Combi-Elasto Evaluation of the Degree of Liver Fibrosis in Children with Cholestatic Liver Disease
Abstract
:1. Introduction
2. Materials and Methods
2.1. Study Population
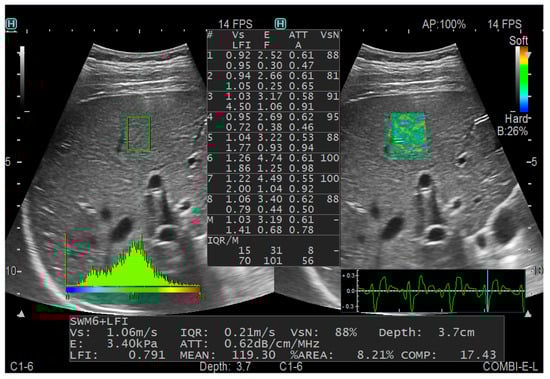
2.2. Imaging Techniques
2.3. Laboratory Indexes
2.4. Pathological Diagnoses
2.5. Statistical Analyses
3. Results
3.1. General Characteristics
3.2. Comparative Study of Conventional Ultrasound and CE
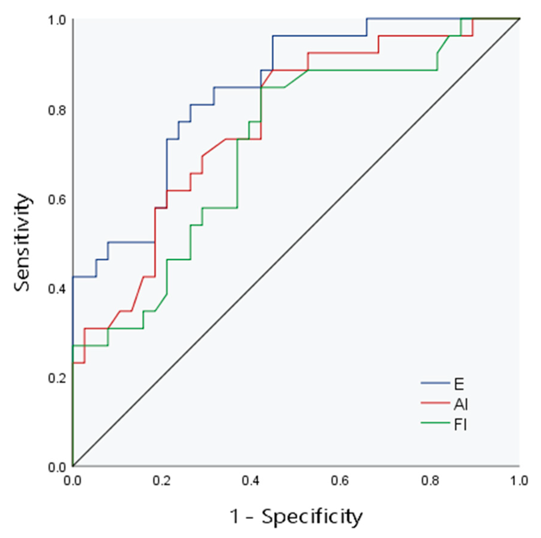
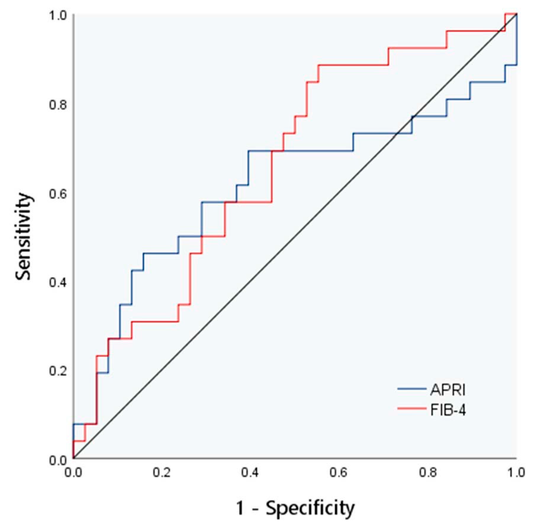
3.3. Diagnostic Efficacy of Laboratory Indexes
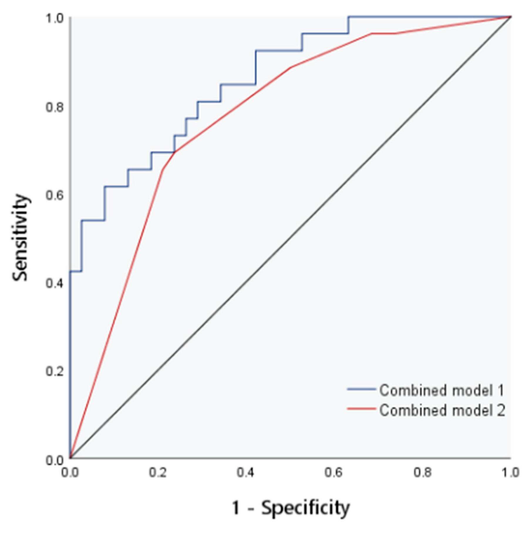
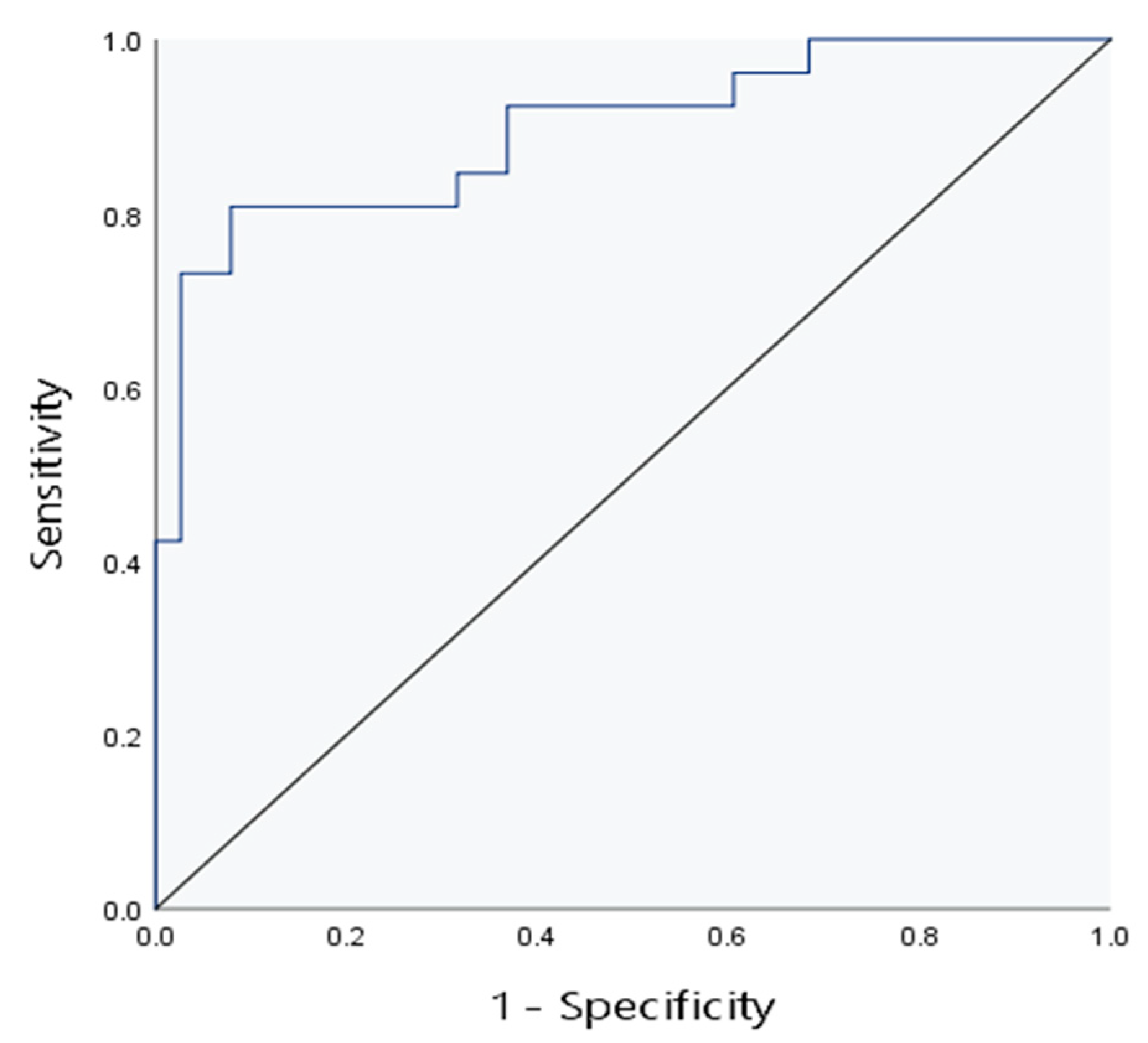
3.4. Multivariate Analysis of Grading of Hepatic Fibrosis in Children with Cholestatic Liver Disease
4. Discussion
5. Conclusions
Author Contributions
Funding
Institutional Review Board Statement
Informed Consent Statement
Data Availability Statement
Acknowledgments
Conflicts of Interest
References
- Feldman, A.G.; Sokol, R.J. Neonatal cholestasis: Emerging molecular diagnostics and potential novel therapeutics. Nat. Rev. Gastroenterol. Hepatol. 2019, 16, 346–360. [Google Scholar] [CrossRef] [PubMed]
- Verkade, H.J.; Bezerra, J.A.; Davenport, M.; Schreiber, R.A.; Mieli-Vergani, G.; Hulscher, J.B.; Sokol, R.J.; Kelly, D.A.; Ure, B.; Whitington, P.F.; et al. Biliary atresia and other cholestatic childhood diseases: Advances and future challenges. J. Hepatol. 2016, 65, 631–642. [Google Scholar] [CrossRef]
- Bezerra, J.A.; Wells, R.G.; Mack, C.L.; Karpen, S.J.; Hoofnagle, J.H.; Doo, E.; Sokol, R.J. Biliary Atresia: Clinical and Research Challenges for the Twenty-First Century. Hepatology 2018, 68, 1163–1173. [Google Scholar] [CrossRef]
- Smith, S.K.; Miloh, T. Pediatric Liver Transplantation. Clin. Liver Dis. 2022, 26, 521–535. [Google Scholar] [CrossRef] [PubMed]
- Shen, W.J.; Chen, G.; Wang, M.; Zheng, S. Liver fibrosis in biliary atresia. World J. Pediatr. 2019, 15, 117–123. [Google Scholar] [CrossRef] [PubMed]
- Lendahl, U.; Lui, V.C.H.; Chung, P.H.Y.; Tam, P.K.H. Biliary Atresia—Emerging diagnostic and therapy opportunities. EBioMedicine 2021, 74, 103689. [Google Scholar] [CrossRef]
- Yeung, F.; Fung, A.C.H.; Chung, P.H.Y.; Chu, Y.Y.; Seto, W.K.; Wong, K.K.Y. Long-term follow-up of biliary atresia using liver transient elastography. Pediatr. Surg. Int. 2022, 38, 1013–1018. [Google Scholar] [CrossRef] [PubMed]
- Lee, J.Y.; Sullivan, K.; El Demellawy, D.; Nasr, A. The value of preoperative liver biopsy in the diagnosis of extrahepatic biliary atresia: A systematic review and meta-analysis. J. Pediatr. Surg. 2016, 51, 753–761. [Google Scholar] [CrossRef]
- Dong, R.; Jiang, J.; Zhang, S.; Shen, Z.; Chen, G.; Huang, Y.; Zheng, Y.; Zheng, S. Development and Validation of Novel Diagnostic Models for Biliary Atresia in a Large Cohort of Chinese Patients. EBioMedicine 2018, 34, 223–230. [Google Scholar] [CrossRef]
- He, L.; Ip, D.K.M.; Tam, G.; Lui, V.C.H.; Tam, P.K.H.; Chung, P.H.Y. Biomarkers for the diagnosis and post-Kasai portoenterostomy prognosis of biliary atresia: A systematic review and meta-analysis. Sci. Rep. 2021, 11, 11692. [Google Scholar] [CrossRef]
- Singh, T.R.; Goel, P.; Bajpai, M.; Kandasamy, D.; Malik, R.; Yadav, R.; Prakash, S.; Mani, K.; Tripathi, M.; Yadav, D.K.; et al. Serum Matrix Metalloproteinase 7 as a Diagnostic and Prognostic Biomarker for Extrahepatic Biliary Atresia. J. Indian Assoc. Pediatr. Surg. 2022, 27, 227–235. [Google Scholar] [PubMed]
- Mo, Y.H.; Chen, H.L.; Hsu, W.M.; Chang, C.H.; Peng, S.S. A noninvasive index to predict liver cirrhosis in biliary atresia. Pediatr. Radiol. 2021, 51, 257–264. [Google Scholar] [CrossRef] [PubMed]
- Hukkinen, M.; Lohi, J.; Heikkilä, P.; Kivisaari, R.; Jahnukainen, T.; Jalanko, H.; Pakarinen, M.P. Noninvasive Evaluation of Liver Fibrosis and Portal Hypertension after Successful Portoenterostomy for Biliary Atresia. Hepatol. Commun. 2019, 3, 382–391. [Google Scholar] [CrossRef]
- Watanabe, S.; Suzuki, T.; Tsuchiya, T.; Kondo, Y. Long-term results of splenomegaly after surgery for biliary atresia in the native liver. Asian J. Surg. 2022, 45, 849–853. [Google Scholar] [CrossRef]
- Brahee, D.D.; Lampl, B.S. Neonatal diagnosis of biliary atresia: A practical review and update. Pediatr. Radiol. 2022, 52, 685–692. [Google Scholar] [CrossRef] [PubMed]
- Schambeck, J.P.L.; Forte, G.C.; Gonçalves, L.M.; Stuker, G.; Kotlinski, J.B.F.; Tramontin, G.; Altmayer, S.; Watte, G.; Hochhegger, B. Diagnostic accuracy of magnetic resonance elastography and point-shear wave elastography for significant hepatic fibrosis screening: Systematic review and meta-analysis. PLoS ONE 2023, 18, e0271572. [Google Scholar] [CrossRef] [PubMed]
- Ferraioli, G.; Barr, R.G.; Dillman, J.R. Elastography for Pediatric Chronic Liver Disease: A Review and Expert Opinion. J. Ultrasound Med. 2021, 40, 909–928. [Google Scholar] [CrossRef]
- Banc-Husu, A.M.; Bass, L.M. Transient Elastography in Pediatric Liver Disease. J. Pediatr. Gastroenterol. Nutr. 2021, 73, 141–144. [Google Scholar] [CrossRef]
- Dietrich, C.F.; Bamber, J.; Berzigotti, A.; Bota, S.; Cantisani, V.; Castera, L.; Cosgrove, D.; Ferraioli, G.; Friedrich-Rust, M.; Gilja, O.H.; et al. EFSUMB Guidelines and Recommendations on the Clinical Use of Liver Ultrasound Elastography, Update 2017 (Long Version). Ultraschall Med. 2017, 38, e48. [Google Scholar] [CrossRef]
- Fang, C.; Lim, A.; Sidhu, P.S. Ultrasound-based liver elastography in the assessment of fibrosis. Clin. Radiol. 2020, 75, 822–831. [Google Scholar] [CrossRef]
- Rowland, M.; McGee, A.; Broderick, A.; Drumm, B.; Connolly, L.; Daly, L.E.; Drummond, J.; Fitzpatrick, E.; Linnane, B.; McCormick, P.A.; et al. Repeatability of transient elastography in children. Pediatr. Res. 2020, 88, 587–592. [Google Scholar] [CrossRef] [PubMed]
- Zhao, Y.; Wu, L.; Qin, H.; Li, Q.; Shen, C.; He, Y.; Yang, H. Preoperative combi-elastography for the prediction of early recurrence after curative resection of hepatocellular carcinoma. Clin. Imaging 2021, 79, 173–178. [Google Scholar] [CrossRef] [PubMed]
- Chinese Society of Hepatology, Chinese Medical Association; Chinese Society of Gastroenterology, Chinese Medical Association; Chinese Society of Infectious Diseases, Chinese Medical Association. Consensus on The Diagnosis and Therapy of Hepatic Fibrosis. J. Pract. Hepatol. 2019, 22, 793–803. [Google Scholar]
- D’Amico, G.; Morabito, A.; D’Amico, M.; Pasta, L.; Malizia, G.; Rebora, P.; Valsecchi, M.G. New concepts on the clinical course and stratification of compensated and decompensated cirrhosis. Hepatol. Int. 2018, 12 (Suppl. S1), 34–43. [Google Scholar] [CrossRef]
- de Haan, W.; Dheedene, W.; Apelt, K.; Décombas-Deschamps, S.; Vinckier, S.; Verhulst, S.; Conidi, A.; Deffieux, T.; Staring, M.W.; Vandervoort, P.; et al. Endothelial Zeb2 preserves the hepatic angioarchitecture and protects against liver fibrosis. Cardiovasc. Res. 2022, 118, 1262–1275. [Google Scholar] [CrossRef] [PubMed]
- Liu, Y.; Cavallaro, P.M.; Kim, B.M.; Liu, T.; Wang, H.; Kühn, F.; Adiliaghdam, F.; Liu, E.; Vasan, R.; Samarbafzadeh, E.; et al. A role for intestinal alkaline phosphatase in preventing liver fibrosis. Theranostics 2021, 11, 14–26. [Google Scholar] [CrossRef] [PubMed]
- Naganuma, H.; Ishida, H.; Uno, A.; Nagai, H.; Kuroda, H.; Ogawa, M. Diagnostic problems in two-dimensional shear wave elastography of the liver. World J. Radiol. 2020, 12, 76–86. [Google Scholar] [CrossRef]
- Fujimoto, K.; Kato, M.; Kudo, M.; Yada, N.; Shiina, T.; Ueshima, K.; Yamada, Y.; Ishida, T.; Azuma, M.; Yamasaki, M.; et al. Novel image analysis method using ultrasound elastography for noninvasive evaluation of hepatic fibrosis in patients with chronic hepatitis C. Oncology 2013, 84 (Suppl. S1), 3–12. [Google Scholar] [CrossRef]
- Yada, N.; Tamaki, N.; Koizumi, Y.; Hirooka, M.; Nakashima, O.; Hiasa, Y.; Izumi, N.; Kudo, M. Diagnosis of Fibrosis and Activity by a Combined Use of Strain and Shear Wave Imaging in Patients with Liver Disease. Dig. Dis. 2017, 35, 515–520. [Google Scholar] [CrossRef]
- Yada, N.; Sakurai, T.; Minami, T.; Arizumi, T.; Takita, M.; Hagiwara, S.; Ida, H.; Ueshima, K.; Nishida, N.; Kudo, M. Influence of Liver Inflammation on Liver Stiffness Measurement in Patients with Autoimmune Hepatitis Evaluation by Combinational Elastography. Oncology 2017, 92 (Suppl. S1), 10–15. [Google Scholar] [CrossRef]
- Marcos Carrasco, N.; López Jerez, A.; Garrido, E.; García González, M. Estimation of liver fibrosis using elastography in cholestatic diseases: Systematic review and meta-analysis. Rev. Esp. Enfermedades Dig. 2023. [Google Scholar] [CrossRef]
- Li, Y.; Jiang, J.; Wang, H. Ultrasound elastography in the diagnosis of biliary atresia in pediatric surgery: A systematic review and meta-analysis of diagnostic test. Transl. Pediatr. 2022, 11, 748–756. [Google Scholar] [CrossRef] [PubMed]
- Galina, P.; Alexopoulou, E.; Mentessidou, A.; Mirilas, P.; Zellos, A.; Lykopoulou, L.; Patereli, A.; Salpasaranis, K.; Kelekis, N.L.; Zarifi, M. Diagnostic accuracy of two-dimensional shear wave elastography in detecting hepatic fibrosis in children with autoimmune hepatitis, biliary atresia and other chronic liver diseases. Pediatr. Radiol. 2021, 51, 1358–1368. [Google Scholar] [CrossRef] [PubMed]
- Gunda, S.T.; Chambara, N.; Chen, X.F.; Pang, M.Y.C.; Ying, M.T. Diagnostic Efficacy of Advanced Ultrasonography Imaging Techniques in Infants with Biliary Atresia (BA): A Systematic Review and Meta-Analysis. Children 2022, 9, 1676. [Google Scholar] [CrossRef] [PubMed]
- Nahm, F.S. Receiver operating characteristic curve: Overview and practical use for clinicians. Korean J. Anesthesiol. 2022, 75, 25–36. [Google Scholar] [CrossRef]
- Leung, D.H.; Khan, M.; Minard, C.G.; Guffey, D.; Ramm, L.E.; Clouston, A.D.; Miller, G.; Lewindon, P.J.; Shepherd, R.W.; Ramm, G.A. Aspartate aminotransferase to platelet ratio and fibrosis-4 as biomarkers in biopsy-validated pediatric cystic fibrosis liver disease. Hepatology 2015, 62, 1576–1583. [Google Scholar] [CrossRef] [PubMed]
- McGoogan, K.E.; Smith, P.B.; Choi, S.S.; Berman, W.; Jhaveri, R. Performance of the AST-to-platelet ratio index as a noninvasive marker of fibrosis in pediatric patients with chronic viral hepatitis. J. Pediatr. Gastroenterol. Nutr. 2010, 50, 344–346. [Google Scholar] [CrossRef]
- Rigamonti, A.E.; Bondesan, A.; Rondinelli, E.; Cella, S.G.; Sartorio, A. The Role of Aspartate Transaminase to Platelet Ratio Index (APRI) for the Prediction of Non-Alcoholic Fatty Liver Disease (NAFLD) in Severely Obese Children and Adolescents. Metabolites 2022, 12, 155. [Google Scholar] [CrossRef]
- Chen, S.; Liao, B.; Zhong, Z.; Zheng, Y.; Liu, B.; Shan, Q.; Xie, X.; Zhou, L. Supersonic shearwave elastography in the assessment of liver fibrosis for postoperative patients with biliary atresia. Sci. Rep. 2016, 6, 31057. [Google Scholar] [CrossRef]
- Shah, I.; Madgum, N. Correlation of APRI Index with Metavir Index in Children with Neonatal Cholestasis Without Biliary Atresia. Ann. Hepatol. 2018, 17, 592–595. [Google Scholar] [CrossRef]






|
|
|
|
|
|
|
|
|
|
|
|
| All Children (n = 64) | Liver Fibrosis (F1-2-3) (n = 38) | Liver Cirrhosis (F4) (n = 26) | p | |
|---|---|---|---|---|
| Age, year | 0.21 (0.17, 0.50) | 0.17 (0.15, 0.44) | 0.38 (0.17, 0.87) | 0.213 |
| Sex, n (%) | ||||
| Male | 33 (51.56) | 17 (44.74) | 16 (61.54) | 0.190 |
| Female | 31 (48.44) | 21 (55.26) | 10 (38.46) | |
| BMI, kg/m2 | 15.60 ± 2.17 | 15.57 ± 2.36 | 15.66 ± 1.89 | 0.870 |
| Conventional ultrasound echo, n (%) | ||||
| Medium homogeneous | 20 (31.25) | 17 (44.74) | 3 (11.54) | <0.001 |
| Enhanced homogeneous | 17 (26.56) | 12 (31.58) | 5 (19.23) | |
| Enhanced inhomogeneous | 27 (42.19) | 9 (23.68) | 18 (69.23) | |
| liver enlargement, n (%) | 49 (76.56) | 25 (65.79) | 24 (92.31) | 0.015 |
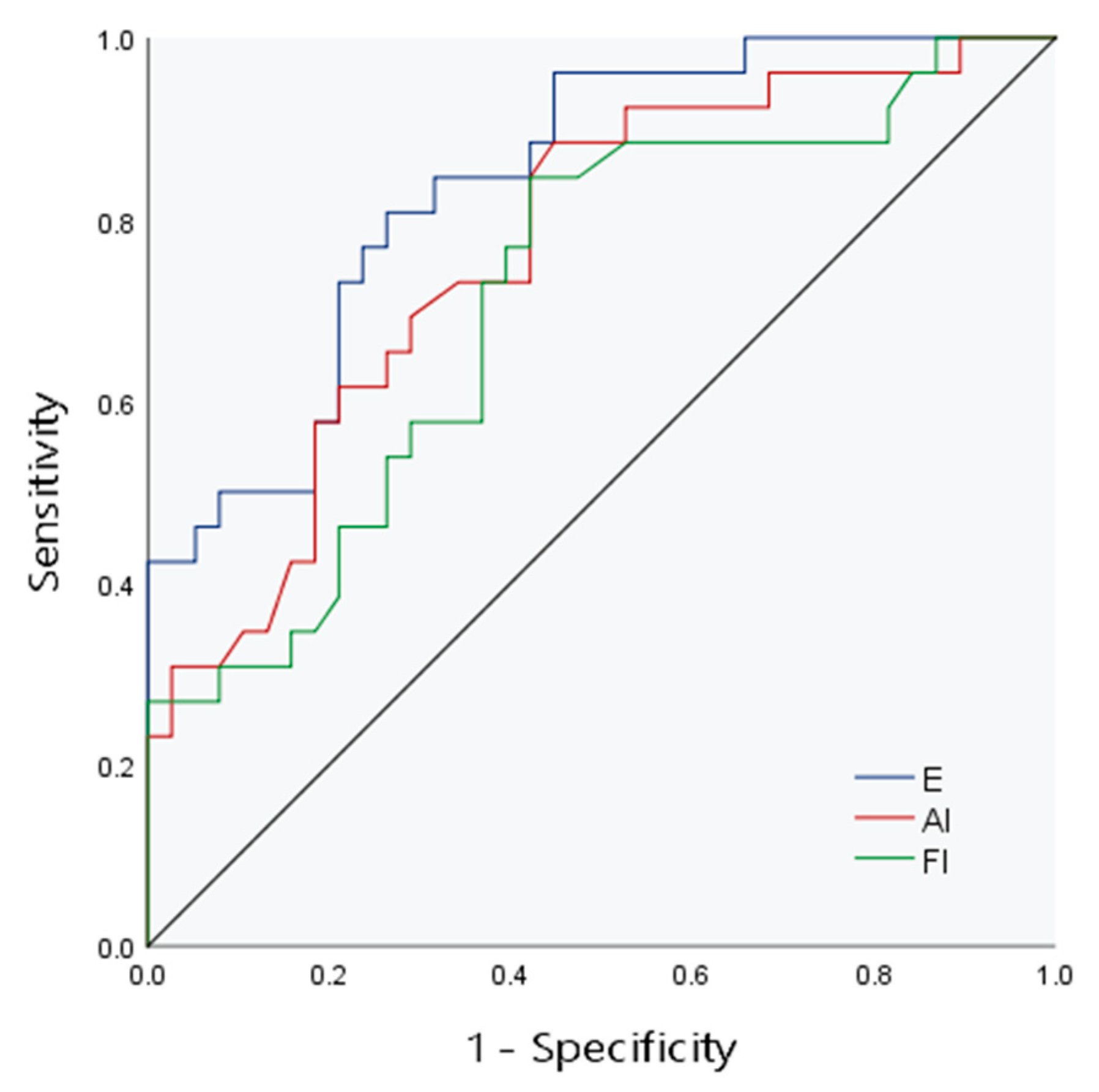
| E, kPa | 12.67 (9.19, 16.62) | 10.53 (7.29, 13.33) | 16.09 (13.37, 27.04) | <0.001 |
| ATT, dB/cm/MHz | 0.62 ± 0.11 | 0.62 ± 0.10 | 0.63 ± 0.12 | 0.723 |
| FI | 2.41 ± 0.94 | 2.11 ± 0.74 | 2.85 ± 1.03 | 0.001 |
| AI | 1.49 ± 0.37 | 1.35 ± 0.30 | 1.70 ± 0.37 | <0.001 |
| AST, U/L | 104.00 (47.25, 227.75) | 101.00 (47.00, 183.75) | 217.50 (45.25, 307.25) | 0.127 |
| ALT, U/L | 104.50 (37.25, 152.00) | 99.00 (37.75, 146.75) | 106.50 (30.25, 165.00) | 0.940 |
| T.bil, µmol/L | 142.35 (14.55, 191.33) | 76.55 (15.30, 176.63) | 154.00 (12.00, 213.48) | 0.547 |
| PLT, ×109/L | 350.66 ± 147.07 | 366.82 ± 158.18 | 327.04 ± 128.45 | 0.292 |
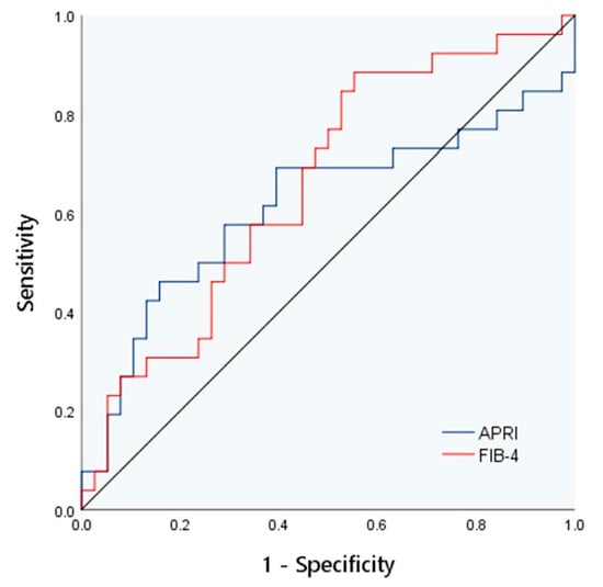
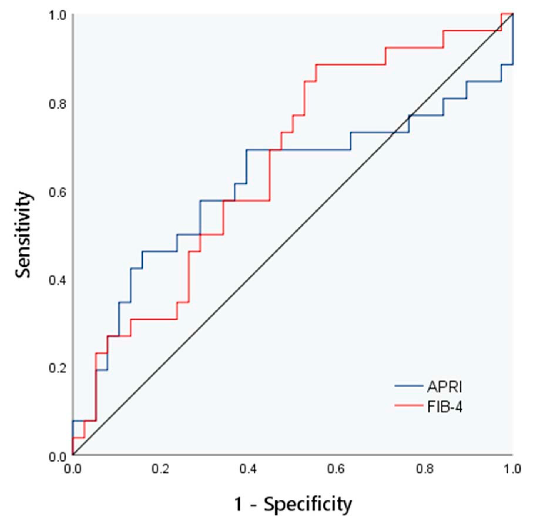
| APRI | 0.75 (0.48, 1.79) | 0.63 (0.47, 1.11) | 1.10 (0.44, 2.63) | 0.122 |
| FIB-4 | 0.07 (0.04, 0.38) | 0.06 (0.03, 0.29) | 0.14 (0.06, 0.61) | 0.033 |
| Variables | Cutoff Value | AUC | 95% CI | p | Sensitivity, % | Specificity, % | Youden Index | PPV, % | NPV, % |
|---|---|---|---|---|---|---|---|---|---|
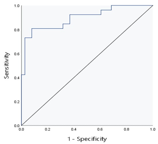
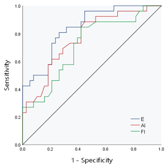
| E | 13.06 kPa | 0.84 | 0.75–0.94 | <0.001 | 80.80 | 73.70 | 0.55 | 67.74 | 84.85 |
| FI | 2.01 | 0.72 | 0.59–0.84 | 0.004 | 84.60 | 57.90 | 0.43 | 57.89 | 84.62 |
| AI | 1.37 | 0.77 | 0.65–0.88 | <0.001 | 88.50 | 55.30 | 0.55 | 57.50 | 87.50 |
| Variables | β | SE | OR | 95% CI | p |
|---|---|---|---|---|---|
| E | 0.436 | 0.156 | 1.546 | 1.138–2.100 | 0.005 * |
| FI | −0.994 | 0.966 | 0.370 | 0.056–2.456 | 0.303 |
| Liver echo | 2.060 | 1.034 | 7.847 | 1.034–59.549 | 0.030 * |
| Liver size | −0.177 | 1.102 | 0.838 | 0.097–7.262 | 0.872 |
| AST | 0.001 | 0.003 | 1.001 | 0.996–1.007 | 0.594 |
| Variables | Cutoff Value | AUC | 95% CI | p | Sensitivity, % | Specificity, % | Youden Index | PPV, % | NPV, % |
|---|---|---|---|---|---|---|---|---|---|
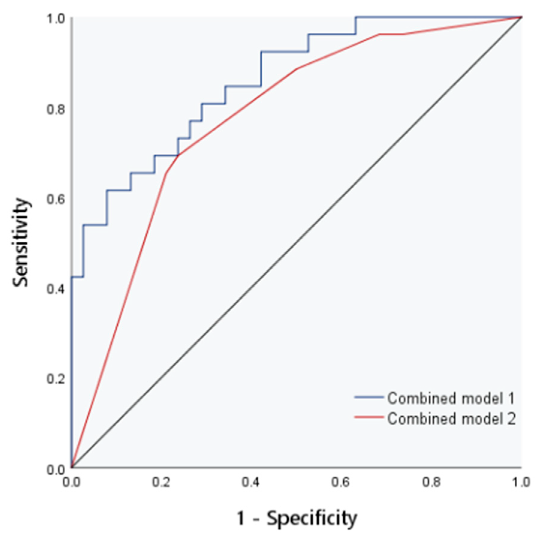
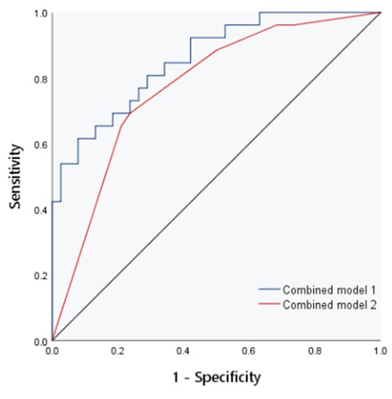
| Combined model 1 | - | 0.86 | 0.77–0.95 | <0.001 | 61.50 | 92.10 | 0.54 | 84.21 | 77.78 |
| Combined model 2 | - | 0.77 | 0.66–0.89 | <0.001 | 69.20 | 76.30 | 0.46 | 66.67 | 78.38 |
| Combined model 3 | - | 0.90 | 0.81–0.98 | <0.001 | 80.80 | 92.10 | 0.73 | 87.50 | 87.50 |
| FIB-4 | 0.01 | 0.66 | 0.52–0.79 | 0.033 | 88.50 | 44.70 | 0.33 | 52.27 | 85.00 |
| APRI | 1.59 | 0.61 | 0.46–0.77 | 0.122 | 46.20 | 84.20 | 0.30 | 66.67 | 69.57 |
Disclaimer/Publisher’s Note: The statements, opinions and data contained in all publications are solely those of the individual author(s) and contributor(s) and not of MDPI and/or the editor(s). MDPI and/or the editor(s) disclaim responsibility for any injury to people or property resulting from any ideas, methods, instructions or products referred to in the content. |
© 2023 by the authors. Licensee MDPI, Basel, Switzerland. This article is an open access article distributed under the terms and conditions of the Creative Commons Attribution (CC BY) license (https://creativecommons.org/licenses/by/4.0/).
Share and Cite
Li, R.; Hu, C.; Xu, F.; Zhang, Q.; Zhou, F.; Zheng, C.; Gao, Y.; Tang, Y.; Chen, J. Combi-Elasto Evaluation of the Degree of Liver Fibrosis in Children with Cholestatic Liver Disease. Diagnostics 2023, 13, 3229. https://doi.org/10.3390/diagnostics13203229
Li R, Hu C, Xu F, Zhang Q, Zhou F, Zheng C, Gao Y, Tang Y, Chen J. Combi-Elasto Evaluation of the Degree of Liver Fibrosis in Children with Cholestatic Liver Disease. Diagnostics. 2023; 13(20):3229. https://doi.org/10.3390/diagnostics13203229
Chicago/Turabian StyleLi, Rina, Caihui Hu, Fenglin Xu, Qi Zhang, Fazhi Zhou, Chenpeng Zheng, Yang Gao, Yi Tang, and Jingyu Chen. 2023. "Combi-Elasto Evaluation of the Degree of Liver Fibrosis in Children with Cholestatic Liver Disease" Diagnostics 13, no. 20: 3229. https://doi.org/10.3390/diagnostics13203229
APA StyleLi, R., Hu, C., Xu, F., Zhang, Q., Zhou, F., Zheng, C., Gao, Y., Tang, Y., & Chen, J. (2023). Combi-Elasto Evaluation of the Degree of Liver Fibrosis in Children with Cholestatic Liver Disease. Diagnostics, 13(20), 3229. https://doi.org/10.3390/diagnostics13203229
