Elucidating the Correlation between Bone Mineral Density and Multifidus Muscle Characteristics: A Cross-Modal Study with Dual-Energy X-ray Absorptiometry and Spinal Computed Tomography Texture Analysis
Abstract
:1. Introduction
Objectives
2. Materials and Methods
2.1. Study Design and Approval
2.2. CT and DXA Imaging Protocols
2.3. Regions of Interest
Estimation of Multifidus Muscle Texture Analysis Values Using CT
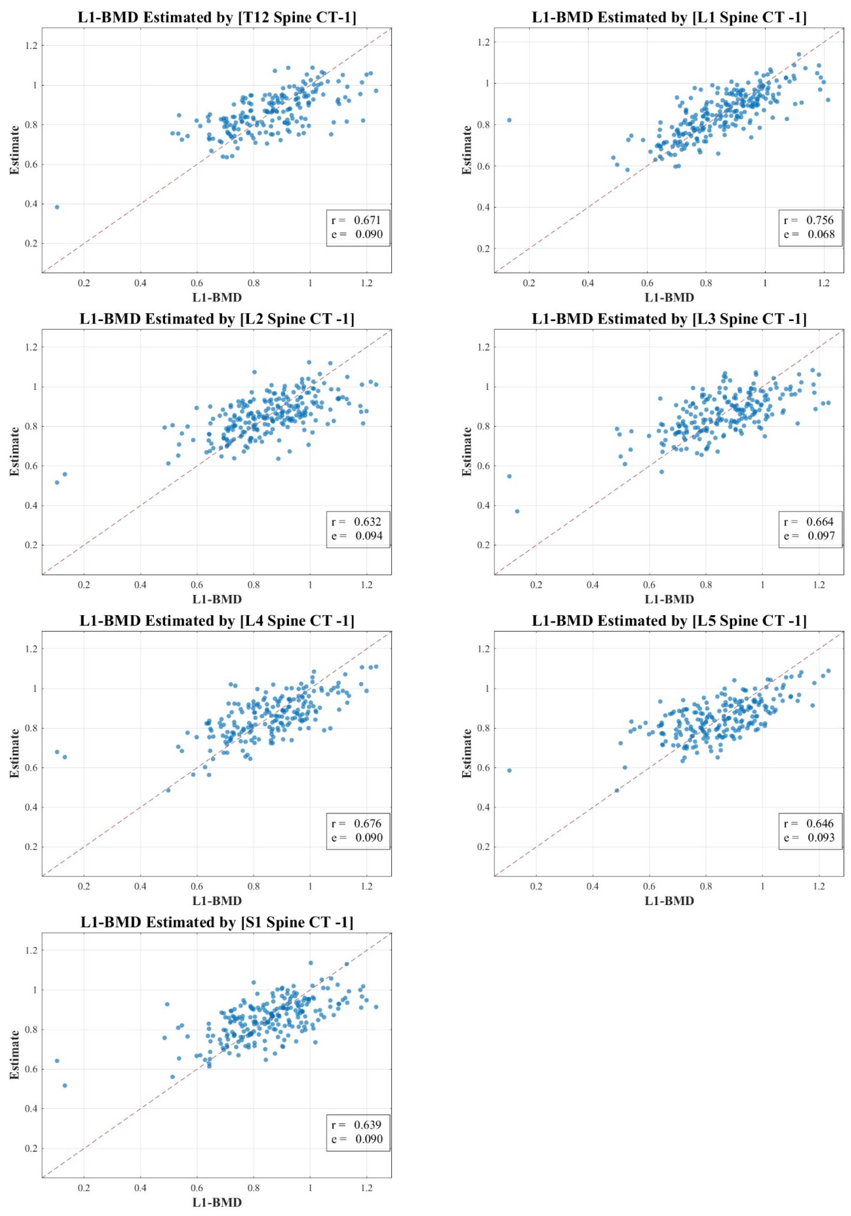
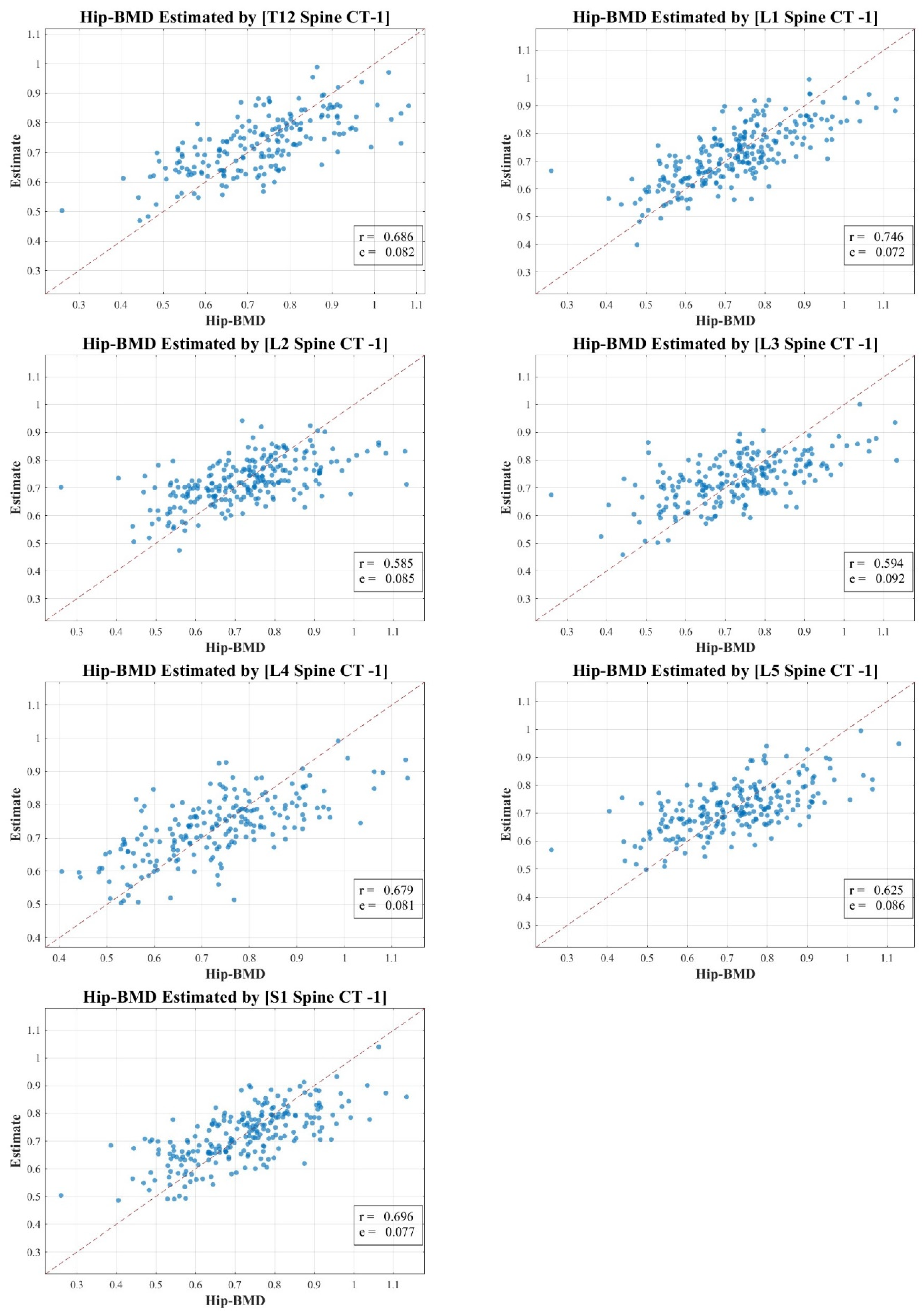
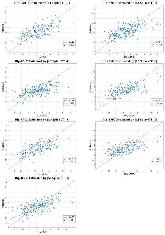
3. Results
3.1. Patient Demographics
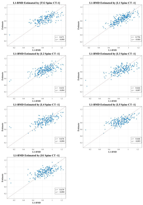
3.2. Correlation Analysis
4. Discussion
5. Conclusions
Author Contributions
Funding
Institutional Review Board Statement
Informed Consent Statement
Data Availability Statement
Conflicts of Interest
References
- Seeman, E.; Hopper, J.L.; Young, N.R.; Formica, C.; Goss, P.; Tsalamandris, C. Do genetic factors explain associations between muscle strength, lean mass, and bone density? A twin study. Am. J. Physiol.-Endocrinol. Metab. 1996, 270, E320–E327. [Google Scholar] [CrossRef]
- Blain, H.; Vuillemin, A.; Teissier, A.; Hanesse, B.; Guillemin, F.; Jeandel, C. Influence of muscle strength and body weight and composition on regional bone mineral density in healthy women aged 60 years and over. Gerontology 2001, 47, 207–212. [Google Scholar] [CrossRef]
- Blain, H.; Jaussent, A.; Thomas, E.; Micallef, J.-P.; Dupuy, A.-M.; Bernard, P.L.; Mariano-Goulart, D.; Cristol, J.-P.; Sultan, C.; Rossi, M.; et al. Appendicular skeletal muscle mass is the strongest independent factor associated with femoral neck bone mineral density in adult and older men. Exp. Gerontol. 2010, 45, 679–684. [Google Scholar] [CrossRef]
- Coin, A.; Perissinotto, E.; Enzi, G.; Zamboni, M.; Inelmen, E.M.; Frigo, A.C.; Manzato, E.; Busetto, L.; Buja, A.; Sergi, G. Predictors of low bone mineral density in the elderly: The role of dietary intake, nutritional status and sarcopenia. Eur. J. Clin. Nutr. 2008, 62, 802–809. [Google Scholar] [CrossRef]
- Žofková, I. Hormonal aspects of the muscle-bone unit. Physiol. Res. 2008, 57, 160–212. [Google Scholar] [CrossRef]
- Forwood, M.; Turner, C. Skeletal adaptations to mechanical usage: Results from tibial loading studies in rats. Bone 1995, 17, S197–S205. [Google Scholar] [CrossRef] [PubMed]
- Pluijm, S.; Visser, M.; Smit, J.; Popp-Snijders, C.; Roos, J.; Lips, P. Determinants of bone mineral density in older men and women: Body composition as mediator. J. Bone Miner. Res. 2001, 16, 2142–2151. [Google Scholar] [CrossRef]
- Genaro, P.S.; Pereira, G.A.; Pinheiro, M.M.; Szejnfeld, V.L.; Martini, L.A. Influence of body composition on bone mass in postmenopausal osteoporotic women. Arch. Gerontol. Geriatr. 2010, 51, 295–298. [Google Scholar] [CrossRef] [PubMed]
- Taaffe, D.R.; Cauley, J.A.; Danielson, M.; Nevitt, M.C.; Lang, T.F.; Bauer, D.C.; Harris, T.B. Race and sex effects on the association between muscle strength, soft tissue, and bone mineral density in healthy elders: The Health, Aging, and Body Composition Study. J. Bone Miner. Res. 2001, 16, 1343–1352. [Google Scholar] [CrossRef]
- Sherk, V.D.; Palmer, I.J.; Bemben, M.G.; Bemben, D.A. Relationships between body composition, muscular strength, and bone mineral density in estrogen-deficient postmenopausal women. J. Clin. Densitom. 2009, 12, 292–298. [Google Scholar] [CrossRef]
- Aloia, J.F.; Vaswani, A.; Ma, R.; Flaster, E. To what extent is bone mass determined by fat-free or fat mass? Am. J. Clin. Nutr. 1995, 61, 1110–1114. [Google Scholar] [CrossRef] [PubMed]
- Khosla, S.; Atkinson, E.J.; Riggs, B.L.; Melton, I.I.I.L.J. Relationship between body composition and bone mass in women. J. Bone Miner. Res. 1996, 11, 857–863. [Google Scholar] [CrossRef] [PubMed]
- Lima, R.M.; Bezerra, L.M.; Rabelo, H.T.; Silva, M.A.; Silva, A.J.; Bottaro, M.; de Oliveira, R.J. Fat-free mass, strength, and sarcopenia are related to bone mineral density in older women. J. Clin. Densitom. 2009, 12, 35–41. [Google Scholar] [CrossRef]
- Szulc, P.; Beck, T.J.; Marchand, F.; Delmas, P.D. Low skeletal muscle mass is associated with poor structural parameters of bone and impaired balance in elderly men—The MINOS study. J. Bone Miner. Res. 2005, 20, 721–729. [Google Scholar] [CrossRef]
- Taes, Y.E.C.; Lapauw, B.; Vanbillemont, G.; Bogaert, V.; De Bacquer, D.; Zmierczak, H.; Goemaere, S.; Kaufman, J.-M. Fat mass is negatively associated with cortical bone size in young healthy male siblings. J. Clin. Endocrinol. Metab. 2009, 94, 2325–2331. [Google Scholar] [CrossRef] [PubMed]
- Van Langendonck, L.; Claessens, A.L.; Lefevre, J.; Thomis, M.; Philippaerts, R.; Delvaux, K.; Lysens, R.; Eynde, B.V.; Beunen, G. Association between bone mineral density (DXA), body structure, and body composition in middle-aged men. Am. J. Hum. Biol. 2002, 14, 735–742. [Google Scholar] [CrossRef] [PubMed]
- Reid, I.R.; Plank, L.D.; Evans, M.C. Fat mass is an important determinant of whole body bone density in premenopausal women but not in men. J. Clin. Endocrinol. Metab. 1992, 75, 779–782. [Google Scholar]
- Cruz-Jentoft, A.J.; Baeyens, J.P.; Bauer, J.M.; Boirie, Y.; Cederholm, T.; Landi, F.; Martin, F.C.; Michel, J.P.; Rolland, Y.; Schneider, S.M.; et al. Sarcopenia: European consensus on definition and diagnosis: Report of the European Working Group on Sarcopenia in Older People. Age Ageing 2010, 39, 412–423. [Google Scholar] [CrossRef] [PubMed]
- Frost, H.M. Bone’s mechanostat: A 2003 update. Anat. Rec. Part A Discov. Mol. Cell. Evol. Biol. Off. Publ. Am. Assoc. Anat. 2003, 275, 1081–1101. [Google Scholar] [CrossRef]
- Pickhardt, P.J.; Lee, L.J.; del Rio, A.M.; Lauder, T.; Bruce, R.J.; Summers, R.M.; Pooler, B.D.; Binkley, N. Simultaneous screening for osteoporosis at CT colonography: Bone mineral density assessment using MDCT attenuation techniques compared with the DXA reference standard. J. Bone Miner. Res. 2011, 26, 2194–2203. [Google Scholar] [CrossRef] [PubMed]
- Pickhardt, P.J. Value-added opportunistic CT screening: State of the art. Radiology 2022, 303, 241–254. [Google Scholar] [CrossRef]
- Zubair, A.R.; Alo, O.A. Grey level co-occurrence matrix (GLCM) based second order statistics for image texture analysis. Int. J. Sci. Eng. Investig. 2019, 8, 64–73. [Google Scholar]
- Pennington, Z.; Ehresman, J.; Lubelski, D.; Cottrill, E.; Schilling, A.; Ahmed, A.K.; Feghali, J.; Witham, T.F.; Sciubba, D.M. Assessing underlying bone quality in spine surgery patients: A narrative review of dual-energy X-ray absorptiometry (DXA) and alternatives. Spine J. 2021, 21, 321–331. [Google Scholar] [CrossRef] [PubMed]
- Wang, Y.; Chen, H.; Heng, Q.; Hou, W.; Fan, Y.; Wu, Z.; Wang, J.; Savvides, M.; Shinozaki, T.; Raj, B.; et al. Freematch: Self-adaptive thresholding for semi-supervised learning. arXiv 2022, arXiv:220507246. [Google Scholar]
- Su, X.; Yan, X.; Tsai, C.L. Linear regression. Wiley Interdiscip. Rev. Comput. Stat. 2012, 4, 275–294. [Google Scholar] [CrossRef]
- Kim, M.-W.; Lee, D.-H.; Huh, J.-W.; Bai, J.-W. The impact of obesity on the accuracy of DXA BMD for DXA-equivalent BMD estimation. BMC Musculoskelet. Disorder. 2022, 23, 1130. [Google Scholar] [CrossRef] [PubMed]
- Lee, D.-H.; Kim, M. Comparative study of lumbar bone mineral content using DXA and CT Hounsfield unit values in chest CT. BMC Musculoskelet. Disord. 2023, 24, 1–9. [Google Scholar] [CrossRef]
- McCloskey, E.V.; Oden, A.; Harvey, N.C.; Leslie, W.D.; Hans, D.; Johansson, H.; Barkmann, R.; Boutroy, S.; Brown, J.; Chapurlat, R.; et al. A meta-analysis of trabecular bone score in fracture risk prediction and its relationship to FRAX. J. Bone Miner. Res. 2016, 31, 940–948. [Google Scholar] [CrossRef]
- Sollmann, N.; Kirschke, J.S.; Kronthaler, S.; Boehm, C.; Dieckmeyer, M.; Vogele, D.; Kloth, C.; Lisson, C.G.; Carballido-Gamio, J.; Link, T.M.; et al. (Eds.) Imaging of the Osteoporotic Spine–Quantitative Approaches in Diagnostics and for the Prediction of the Individual Fracture Risk. In RöFo-Fortschritte auf Dem Gebiet der Röntgenstrahlen und der Bildgebenden Verfahren; Georg Thieme Verlag KG: Stuttgart, Germany, 2022. [Google Scholar]
Data Description | Number of Cases (n) |
---|---|
Assessed for eligibility | n = 1722 cases (863 patients) |
Included in study (DXA and CT taken within a month) | n = 1126 (590 patients) |
Spine CT (Actual measurable axial cuts for T12-S1) | n = 856 (417 patients) |
Excluded | History of Lumbar body compression or burst fractures (n = 155) (45 patients) History of surgery for a previous fracture - Vertebroplasty (n = 46) (25 patients) - Kyphoplasty (n = 51) (23 patients) - Metal artifacts (n = 92) (31 patients) Difficulty in identifying trabecular bones due to severe osteolytic or pathological changes. (n = 117) (45 patients) |
Final Analysis for the Study | n = 395 (248 patients) |
Analytical Tool | Parameter | Value/Name/Function | Feature # |
---|---|---|---|
Histogram | Statistics (k) | mean (k = 1), standard deviation (k = 2), skewness (k = 3), kurtosis (k = 4) entropy (k = 5) | 5 |
Texture (GLCM) | Directions (l) | horizontal (l = 1), vertical (l = 2) | 2 × 4 × 5 = 40 |
Levels (m) | 16 (m = 1), 32 (m = 2), 64 (m = 3), 128 (m = 4) | ||
Statistics (n) | contrast (n = 1), correlation (n = 2), energy (n = 3), homogeneity (n = 4), variance (n = 5) |
Case (Number) | 395 (248) |
---|---|
Mean age (years) | 63.12 ± 10.16 |
The time between CT and DXA dates (days) | 7.13 ± 6.12 |
Sex (male/female) | 115/133 |
BMI (kg/m2) | 24.09 ± 4.45 |
Disclaimer/Publisher’s Note: The statements, opinions and data contained in all publications are solely those of the individual author(s) and contributor(s) and not of MDPI and/or the editor(s). MDPI and/or the editor(s) disclaim responsibility for any injury to people or property resulting from any ideas, methods, instructions or products referred to in the content. |
© 2023 by the authors. Licensee MDPI, Basel, Switzerland. This article is an open access article distributed under the terms and conditions of the Creative Commons Attribution (CC BY) license (https://creativecommons.org/licenses/by/4.0/).
Share and Cite
Kim, M.-W.; Noh, Y.-M.; Jung, Y.-S.; Jeon, S.-Y.; Lee, D.-H. Elucidating the Correlation between Bone Mineral Density and Multifidus Muscle Characteristics: A Cross-Modal Study with Dual-Energy X-ray Absorptiometry and Spinal Computed Tomography Texture Analysis. Diagnostics 2023, 13, 3466. https://doi.org/10.3390/diagnostics13223466
Kim M-W, Noh Y-M, Jung Y-S, Jeon S-Y, Lee D-H. Elucidating the Correlation between Bone Mineral Density and Multifidus Muscle Characteristics: A Cross-Modal Study with Dual-Energy X-ray Absorptiometry and Spinal Computed Tomography Texture Analysis. Diagnostics. 2023; 13(22):3466. https://doi.org/10.3390/diagnostics13223466
Chicago/Turabian StyleKim, Min-Woo, Young-Min Noh, Yun-Sung Jung, Se-Yeong Jeon, and Dong-Ha Lee. 2023. "Elucidating the Correlation between Bone Mineral Density and Multifidus Muscle Characteristics: A Cross-Modal Study with Dual-Energy X-ray Absorptiometry and Spinal Computed Tomography Texture Analysis" Diagnostics 13, no. 22: 3466. https://doi.org/10.3390/diagnostics13223466
APA StyleKim, M.-W., Noh, Y.-M., Jung, Y.-S., Jeon, S.-Y., & Lee, D.-H. (2023). Elucidating the Correlation between Bone Mineral Density and Multifidus Muscle Characteristics: A Cross-Modal Study with Dual-Energy X-ray Absorptiometry and Spinal Computed Tomography Texture Analysis. Diagnostics, 13(22), 3466. https://doi.org/10.3390/diagnostics13223466