Comparative Analysis of Lymphocyte Populations in Post-COVID-19 Condition and COVID-19 Convalescent Individuals
Abstract
1. Introduction
- (i)
- Increased cellular death caused by the direct infection of SARS-CoV-2 Ribonucleic acid (RNA) in immune cells [7];
- (ii)
- Upregulation of the p53-mediated apoptosis signaling pathway in peripheral blood mononuclear cells (PBMC) [8];
- (iii)
- T cell extravasation and migration to inflamed tissue sites [4];
- (iv)
- Cytokine-storm-induced cellular apoptosis [9]; and
- (v)
- T lymphocyte exhaustion upon repeated activation [9].
2. Materials and Methods
2.1. Study Population
2.2. Whole-Blood Leukocyte Isolation and Cell Staining Procedures
- (i)
- LS: 3 min or 200,000 leucocytes;
- (ii)
- BS: 3 min or 20,000 CD19 + CD20+ B cells.
2.3. Flow Cytometry Analysis Software
2.4. Statistical Analysis
3. Results
3.1. Demographic and Clinical Characterization of the Study Population
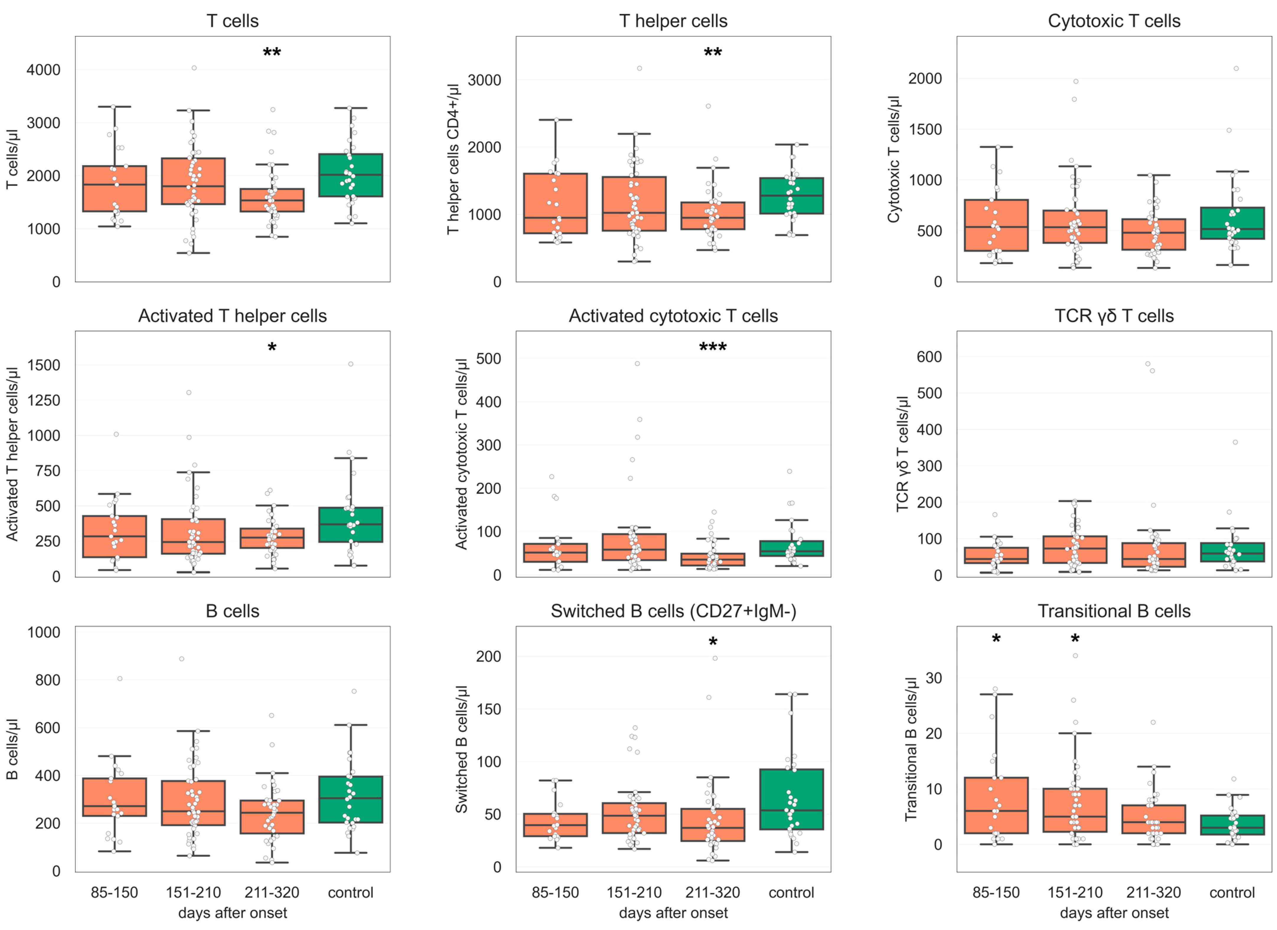
3.2. Lymphocyte Phenotype of the Study Cohort
3.3. Occurrence and Cellular Impact of PCC in the Study Group
4. Discussion
5. Conclusions
Supplementary Materials
Author Contributions
Funding
Institutional Review Board Statement
Informed Consent Statement
Data Availability Statement
Acknowledgments
Conflicts of Interest
References
- World Health Organization 2023 data.who.int, WHO Coronavirus (COVID-19) Dashboard > Cases [Dashboard]. Available online: https://data.who.int/dashboards/covid19/cases%0A%0A (accessed on 11 June 2024).
- Cao, X. COVID-19: Immunopathology and its implications for therapy. Nat. Rev. Immunol. 2020, 20, 269–270. [Google Scholar] [CrossRef] [PubMed]
- Tan, M.; Liu, Y.; Zhou, R.; Deng, X.; Li, F.; Liang, K.; Shi, Y. Immunopathological characteristics of coronavirus disease 2019 cases in Guangzhou, China. Immunology 2020, 160, 261–268. [Google Scholar] [CrossRef] [PubMed]
- Jafarzadeh, A.; Nemati, M.; Jafarzadeh, S. Contribution of STAT3 to the pathogenesis of COVID-19 Abdollah. Microb. Pathog. 2020, 154, 104836. [Google Scholar] [CrossRef] [PubMed]
- Peñaloza, H.F.; Lee, J.S.; Ray, P. Neutrophils and lymphopenia, an unknown axis in severe COVID-19 disease. PLoS Pathog. 2021, 17, e1009850. [Google Scholar] [CrossRef] [PubMed]
- Henry, B.M.; De Oliveira, M.H.S.; Benoit, S.; Plebani, M.; Lippi, G. Hematologic, biochemical and immune biomarker abnormalities associated with severe illness and mortality in coronavirus disease 2019 (COVID-19): A meta-analysis. Clin. Chem. Lab. Med. 2020, 58, 1021–1028. [Google Scholar] [CrossRef] [PubMed]
- Kotagiri, P.; Mescia, F.; Hanson, A.L.; Turner, L.; Bergamaschi, L.; Peñalver, A.; Richoz, N.; Moore, S.D.; Ortmann, B.M.; Dunmore, B.J.; et al. The impact of hypoxia on B cells in COVID-19. eBioMedicine 2022, 77, 103878. [Google Scholar] [CrossRef] [PubMed]
- Xiong, Y.; Liu, Y.; Cao, L.; Wang, D.; Guo, M.; Jiang, A.; Guo, D.; Hu, W.; Yang, J.; Tang, Z.; et al. Transcriptomic characteristics of bronchoalveolar lavage fluid and peripheral blood mononuclear cells in COVID-19 patients. Emerg. Microbes Infect. 2020, 9, 761–770. [Google Scholar] [CrossRef] [PubMed]
- Tavakolpour, S.; Rakhshandehroo, T.; Wei, E.X.; Rashidian, M. Lymphopenia during the COVID-19 infection: What it shows and what can be learned. Immunol. Lett. 2020, 225, 31–32. [Google Scholar] [CrossRef] [PubMed]
- Carfì, A.; Bernabei, R.; Landi, F. Persistent Symptoms in Patients After Acute COVID-19. JAMA Netw. 2020, 324, 603–605. [Google Scholar] [CrossRef] [PubMed]
- Chen, C.; Haupert, S.R.; Zimmermann, L.; Shi, X.; Fritsche, L.G.; Mukherjee, B. Global Prevalence of Post-Coronavirus Disease 2019 (COVID-19) Condition or Long COVID: A Meta-Analysis and Systematic Review. J. Infect. Dis. 2022, 226, 1593–1607. [Google Scholar] [CrossRef]
- Venkatesan, P. NICE guideline on long COVID. Lancet. Respir. Med. 2021, 9, 129. [Google Scholar] [CrossRef] [PubMed]
- Simon, Q.; Pers, J.O.; Cornec, D.; Le Pottier, L.; Mageed, R.A.; Hillion, S. In-depth characterization of CD24highCD38high transitional human B cells reveals different regulatory profiles. J. Allergy Clin. Immunol. 2016, 137, 1577–1584.e10. [Google Scholar] [CrossRef] [PubMed]
- Cancro, M.P. Age-Associated B Cells. Annu. Rev. Immunol. 2020, 38, 315–340. [Google Scholar] [CrossRef] [PubMed]
- Koczulla, A.R.; Ankermann, T.; Behrends, U.; Berlit, P.; Böing, S.; Brinkmann, F.; Franke, C.; Glöckl, R.; Gogoll, C.; Hummel, T.; et al. S1 Guideline Post-COVID/Long-COVID. Pneumologie 2021, 75, 869–900. [Google Scholar] [CrossRef]
- Al-aly, Z.; Xie, Y.; Bowe, B. High-dimensional characterization of post-acute sequelae of COVID-19. Nature 2021, 594, 259–264. [Google Scholar] [CrossRef] [PubMed]
- Govender, M.; Hopkins, F.R.; Göransson, R.; Svanberg, C.; Shankar, E.M.; Hjorth, M.; Nilsdotter-Augustinsson, Å.; Sjöwall, J.; Nyström, S.; Larsson, M. T cell perturbations persist for at least 6 months following hospitalization for COVID-19. Front. Immunol. 2022, 13, 931039. [Google Scholar] [CrossRef] [PubMed]
- Peluso, M.J.; Deitchman, A.N.; Torres, L.; Iyer, N.S.; Munter, S.E.; Nixon, C.C.; Donatelli, J.; Thanh, C.; Takahashi, S.; Hakim, J.; et al. Long-term SARS-CoV-2-specific immune and inflammatory responses in individuals recovering from COVID-19 with and without post-acute symptoms. Cell Rep. 2020, 36, 109518. [Google Scholar] [CrossRef] [PubMed]
- Ali, N. Elevated level of C-reactive protein may be an early marker to predict risk for severity of COVID-19. J. Med. Virol. 2020, 92, 2409–2411. [Google Scholar] [CrossRef] [PubMed]
- Regolo, M.; Vaccaro, M.; Sorce, A.; Stancanelli, B.; Colaci, M.; Natoli, G.; Russo, M.; Alessandria, I.; Motta, M.; Santangelo, N.; et al. Neutrophil-to-Lymphocyte Ratio (NLR) Is a Promising Predictor of Mortality and Admission to Intensive Care Unit of COVID-19 Patients. J. Clin. Med. 2022, 11, 2235. [Google Scholar] [CrossRef] [PubMed]
- Lee, J.; Park, S.S.; Kim, T.Y.; Lee, D.G.; Kim, D.W. Lymphopenia as a biological predictor of outcomes in COVID-19 patients: A nationwide cohort study. Cancers 2021, 13, 471. [Google Scholar] [CrossRef]
- Shuwa, H.A.; Shaw, T.N.; Knight, S.B.; Wemyss, K.; McClure, F.A.; Pearmain, L.; Prise, I.; Jagger, C.; Morgan, D.J.; Khan, S.; et al. Alterations in T and B cell function persist in convalescent COVID-19 patients. Med 2021, 2, 720–735.e4. [Google Scholar] [CrossRef] [PubMed]
- Cheon, I.S.; Li, C.; Son, Y.M.; Goplen, N.P.; Wu, Y.; Cassmann, T.; Wang, Z.; Wei, X.; Tang, J.; Li, Y.; et al. Immune signatures underlying post-acute COVID-19 lung sequelae. Sci. Immunol. 2021, 6, eabk1741. [Google Scholar] [CrossRef] [PubMed]
- Aiello, A.; Farzaneh, F.; Candore, G.; Caruso, C.; Davinelli, S.; Gambino, C.M.; Ligotti, M.E.; Zareian, N.; Accardi, G. Immunosenescence and its hallmarks: How to oppose aging strategically? A review of potential options for therapeutic intervention. Front. Immunol. 2019, 10, 2247. [Google Scholar] [CrossRef]
- Pedroso, R.; Ventura, L.H.A.; Torres, L.; Camatta, G.C.; Caixeta, F.; Nascimento, L.; Mota, C.; Mendes, A.C.; Ribeiro, F.; Guimaraes, H.C.; et al. COVID-19 Induces Senescence and Exhaustion of T Cells in Patients with Mild/Moderate and Severe Disease During a Seven-Day Interval. medRxiv 2023. [Google Scholar] [CrossRef]
- Wildner, N.H.; Ahmadi, P.; Schulte, S.; Brauneck, F.; Kohsar, M.; Lütgehetmann, M.; Beisel, C.; Addo, M.M.; Haag, F.; Schulze zur Wiesch, J. B cell analysis in SARS-CoV-2 versus malaria: Increased frequencies of plasmablasts and atypical memory B cells in COVID-19. J. Leukoc. Biol. 2021, 109, 77–90. [Google Scholar] [CrossRef]
- Gjertsson, I.; Mcgrath, S.; Grimstad, K.; Jonsson, C.A.; Camponeschi, A.; Thorarinsdottir, K.; Mårtensson, I.L. A close-up on the expanding landscape of CD21-/low B cells in humans. Clin. Exp. Immunol. 2022, 210, 217–229. [Google Scholar] [CrossRef] [PubMed]
- Ryan, F.J.; Hope, C.M.; Masavuli, M.G.; Lynn, M.A.; Mekonnen, Z.A.; Eng, A.; Yeow, L.; Garcia-valtanen, P.; Al-delfi, Z.; Gummow, J.; et al. Long-term perturbation of the peripheral immune system months after SARS-CoV-2 infection. BMC Med. 2022, 20, 26. [Google Scholar] [CrossRef]
- Dan, J.M.; Mateus, J.; Kato, Y.; Hastie, K.M.; Yu, E.D.; Faliti, C.E.; Grifoni, A.; Ramirez, S.I.; Haupt, S.; Frazier, A.; et al. Immunological memory to SARS-CoV-2 assessed for up to 8 months after infection. Science 2021, 371, eabf4063. [Google Scholar] [CrossRef]
- Newell, K.L.; Clemmer, D.C.; Cox, J.B.; Kayode, Y.I.; Zoccoli-Rodriguez, V.; Taylor, H.E.; Endy, T.P.; Wilmore, J.R.; Winslow, G.M. Switched and unswitched memory B cells detected during SARS-CoV-2 convalescence correlate with limited symptom duration. PLoS ONE 2021, 16, e0244855. [Google Scholar] [CrossRef]
- Yapasert, R.; Khaw-On, P.; Banjerdpongchai, R. Coronavirus infection-associated cell death signaling and potential therapeutic targets. Molecules 2021, 26, 7459. [Google Scholar] [CrossRef]
- Rodda, L.B. Functional SARS-CoV-2-Specific Immune Memory Persists after Mild COVID-19; Elsevier: Amsterdam, The Netherlands, 2020. [Google Scholar]
- Zhou, Y.; Zhang, Y.; Han, J.; Yang, M.; Zhu, J.; Jin, T. Transitional B cells involved in autoimmunity and their impact on neuroimmunological diseases. J. Transl. Med. 2020, 18, 131. [Google Scholar] [CrossRef]
- Amanna, I.J.; Carlson, N.E.; Slifka, M.K. Duration of humoral immunity to common viral and vaccine antigens. N. Engl. J. Med. 2007, 357, 1903–1915. [Google Scholar] [CrossRef]
- Kuri-Cervantes, L.; Pampena, M.B.; Meng, W.; Rosenfeld, A.M.; Ittner, C.A.G.; Weisman, A.R.; Agyekum, R.S.; Mathew, D.; Baxter, A.E.; Vella, L.A.; et al. Comprehensive mapping of immune perturbations associated with severe COVID-19. Sci. Immunol. 2020, 5, eabd7114. [Google Scholar] [CrossRef]
- Sudre, C.H.; Murray, B.; Varsavsky, T.; Graham, M.S.; Penfold, R.S.; Bowyer, R.C.; Pujol, J.C.; Klaser, K.; Antonelli, M.; Canas, L.S.; et al. Attributes and predictors of long COVID. Nat. Med. 2021, 27, 626–631. [Google Scholar] [CrossRef] [PubMed]
- Qin, C.; Zhou, L.; Hu, Z.; Zhang, S.; Yang, S.; Tao, Y.; Xie, C.; Ma, K.; Shang, K.; Wang, W.; et al. Dysregulation of Immune Response in Patients with COVID-19 in Wuhan, China. Clin. Infect. Dis. 2020, 71, 762–768. [Google Scholar] [CrossRef] [PubMed]
- Hu, F.; Chen, F.; Ou, Z.; Fan, Q.; Tan, X.; Wang, Y.; Pan, Y.; Ke, B.; Li, L.; Guan, Y.; et al. A compromised specific humoral immune response against the SARS-CoV-2 receptor-binding domain is related to viral persistence and periodic shedding in the gastrointestinal tract. Cell. Mol. Immunol. 2020, 17, 1119–1125. [Google Scholar] [CrossRef] [PubMed]
- Chen, G.; Wu, D.; Guo, W.; Cao, Y.; Huang, D.; Wang, H.; Wang, T.; Zhang, X.; Chen, H.; Yu, H.; et al. Clinical and immunological features of severe and moderate coronavirus disease 2019. J. Clin. Investig. 2020, 130, 2620–2629. [Google Scholar] [CrossRef]
- Kedor, C.; Freitag, H.; Meyer-Arndt, L.; Wittke, K.; Zoller, T.; Steinbeis, F.; Haffke, M.; Rudolf, G.; Heidecker, B.; Volk, H.; et al. Chronic COVID-19 Syndrome and Chronic Fatigue Syndrome (ME/CFS) following the first pandemic wave in Germany—A first analysis of a prospective observational study. Nat. Commun. 2022, 13, 1–13. [Google Scholar] [CrossRef] [PubMed]
- Westermeier, F.; Nacul, L.C.; Oltra, E.; Komaroff, A.L.; Bateman, L. Will COVID-19 Lead to Myalgic Encephalomyelitis/Chronic Fatigue Syndrome? Front. Med. 2021, 1, 606824. [Google Scholar] [CrossRef]
- Jones, J.F.; Ray, C.G.; Minnich, L.L.; Hicks, M.J.; Kibler, R.; Lucas, D.O. Evidence for active Epstein-Barr virus infection in patients with persistent, unexplained illnesses: Elevated anti-early antigen antibodies. Ann. Intern. Med. 1985, 102, 1–7. [Google Scholar] [CrossRef]
- Hickie, I.; Davenport, T.; Wakefield, D.; Vollmer-Conna, U.; Cameron, B.; Vernon, S.D.; Reeves, W.C.; Lloyd, A. Post-infective and chronic fatigue syndromes precipitated by viral and non-viral pathogens: Prospective cohort study. Br. Med. J. 2006, 333, 575–578. [Google Scholar] [CrossRef] [PubMed]
- Davis, H.E.; Mccorkell, L.; Vogel, J.M.; Topol, E.J. Long COVID: Major findings, mechanisms and recommendations. Nat. Rev. Microbiol. 2023, 21, 133–146. [Google Scholar] [CrossRef] [PubMed]
- Guntur, V.P.; Nemkov, T.; de Boer, E.; Mohning, M.P.; Baraghoshi, D.; Cendali, F.I.; San-Millán, I.; Petrache, I.; D’Alessandro, A. Signatures of Mitochondrial Dysfunction and Impaired Fatty Acid Metabolism in Plasma of Patients with Post-Acute Sequelae of COVID-19 (PASC). Metabolites 2022, 12, 1026. [Google Scholar] [CrossRef] [PubMed]
- Peluso, M.J.; Deveau, T.M.; Munter, S.E.; Ryder, D.; Buck, A.; Beck-Engeser, G.; Chan, F.; Lu, S.; Goldberg, S.A.; Hoh, R.; et al. Chronic viral coinfections differentially affect the likelihood of developing long COVID. J. Clin. Investig. 2023, 133, e163669. [Google Scholar] [CrossRef] [PubMed]
- Chang, S.E.; Feng, A.; Meng, W.; Apostolidis, S.A.; Mack, E.; Artandi, M.; Barman, L.; Bennett, K.; Chakraborty, S.; Chang, I.; et al. New-onset IgG autoantibodies in hospitalized patients with COVID-19. Nat. Commun. 2021, 12, 5417. [Google Scholar] [CrossRef] [PubMed]
- Shi, H.; Zuo, Y.; Navaz, S.; Harbaugh, A.; Hoy, C.K.; Gandhi, A.A.; Sule, G.; Yalavarthi, S.; Gockman, K.; Madison, J.A.; et al. Endothelial Cell–Activating Antibodies in COVID-19. Arthritis Rheumatol. 2022, 74, 1132–1138. [Google Scholar] [CrossRef]
- Saichi, M.; Ladjemi, Z.; Korniotis, S. Single-cell RNA sequencing of blood antigen-presenting cells in severe COVID-19 reveals multi-process defects in antiviral immunity. Nat. Cell Biol. 2021, 23, 538–551. [Google Scholar] [CrossRef]
Controls (UHC) | COVID-19 All | COVID-19 Group 1 (G1) | COVID-19 Group 2 (G2) | COVID-19 Group 3 (G3) | |
---|---|---|---|---|---|
N | 28 | 106 | 21 | 46 | 39 |
Females (%) | 75 | 47.1 | 47.6 | 50.0 | 41.0 |
Mean age (min–max) | 48.9 (32–72) | 60.6 (32–88) | 66.4 (37–84) | 65.2 (32–88) | 52.3 (32–81) |
Blood sampling after symptoms onset (days) | n/a | 85–319 | 85–150 | 151–210 | 211–320 |
Severity of disease
| n/a n/a | 44 (41.5%) 62 (58.5%) | 4 (19.1%) 17 (81.0%) | 15 (32.6%) 31 (67.4%) | 25 (64.1%) 14 (35.9%) |
Positive SARS-CoV-2 serology | n/a | 106 | 21 | 46 | 39 |
Post-COVID-19 condition | n/a | 56 (51%) | 12 (57%) | 30 (65%) | 14 (35.9%) |
Median leucocytes in cells per µL (Min/Max) | 7.41 (4.25/10.71) | 6.59 (3.68/12.93) | 7.41 (4.06/11.4) | 6.50 (3.68/11.7) | 6.10 (4.29/12.93) |
Median lymphocytes in cells per µL (Min/Max) | 2.08 (1.31/4.27) | 1.84 (0.9/3.57) | 1.91 (1.23/3.56) | 1.76 (0.92/3.22) | 1.84 (0.9/3.57) |
Median neutrophils in cells per µL (Min/Max) | 4.6 (2.43/8.21) | 4.05 (1.44/10.7) | 4.68 (1.84/7.06) | 3.87 (1.79/9.65) | 3.84 (1.44/10.7) |
Neutrophil lymphocyte Ratio (Min/Max) | 2.04 (0.78/4.12) | 2.07 (0.61/7.34) | 1.89 (0.97/4.73) | 2.14 (1.03/7.34) | 2.04 (0.62/7.27) |
Median hemoglobin in mmol/L (Min/Max) | n/a | 8.9 (5.2/11.5) | 9.1 (6.8/10.9 | 8.7 (5.2/10.7) | 9.05 (7.6/11.5) |
Median platelets in Gpt/L (Min/Max) | n/a | 236 86/435) | 204 (123/359 | 242 (86/435) | 237 (154/402) |
C-reactive Protein in mg/L (Min/Max) | 1.7 (0.3/9.3) | 1.6 (0.3/21.3) | 1.6 (0.3/14.0) | 1.6 (0.3/21.3) | 1.5 (0.3/10.0) |
Lactate dehydrogenase in µmol/L*s (Min/Max) | n/a | 3.36 (2.39/6.3) | 3.45 (2.78/4.76) | 3.36 (2.39/5.34) | 3.29 (2.52/6.3) |
Median IgG in g/dL (Min/Max) | 10.45 (7.6/18.2) | 10.8 (1.8/28.9) | 9.25 (6.6/13.5) | 11.25 (1.8/28.9) | 10.3 (6.8/17.0) |
Median IgA in g/dL (Min/Max) | 1.965 (0.85/4.15) | 2.38 (0.05/7.04) | 2.47 (0.81/5.64) | 2.42 (0.05/7.04) | 2.34 (0.7/5.68) |
Median IgM in g/dL (Min/Max) | 0.975 (0.31/12.5) | 0.87 (0.25/2.75) | 0.765 (0.27/1.79) | 0.955 (0.34/2.75) | 0.800 (0.25/2.64) |
Disclaimer/Publisher’s Note: The statements, opinions and data contained in all publications are solely those of the individual author(s) and contributor(s) and not of MDPI and/or the editor(s). MDPI and/or the editor(s) disclaim responsibility for any injury to people or property resulting from any ideas, methods, instructions or products referred to in the content. |
© 2024 by the authors. Licensee MDPI, Basel, Switzerland. This article is an open access article distributed under the terms and conditions of the Creative Commons Attribution (CC BY) license (https://creativecommons.org/licenses/by/4.0/).
Share and Cite
Berger, L.; Wolf, J.; Kalbitz, S.; Kellner, N.; Lübbert, C.; Borte, S. Comparative Analysis of Lymphocyte Populations in Post-COVID-19 Condition and COVID-19 Convalescent Individuals. Diagnostics 2024, 14, 1286. https://doi.org/10.3390/diagnostics14121286
Berger L, Wolf J, Kalbitz S, Kellner N, Lübbert C, Borte S. Comparative Analysis of Lymphocyte Populations in Post-COVID-19 Condition and COVID-19 Convalescent Individuals. Diagnostics. 2024; 14(12):1286. https://doi.org/10.3390/diagnostics14121286
Chicago/Turabian StyleBerger, Luisa, Johannes Wolf, Sven Kalbitz, Nils Kellner, Christoph Lübbert, and Stephan Borte. 2024. "Comparative Analysis of Lymphocyte Populations in Post-COVID-19 Condition and COVID-19 Convalescent Individuals" Diagnostics 14, no. 12: 1286. https://doi.org/10.3390/diagnostics14121286
APA StyleBerger, L., Wolf, J., Kalbitz, S., Kellner, N., Lübbert, C., & Borte, S. (2024). Comparative Analysis of Lymphocyte Populations in Post-COVID-19 Condition and COVID-19 Convalescent Individuals. Diagnostics, 14(12), 1286. https://doi.org/10.3390/diagnostics14121286