurg. 2018, 117, e75–e81. [Google Scholar] [CrossRef] [PubMed]
- Zerweck, L.; Pohmann, R.; Klose, U.; Martirosian, P.; Haas, P.; Ernemann, U.; Khan, N.; Roder, C.; Hauser, T.K.; Hennersdorf, F. Evaluation of the contribution of individual arteries to the cerebral blood supply in patients with Moyamoya angiopathy: Comparison of vessel-encoded arterial spin labeling and digital subtraction angiography. Neuroradiology 2024, 66, 1131–1140. [Google Scholar] [CrossRef] [PubMed]
- Taneja, K.; Lu, H.; Welch, B.G.; Thomas, B.P.; Pinho, M.; Lin, D.; Hillis, A.E.; Liu, P. Evaluation of cerebrovascular reserve in patients with cerebrovascular diseases using resting-state MRI: A feasibility study. Magn. Reson. Imaging 2019, 59, 46–52. [Google Scholar] [CrossRef]
- Fierstra, J.; van Niftrik, C.; Warnock, G.; Wegener, S.; Piccirelli, M.; Pangalu, A.; Esposito, G.; Valavanis, A.; Buck, A.; Luft, A.; et al. Staging Hemodynamic Failure With Blood Oxygen-Level-Dependent Functional Magnetic Resonance Imaging Cerebrovascular Reactivity: A Comparison Versus Gold Standard ((15)O-)H2O-Positron Emission Tomography. Stroke 2018, 49, 621–629. [Google Scholar] [CrossRef] [PubMed]
- Zerweck, L.; Hauser, T.K.; Roder, C.; Blazhenets, G.; Khan, N.; Ernemann, U.; Meyer, P.T.; Klose, U. Evaluation of the cerebrovascular reactivity in patients with Moyamoya Angiopathy by use of breath-hold fMRI: Investigation of voxel-wise hemodynamic delay correction in comparison to [(15)O]water PET. Neuroradiology 2023, 65, 539–550. [Google Scholar] [CrossRef]
- Zerweck, L.; Roder, C.; Hauser, T.K.; Thurow, J.; Mengel, A.; Tatagiba, M.; Khan, N.; Meyer, P.T.; Ernemann, U.; Klose, U. Hemodynamic evaluation of patients with Moyamoya Angiopathy: Comparison of resting-state fMRI to breath-hold fMRI and [(15)O]water PET. Neuroradiology 2022, 64, 553–563. [Google Scholar] [CrossRef] [PubMed]
- Ladner, T.R.; Donahue, M.J.; Arteaga, D.F.; Faraco, C.C.; Roach, B.A.; Davis, L.T.; Jordan, L.C.; Froehler, M.T.; Strother, M.K. Prior Infarcts, Reactivity, and Angiography in Moyamoya Disease (PIRAMD): A scoring system for moyamoya severity based on multimodal hemodynamic imaging. J. Neurosurg. 2017, 126, 495–503. [Google Scholar] [CrossRef] [PubMed]
- van Niftrik, C.H.B.; Sebok, M.; Nicholson, P.; Olijnyk, L.; Thurner, P.; Venkatraghavan, L.; Schaafsma, J.; Radovanovic, I.; Fisher, J.A.; Krings, T.; et al. A dual-center validation of the PIRAMD scoring system for assessing the severity of ischemic Moyamoya disease. Quant. Imaging Med. Surg. 2023, 13, 4618–4632. [Google Scholar] [CrossRef] [PubMed]
- Tatu, L.; Moulin, T.; Bogousslavsky, J.; Duvernoy, H. Arterial territories of the human brain: Cerebral hemispheres. Neurology 1998, 50, 1699–1708. [Google Scholar] [CrossRef]
- Mutsaerts, H.J.; van Dalen, J.W.; Heijtel, D.F.; Groot, P.F.; Majoie, C.B.; Petersen, E.T.; Richard, E.; Nederveen, A.J. Cerebral Perfusion Measurements in Elderly with Hypertension Using Arterial Spin Labeling. PLoS ONE 2015, 10, e0133717. [Google Scholar] [CrossRef]
- Zerweck, L.; Hauser, T.-K.; Roder, C.; Klose, U. Investigation of the BOLD-Based MRI Signal Time Course During Short Breath-Hold Periods for Estimation of the Cerebrovascular Reactivity. SN Compr. Clin. Med. 2020, 2, 1551–1562. [Google Scholar] [CrossRef]
- Bosselmann, C.M.; Kegele, J.; Zerweck, L.; Klose, U.; Ethofer, S.; Roder, C.; Grimm, A.M.; Hauser, T.K. Breath-Hold-Triggered BOLD fMRI in Drug-Resistant Nonlesional Focal Epilepsy-A Pilot Study. Clin. Neuroradiol. 2023, 34, 315–324. [Google Scholar] [CrossRef]
- Montaser, A.S.; Lalgudi Srinivasan, H.; Staffa, S.J.; Zurakowski, D.; Slingerland, A.L.; Orbach, D.B.; Hausman-Kedem, M.; Roth, J.; Smith, E.R. Ivy sign: A diagnostic and prognostic biomarker for pediatric moyamoya. J. Neurosurg. Pediatr. 2022, 29, 458–466. [Google Scholar] [CrossRef] [PubMed]
- Yu, J.; Du, Q.; Xie, H.; Chen, J.; Chen, J. What and why: The current situation and future prospects of “ivy sign” in moyamoya disease. Ther. Adv. Chronic Dis. 2020, 11, 2040622320960004. [Google Scholar] [CrossRef]
- Liu, C.-F.; Hsu, J.; Xu, X.; Kim, G.; Sheppard, S.M.; Meier, E.L.; Miller, M.I.; Hillis, A.E.; Faria, A.V. Digital 3D Brain MRI Arterial Territories Atlas. Sci. Data 2023, 10, 74. [Google Scholar] [CrossRef] [PubMed]
- O’Brien, T.J.; O’Connor, M.K.; Mullan, B.P.; Brinkmann, B.H.; Hanson, D.; Jack, C.R.; So, E.L. Subtraction ictal SPET co-registered to MRI in partial epilepsy: Description and technical validation of the method with phantom and patient studies. Nucl. Med. Commun. 1998, 19, 31–45. [Google Scholar] [CrossRef] [PubMed]
- Arigoni, M.; Kneifel, S.; Fandino, J.; Khan, N.; Burger, C.; Buck, A. Simplified quantitative determination of cerebral perfusion reserve with H2(15)O PET and acetazolamide. Eur. J. Nucl. Med. Mol. Imaging 2000, 27, 1557–1563. [Google Scholar] [CrossRef]
- Lehman, V.T.; Cogswell, P.M.; Rinaldo, L.; Brinjikji, W.; Huston, J.; Klaas, J.P.; Lanzino, G. Contemporary and emerging magnetic resonance imaging methods for evaluation of moyamoya disease. Neurosurg. Focus 2019, 47, E6. [Google Scholar] [CrossRef]





| Mean age (range) | 46 (15–75) |
| Female–male ratio | 54:17 |
| Imaging before revascularization | 61 |
| Imaging after unilateral revascularization | 8 |
| Structural MRI data sets | 69 |
| Functional MRI data sets | 69 |
| DSA data sets | 69 |
| [15O]water PET data sets | 38 |
| Days between MRI and DSA data acquisition (mean ± SD) | 11 ± 25 |
| Days between MRI and [15O]water PET data acquisition (mean ± SD) | 50 ± 36 |
| Days between DSA and [15O]water PET data acquisition (mean ± SD) | 53 ± 34 |
| Analysis of the Territories of the Internal Carotid Artery | Analysis of the Territories of the Anterior and Middle Cerebral Arteries | |
|---|---|---|
| Neurological symptomatology | 65/130 (50.0%) | 83/260 (31.9%) |
| Motor deficit 1 | 30/130 (23.1%) | 58/260 (22.3%) |
| Sensory deficit 1 | 59/130 (45.4%) | 79/260 (30.4%) |
| Language deficit 1 | 24/64 (37.5%) 2 | 24/64 (37.5%) 2 |
| Prior infarct | 67/130 (51.5%) | 100/260 (38.5%) |
| Cerebrovascular reactivity impairment | ||
| ≥10% relative BOLD signal reduction | 115/130 (88.5%) | 213/260 (81.9%) |
| ≥20% relative BOLD signal reduction | 110/130 (84.6%) | 191/260 (73.5%) |
| ≥30% relative BOLD signal reduction | 104/130 (80.0%) | 178/260 (68.5%) |
| ≥40% relative BOLD signal reduction | 94/130 (72.3%) | 158/260 (60.8%) |
| ≥50% relative BOLD signal reduction | 81/130 (62.3%) | 127/260 (48.8%) |
| ≥60% relative BOLD signal reduction | 64/130 (49.2%) | 92/260 (35.4%) |
| ≥70% relative BOLD signal reduction | 58/130 (44.6%) | 76/260 (29.2%) |
| ≥80% relative BOLD signal reduction | 47/130 (36.2%) | 56/260 (21.5%) |
| ≥90% relative BOLD signal reduction | 44/130 (33.8%) | 49/260 (18.8%) |
| 100% relative BOLD signal reduction | 40/130 (30.8%) | 43/260 (16.5%) |
| Steal Phenomenon | 36/130 (27.7%) | 36/260 (13.8%) |
| Arterial wall contrast enhancement | ||
| Mild | - | 50/140 (35.7%) |
| Moderate | - | 32/140 (22.9%) |
| Strong | - | 25/140 (17.9%) |
| Presence of Ivy sign | - | 54/140 (38.6%) |
| Modified Suzuki Score ≥ II | 73/130 (56.2%) | 146/260 (56.2%) |
| Impaired collateralization in ≥2 territories | 50/130 (38.5%) | 77/260 (29.6%) |
| Indication for neurosurgical revascularization | - | 65/140 (46.4%) |
| PIRAMID score | ||
| 0 | 29/130 (22.3%) | 68/260 (26.2%) |
| 1 | 10/130 (7.7%) | 14/260 (5.4%) |
| 3 | 13/130 (10.0%) | 46/260 (17.7%) |
| 4 | 7/130 (5.4%) | 16/260 (6.2%) |
| 6 | 10/130 (7.7%) | 28/260 (10.8%) |
| 7 | 20/130 (15.4%) | 32/260 (12.3%) |
| 9 | 12/130 (9.2%) | 17/260 (6.5%) |
| 10 | 29/130 (22.3%) | 39/260 (15.0%) |
| PIRAMID grade | ||
| 1 | 59/130 (45.4%) | 144/260 (55.4%) |
| 2 | 42/130 (32.3%) | 77/260 (29.6%) |
| 3 | 29/130 (22.3%) | 39/260 (15.0%) |
| Severe [15O]water PET cerebral perfusion reserve impairment | 36/70 (51.4%) | 55/140 (39.3%) |
| Variable | Odds Ratio | p Value | 95% Confidence Interval | Regression Coefficient |
|---|---|---|---|---|
| bh-fMRI CVR impairment > 50% | 9.300 | <0.001 | 3.702–23.361 | 2.230 |
| Arterial vessel wall contrast enhancement | 4.382 | 0.002 | 1.752–10.961 | 1.477 |
| Ivy sign | 3.167 | 0.012 | 1.291–7.766 | 1.153 |
| Variable | Points |
|---|---|
| Breath-hold fMRI cerebrovascular reactivity impairment (CVR) of at least 50% compared to the cerebellar CVR response | 4 |
| Arterial vessel wall contrast enhancement | 3 |
| Presence of Ivy sign on FLAIR images | 2 |
| MARS-MMA Grade | MARS-MMA Points |
|---|---|
| 1 | 0 |
| 2 | 2–5 |
| 3 | 6–9 |
| Variable | Odds Ratio | p Value | 95% Confidence Interval | Regression Coefficient |
|---|---|---|---|---|
| mSS | 1.655 | 0.312 | 0.628–4.397 | 0.504 |
| Collaterals | 0.913 | 0.856 | 0.342–2.435 | −0.091 |
| Prior infarct | 2.812 | 0.022 | 1.160–6.818 | 1.034 |
| bh-fMRI CVR impairment > 50% | 7.289 | <0.001 | 2.863–18.603 | 1.988 |
Disclaimer/Publisher’s Note: The statements, opinions and data contained in all publications are solely those of the individual author(s) and contributor(s) and not of MDPI and/or the editor(s). MDPI and/or the editor(s) disclaim responsibility for any injury to people or property resulting from any ideas, methods, instructions or products referred to in the content. |
© 2024 by the authors. Licensee MDPI, Basel, Switzerland. This article is an open access article distributed under the terms and conditions of the Creative Commons Attribution (CC BY) license (https://creativecommons.org/licenses/by/4.0/).
Share and Cite
Zerweck, L.; Roder, C.; Blazhenets, G.; Martus, P.; Thurow, J.; Haas, P.; Estler, A.; Gohla, G.; Ruff, C.; Selo, N.; et al. MRI-Based Assessment of Risk for Stroke in Moyamoya Angiopathy (MARS-MMA): An MRI-Based Scoring System for the Severity of Moyamoya Angiopathy. Diagnostics 2024, 14, 1437. https://doi.org/10.3390/diagnostics14131437
Zerweck L, Roder C, Blazhenets G, Martus P, Thurow J, Haas P, Estler A, Gohla G, Ruff C, Selo N, et al. MRI-Based Assessment of Risk for Stroke in Moyamoya Angiopathy (MARS-MMA): An MRI-Based Scoring System for the Severity of Moyamoya Angiopathy. Diagnostics. 2024; 14(13):1437. https://doi.org/10.3390/diagnostics14131437
Chicago/Turabian StyleZerweck, Leonie, Constantin Roder, Ganna Blazhenets, Peter Martus, Johannes Thurow, Patrick Haas, Arne Estler, Georg Gohla, Christer Ruff, Nadja Selo, and et al. 2024. "MRI-Based Assessment of Risk for Stroke in Moyamoya Angiopathy (MARS-MMA): An MRI-Based Scoring System for the Severity of Moyamoya Angiopathy" Diagnostics 14, no. 13: 1437. https://doi.org/10.3390/diagnostics14131437
APA StyleZerweck, L., Roder, C., Blazhenets, G., Martus, P., Thurow, J., Haas, P., Estler, A., Gohla, G., Ruff, C., Selo, N., Würtemberger, U., Khan, N., Klose, U., Ernemann, U., Meyer, P. T., & Hauser, T.-K. (2024). MRI-Based Assessment of Risk for Stroke in Moyamoya Angiopathy (MARS-MMA): An MRI-Based Scoring System for the Severity of Moyamoya Angiopathy. Diagnostics, 14(13), 1437. https://doi.org/10.3390/diagnostics14131437

