Inter-System Variability of Eight Different Handheld Ultrasound (HHUS) Devices—A Prospective Comparison of B-Scan Quality and Clinical Significance in Intensive Care
Abstract
1. Introduction
2. Materials and Methods
2.1. Study Design
2.2. Study Schedule
2.3. Technical Resources—Ultrasound Devices
2.4. Human Resources—Patients and Examiners
2.5. The Sonographic Questions
2.6. The Raters
2.7. Statistics
3. Results
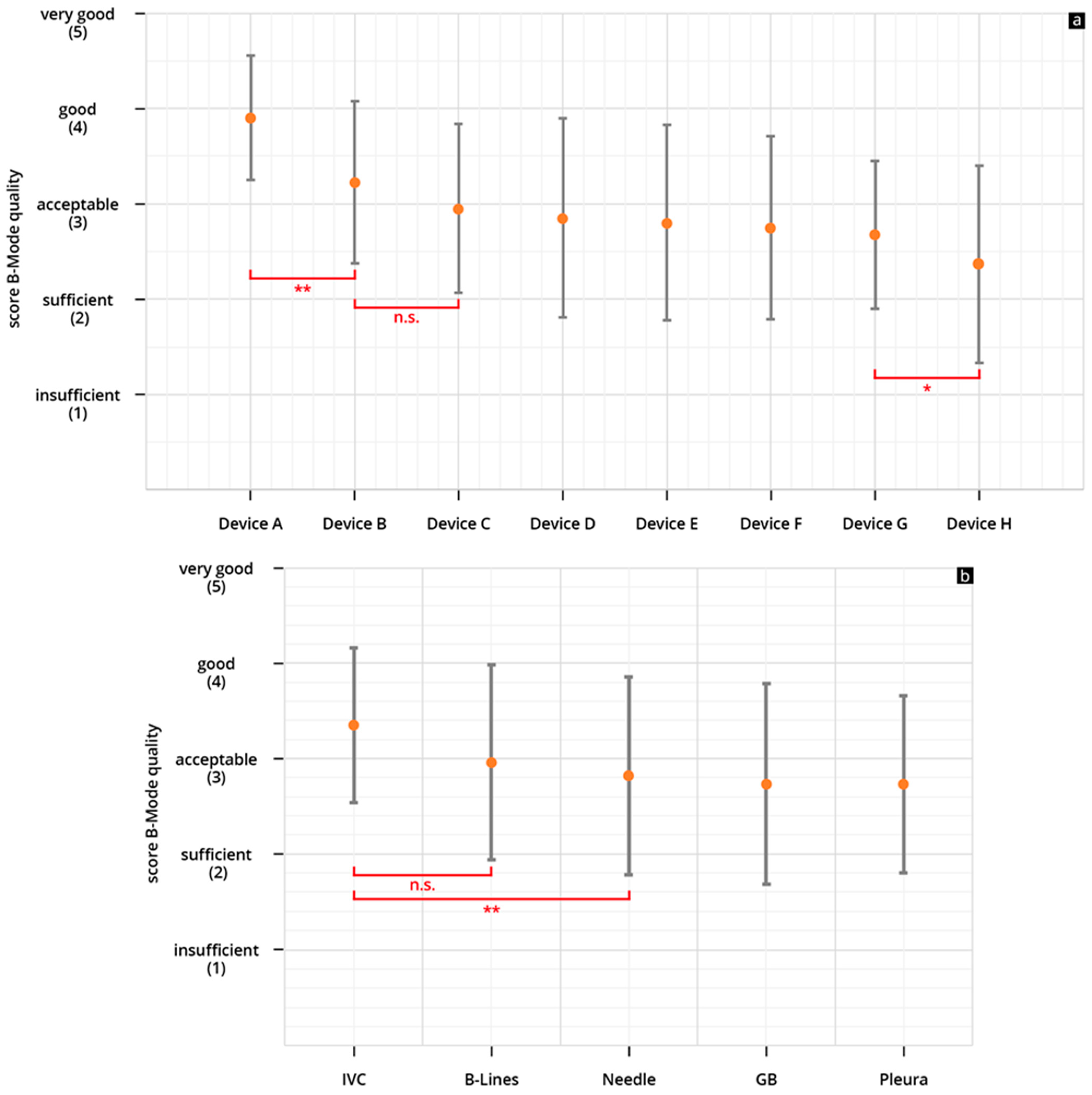
3.1. B-Scan Quality
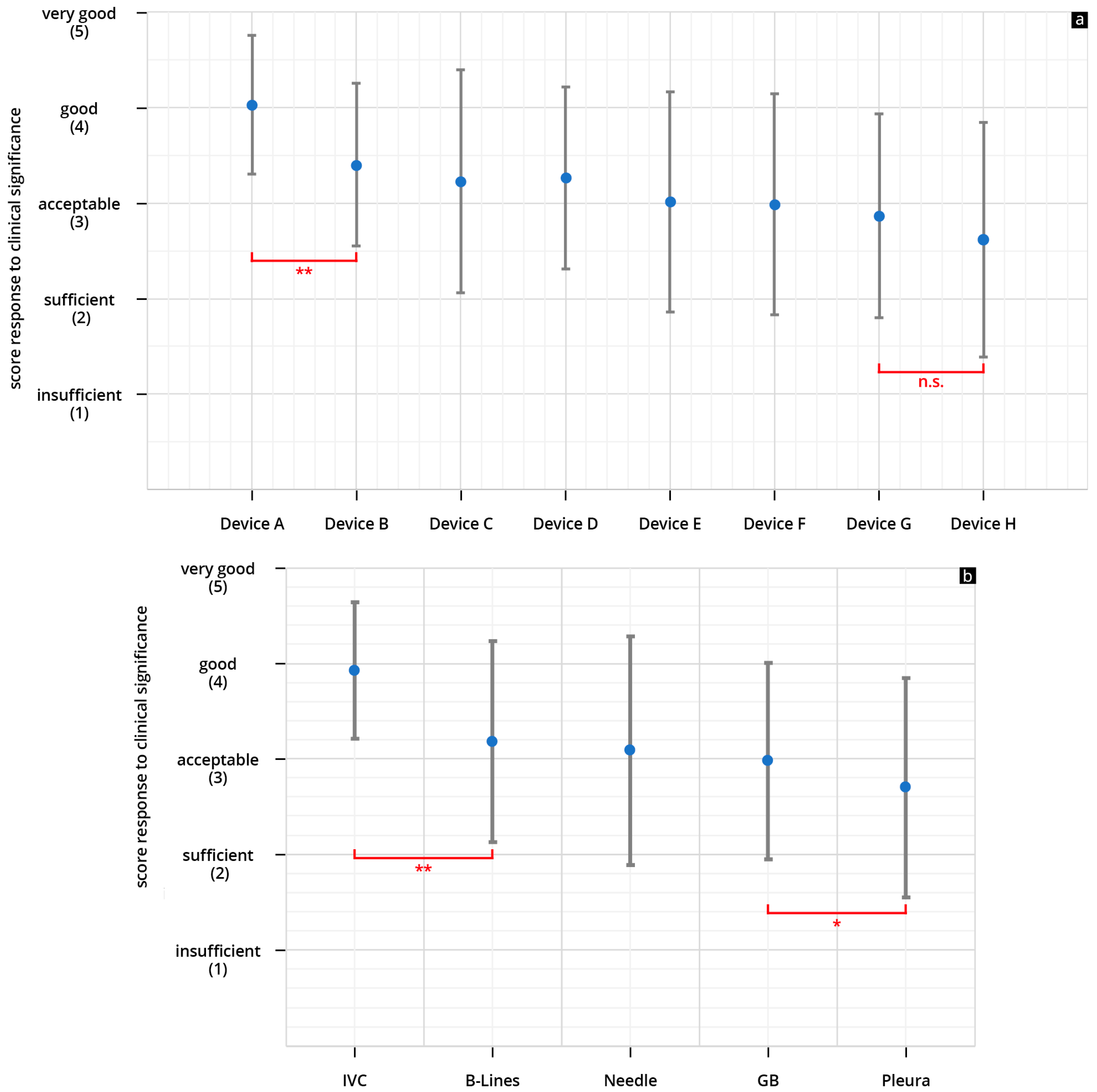
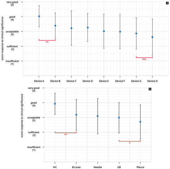
3.2. Clinical Significance
3.3. Comparison of B-Scan Quality and Clinical Significance
3.4. Designation of Manufacturers
4. Discussion
4.1. General Aspects
4.2. The Sonographic Questions
4.3. Selection of HHUS Devices
4.4. Study Results
4.5. Limitations
4.6. Outlook
Supplementary Materials
Author Contributions
Funding
Institutional Review Board Statement
Informed Consent Statement
Data Availability Statement
Acknowledgments
Conflicts of Interest
References
- Dietrich, C.F.; Bolondi, L.; Duck, F.; Evans, D.H.; Ewertsen, C.; Fraser, A.G.; Gilja, O.H.; Jenssen, C.; Merz, E.; Nolsoe, C.; et al. History of Ultrasound in Medicine from its birth to date (2022), on occasion of the 50 Years Anniversary of EFSUMB. A publication of the European Federation of Societies for Ultrasound In Medicine and Biology (EFSUMB), designed to record the historical development of medical ultrasound. Med. Ultrason. 2022, 24, 434–450. [Google Scholar] [CrossRef] [PubMed]
- Tovoli, F.; Cantisani, V.; Schiavone, C.; Piscaglia, F. What Future for Ultrasound in Medicine? Ultraschall Med. 2018, 39, 7–10. [Google Scholar] [CrossRef] [PubMed]
- Jenssen, C.; Ewertsen, C.; Piscaglia, F.; Dietrich, C.F.; Gilja, O.H.; Sidhu, P.S.; Saftoiu, A.; Popescu, A.; Sporea, I.; Cantisani, V.; et al. 50th years anniversary of EFSUMB: Initial roots, maturation, and new shoots. Ultraschall Med. 2022, 43, 227–231. [Google Scholar] [CrossRef] [PubMed]
- Moore, C.; Copel, J. Point-of-Care Ultrasonography. N. Engl. J. Med. 2011, 364, 749–757. [Google Scholar] [CrossRef] [PubMed]
- Karlas, T.; Blank, V.; Trenker, C.; Ignee, A.; Dietrich, C.F. Ultrasound systems for abdominal diagnostics–Current methods, clinical applications and new technologies. Z. Gastroenterol. 2023, 61, 1235–1245. [Google Scholar] [CrossRef] [PubMed]
- Dietrich, C.F.; Bulla, P.; Dudwiesus, H.; Lo, H.; Hocke, M.; Hoffmann, B.; Horn, R.; Lehmann, B.; Morf, S.; Nuernberg, D.; et al. Perspectives and Challenges of hand-held Ultrasound. Z. Gastroenterol. 2023, 61, 836–851. [Google Scholar] [CrossRef]
- Nielsen, M.B.; Cantisani, V.; Sidhu, P.S.; Badea, R.; Batko, T.; Carlsen, J.; Claudon, M.; Ewertsen, C.; Garre, C.; Genov, J.; et al. The Use of Handheld Ultrasound Devices—An EFSUMB Position Paper. Ultraschall Med. 2019, 40, 30–39. [Google Scholar] [CrossRef] [PubMed]
- Ligtvoet, C.; Rusterborgh, H.; Kappen, L.; Bom, N. Real Time Ultrasonic Imaging with a Hand-Held Scanner Part I—Technical Description. Ultrasound Med. Biol. 1978, 4, 91–92. [Google Scholar] [CrossRef]
- Roelandt, J.; Wladimiroff, J.; Baars, A. Ultrasonic Real Time Imaging with a Hand-Held-Scanner Part II—Initial Clinical Experience. Ultrasound Med. Biol. 1978, 4, 93–97. [Google Scholar] [CrossRef]
- Gussenhoven, W.; Kappen, L.; Ligtvoet, C.; Eggink, J. Clinical Evaluation of a Hand-Held-Ultrasound Device in Pediatric Cardiology. Ultrasound Med. Biol. 1980, 6, 271–277. [Google Scholar] [CrossRef]
- Vourvouri, E.C.; Poldermans, D.; Schinkel, A.F.; Sozzi, F.B.; Bax, J.J.; van Urk, H.; Roelandt, J.R. Abdominal aortic aneurysm screening using a hand-held ultrasound device. “A pilot study”. Eur. J. Vasc. Endovasc. Surg. 2001, 22, 352–354. [Google Scholar] [CrossRef][Green Version]
- Piepenback, A.; Klebl, F.; Dorenbeck, U.; Schölmerich, J.; Lock, G.; Schlottmann, K. Evaluation eines tragbaren Ultraschallgerätes im Routinebetrieb der Klinik. RoFo 2002, 174, 349–352. [Google Scholar] [CrossRef]
- Fischer, T.; Filimonow, S.; Petersein, J.; Beyersdorff, D.; Mühler, M.; Bollow, M.; Badakhshi, H.R.; Hamm, B. Ultrasound at the Bedside: Does a Portable Ultrasound Device Save Time? Ultraschall Med. 2002, 23, 311–314. [Google Scholar] [CrossRef] [PubMed]
- Seitz, K.; Vasilakis, D.; Ziegler, M. Efficiency of a Portable B-Scan Ultrasound Device in Comparison to a High-End Machine in Abdominal Ultrasound. Results of a Pilot Study. Ultraschall Med. 2003, 24, 96–100. [Google Scholar] [CrossRef] [PubMed]
- Barreiros, A.P.; Cui, X.W.; Ignee, A.; De Molo, C.; Pirri, C.; Dietrich, C.F. EchoScopy in scanning abdominal diseases: Initial clinical experience. Z. Gastroenterol. 2014, 52, 269–275. [Google Scholar] [CrossRef]
- Cantisani, V.; Dietrich, C.F.; Badea, R.; Dudea, S.; Prosch, H.; Cerezo, E.; Nuernberg, D.; Serra, A.L.; Sidhu, P.S.; Radzina, M.; et al. EFSUMB statement on medical student education in ultrasound [short version]. Ultraschall Med. 2016, 37, 100–102. [Google Scholar] [CrossRef]
- Dietrich, C.F.; Goudie, A.; Chiorean, L.; Cui, X.W.; Gilja, O.H.; Dong, Y.; Abramowicz, J.S.; Vinayak, S.; Westerway, S.C.; Nolsoe, C.P.; et al. Point of Care Ultrasound: A WFUMB Position Paper. Ultrasound Med. Biol. 2017, 43, 49–58. [Google Scholar] [CrossRef]
- Rykkje, A.; Carlsen, J.F.; Nielsen, M.B. Hand-Held Ultrasound Devices Compared with High-End Ultrasound Systems: A Systematic Review. Diagnostics 2019, 9, 61. [Google Scholar] [CrossRef]
- Jung, E.M.; Dinkel, J.; Verloh, N.; Brandenstein, M.; Stroszczynski, C.; Jung, F.; Rennert, J. Wireless point-of-care ultrasound: First experiences with a new generation handheld device. Clin. Hemorheol. Microcirc. 2021, 79, 463–474. [Google Scholar] [CrossRef]
- Bianchi, S.; Savinelli, C.; Paolucci, E.; Pelagatti, L.; Sibona, E.; Fersini, N.; Buggea, M.; Tozzi, C.; Allescia, G.; Paolini, D.; et al. Point-of-care ultrasound (PoCUS) in the early diagnosis of novel coronavirus 2019 disease (COVID-19) in a first-level emergency department during a SARS-CoV-2 outbreak in Italy: A real-life analysis. Intern. Emerg. Med. 2022, 17, 193–204. [Google Scholar] [CrossRef]
- Baribeau, Y.; Sharkey, A.; Chaudhary, O.; Krumm, S.; Fatima, H.; Mahmood, F.; Matyal, R. Handheld Point-of-Care Ultrasound Probes: The New Generation of POCUS. J. Cardiothorac. Vasc. Anesth. 2020, 34, 3139–3145. [Google Scholar] [CrossRef]
- Zieleskiewicz, L.; Lopez, A.; Hraiech, S.; Baumstarck, K.; Pastene, B.; Di Bisceglie, M.; Coiffard, B.; Duclos, G.; Boussuges, A.; Bobbia, X.; et al. Bedside POCUS during ward emergencies is associated with improved diagnosis and outcome: An observational, prospective, controlled study. Crit. Care 2021, 25, 34. [Google Scholar] [CrossRef] [PubMed]
- Cardim, N.; Dalen, H.; Voigt, J.U.; Ionescu, A.; Price, S.; Neskovic, A.N.; Edvardsen, T.; Galderisi, M.; Sicari, R.; Donal, E.; et al. The use of handheld ultrasound devices: A position statement of the European Association of Cardiovascular Imaging (2018 update). Eur. Heart J. Cardiovasc. Imaging 2019, 20, 245–252. [Google Scholar] [CrossRef] [PubMed]
- Malik, A.N.; Rowland, J.; Haber, B.D.; Thom, S.; Jackson, B.; Volk, B.; Ehrman, R.R. The Use of Handheld Ultrasound Devices in Emergency Medicine. Curr. Emerg. Hosp. Med. Rep. 2021, 9, 73–81. [Google Scholar] [CrossRef] [PubMed]
- Dietrich, C.F.; Shi, L.; Lowe, A.; Dong, Y.; Potthoff, A.; Sparchez, Z.; Teufel, A.; Guth, S.; Koch, J.; Barr, R.G.; et al. Conventional ultrasound for diagnosis of hepatic steatosis is better than believed. Z. Gastroenterol. 2022, 60, 1235–1248. [Google Scholar] [CrossRef]
- Le, M.T.; Voigt, L.; Nathanson, R.; Maw, A.M.; Johnson, G.; Dancel, R.; Mathews, B.; Moreira, A.; Sauthoff, H.; Gelabert, C.; et al. Comparison of four handheld point-of-care ultrasound devices by expert users. Ultrasound J. 2022, 14, 27. [Google Scholar] [CrossRef]
- Merkel, D.; Züllich, T.F.; Schneider, C.; Yousefzada, M.; Beer, D.; Ludwig, M.; Weimer, A.; Künzel, J.; Kloeckner, R.; Weimer, J.M. Prospective Comparison of Handheld Ultrasound Devices from Different Manufacturers with Respect to B-Scan Quality and Clinical Significance for Various Abdominal Sonography Questions. Diagnostics 2023, 13, 3622. [Google Scholar] [CrossRef]
- Merkel, D.; Albarri, E.; Yousefzada, M.; Boehm, M.; Gottwald, M.; Schneider, C. Differences in the B-mode imaging quality of ultrasound devices in the mid-price segment. Med. Ultrason. 2023, 25, 288–295. [Google Scholar] [CrossRef]
- Nuernberg, D.; Chammas, M.C.; Merkel, D. Basic Principles of Ultrasound Examination. In WFUMB Course Book, 1st ed.; WFUMB (World Federation for Ultrasound in Medicine and Biology): London, UK, 2021. [Google Scholar]
- Austin, D.R.; Chang, G.M.; Bittner, E.A. Use of Handheld Point-of-Care Ultrasound in Emergency Airway Management. Chest 2021, 159, 1155–1165. [Google Scholar] [CrossRef]
- Lo, H.; Frauendorf, V.; Wischke, S.; Schimmath-Deutrich, C.; Kersten, M.; Nuernberg, M.; Nuernberg, D.; Jenssen, C. Ambulatory Use of Handheld Point-of-Care Ultrasound (HH-POCUS) in Rural Brandenburg—A Pilot Study. Ultraschall Med. 2022, 43, 584–591. [Google Scholar] [CrossRef]
- Rajendram, R.; Hussain, A.; Mahmood, N.; Kharal, M. Feasibility of using a handheld ultrasound device to detect and characterize shunt and deep vein thrombosis in patients with COVID-19: An observational study. Ultrasound J. 2020, 12, 49. [Google Scholar] [CrossRef]
- Bennett, D.; De Vita, E.; Mezzasalma, F.; Lanzarone, N.; Cameli, P.; Bianchi, F.; Perillo, F.; Bargagli, E.; Mazzei, M.A.; Volterrani, L.; et al. Portable Pocket-Sized Ultrasound Scanner for the Evaluation of Lung Involvement in Coronavirus Disease 2019 Patients. Ultrasound Med. Biol. 2021, 47, 19–24. [Google Scholar] [CrossRef]
- McMahon, S.R.; De Francis, G.; Schwartz, S.; Duvall, W.L.; Arora, B.; Silverman, D.I. Tablet-Based Limited Echocardiography to Reduce Sonographer Scan and Decontamination Time during the COVID-19 Pandemic. J. Am. Soc. Echocardiogr. 2020, 33, 895–899. [Google Scholar] [CrossRef]
- Niwa, K.; Hirooka, Y.; Niwa, Y.; Itoh, A.; Ohmiya, N.; Hashimoto, S.; Ishikawa, H.; Okada, N.; Itoh, T.; Goto, H. Comparison of image quality between electronic and mechanical radial scanning echoendoscopes in pancreatic diseases. J. Gastroenterol. Hepatol. 2004, 19, 454–459. [Google Scholar] [CrossRef]
- Zink, F.; Kratzer, W.; Schmidt, S.; Oeztuerk, S.; Mason, R.A.; Porzner, M.; Klaus, J.; Haenle, M.M.; Graeter, T. Comparison of Two High-End Ultrasound Systems for Contrast-Enhanced Ultrasound Quantification of Mural Microvascularity in Crohn’s Disease. Ultraschall Med. 2016, 37, 74–81. [Google Scholar] [CrossRef]
- Ferraioli, G.; De Silvestri, A.; Lissandrin, R.; Maiocchi, L.; Tinelli, C.; Filice, C.; Barr, R.G. Evaluation of Inter-System Variability in Liver Stiffness Measurements. Ultraschall Med. 2019, 40, 64–75. [Google Scholar] [CrossRef]
- Gress, V.S.; Glawion, E.N.; Schmidberger, J.; Kratzer, W. Comparison of Liver Shear Wave Elastography Measurements using Siemens Acuson S3000, GE LOGIQ E9, Philips EPIQ7 and Toshiba Aplio 500 (Software Versions 5.0 and 6.0) in Healthy Volunteers. Ultraschall Med. 2019, 40, 504–512. [Google Scholar] [CrossRef]
- Rossi, D.; Marciano, F.; Cabassa, P. A multi-criteria methodology for evaluating alternative ultrasound devices. Ergonomics 2019, 62, 1301–1312. [Google Scholar] [CrossRef]
- Merkel, D.; Stahlheber, H.; Chupina, V.; Schneider, C. Comparison of the quality of B-scan ultrasound in modern high-end devices. Z. Gastroenterol. 2018, 56, 1491–1498. [Google Scholar] [CrossRef]
- Greim, C.A.; Berderlau, J.; Roewer, N. Ultrasound in Anaesthesia and Perioperative Intensive Care Medicine. Dtsch. Ärzteblatt 2001, 98, 1963–1967. [Google Scholar]
- Fortenbacher, S.; John, S. Fluid Management in Intensive Care Patients–New Strategies and optimal target? Dtsch. Med. Wochenschr. 2023, 148, 318–324. [Google Scholar] [CrossRef]
- Dietrich, C.F.; Mathis, G.; Blaivas, M.; Volpicelli, G.; Seibel, A.; Wastl, D.; Atkinson, N.S.; Cui, X.W.; Fan, M.; Yi, D. Lung B-line artefacts and their use. J. Thorac. Dis. 2016, 8, 1356–1365. [Google Scholar] [CrossRef]
- Esposito, R.; Ilardi, F.; Schiano Lomoriello, V.; Sorrentino, R.; Sellitto, V.; Giugliano, G.; Esposito, G.; Trimarco, B.; Galderisi, M. Identification of the main determinants of abdominal aorta size: A screening by Pocket Size Imaging Device. Cardiovasc. Ultrasound 2017, 15, 2. [Google Scholar] [CrossRef]
- Dalen, H.; Gundersen, G.H.; Skjetne, K.; Haug, H.H.; Kleinau, J.; Norekval, T.M.; Graven, T. Feasibility and reliability of pocket-size ultrasound examinations of the pleural cavities and vena cava inferior performed by nurses in an outpatient heart failure clinic. Eur. J. Cardiovasc. Nurs. 2014, 14, 286–293. [Google Scholar] [CrossRef]
- Del Medico, M.; Altieri, A.; Carnevale-Maffe, G.; Formagnana, P.; Casella, F.; Barchiesi, M.; Bergonzi, M.; Vattiato, C.; Casazza, G.; Cogliati, C. Pocket-size ultrasound device in cholelithiasis: Diagnostic accuracy and efficacy of short-term training. Intern. Emerg. Med. 2018, 13, 1121–1126. [Google Scholar] [CrossRef]
- Henning, B. Acoustic Impedance as a Process Variable to Characterize Liquids. tm-Tech. Mess. 2004, 71, 492–500. [Google Scholar] [CrossRef]
- Patel, S.; Bear, D.; Patel, B.; Puthucheary, Z. Clinical Application of Ultrasound in Intensive Care Unit-Acquired Weakness. Ultraschall Med. 2020, 41, 244–266. [Google Scholar] [CrossRef]
- Zander, D.; Hüske, S.; Hoffmann, B.; Cui, X.W.; Dong, Y.; Lim, A.; Jenssen, C.; Löwe, A.; Koch, J.B.H.; Dietrich, C.F. Ultrasound Image Optimization (“Knobology”): B-Mode. Ultrasound Int. Open 2020, 6, E14–E24. [Google Scholar] [CrossRef] [PubMed]
- Sassaroli, E.; Crake, C.; Scorza, A.; Kim, D.S.; Park, M.A. Image quality evaluation of ultrasound imaging systems: Advanced B-modes. J. Appl. Clin. Med. Phys. 2019, 20, 115–124. [Google Scholar] [CrossRef] [PubMed]
- Kim, S.H.; Lee, J.M.; Kim, K.G.; Kim, J.H.; Han, J.K.; Lee, J.Y.; Choi, B.I. Comparison of fundamental sonography, tissue-harmonic sonography, fundamental compound sonography, and tissue-harmonic compound sonography for focal hepatic lesions. Eur. Radiol. 2006, 16, 2444–2453. [Google Scholar] [CrossRef] [PubMed]
- Yamazaki, A.; Liu, P.; Cheng, W.C.; Badano, A. Image quality characteristics of handheld display devices for medical imaging. PLoS ONE 2013, 8, e79243. [Google Scholar] [CrossRef] [PubMed]
- Browne, J.E.; Watson, A.J.; Gibson, N.M.; Dudley, N.J.; Elliott, A.T. Objective measurements of image quality. Ultrasound Med. Biol. 2004, 30, 229–237. [Google Scholar] [CrossRef] [PubMed]
- Hasegawa, H. Advances in ultrasonography: Image formation and quality assessment. J. Med. Ultrason. 2021, 48, 377–389. [Google Scholar] [CrossRef] [PubMed]
- Graven, T.; Wahba, A.; Hammer, A.M.; Sagen, O.; Olsen, O.; Skjetne, K.; Kleinau, J.O.; Dalen, H. Focused ultrasound of the pleural cavities and the pericardium by nurses after cardiac surgery. Scand. Cardiovasc. J. 2015, 49, 56–63. [Google Scholar] [CrossRef] [PubMed]
- Andrea, S.; Giovanna, L.; Pietro, C.; Luca, F. Teaching echoscopy for the early diagnosis of ascites in cirrhosis: Assessment of an objective structured clinical examination (OSCE). J. Ultrasound 2017, 20, 123–126. [Google Scholar] [CrossRef] [PubMed]
- Hellgren, R.; Dickman, P.; Leifland, K.; Saracco, A.; Hall, P.; Celebioglu, F. Comparison of handheld ultrasound and automated breast ultrasound in women recalled after mammography screening. Acta Radiol. 2017, 58, 515–520. [Google Scholar] [CrossRef] [PubMed]
- Lavi, A.; Tzemah, S.; Hussein, A.; Bishara, I.; Shcherbakov, N.; Zelichenko, G.; Mashiah, A.; Gross, M.; Cherbinski, L.; Neemann, Z. A urologic stethoscope? Urologist performed sonography using a pocket-size ultrasound device in the point-of-care setting. Int. Urol. Nephrol. 2017, 49, 1513–1518. [Google Scholar] [CrossRef]
- Zhao, W.J.; Fu, L.R.; Huang, Z.M.; Zhu, J.Q.; Ma, B.Y. Effectiveness evaluation of computer-aided diagnosis system for the diagnosis of thyroid nodules on ultrasound: A systematic review and meta-analysis. Medicine 2019, 98, e16379. [Google Scholar] [CrossRef]
- Zhang, L.; Jia, Z.; Leng, X.; Ma, F. Segmentation Technology in the Diagnosis of Breast Cancer Axillary Lymph Node Metastasis. J. Healthc. Eng. 2021, 2021, 8830260. [Google Scholar]
- Huang, X.; Qiu, Y.; Bao, F.; Wang, J.; Lin, C.; Lin, Y.; Wu, J.; Yang, H. Artificial intelligence breast ultrasound and handheld ultrasound in the BI-RADS categorization of breast lesions: A pilot head to head comparison study in screening program. Front. Public Health 2022, 10, 1098639. [Google Scholar] [CrossRef]
- Decharatanachart, P.; Chaiteerakij, R.; Tiyarattanachai, T.; Treeprasertsuk, S. Application of artificial intelligence in chronic liver diseases: A systematic review and meta-analysis. BMC Gastroenterol. 2021, 21, 10. [Google Scholar] [CrossRef]
- Remus, C.; Zeiger, I.; Merkel, D.; Jenssen, C.; Nurnberg, D. HHUS (Handheld Ultrasound) and AI (Artificial Intelligence)–Data Collection Projekt to Improve VScan Air CL in Abdoinal Examination. Ultrasound Med. Biol. 2022, 48, S76–S77. [Google Scholar] [CrossRef]
- Moore, B.T.; Osika, T.; Satterly, S.; Shah, S.; Thirion, T.; Hampton, S.; Aylward, S.; Montgomery, S. Evaluation of commercially available point-of-care ultrasound for automated optic nerve sheath measurement. Ultrasound J. 2023, 15, 33. [Google Scholar] [CrossRef]
- Chamadol, N.; Laopaiboon, V.; Srinakarin, J.; Loilome, W.; Yongvanit, P.; Thinkhamrop, B.; Khuntikeo, N. Teleconsultation ultrasonography: A new weapon to combat cholangiocarcinoma. ESMO Open 2017, 2, e000231. [Google Scholar] [CrossRef]
- Maheshwarappa, M.H.; Mishra, S.; Kulkarni, A.V.; Gunaseelan, V.; Kanchi, M. Use of Handheld Ultrasound Device with Artificial Intelligence for Evaluation of Cardiorespiratory System in COVID-19. Indian J. Crit. Care Med. 2021, 25, 524–527. [Google Scholar] [CrossRef]






| Device Name | Manufacturer | Country | Image Transmission | Transducer |
|---|---|---|---|---|
| Alpinion minisono | Alpinion Medical Systems | Seoul, Republic of Korea | Wired | Convex or linear |
| Butterfly iQ+ | Butterfly Network, Inc. | Burlington (MA), USA | Wired | “1.75 D-Array” |
| Clarius C3 HD3 | Clarius Mobile Health Corp. | Burnaby (BC), Canada | Cordless | Multiple attachable probes |
| iSiniQ 30A * | Prunus Medical Shenzhen | Shenzhen, China | Cordless | |
| Kosmos | EchoNous Inc. | Redmond (WA) USA | Wired | All-in-one transducer |
| mSonics MU 1 * | Lang Sheng Sozhou | Guangdong, China | Unknown | |
| Philips Lumify | Koninklijke Philips N.V. | Amsterdam, The Netherlands | Wired | Broadband convex and two other variants |
| SonoSite iViz | FUJIFILM Corporation | Tokio, Japan | Wired | All-in-one transducer |
| Sonostar * Uprobe-C4PL | Universal Diagnostic Solutions | Vista (CA), USA | Cordless | Convex and linear in one |
| Vscan Air | General Electric | Boston (MA) USA | Cordless | Convex and linear in one |
| Youkey Q7 | Wuhan Youkey Bio-Medical Electronics Co., Ltd. | Wuhan, China | Cordless | Replaceable transducers |
| No. | Organ | Sonographic Question | Sonographic Section | Near vs. Far Field | Penetration Depth |
|---|---|---|---|---|---|
| 1. | Inferior Vena Cava (IVC) | Diameter and variability of IVC, volume status | Median sagital section | Far field | up to 12 cm |
| 2. | Pleural effusion | Presence of effusion | Flank section | Far field | up to 12 cm |
| 3. | Needletracking | Visibility of the needle | Variable: abdomen or intercostal | Near field | up to 6 cm |
| 4. | B-Lines | Presence and number | Thoracic, intercostal | Near field | up to 4 cm |
| 5. | Gallbladder | Wall thickening, sludge, oedema, stones | Diagonal section—right upper abdomen | Near/middle field | up to 8 cm |
| B-Mode Quality | ||||||
|---|---|---|---|---|---|---|
| Device | IVC | Needle | B-Lines | GB | Pleura | Cumulative Score |
| mean ± SD | mean ± SD | mean ± SD | mean ± SD | mean ± SD | mean ± SD | |
| Device A | 4.25 ± 0.44 | 3.43 ± 0.63 | 4.06 ± 0.57 | 4.00 ± 0.52 | 3.75 ± 0.77 | 3.90 ± 0.65 |
| Device B | 2.69 ± 0.71 | 3.69 ± 0.79 | 2.87 ± 0.88 | 2.94 ± 0.85 | 3.12 ± 0.72 | 3.22 ± 0.85 |
| Device C | 3.44 ± 0.73 | 2.00 ± 0.73 | 3.81 ± 0.40 | 2.50 ± 0.52 | 3.00 ± 0.63 | 2.95 ± 0.88 |
| Device D | 3.94 ± 0.85 | 2.36 ± 0.81 | 1.88 ± 0.72 | 3.25 ± 0.93 | 2.81 ± 0.54 | 2.85 ± 1.04 |
| Device E | 2.94 ± 0.68 | 3.81 ± 0.54 | 3.44 ± 0.63 | 1.56 ± 0.51 | 2.25 ± 0.77 | 2.80 ± 1.02 |
| Device F | 3.06 ± 0.57 | 3.18 ± 0.66 | 2.13 ± 0.81 | 3.56 ± 0.73 | 1.81 ± 0.75 | 2.75 ± 0.92 |
| Device G | 3.00 ± 0.52 | 2.50 ± 0.89 | 2.25 ± 0.77 | 2.44 ± 0.51 | 3.19 ± 0.75 | 2.67 ± 0.78 |
| Device H | 3.50 ± 0.63 | 1.56 ± 0.51 | 3.25 ± 0.68 | 1.62 ± 0.72 | 1.87 ± 0.50 | 2.36 ± 1.03 |
| Clin. Signif. | ||||||
| Device | IVC | Needle | B-lines | GB | Pleura | Cumulative Score |
| mean ± SD | mean ± SD | mean ± SD | mean ± SD | mean ± SD | mean ± SD | |
| Device A | 4.37 ± 0.62 | 3.50 ± 0.62 | 4.31 ± 0.48 | 4.06 ± 0.57 | 3.87 ± 0.72 | 4.03 ± 0.73 |
| Device B | 3.56 ± 0.63 | 3.94 ± 0.85 | 3.00 ± 0.82 | 3.00 ± 0.89 | 3.50 ± 0.73 | 3.40 ± 0.85 |
| Device C | 3.75 ± 0.58 | 2.44 ± 1.09 | 4.06 ± 0.44 | 2.63 ± 0.62 | 3.44 ± 0.73 | 3.26 ± 0.95 |
| Device D | 4.44 ± 0.73 | 3.00 ± 1.26 | 2.13 ± 0.80 | 3.13 ± 1.02 | 3.44 ± 0.63 | 3.23 ± 1.17 |
| Device E | 3.44 ± 0.73 | 4.06 ± 0.57 | 3.56 ± 0.63 | 1.44 ± 0.51 | 2.56 ± 0.96 | 3.01 ± 1.15 |
| Device F | 3.63 ± 0.50 | 3.75 ± 0.86 | 2.25 ± 1.06 | 3.56 ± 0.81 | 1.75 ± 0.77 | 2.98 ± 1.15 |
| Device G | 4.12 ± 0.62 | 2.00 ± 0.89 | 2.50 ± 0.73 | 2.37 ± 0.81 | 3.31 ± 0.70 | 2.86 ± 1.06 |
| Device H | 4.06 ± 0.68 | 2.00 ± 0.73 | 3.62 ± 0.62 | 1.37 ± 0.50 | 2.00 ± 0.73 | 2.61 ± 1.23 |
Disclaimer/Publisher’s Note: The statements, opinions and data contained in all publications are solely those of the individual author(s) and contributor(s) and not of MDPI and/or the editor(s). MDPI and/or the editor(s) disclaim responsibility for any injury to people or property resulting from any ideas, methods, instructions or products referred to in the content. |
© 2023 by the authors. Licensee MDPI, Basel, Switzerland. This article is an open access article distributed under the terms and conditions of the Creative Commons Attribution (CC BY) license (https://creativecommons.org/licenses/by/4.0/).
Share and Cite
Weimer, J.M.; Beer, D.; Schneider, C.; Yousefzada, M.; Gottwald, M.; Züllich, T.F.; Weimer, A.; Jonck, C.; Buggenhagen, H.; Kloeckner, R.; et al. Inter-System Variability of Eight Different Handheld Ultrasound (HHUS) Devices—A Prospective Comparison of B-Scan Quality and Clinical Significance in Intensive Care. Diagnostics 2024, 14, 54. https://doi.org/10.3390/diagnostics14010054
Weimer JM, Beer D, Schneider C, Yousefzada M, Gottwald M, Züllich TF, Weimer A, Jonck C, Buggenhagen H, Kloeckner R, et al. Inter-System Variability of Eight Different Handheld Ultrasound (HHUS) Devices—A Prospective Comparison of B-Scan Quality and Clinical Significance in Intensive Care. Diagnostics. 2024; 14(1):54. https://doi.org/10.3390/diagnostics14010054
Chicago/Turabian StyleWeimer, Johannes Matthias, Diana Beer, Christoph Schneider, Masuod Yousefzada, Michael Gottwald, Tim Felix Züllich, Andreas Weimer, Christopher Jonck, Holger Buggenhagen, Roman Kloeckner, and et al. 2024. "Inter-System Variability of Eight Different Handheld Ultrasound (HHUS) Devices—A Prospective Comparison of B-Scan Quality and Clinical Significance in Intensive Care" Diagnostics 14, no. 1: 54. https://doi.org/10.3390/diagnostics14010054
APA StyleWeimer, J. M., Beer, D., Schneider, C., Yousefzada, M., Gottwald, M., Züllich, T. F., Weimer, A., Jonck, C., Buggenhagen, H., Kloeckner, R., & Merkel, D. (2024). Inter-System Variability of Eight Different Handheld Ultrasound (HHUS) Devices—A Prospective Comparison of B-Scan Quality and Clinical Significance in Intensive Care. Diagnostics, 14(1), 54. https://doi.org/10.3390/diagnostics14010054

