Correlation between Peripheric Blood Markers and Surgical Invasiveness during Humeral Shaft Fracture Osteosynthesis in Young and Middle-Aged Patients
Abstract
1. Introduction
2. Materials and Methods
2.1. Study Design and Patient Selection
2.2. Data Extraction
2.3. Dynamic Markers of Inflammation
2.4. Surgical Protocols
2.5. Statistical Steps
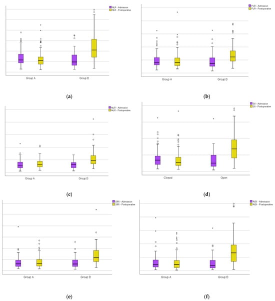
3. Results
4. Discussion
5. Conclusions
Funding
Institutional Review Board Statement
Informed Consent Statement
Data Availability Statement
Acknowledgments
Conflicts of Interest
References
- Gallusser, N.; Barimani, B.; Vauclair, F. Humeral shaft fractures. EFORT Open Rev. 2021, 6, 24–34. [Google Scholar] [CrossRef] [PubMed]
- Mattila, H.; Keskitalo, T.; Simons, T.; Ibounig, T.; Rämö, L. Epidemiology of 936 humeral shaft fractures in a large Finnish trauma center. J. Shoulder Elbow Surg. 2023, 32, e206–e215. [Google Scholar] [CrossRef] [PubMed]
- Kumar, R.; Singh, P.; Chaudhary, L.J.; Singh, S. Humeral shaft fracture management, a prospective study; nailing or plating. J. Clin. Orthop. Trauma 2012, 3, 37–42. [Google Scholar] [CrossRef] [PubMed]
- Tytherleigh-Strong, G.; Walls, N.; McQueen, M.M. The epidemiology of humeral shaft fractures. J. Bone Jt. Surg. Br. 1998, 80, 249–253. [Google Scholar] [CrossRef] [PubMed]
- Moldovan, F.; Moldovan, L.; Bataga, T. Assessment of Labor Practices in Healthcare Using an Innovatory Framework for Sustainability. Medicina 2023, 59, 796. [Google Scholar] [CrossRef] [PubMed]
- Amer, K.M.; Kurland, A.M.; Smith, B.; Abdo, Z.; Amer, R.; Vosbikian, M.M.; Ahmed, I.H. Intramedullary Nailing Versus Plate Fixation for Humeral Shaft Fractures: A Systematic Review and Meta-Analysis. Arch. Bone Jt. Surg. 2022, 10, 661–667. [Google Scholar] [PubMed]
- Zhao, J.G.; Wang, J.; Wang, C.; Kan, S.L. Intramedullary nail versus plate fixation for humeral shaft fractures: A systematic review of overlapping meta-analyses. Medicine 2015, 94, 599. [Google Scholar] [CrossRef] [PubMed]
- Chen, B.K.; Tai, T.H.; Lin, S.H.; Chen, K.H.; Huang, Y.M.; Chen, C.Y. Intramedullary Nail vs. Plate Fixation for Pathological Humeral Shaft Fracture: An Updated Narrative Review and Meta-Analysis of Surgery-Related Factors. J. Clin. Med. 2024, 13, 755. [Google Scholar] [CrossRef] [PubMed]
- Changulani, M.; Jain, U.K.; Keswani, T. Comparison of the use of the humerus intramedullary nail and dynamic compression plate for the management of diaphyseal fractures of the humerus. A randomised controlled study. Int. Orthop. 2007, 31, 391–395. [Google Scholar] [CrossRef]
- Verdonk, F.; Einhaus, J.; Tsai, A.S.; Hedou, J.; Choisy, B.; Gaudilliere, D.; Kin, C.; Aghaeepour, N.; Angst, M.S.; Gaudilliere, B. Measuring the human immune response to surgery: Multiomics for the prediction of postoperative outcomes. Curr. Opin. Crit. Care. 2021, 27, 717–725. [Google Scholar] [CrossRef]
- Amodeo, G.; Bugada, D.; Franchi, S.; Moschetti, G.; Grimaldi, S.; Panerai, A.; Allegri, M.; Sacerdote, P. Immune function after major surgical interventions: The effect of postoperative pain treatment. J. Pain. Res. 2018, 11, 1297–1305. [Google Scholar] [CrossRef]
- Gaudillière, B.; Fragiadakis, G.K.; Bruggner, R.V.; Nicolau, M.; Finck, R.; Tingle, M.; Silva, J.; Ganio, E.A.; Yeh, C.G.; Maloney, W.J.; et al. Clinical recovery from surgery correlates with single-cell immune signatures. Sci. Transl. Med. 2014, 6, 255ra131. [Google Scholar] [CrossRef]
- Cerletti, C.; de Gaetano, G.; Lorenzet, R. Platelet-leukocyte interactions: Multiple links between inflammation, blood coagulation and vascular risk. Mediterr. J. Hematol. Infect. Dis. 2010, 2, e2010023. [Google Scholar] [CrossRef]
- Ng, W.W.; Lam, S.M.; Yan, W.W.; Shum, H.P. NLR, MLR, PLR and RDW to predict outcome and differentiate between viral and bacterial pneumonia in the intensive care unit. Sci. Rep. 2022, 12, 15974. [Google Scholar] [CrossRef]
- Tudurachi, B.S.; Anghel, L.; Tudurachi, A.; Sascău, R.A.; Stătescu, C. Assessment of Inflammatory Hematological Ratios (NLR, PLR, MLR, LMR and Monocyte/HDL-Cholesterol Ratio) in Acute Myocardial Infarction and Particularities in Young Patients. Int. J. Mol. Sci. 2023, 24, 14378. [Google Scholar] [CrossRef]
- Misiewicz, A.; Dymicka-Piekarska, V. Fashionable, but What is Their Real Clinical Usefulness? NLR, LMR, and PLR as a Promising Indicator in Colorectal Cancer Prognosis: A Systematic Review. J. Inflamm. Res. 2023, 16, 69–81. [Google Scholar] [CrossRef]
- Wang, J.; Li, H.; Xu, R.; Lu, T.; Zhao, J.; Zhang, P.; Qu, L.; Zhang, S.; Guo, J.; Zhang, L. The MLR, NLR, PLR and D-dimer are associated with clinical outcome in lung cancer patients treated with surgery. BMC Pulm. Med. 2022, 22, 104. [Google Scholar] [CrossRef]
- Song, Y.; Zhao, Y.; Shu, Y.; Zhang, L.; Cheng, W.; Wang, L.; Shu, M.; Xue, B.; Wang, R.; Feng, Z.; et al. Combination model of neutrophil to high-density lipoprotein ratio and system inflammation response index is more valuable for predicting peripheral arterial disease in type 2 diabetic patients: A cross-sectional study. Front. Endocrinol. 2023, 14, 1100453. [Google Scholar] [CrossRef]
- Moldovan, F. Bone Cement Implantation Syndrome: A Rare Disaster Following Cemented Hip Arthroplasties-Clinical Considerations Supported by Case Studies. J. Pers. Med. 2023, 13, 1381. [Google Scholar] [CrossRef]
- Wang, Z.; Bai, J.; Li, P.; Jiao, G. Predictive value of SIRI, AISI and SII in the diagnosis and risk stratification of acute pulmonary embolism. Acad. J. Chin. Pla Med. Sch. 2024, 45, 53–58. [Google Scholar]
- Van Bergen, S.H.; Mahabier, K.C.; Van Lieshout, E.M.M.; Van der Torre, T.; Notenboom, C.A.W.; Jawahier, P.A.; Verhofstad, M.H.J.; Den Hartog, D. Humeral shaft fracture: Systematic review of non-operative and operative treatment. Arch. Orthop. Trauma. Surg. 2023, 143, 5035–5054. [Google Scholar] [CrossRef]
- Zhang, R.; Yin, Y.; Li, S.; Hou, Z.; Jin, L.; Zhang, Y. Intramedullary nailing versus a locking compression plate for humeral shaft fracture (AO/OTA 12-A and B): A retrospective study. Orthop. Traumatol. Surg. Res. 2020, 106, 1391–1397. [Google Scholar] [CrossRef]
- Hu, Y.; Wu, T.; Li, B.; Huang, Y.; Huang, C.; Luo, Y. Efficacy and Safety Evaluation of Intramedullary Nail and Locking Compression Plate in the Treatment of Humeral Shaft Fractures: A Systematic Review and Meta-analysis. Comput. Math. Methods Med. 2022, 2022, 5759233. [Google Scholar] [CrossRef]
- Butterfield, T.A.; Best, T.M.; Merrick, M.A. The dual roles of neutrophils and macrophages in inflammation: A critical balance between tissue damage and repair. J. Athl. Train. 2006, 41, 457–465. [Google Scholar]
- Shafqat, A.; Khan, J.A.; Alkachem, A.Y.; Sabur, H.; Alkattan, K.; Yaqinuddin, A.; Sing, G.K. How Neutrophils Shape the Immune Response: Reassessing Their Multifaceted Role in Health and Disease. Int. J. Mol. Sci. 2023, 24, 17583. [Google Scholar] [CrossRef]
- Binkowska, A.M.; Michalak, G.; Słotwiński, R. Current views on the mechanisms of immune responses to trauma and infection. Cent. Eur. J. Immunol. 2015, 40, 206–216. [Google Scholar] [CrossRef]
- Dąbrowska, A.M.; Słotwiński, R. The immune response to surgery and infection. Cent. Eur. J. Immunol. 2014, 39, 532–537. [Google Scholar] [CrossRef]
- Wasko, M.K.; Struminski, M.; Bobecka-Wesolowska, K.; Kowalczewski, J. Neutrophil-to-lymphocyte ratio shows faster changing kinetics than C-reactive protein after total hip and knee arthroplasty. J. Orthop. Translat. 2017, 10, 36–41. [Google Scholar] [CrossRef]
- Vester, H.; Huber-Lang, M.S.; Kida, Q.; Scola, A.; van Griensven, M.; Gebhard, F.; Nüssler, A.K.; Perl, M. The immune response after fracture trauma is different in old compared to young patients. Immun. Ageing 2014, 11, 20. [Google Scholar] [CrossRef] [PubMed]
- Mikolajczyk, T.; Moldovan, F.; Ciobanu, I.; Chalupczak, A.; Georgiana Marin, A. Brain Research Using Computer Test. Procedia Technol. 2016, 22, 1113–1120. [Google Scholar] [CrossRef]
- Bandeen-Roche, K.; Walston, J.D.; Huang, Y.; Semba, R.D.; Ferrucci, L. Measuring systemic inflammatory regulation in older adults: Evidence and utility. Rejuvenation Res. 2009, 12, 403–410. [Google Scholar] [CrossRef]
- Ciobanu, I.; Stanculescu Badea, D.I.; Iliescu, A.; Magdalena Popescu, A.; Seiciu, P.S.; Mikolajczyk, T.; Moldovan, F.; Berteanu, M. The Usability Pilot Study of a Mechatronic System for Gait Rehabilitation. Procedia Manuf. 2018, 22, 864–871. [Google Scholar] [CrossRef]
- Moldovan, F.; Bataga, T. Torque Control during Bone Insertion of Cortical Screws. Procedia Manuf. 2020, 46, 484–490. [Google Scholar] [CrossRef]
- Bala, M.M. The benefit of dynamic neutrophil-lymphocyte ratio and systemic immune-inflammation index in predicting survival in patients undergoing hemiarthroplasty. Eur. Rev. Med. Pharmacol. Sci. 2022, 26, 3878–3885. [Google Scholar]
- Chen, P.; Liu, Y.; Lin, X.; Tang, S.; Wang, T.; Zheng, K.; Lin, D.; Lin, C.; Yu, B.; Chen, B.; et al. Diagnostic Value of the Blood Neutrophil-to-Lymphocyte Ratio and Monocyte-to-Lymphocyte Ratio in Tibia Fracture-Related Infection. Dis. Markers 2022, 2022, 6119583. [Google Scholar] [CrossRef]
- Niu, S.; Pei, Y.; Hu, X.; Ding, D.; Jiang, G. Relationship between the neutrophil-to-lymphocyte ratio or platelet-to-lymphocyte ratio and deep venous thrombosis (DVT) following femoral neck fractures in the elderly. Front. Surg. 2022, 9, 1001432. [Google Scholar] [CrossRef]
- Moldovan, F. Sterile Inflammatory Response and Surgery-Related Trauma in Elderly Patients with Subtrochanteric Fractures. Biomedicines 2024, 12, 354. [Google Scholar] [CrossRef]
- Wang, Z.; Wang, Y.; Wang, Y.; Chen, W.; Zhang, Y. Are postoperative NLR and PLR associated with the magnitude of surgery-related trauma in young and middle-aged patients with bicondylar tibial plateau fractures? A retrospective study. BMC Musculoskelet. Disord. 2021, 22, 816. [Google Scholar] [CrossRef]
- Mikolajczyk, T.; Moldovan, L.; Chalupczak, A.; Moldovan, F. Computer Aided Learning Process. Procedia Eng. 2017, 181, 1028–1035. [Google Scholar] [CrossRef]
- Rafaqat, W.; Ahmad, T.; Ibrahim, M.T.; Kumar, S.; Bluman, E.M.; Khan, K.S. Is minimally invasive orthopedic surgery safer than open? A systematic review of systematic reviews. Int. J. Surg. 2022, 101, 106616. [Google Scholar] [CrossRef] [PubMed]
- Alsabani, M.H.; Alotaibi, B.A.; Olayan, L.H.; Alghamdi, A.S.; Alshammasi, M.A.; Alqasir, B.A.; Alrashidi, S.M.; Alshugair, M.S.; Al Harbi, M.K. The Value of Preoperative Systemic Immune-Inflammation Index as a Predictor of Prolonged Hospital Stay in Orthopedic Surgery: A Retrospective Study. Int. J. Gen. Med. 2023, 16, 4773–4782. [Google Scholar] [CrossRef] [PubMed]




| Variables | Cut-Off Values | AUC | 95% CI | Sensitivity | Specificity | p Value |
|---|---|---|---|---|---|---|
| NLR—Admission | 4.99 | 0.398 | 0.307–0.488 | 48.5% | 35.6% | 0.028 |
| PLR—Admission | 155.26 | 0.450 | 0.358–0.542 | 47.1% | 48.9% | 0.281 |
| MLR—Admission | 0.63 | 0.511 | 0.419–0.603 | 50.0% | 62.2% | 0.814 |
| SII—Admission | 1428.60 | 0.415 | 0.323–0.507 | 32.4% | 54.4% | 0.067 |
| SIRI—Admission | 142.14 | 0.503 | 0.412–0.603 | 44.1% | 58.9% | 0.941 |
| AISI—Admission | 891.09 | 0.460 | 0.368–0.552 | 48.5% | 51.1% | 0.393 |
| NLR—Postoperative | 7.20 | 0.780 | 0.704–0.857 | 75.0% | 75.6% | <0.0001 |
| PLR—Postoperative | 174.22 | 0.700 | 0.617–0.783 | 79.4% | 61.1% | <0.0001 |
| MLR—Postoperative | 0.82 | 0.707 | 0.625–0.788 | 61.8% | 68.9% | <0.0001 |
| SII—Postoperative | 1564.74 | 0.797 | 0.726–0.868 | 79.4% | 72.2% | <0.0001 |
| SIRI—Postoperative | 156.95 | 0.744 | 0.667–0.821 | 77.9% | 63.3% | <0.0001 |
| AISI—Postoperative | 1668.58 | 0.802 | 0.731–0.873 | 70.6% | 82.2% | <0.0001 |
| Injury till surgery (days) | 1 | 0.590 | 0.501–0.680 | 61.8% | 53.3% | 0.052 |
| Surgery duration (minutes) | 61 | 0.904 | 0.858–0.949 | 82.4% | 84.4% | <0.0001 |
| Length of hospitalization (days) | 6 | 0.673 | 0.589–0.756 | 80.9% | 45.6% | <0.0001 |
| Variable | All Patients (n = 158) | Group A (n = 90) | Group B (n = 68) | p Value | Probability Correction Coefficient (r) |
|---|---|---|---|---|---|
| Baseline Characteristics | |||||
| Age (years), | 45.39 ± 11.90 | 44.92 ± 11.82 | 46.00 ± 11.83 | 0.571 | 0.061 |
| mean ± SD | |||||
| median (IQR) | 49.00 (21) | 49.00 (20) | 49.00 (22) | ||
| Sex, n (%) | |||||
| Male | 69 (43.7) | 33 (47.8) | 36 (52.2) | 0.051 | 0.162 |
| Female | 89 (56.3) | 57 (64.0) | 32 (36.0) | ||
| Alcohol (yes), n (%) | 42 (26.6) | 25 (59.5) | 17 (40.5) | 0.696 | −0.031 |
| Smoking (yes), n (%) | 42 (26.6) | 27 (64.3) | 15 (35.7) | 0.263 | −0.089 |
| Overweight (yes), n (%) | 77 (48.7) | 41 (53.2) | 36 (46.8) | 0.358 | 0.073 |
| Residence, n (%) | |||||
| Rural | 72 (45.6) | 43 (59.7) | 29 (40.3) | 0.521 | 0.051 |
| Urban | 86 (54.4) | 47 (54.7) | 39 (45.3) | ||
| Hypertension (yes), n (%) | 87 (55.1) | 51 (58.6) | 36 (41.4) | 0.641 | −0.037 |
| IHD (yes), n (%) | 47 (29.7) | 25 (53.2) | 22 (46.8) | 0.533 | 0.050 |
| Asthma (yes), n (%) | 24 (15.2) | 14 (58.3) | 10 (41.7) | 0.883 | −0.012 |
| CB (yes), n (%) | 22 (13.9) | 10 (45.5) | 12 (54.5) | 0.346 | 0.093 |
| Type 2 diabetes (yes), n (%) | 22 (13.9) | 17 (56.7) | 13 (43.3) | 0.971 | 0.003 |
| Fracture characteristics | |||||
| AO classification, n (%) | |||||
| A | 77 (48.7) | 46 (59.7) | 31 (40.3) | 0.492 | 0.055 |
| B | 81 (51.3) | 44 (54.3) | 37 (45.7) | ||
| MoI, n (%) | |||||
| High | 99 (62.7) | 56 (56.6) | 43 (43.4) | 0.896 | 0.010 |
| Low | 59 (37.3) | 34 (57.6) | 25 (42.4) | ||
| Side of the injury, n (%) | |||||
| Left | 63 (39.9) | 38 (60.3) | 25 (39.7) | 0.488 | 0.055 |
| Right | 95 (60.1) | 52 (54.7) | 43 (45.3) | ||
| Surgical factors | |||||
| ASA score, n (%) | |||||
| I-II | 103 (65.2) | 60 (58.3) | 43 (41.7) | 0.654 | 0.036 |
| ≥III | 55 (34.8) | 30 (54.5) | 25 (45.5) | ||
| Type of anesthesia, n (%) | |||||
| Regional | 28 (17.7) | 18 (64.3) | 10 (35.7) | 0.514 | 0.069 |
| General | 130 (82.3) | 72 (55.4) | 58 (44.6) | ||
| Injury till surgery (days), | |||||
| 0–1 cut-off | 74 (46.8) | 48 (64.9) | 26 (35.1) | 0.060 | 0.150 |
| >1 | 84 (53.2) | 42 (50.0) | 42 (50.0) | ||
| LOH (days), | |||||
| 0–6 cut-off | 54 (34.2) | 41 (75.9) | 13 (24.1) | 0.004 | 0.276 |
| >6 | 104 (65.8) | 49 (47.1) | 55 (52.9) | ||
| Surgery duration (min), | |||||
| 0–61 cut-off | 90 (57.0) | 76 (84.4) | 14 (15.6) | <0.0001 | 0.639 |
| >61 | 68 (43.0) | 14 (20.6) | 54 (79.4) | ||
| Laboratory data at admission | |||||
| Neutrophil count (×103/µL), median (IQR) | 7.51 (4.49) | 7.88 (4.19) | 7.30 (4.62) | 0.077 | 0.116 |
| Lymphocyte count (×103/µL), median (IQR) | 1.33 (0.75) | 1.23 (0.69) | 1.48 (0.78) | 0.072 | 0.118 |
| Monocyte count (×103/µL), median (IQR) | 0.72 (0.38) | 0.70 (0.34) | 0.78 (0.43) | 0.173 | 0.090 |
| PLT count (×103/µL), median (IQR) | 218 (92) | 222.50 (86) | 213.50 (98) | 0.711 | −0.024 |
| AST/ALT (>1, reference), median (IQR) | 1.42 (0.59) | 1.44 (0.69) | 1.39 (0.55) | 0.892 | −0.009 |
| WBC (×103/µL), median (IQR) | 10.20 (4.37) | 10.31 (4.48) | 9.45 (4.41) | 0.353 | −0.061 |
| RBC (×106/µL), median (IQR) | 3.97 (1.17) | 3.87 (1.16) | 4.01 (1.18) | 0.454 | 0.055 |
| HGB (g/dL), median (IQR) | 12.05 (3.28) | 12.05 (3.33) | 12.00 (3.06) | 0.745 | 0.012 |
| NLR (>4.99, cut-off), n (%) | 91 (57.6) | 58 (63.7) | 33 (36.3) | 0.045 | 0.159 |
| PLR (>155.26, cut-off), n (%) | 78 (49.4) | 46 (59.0) | 32 (41.0) | 0.614 | −0.040 |
| MLR (>0.63, cut-off), n (%) | 70 (44.3) | 36 (51.4) | 34 (48.6) | 0.210 | 0.100 |
| SII (>1428.60, cut-off), n (%) | 63 (39.9) | 41 (65.1) | 22 (34.9) | 0.093 | 0.136 |
| SIRI (>142.14, cut-off), n (%) | 67 (42.4) | 37 (55.2) | 30 (44.8) | 0.705 | 0.030 |
| AISI (>891.09), n (%) | 77 (48.7) | 44 (57.1) | 33 (42.9) | 0.964 | −0.004 |
| Laboratory data after surgery | |||||
| Neutrophil count (×103/µL), median (IQR) | 8.18 (5.76) | 6.58 (3.94) | 10.16 (4.02) | <0.0001 | 0.485 |
| Lymphocyte count (×103/µL), median (IQR) | 1.11 (0.72) | 1.30 (0.79) | 1.03 (0.56) | 0.007 | 0.216 |
| Monocyte count (×103/µL), median (IQR) | 0.83 (0.50) | 0.76 (0.52) | 0.91 (0.44) | 0.010 | 0.206 |
| PLT count (×103/µL), median (IQR) | 225 (77) | 207.00 (86) | 243.00 (69) | 0.002 | 0.247 |
| WBC (×103/µL), median (IQR) | 9.52 (5.33) | 8.87 (3.71) | 11.27 (5.57) | <0.0001 | 0.295 |
| RBC (×106/µL), median (IQR) | 3.04 (0.94) | 3.07 (0.92) | 2.96 (0.96) | 0.664 | −0.048 |
| HGB (g/dL), median (IQR) | 9.20 (2.07) | 9.25 (2.11) | 8.95 (2.27) | 0.467 | −0.028 |
| NLR (>7.20, cut-off), n (%) | 73 (46.2) | 22 (30.1) | 51 (69.9) | <0.0001 | 0.508 |
| PLR (>174.22, cut-off), n (%) | 89 (56.3) | 35 (39.3) | 54 (60.7) | <0.0001 | 0.405 |
| MLR (>0.82, cut-off), n (%) | 72 (45.6) | 30 (41.7) | 42 (58.3) | <0.0001 | 0.283 |
| SII (>1564.74, cut-off), n (%) | 77 (48.7) | 24 (31.2) | 53 (68.8) | <0.0001 | 0.502 |
| SIRI (>156.96, cut-off), n (%) | 86 (54.4) | 33 (38.4) | 53 (61.6) | <0.0001 | 0.410 |
| AISI (> 668.58), n (%) | 64 (40.5) | 16 (25.0) | 48 (75.0) | <0.0001 | 0.533 |
| Variable | Magnitude of Surgical Trauma | p Value | |
|---|---|---|---|
| OR | 95% CI | ||
| NLR Postoperative | 17.12 | 2.14–136.83 | 0.007 |
| PLR Postoperative | 1.03 | 0.24–4.36 | 0.961 |
| MLR Postoperative | 0.67 | 0.15–2.84 | 0.590 |
| SII Postoperative | 0.26 | 0.24–3.02 | 0.287 |
| SIRI Postoperative | 1.64 | 0.22–12.13 | 0.627 |
| AISI Postoperative | 16.15 | 2.08–125.44 | 0.008 |
| Days till surgery | 1.08 | 0.29–3.96 | 0.900 |
| Duration of surgery (min) | 76.42 | 14.41–405.62 | <0.0001 |
| LOHS (days) | 2.57 | 0.66–9.93 | 0.170 |
Disclaimer/Publisher’s Note: The statements, opinions and data contained in all publications are solely those of the individual author(s) and contributor(s) and not of MDPI and/or the editor(s). MDPI and/or the editor(s) disclaim responsibility for any injury to people or property resulting from any ideas, methods, instructions or products referred to in the content. |
© 2024 by the author. Licensee MDPI, Basel, Switzerland. This article is an open access article distributed under the terms and conditions of the Creative Commons Attribution (CC BY) license (https://creativecommons.org/licenses/by/4.0/).
Share and Cite
Moldovan, F. Correlation between Peripheric Blood Markers and Surgical Invasiveness during Humeral Shaft Fracture Osteosynthesis in Young and Middle-Aged Patients. Diagnostics 2024, 14, 1112. https://doi.org/10.3390/diagnostics14111112
Moldovan F. Correlation between Peripheric Blood Markers and Surgical Invasiveness during Humeral Shaft Fracture Osteosynthesis in Young and Middle-Aged Patients. Diagnostics. 2024; 14(11):1112. https://doi.org/10.3390/diagnostics14111112
Chicago/Turabian StyleMoldovan, Flaviu. 2024. "Correlation between Peripheric Blood Markers and Surgical Invasiveness during Humeral Shaft Fracture Osteosynthesis in Young and Middle-Aged Patients" Diagnostics 14, no. 11: 1112. https://doi.org/10.3390/diagnostics14111112
APA StyleMoldovan, F. (2024). Correlation between Peripheric Blood Markers and Surgical Invasiveness during Humeral Shaft Fracture Osteosynthesis in Young and Middle-Aged Patients. Diagnostics, 14(11), 1112. https://doi.org/10.3390/diagnostics14111112
